Microscale Electrochemical Corrosion of Uranium Oxide Particles
Abstract
:1. Introduction
2. Materials and Methods
2.1. WE Fabrications and E-Cell Device Assembly
2.2. Electrochemical Analysis
2.3. AFM Analysis
2.4. XPS Analysis
2.5. Surface Tension
2.6. Raman
2.7. Beta and Gamma Particle Count from the UO2 WE
3. Results and Discussion
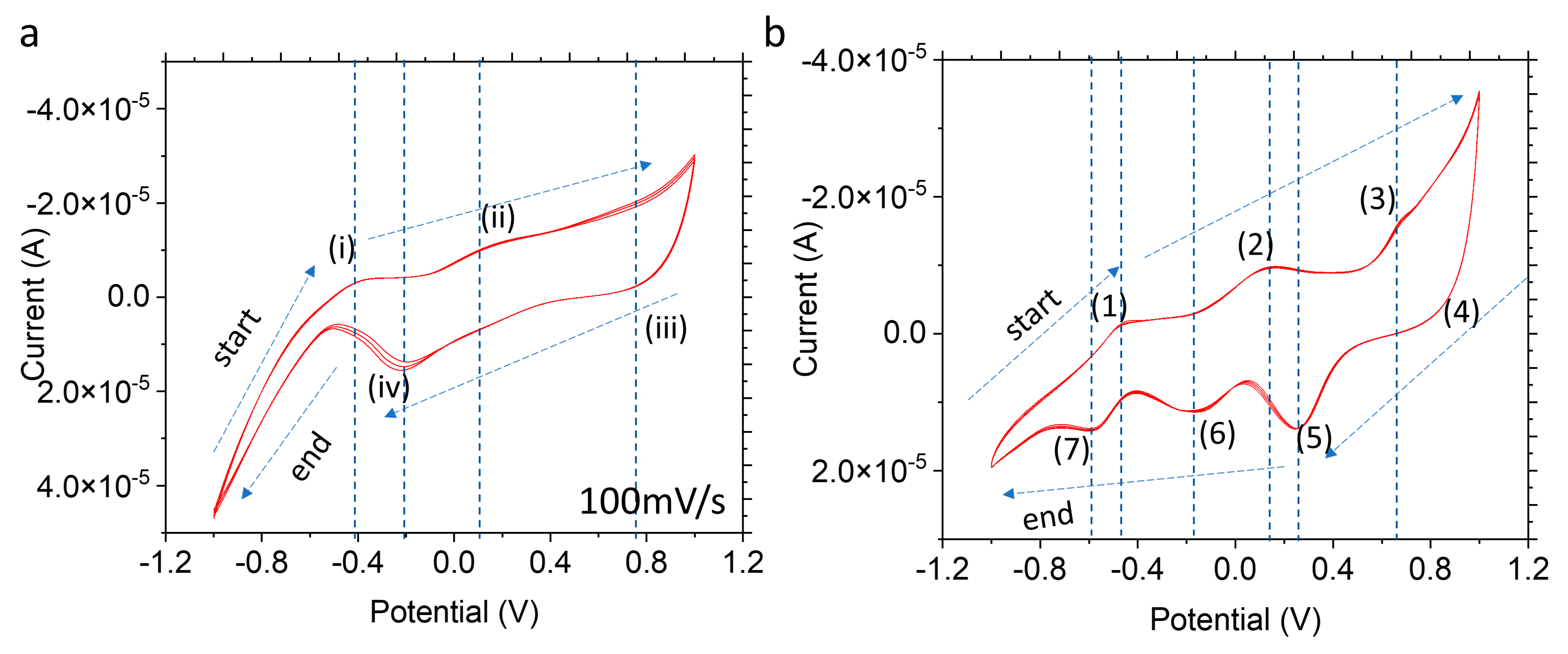
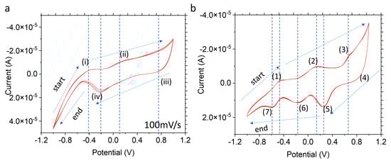
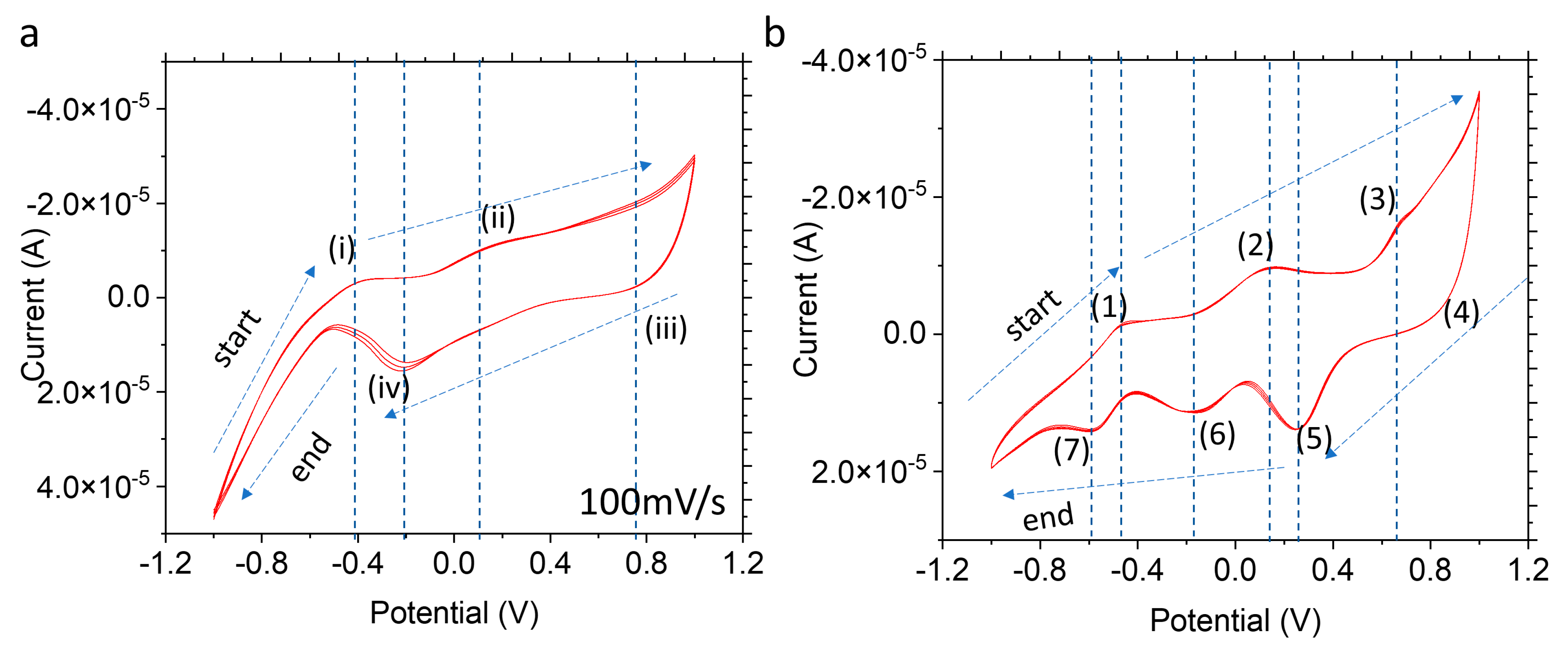
3.1. Studying Electrochemically Driven UO2 Redox Reactions Using Microscale E-Cells
3.2. UO2 WE Surface Topographical Characterization
3.3. XPS Analysis of the UO2 Electrode Surface
3.4. Interfacial Water and Possible UO2 Reaction Pathways
3.5. Reducing and Separating the Radiation Effect Using Miniturization
4. Conclusions
Supplementary Materials
Author Contributions
Funding
Data Availability Statement
Acknowledgments
Conflicts of Interest
References
- Bruno, J.; Duro, L.; Diaz-Maurin, F. Chapter 13—Spent nuclear fuel and disposal. In Advances in Nuclear Fuel Chemistry; Woodhead Publishing: Sawston, UK, 2020; Volume 13, pp. 527–553. [Google Scholar]
- Standish, T.; Chen, J.; Jacklin, R.; Jakupi, P.; Ramamurthy, S.; Zagidulin, D.; Keech, P.; Shoesmith, D. Corrosion of copper-coated steel high level nuclear waste containers under permanent disposal conditions. Electrochim. Acta 2016, 211, 331–342. [Google Scholar] [CrossRef]
