Three-Dimensional Printed Biomimetic Robotic Fish for Dynamic Monitoring of Water Quality in Aquaculture
Abstract
1. Introduction
2. Materials and Methods
2.1. Experimental Materials
2.2. Manufacturing and Assembly of Bionic Robotic Fish
2.3. Propulsion and Hydrodynamic Simulation of Bionic Fish
2.4. Bionic Robotic Fish Swimming Test
3. Results and Discussion
3.1. Three-Dimensionally Printed Bionic Machine Fish
3.2. Water Hydrodynamic Analysis of the Bionic Robotic Fish
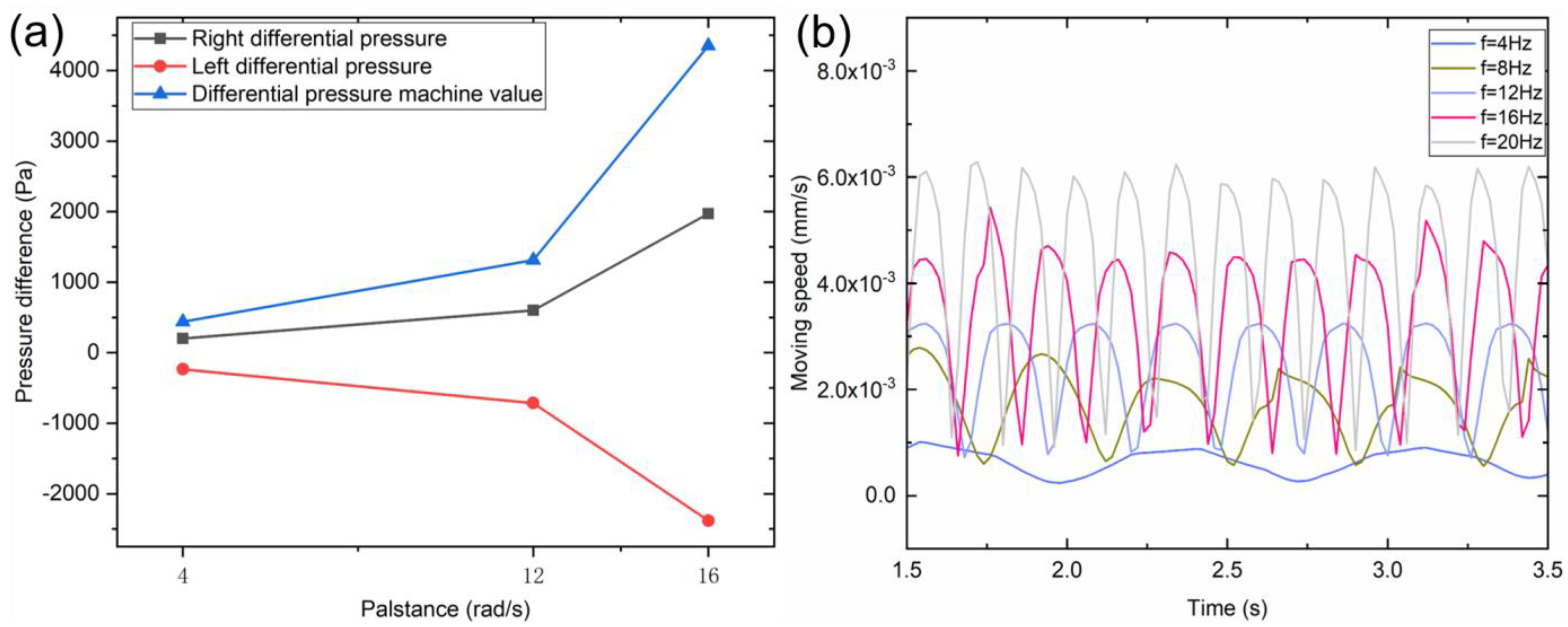
3.3. Bionic Fish Propulsion Experiment in Water
3.4. Application of On-Site Water Quality Monitoring
4. Conclusions
Supplementary Materials
Author Contributions
Funding
Data Availability Statement
Conflicts of Interest
References
- Yang, W.Y. Environmental Impact of Aquaculture and Countermeasures to Aquaculture Pollution in China. Environ. Sci. Pollut. Res. 2007, 14, 452–462. [Google Scholar]
- Lee, C.-H.; Kim, H.S.; Lee, K.W.; Han, G.S.; Byun, S.-G.; Lim, H.J.; Lee, D.-Y.; Choi, J. Effects of dietary lipid level on growth performance, feed utilization, fatty composition and antioxidant parameters of juvenile walleye pollock, Gadus chalcogrammus. Aquac. Rep. 2021, 19, 100631. [Google Scholar] [CrossRef]
- Boyd, C.E.; D’Abramo, L.R.; Glencross, B.D.; Huyben, D.C.; Valenti, W.C. Achieving sustainable aquaculture: Historical and current perspectives and future needs and challenges. J. World Aquac. Soc. 2020, 51, 578–633. [Google Scholar]
- Hlordzi, V.; Kuebutornye, F.K.; Afriyie, G.; Abarike, E.D.; Lu, Y.; Chi, S.; Anokyewaa, M.A. The use of Bacillus species in maintenance of water quality in aquaculture: A review. Aquac. Rep. 2020, 18, 100503. [Google Scholar]
- Xu, Y.; Liu, X.; Cao, X.; Huang, C.; Liu, E.; Qian, S.; Liu, X.; Wu, Y.; Dong, F.; Qiu, C.-W.; et al. Artificial intelligence: A powerful paradigm for scientific research. Innovation 2021, 2, 100179. [Google Scholar] [CrossRef]
- Gustilo, R.C.; Dadios, E.P. Machine Vision Support System for Monitoring Water Quality in a Small Scale Tiger Prawn Aquaculture. J. Adv. Comput. Intell. Intell. Inform. 2016, 20, 111–116. [Google Scholar] [CrossRef]
- Liu, Q. Intelligent Water Quality Monitoring System Based on Multi-Sensor Data Fusion Technology. Int. J. Ambient Comput. Intell. IJACI 2021, 12, 43–63. [Google Scholar] [CrossRef]
- Wei, Y.; Jiao, Y.; An, D.; Li, D.; Wei, Q. Review of Dissolved Oxygen Detection Technology: From Laboratory Analysis to Online Intelligent Detection. Sensors 2019, 19, 3995. [Google Scholar]