- Shoesmith, D.W. Fuel corrosion processes under waste disposal conditions. J. Nucl. Mater. 2000, 282, 1–31. [Google Scholar] [CrossRef]
- Kumari, I.; Kumar, B.V.R.; Khanna, A. A review on urex processes for nuclear spent fuel reprocessing. Nucl. Eng. 2020, 358, 110410. [Google Scholar] [CrossRef]
- Popel, A.J.; Spurgeon, S.R.; Matthews, B.; Olszta, M.J.; Tan, B.T.; Gouder, T.; Eloirdi, R.; Buck, E.C.; Farnan, I. An atomic-scale understanding of UO2 surface evolution during anoxic dissolution. ACS Appl. Mater. Interfaces 2020, 12, 39781–39786. [Google Scholar] [CrossRef]
- Bennett, D.G.; Gens, R. Overview of european concepts for high-level waste and spent fuel disposal with special reference waste container corrosion. J. Nucl. Mater. 2008, 379, 1–8. [Google Scholar] [CrossRef]
- Shoesmith, D.W.; Kolar, M.; King, F. A mixed-potential model to predict fuel (uranium dioxide) corrosion within a failed nuclear waste container. Corrosion 2003, 59, 802–816. [Google Scholar] [CrossRef]
- Jerden, J.L.; Frey, K.; Ebert, W. A multiphase interfacial model for the dissolution of spent nuclear fuel. J. Nucl. Mater. 2015, 462, 135–146. [Google Scholar] [CrossRef]
- Greene, S.R.; Medford, J.S.; Macy, S.A. Storage and transport cask data for used commercial nuclear fuel. DOE Rep. 2013. [Google Scholar] [CrossRef]
- Hardin, E.; Kalinina, E. Cost estimation inputs for spent nuclear fuel geologic disposal concepts. Sandia Natl. Lab. Rep. 2015. [Google Scholar] [CrossRef]
- Carter, J.T.; Maheras, S.M.; Jones, R. Containers for Commercial Spent Nuclear Fuel; Nuclear Waste Technical Review Board: Washington, DC, USA, 2016.
- Buck, E.C.; Wittman, R. Radiolysis Model Formulation for Integration with the Mixed Potential Model; PNNL-23459; PNNL: Richland, WA, USA, 2014.
- Trummer, M.; Jonsson, M. Resolving the H2 effect on radiation induced dissolution of UO2-based spent nuclear fuel. J. Nucl. Mater. 2010, 396, 163–169. [Google Scholar] [CrossRef]
- Puranen, A.; Barreiro, A.; Evins, L.Z.; Spahiu, K. Spent fuel corrosion and the impact of iron corrosion—The effects of hydrogen generation and formation of iron corrosion products. J. Nucl. Mater. 2020, 542, 152423. [Google Scholar] [CrossRef]
- Poinssot, C.; Ferry, C.F.; Kelm, M.; Granbow, B.; Martínez, A.; Johnson, L.; Andriambololona, Z.; Bruno, J.; Cachoir, C.; Cavedon, J.M.; et al. Spent Fuel Stability under Repository Conditions Final Report of the European (sfs) Project; CEA-R-6093; Direction de L’Énergie Nucléaire: Gif-sur-Yvette, France, 2005.