- Wang, W.; Tian, G.; Chen, M.; Tao, F.; Zhang, C.; Ai-Ahmari, A.; Li, Z.; Jiang, Z. Dual-objective program and improved artificial bee colony for the optimization of energy-conscious milling parameters subject to multiple constraints. J. Clean. Prod. 2020, 245, 118714. [Google Scholar] [CrossRef]
- Lyons, K.J.; Ikonen, J.; Hokajärvi, A.-M.; Räsänen, T.; Pitkänen, T.; Kauppinen, A.; Kujala, K.; Rossi, P.M.; Miettinen, I.T. Monitoring groundwater quality with real-time data, stable water isotopes, and microbial community analysis: A comparison with conventional methods. Sci. Total Environ. 2023, 864, 161199. [Google Scholar] [CrossRef]
- Yuan, F.; Huang, Y.F.; Chen, X.; Cheng, E. A Biological Sensor System Using Computer Vision for Water Quality Monitoring. IEEE Access 2018, 6, 61535–61546. [Google Scholar] [CrossRef]
- Huang, Y.; Wang, X.; Xiang, W.; Wang, T.; Otis, C.; Sarge, L.; Lei, Y.; Li, B. Forward-Looking Roadmaps for Long-Term Continuous Water Quality Monitoring: Bottlenecks, Innovations, and Prospects in a Critical Review. Environ. Sci. Technol. 2022, 56, 5334–5354. [Google Scholar] [CrossRef]
- Williams, S.B. Monitoring of Benthic Reference Sites: Using an Autonomous Underwater Vehicle. IEEE Robot. Autom. Mag. A Publ. IEEE Robot. Autom. Soc. 2012, 19, 73–84. [Google Scholar] [CrossRef]
- Mclean, D.L.; Parsons, M.J.G.; Gates, A.R.; Benfield, M.C.; Bond, T.; Booth, D.J.; Bunce, M.; Fowler, A.M.; Harvey, E.S.; Macreadie, P.I. Enhancing the Scientific Value of Industry Remotely Operated Vehicles (ROVs) in Our Oceans. Front. Mar. Sci. 2020, 7, 220. [Google Scholar] [CrossRef]
- Caiti, A.; Calabrò, V. Control-oriented modelling of a hybrid AUV. In Proceedings of the IEEE International Conference on Robotics & Automation, Anchorage, AK, USA, 3–7 May 2010; pp. 5275–5280. [Google Scholar]
- Manohar, K.L.V.; Maniyeri, R. An Inverse Design Method for Caudal Fin of a Biomimetic Propulsion System for AUVs Using Artificial Neural Networks. In Recent Trends in Fluid Dynamics Research; Springer: Singapore, 2022; pp. 277–285. [Google Scholar]
- Wang, C.; Wei, W.; Xie, G.; Hong, S. Real-time energy monitoring and management system and its application on bionic robotic fish. In Proceedings of the Intelligent Control & Automation, Shenyang, China, 29 June–4 July 2014. [Google Scholar]
- Yu, J.; Ming, W.; Dong, H.; Zhang, Y.; Wu, Z. Motion Control and Motion Coordination of Bionic Robotic Fish: A Review. J. Bionic Eng. 2018, 15, 579–598. [Google Scholar] [CrossRef]
- Wang, J. Robotic Fish: Development, Modeling, and Application to Mobile Sensing; Michigan State University: East Lansing, MI, USA, 2014; pp. 3256–3261. [Google Scholar]