- Garrick, B.J.; Abkowitz, M.D.; Cerling, T.E.; Hornberger, G.M.; Latanision, R.M.; Murphy, W.M.; Arnold, W.H.; Duquette, D.J.; Kadak, A.C.; Mosleh, A.; et al. Survey of National Programs for Managing High-Level Radioactive Waste and Spent Nuclear Fuel; U.S. Nuclear Waste Technical Review Board: Arlington, VA, USA, 2009.
- Grambow, B.; Ferry, C.; Casas, I.; Bruno, J.; Quinones, J.; Johnson, L. Spent fuel waste disposal: Analyses of model uncertainty in the micado project. Energy Procedia 2011, 7, 487–494. [Google Scholar] [CrossRef]
- Thomas, S.; Gattu, V.K.; Jackson, J. Electrochemical Corrosion of Simfuel: Effects of Dissolved H2 and Noble Metal Particles; ANL/CFCT-22/18; Argonne National Laboratory: Lemont, IL, USA, 2022.
- Christensen, H.; Sunder, S.; Shoesmith, D.W. Oxidation of unclear fuel (UO2) by the products of water radiolysis: Development of a kinetic model. J. Alloys Compd. 1994, 213, 6. [Google Scholar]
- Shoesmith, D.W.; Sunder, S.; Bailey, M.G.; Wallace, G.J. The corrosion of nuclear fuel (UO2) in oxygenated solutions. Corros. Sci. 1989, 29, 13. [Google Scholar] [CrossRef]
- Liu, N.; Qin, Z.; Noël, J.J.; Shoesmith, D.W. Modelling the radiolytic corrosion of α-doped UO2 and spent nuclear fuel. J. Nucl. Mater. 2017, 494, 87–94. [Google Scholar] [CrossRef]
- Sunder, S.; Strandlund, L.K.; Shoesmith, D.W. Anodic oxidation and dissolution of candu fuel (UO2) in slightly alkaline sodium perchlorate solutions. Electrochim. Acta 1998, 43, 13. [Google Scholar] [CrossRef]
- Sunder, S.; Miller, N.H.; Shoesmith, D.W. Corrosion of uranium dioxide in hydrogen peroxide solutions. Corros. Sci. 2004, 46, 1095–1111. [Google Scholar] [CrossRef]
- Sunder, S.; Shoesmith, D.W.; Bailey, M.G.; Stanchell, F.W.; Mcintyre, N.S. Anodic oxidation of UO2 part i. Electrochemical and X-ray photoelectron spectroscopic studies in neural solutions. J. Electroanal. Chem. 1981, 130, 7. [Google Scholar]
- Desfougeres, L.; Welcomme, E.; Ollivier, M.; Martin, P.M.; Hennuyer, J.; Hunault, M.; Podor, R.; Clavier, N.; Favergeon, L. Oxidation as an early stage in the multistep thermal decomposition of uranium(iv) oxalate into U(3)O(8). Inorg. Chem. 2020, 59, 8589–8602. [Google Scholar] [CrossRef]
- Ranasinghe, J.I.; Malakkal, L.; Szpunar, B.; Prasad, A.; Jossou, E.; Szpunar, J.A.; Bichler, L. Dft and experimental study on the thermal conductivity of U3O8 and U3O8-x; (x = al and mo). J. Nucl. Mater. 2021, 549, 152900. [Google Scholar] [CrossRef]
- Huang, Z.; Ma, L.; Zhang, J.; Zhou, Q.; Yang, L.; Wang, H. First-principles study of elastic and thermodynamic properties of UO2, γ-UO3 and α-U3O8. J. Nucl. Mater. 2022, 572, 154084. [Google Scholar] [CrossRef]
- Liu, N.; Wu, L.; Qin, Z.; Shoesmith, D.W. Roles of radiolytic and externally generated H(2) in the corrosion of fractured spent nuclear fuel. Environ. Sci. Technol. 2016, 50, 12348–12355. [Google Scholar] [CrossRef] [PubMed]
- Johnson, L.H.; Shoesmith, D.W.; Lunansky, G.E.; Bailey, M.G.; Tremaine, P.R. Mechanisms of leaching and dissolution of UO2 fuel. Nucl. Technol. 1982, 56, 238–253. [Google Scholar] [CrossRef]
- International Atomic Energy Agency. Industrial Safety Guidelines for Nuclear Facilities; International Atomic Energy Agency: Vienna, Austria, 2018. [Google Scholar]
- Son, J.; Buck, E.C.; Riechers, S.L.; Tripathi, S.; Strange, L.E.; Engelhard, M.H.; Yu, X.Y. Studying corrosion using miniaturized particle attached working electrodes and the nafion membrane. Micromachines 2021, 12, 1414. [Google Scholar] [CrossRef]
- Son, J.; Buck, E.C.; Riechers, S.L.; Yu, X.Y. Stamping nanoparticles onto the electrode for rapid electrochemical analysis in microfluidics. Micromachines 2021, 12, 60. [Google Scholar] [CrossRef]
- Liu, B.; Yu, X.Y.; Zhu, Z.; Hua, X.; Yang, L.; Wang, Z. In situ chemical probing of the electrode-electrolyte interface by tof-sims. Lab. Chip 2014, 14, 855–859. [Google Scholar] [CrossRef]
- Yang, L.; Yu, X.Y.; Zhu, Z.; Iedema, M.J.; Cowin, J.P. Probing liquid surfaces under vacuum using sem and tof-sims. Lab. Chip 2011, 11, 2481–2484. [Google Scholar] [CrossRef]
- Yu, J.; Zhou, Y.; Hua, X.; Liu, S.; Zhu, Z.; Yu, X.Y. Capturing the transient species at the electrode-electrolyte interface by in situ dynamic molecular imaging. Chem. Commun. 2016, 52, 10952–10955. [Google Scholar] [CrossRef]
- Hiesgen, R.; Aleksandrova, E.; Meichsner, G.; Wehl, I.; Roduner, E.; Friedrich, K.A. High-resolution imaging of ion conductivity of nafion® membranes with electrochemical atomic force microscopy. Electrochim. Acta 2009, 55, 423–429. [Google Scholar] [CrossRef]
- Kaw, K.A.Y.; Palisoc, S.T.; Natividad, M.T. A morphological and cyclic voltammetric investigation of spin-coated hexaammineruthenium (iii)-incorporated nafion® thin films. Philipp. Sci. Lett. 2014, 7, 8. [Google Scholar]
- Mauritz, K.A.; Moore, R.B. State of understanding of nafion. Chem. Rev. 2004, 104, 52. [Google Scholar] [CrossRef] [PubMed]
- Parnian, M.J.; Rowshanzamir, S.; Alipour Moghaddam, J. Investigation of physicochemical and electrochemical properties of recast nafion nanocomposite membranes using different loading of zirconia nanoparticles for proton exchange membrane fuel cell applications. Mater. Sci. Technol. 2018, 1, 146–154. [Google Scholar] [CrossRef]
- Comsa, F.D.; Liub, H.; Owejana, J.E. Mitigation of perfluorosulfonic acid membrane chemical degradation using cerium and manganese ions. ECS Trans. 2008, 16, 17. [Google Scholar] [CrossRef]
- Thuc, V.D.; Cong Tinh, V.D.; Kim, D. Simultaneous improvement of proton conductivity and chemical stability of nafion membranes via embedment of surface-modified ceria nanoparticles in membrane surface. J. Membr. Sci. 2022, 642, 119990. [Google Scholar] [CrossRef]
- Chatterjee, S.; Zamani, E.; Farzin, S.; Evazzade, I.; Obewhere, O.A.; Johnson, T.J.; Alexandrov, V.; Dishari, S.K. Molecular-level control over ionic conduction and ionic current direction by designing macrocycle-based ionomers. JACS Au 2022, 2, 1144–1159. [Google Scholar] [CrossRef] [PubMed]