- Tong, X.; Tang, C. Design of a monitoring system for robotic fish in underwater environment. Int. J. Veh. Inf. Commun. Syst. 2018, 3, 321. [Google Scholar] [CrossRef]
- Mojarrad, M.; Shahinpoor, M. Biomimetic robotic propulsion using polymeric artificial muscles. In Proceedings of the IEEE International Conference on Robotics & Automation, Albuquerque, NM, USA, 20–25 April 1997; Volume 3, pp. 2152–2157. [Google Scholar]
- Karimanzira, D.; Jacobi, M.; Pfuetzenreuter, T.; Rauschenbach, T.; Eichhorn, M.; Taubert, R.; Ament, C. First testing of an AUV mission planning and guidance system for water quality monitoring and fish behavior observation in net cage fish farming. Inf. Process. Agric. 2014, 1, 131–140. [Google Scholar]
- Xin, W.; Ma, L.; Yang, H. Online Water Monitoring System Based on ZigBee and GPRS. Procedia Eng. 2011, 15, 2680–2684. [Google Scholar]
- Zhang, J.; Hu, Q.; Shentu, J.; Jiang, Y. Frame-type AUV design and experiment for sea cage net damage detection. J. Shanghai Ocean Univ. 2016, 25, 607–612. [Google Scholar]
- Costa, D.; Palmieri, G.; Palpacelli, M.-C.; Panebianco, L.; Scaradozzi, D. Design of a Bio-Inspired Autonomous Underwater Robot. J. Intell. Robot. Syst. 2018, 91, 181–192. [Google Scholar] [CrossRef]
- Li, K.; Jiang, H.; Wang, S.; Yu, J. A Soft Robotic Fish with Variable-stiffness Decoupled Mechanisms. J. Bionic Eng. 2018, 15, 599–609. [Google Scholar] [CrossRef]
- Chen, B.; Jiang, H. Swimming Performance of a Tensegrity Robotic Fish. Soft Robot. 2019, 6, 520–531. [Google Scholar] [CrossRef]
- Theofilis, V. Spatial stability of incompressible attachment-line flow. Theor. Comput. Fluid Dyn. 1995, 7, 159–171. [Google Scholar] [CrossRef]
- Wang, Z.; Guo, Z. Biomimetic photonic structures with tunable structural colours: From natural to biomimetic to applications. J. Bionic Eng. 2018, 15, 1–33. [Google Scholar] [CrossRef]
- Butail, S.; Polverino, G.; Phamduy, P.; Sette, F.D.; Porfiri, M. Influence of robotic shoal size, configuration, and activity on zebrafish behavior in a free-swimming environment. Behav. Brain Res. 2014, 275, 269–280. [Google Scholar] [CrossRef]
- Srivastava, S.; Vaddadi, S.; Sadistap, S. Smartphone-based System for water quality analysis. Appl. Water Sci. 2018, 8, 130. [Google Scholar] [CrossRef]
- Geetha, S.; Gouthami, S. Internet of things enabled real time water quality monitoring system. Smart Water 2017, 2, 1. [Google Scholar] [CrossRef]
- Tong, X.; Chen, L.; Hua, Y.; Yang, L. Design on Monitoring System for Inland Lake Water Quality Based on Robotic Fish. Comput. Meas. Control 2017, 25, 6. [Google Scholar]