- Guo, X.; Tiferet, E.; Qi, L.; Solomon, J.M.; Lanzirotti, A.; Newville, M.; Engelhard, M.H.; Kukkadapu, R.K.; Wu, D.; Ilton, E.S.; et al. U(v) in metal uranates: A combined experimental and theoretical study of mguo4, cruo4, and feuo4. Dalton Trans. 2016, 45, 4622–4632. [Google Scholar] [CrossRef] [PubMed]
- Klosterman, M.R.; Oerter, E.J.; Singleton, M.J.; McDonald, L.W.t. Oxygen isotope fractionation in U(3)O(8) during thermal processing in humid atmospheres. ACS Omega 2022, 7, 3462–3469. [Google Scholar] [CrossRef]
- Smith, S.C.; Peper, S.M.; Douglas, M.; Ziegelgruber, K.L.; Finn, E.C. Dissolution of uranium oxides under alkaline oxidizing conditions. J. Radioanal. Nucl. Chem. 2009, 282, 617–621. [Google Scholar] [CrossRef]
- Jeong, S.M.; Park, S.B.; Hong, S.S.; Seo, C.S.; Park, S.W. Electrolytic production of metallic uranium from u3o8 in a 20-kg batch scale reactor. J. Radioanal. Nucl. Chem. 2006, 268, 349–356. [Google Scholar] [CrossRef]
- Jeong, S.M.; Shin, H.-S.; Hong, S.-S.; Hur, J.-M.; Do, J.B.; Lee, H.S. Electrochemical reduction behavior of u3o8 powder in a licl molten salt. Electrochim. Acta 2010, 55, 1749–1755. [Google Scholar] [CrossRef]
- Joseph, B.; Venkatesan, K.A.; Nagarajan, K.; Srinivasan, T.G.; Vasudeva Rao, P.R. Lithium assisted electrochemical reduction of uranium oxide in room temperature ionic liquid. J. Radioanal. Nucl. Chem. 2010, 287, 167–171. [Google Scholar] [CrossRef]
- Venton, B.J.; Cao, Q. Fundamentals of fast-scan cyclic voltammetry for dopamine detection. Analyst 2020, 145, 1158–1168. [Google Scholar] [CrossRef] [PubMed]
- Hightower, A.; Koel, B.; Felter, T. A study of iodine adlayers on polycrystalline gold electrodes by in situ electrochemical rutherford backscattering (ecrbs). Electrochim. Acta 2009, 54, 1777–1783. [Google Scholar] [CrossRef]
- Kelly, J.M.; Meunier, H.M.; McCormack, D.E.; Michas, A.; Pineri, M. Uranyl ions in perfluorinated (nafion and flemion) membranes: Spectroscopic and photophysical properties and reactions with potassium hydroxide. Polymer 1990, 31, 7. [Google Scholar] [CrossRef]
- Guo, X.; Kukkadapu, R.K.; Lanzirotti, A.; Newville, M.; Engelhard, M.H.; Sutton, S.R.; Navrotsky, A. Charge-coupled substituted garnets (y3-xca0.5xm0.5x)fe5o12 (m = ce, th): Structure and stability as crystalline nuclear waste forms. Inorg. Chem. 2015, 54, 4156–4166. [Google Scholar] [CrossRef]
- Guo, X.; Lipp, C.; Tiferet, E.; Lanzirotti, A.; Newville, M.; Engelhard, M.H.; Wu, D.; Ilton, E.S.; Sutton, S.R.; Xu, H.; et al. Structure and thermodynamic stability of uta(3)o(10), a u(v)-bearing compound. Dalton Trans. 2016, 45, 18892–18899. [Google Scholar] [CrossRef] [PubMed]
- Guo, X.; Navrotsky, A.; Kukkadapu, R.K.; Engelhard, M.H.; Lanzirotti, A.; Newville, M.; Ilton, E.S.; Sutton, S.R.; Xu, H. Structure and thermodynamics of uranium-containing iron garnets. Geochim. Cosmochim. Acta 2016, 189, 269–281. [Google Scholar] [CrossRef]
- Ilton, E.S.; Bagus, P.S. Xps determination of uranium oxidation states. Surf. Interface Anal. 2011, 43, 1549–1560. [Google Scholar] [CrossRef]
- Gouder, T.; Eloirdi, R.; Caciuffo, R. Direct observation of pure pentavalent uranium in U2O5 thin films by high resolution photoemission spectroscopy. Sci. Rep. 2018, 8, 8306. [Google Scholar] [CrossRef]
- Nishiyama, H.; Takamuku, S.; Iiyama, A.; Inukai, J. Dynamic distribution of chemical states of water inside a nafion membrane in a running fuel cell monitored by operando time-resolved cars spectroscopy. J. Phys. Chem. C 2020, 124, 19508–19513. [Google Scholar] [CrossRef]
- Nishiyama, H.; Iiyama, A.; Inukai, J. The distribution and diffusion coefficient of water inside a nafion® membrane in a running fuel cell under transient conditions analyzed by operando time-resolved cars spectroscopy. J. Power Sources 2022, 13, 100080. [Google Scholar] [CrossRef]
- Hu, Q.; Zhao, H.; Ouyang, S. Understanding water structure from raman spectra of isotopic substitution H2O/D2O up to 573 k. Phys. Chem. Chem. Phys. 2017, 19, 21540–21547. [Google Scholar] [CrossRef] [PubMed]
- Gao, J.; Meng, Y.; Benton, A.; He, J.; Jacobsohn, L.G.; Tong, J.; Brinkman, K.S. Insights into the proton transport mechanism in tio2 simple oxides by in situ raman spectroscopy. ACS Appl. Mater. Interfaces 2020, 12, 38012–38018. [Google Scholar] [CrossRef] [PubMed]
- Rai, D.; Felmy, A.R.; Ryan, J.L. Uranium(iv) hydrolysis constants and solubility product of UO2.Cntdot.Xh2o(am). Inorg. Chem. 1990, 29, 260–264. [Google Scholar] [CrossRef]
- Manaud, J.; Maynadie, J.; Mesbah, A.; Hunault, M.; Martin, P.M.; Zunino, M.; Meyer, D.; Dacheux, N.; Clavier, N. Hydrothermal conversion of uranium(iv) oxalate into oxides: A comprehensive study. Inorg. Chem. 2020, 59, 3260–3273. [Google Scholar] [CrossRef] [PubMed]
- Vettese, G.F.; Morris, K.; Natrajan, L.S.; Shaw, S.; Vitova, T.; Galanzew, J.; Jones, D.L.; Lloyd, J.R. Multiple lines of evidence identify u(v) as a key intermediate during u(vi) reduction by shewanella oneidensis mr1. Environ. Sci. Technol. 2020, 54, 2268–2276. [Google Scholar] [CrossRef]
- Kvashnina, K.O.; Butorin, S.M.; Martin, P.; Glatzel, P. Chemical state of complex uranium oxides. Phys. Rev. Lett. 2013, 111, 253002. [Google Scholar] [CrossRef]
- Olsson, D.; Li, J.; Jonsson, M. Kinetic effects of H(2)O(2) speciation on the overall peroxide consumption at UO(2)-water interfaces. ACS Omega 2022, 7, 15929–15935. [Google Scholar] [CrossRef]
- Ershov, B.G.; Gordeev, A.V. A model for radiolysis of water and aqueous solutions of H2, H2O2 and O2. Radiat. Phys. Chem. 2008, 77, 928–935. [Google Scholar] [CrossRef]
- Kumagai, Y.; Barreiro Fidalgo, A.; Jonsson, M. Impact of stoichiometry on the mechanism and kinetics of oxidative dissolution of UO2 induced by H2O2 and γ-irradiation. J. Phys. Chem. C 2019, 123, 9919–9925. [Google Scholar] [CrossRef]
- Collins, R.N.; Rosso, K.M. Mechanisms and rates of u(vi) reduction by fe(ii) in homogeneous aqueous solution and the role of u(v) disproportionation. J. Phys. Chem. A 2017, 121, 6603–6613. [Google Scholar] [CrossRef] [PubMed]