| Samples | Water Temperature | Turbidity | Ph Value | ||||||
|---|---|---|---|---|---|---|---|---|---|
| Test Value | Actual Value | Error | Test Value | Actual Value | Error | Test Value | Actual Value | Error | |
| 1 | 20.21 | 20.73 | 0.52 | 100.59 | 100.79 | 0.2 | 8.447 | 8.55 | 0.103 |
| 2 | 20.332 | 20.712 | 0.38 | 101.56 | 101.775 | 0.215 | 8.45 | 8.569 | 0.119 |
| 3 | 20.422 | 20.644 | 0.242 | 105.95 | 106.173 | 0.223 | 8.489 | 8.587 | 0.098 |
| 4 | 20.51 | 20.407 | 0.103 | 120.89 | 121.09 | 0.2 | 8.502 | 8.603 | 0.101 |
| 5 | 20.553 | 20.468 | 0.085 | 121.32 | 121.526 | 0.206 | 8.507 | 8.623 | 0.116 |
| 6 | 20.597 | 20.8 | 0.203 | 130.85 | 131.109 | 0.259 | 8.548 | 8.674 | 0.126 |
| 7 | 20.6 | 20.903 | 0.303 | 133.89 | 134.151 | 0.261 | 8.561 | 8.693 | 0.132 |
| 8 | 20.662 | 20.821 | 0.159 | 140.96 | 141.235 | 0.275 | 8.575 | 8.705 | 0.130 |
Disclaimer/Publisher’s Note: The statements, opinions and data contained in all publications are solely those of the individual author(s) and contributor(s) and not of MDPI and/or the editor(s). MDPI and/or the editor(s) disclaim responsibility for any injury to people or property resulting from any ideas, methods, instructions or products referred to in the content. |
© 2023 by the authors. Licensee MDPI, Basel, Switzerland. This article is an open access article distributed under the terms and conditions of the Creative Commons Attribution (CC BY) license (https://creativecommons.org/licenses/by/4.0/).
Share and Cite
Chen, X.; Li, D.; Mo, D.; Cui, Z.; Li, X.; Lian, H.; Gong, M. Three-Dimensional Printed Biomimetic Robotic Fish for Dynamic Monitoring of Water Quality in Aquaculture. Micromachines 2023, 14, 1578. https://doi.org/10.3390/mi14081578
Chen X, Li D, Mo D, Cui Z, Li X, Lian H, Gong M. Three-Dimensional Printed Biomimetic Robotic Fish for Dynamic Monitoring of Water Quality in Aquaculture. Micromachines. 2023; 14(8):1578. https://doi.org/10.3390/mi14081578
Chicago/Turabian StyleChen, Xiaojun, Dejin Li, Deyun Mo, Zaifu Cui, Xin Li, Haishan Lian, and Manfeng Gong. 2023. "Three-Dimensional Printed Biomimetic Robotic Fish for Dynamic Monitoring of Water Quality in Aquaculture" Micromachines 14, no. 8: 1578. https://doi.org/10.3390/mi14081578
APA StyleChen, X., Li, D., Mo, D., Cui, Z., Li, X., Lian, H., & Gong, M. (2023). Three-Dimensional Printed Biomimetic Robotic Fish for Dynamic Monitoring of Water Quality in Aquaculture. Micromachines, 14(8), 1578. https://doi.org/10.3390/mi14081578