- Duan, Q.; Wang, H.; Benziger, J. Transport of liquid water through nafion membranes. J. Membr. Sci. 2012, 392–393, 88–94. [Google Scholar] [CrossRef]
- Kientiz, B.; Yamada, H.; Nonoyama, N.; Weber, A.Z. Interfacial water transport effects in proton-exchange membranes. J. Fuel Cell Sci. Technol. 2011, 8, 011013. [Google Scholar] [CrossRef]
- Adachi, M.; Navessin, T.; Xie, Z.; Frisken, B.; Holdcroft, S. Correlation of in situ and ex situ measurements of water permeation through nafion nre211 proton exchange membranes. J. Electrochem. Soc. 2009, 156, 9. [Google Scholar] [CrossRef]
- Ewing, R.C. Long-term storage of spent nuclear fuel. Nat. Mater. 2015, 14, 252–257. [Google Scholar] [CrossRef]
- Kozbial, A.; Zhou, F.; Li, Z.; Liu, H.; Li, L. Are graphitic surfaces hydrophobic? Acc. Chem. Res. 2016, 49, 2765–2773. [Google Scholar] [CrossRef]
- Shutthanandan, V.; Nandasiri, M.; Zheng, J.; Engelhard, M.H.; Xu, W.; Thevuthasan, S.; Murugesan, V. Applications of XPS in the characterization of Battery materials. J. Electron. Spectrosc. Relat. Phenom. 2019, 231, 2–10. [Google Scholar] [CrossRef]
- Gernatova, M.; Janderka, P.; Marcinkova, A.; Ostriz, P. Use of Nafion as a membrane separator in membrane introduction of mass spectrometry. Eur. J. Mass. Spectrom. 2009, 15, 571–577. [Google Scholar] [CrossRef]





| No | UO2 Electrode Description | β–γ Particle Count (Count per min, cpm) | UO2 Particle Mass (mg) |
|---|---|---|---|
| 1 | high loading of UO2 WE #1 | 955 | 33 |
| 2 | high loading of UO2 WE #2 | 637 | 33 |
| 3 | lower loading of UO2 WE #A | 299 | 1.86 |
| 4 | lower loading of UO2 WE #B | 438 | 3.72 |
Disclaimer/Publisher’s Note: The statements, opinions and data contained in all publications are solely those of the individual author(s) and contributor(s) and not of MDPI and/or the editor(s). MDPI and/or the editor(s) disclaim responsibility for any injury to people or property resulting from any ideas, methods, instructions or products referred to in the content. |
© 2023 by the authors. Licensee MDPI, Basel, Switzerland. This article is an open access article distributed under the terms and conditions of the Creative Commons Attribution (CC BY) license (https://creativecommons.org/licenses/by/4.0/).
Share and Cite
Son, J.; Riechers, S.L.; Yu, X.-Y. Microscale Electrochemical Corrosion of Uranium Oxide Particles. Micromachines 2023, 14, 1727. https://doi.org/10.3390/mi14091727
Son J, Riechers SL, Yu X-Y. Microscale Electrochemical Corrosion of Uranium Oxide Particles. Micromachines. 2023; 14(9):1727. https://doi.org/10.3390/mi14091727
Chicago/Turabian StyleSon, Jiyoung, Shawn L. Riechers, and Xiao-Ying Yu. 2023. "Microscale Electrochemical Corrosion of Uranium Oxide Particles" Micromachines 14, no. 9: 1727. https://doi.org/10.3390/mi14091727
APA StyleSon, J., Riechers, S. L., & Yu, X.-Y. (2023). Microscale Electrochemical Corrosion of Uranium Oxide Particles. Micromachines, 14(9), 1727. https://doi.org/10.3390/mi14091727

