Simplified Phenomenological Model for Ferroelectric Micro-Actuator †
Abstract
1. Introduction
2. Background Theory
2.1. Notations
2.2. Basic Equations
2.3. Thermodynamic Consistency
3. Finite-Element Formulation
3.1. Return Mapping
| Algorithm 1: Return mapping algorithm. |
![]() |
3.2. Weak-Form and Solving Procedure
| Algorithm 2: Finite element framework of ferroelectricty. |
![]() |
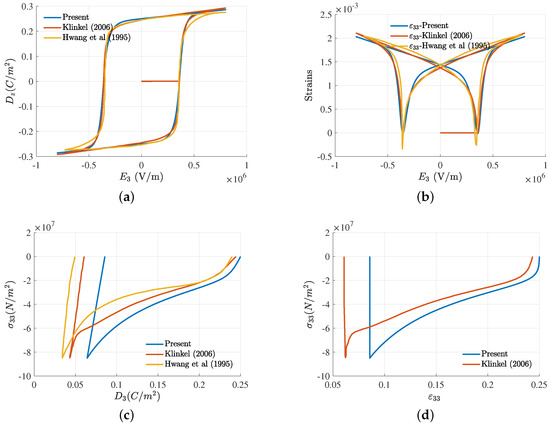
4. Numerical Examples
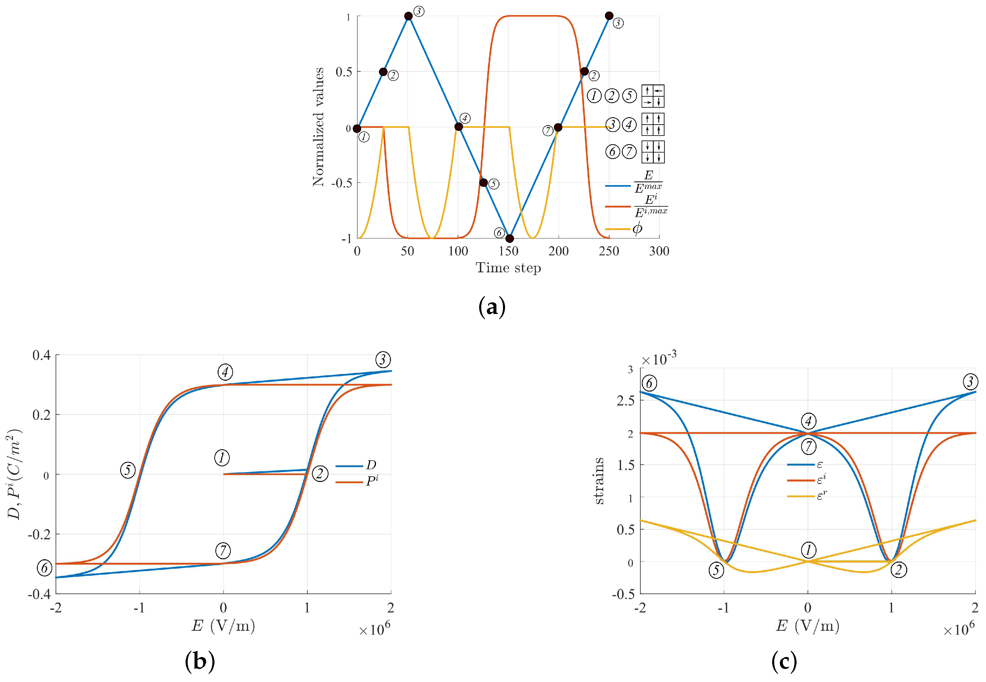
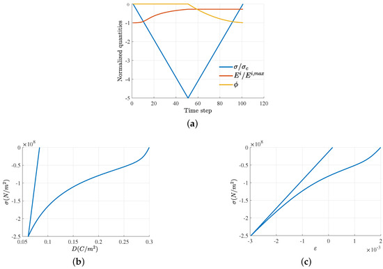
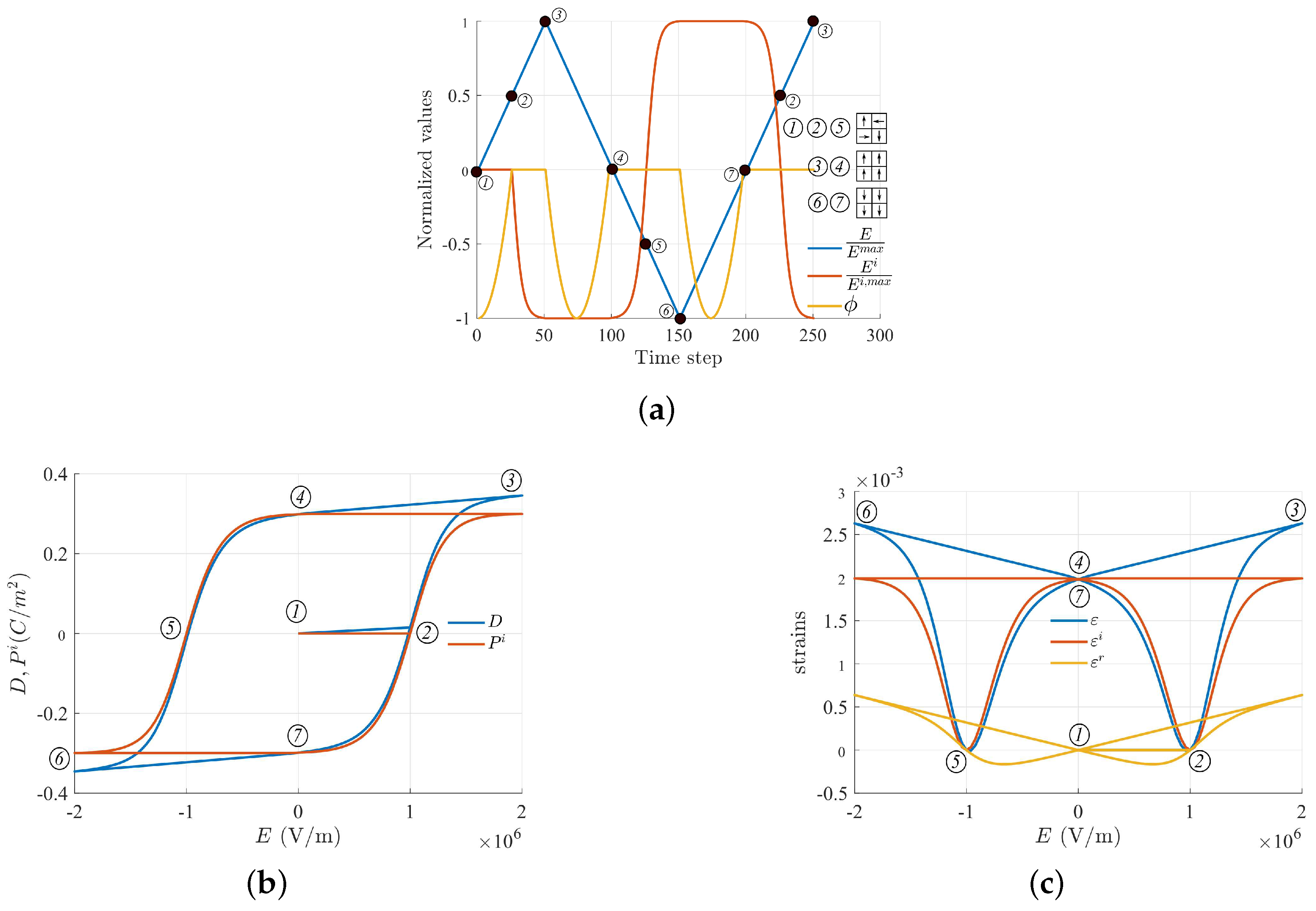
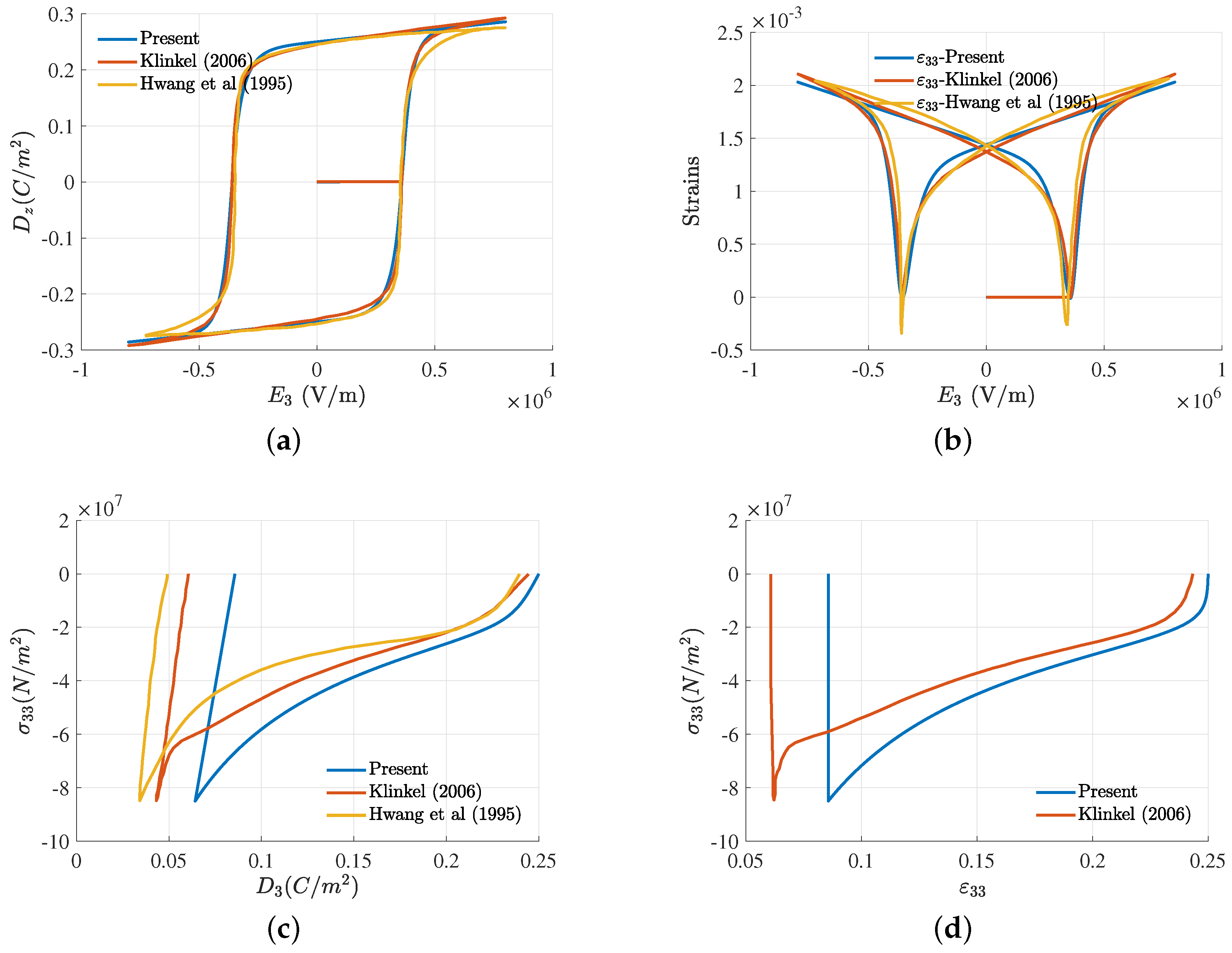
4.1. Analytical Solutions
4.2. Ferroelectric Cube
4.3. Ferroelectric Actuator
5. Conclusions
Author Contributions
Funding
Institutional Review Board Statement
Informed Consent Statement
Data Availability Statement
Conflicts of Interest
Appendix A. Partial Derivatives
Appendix B. Matrix Forms
References
- Kamlah, M. Ferroelectric and ferroelastic piezoceramics modeling of electromechanical hysteresis phenomena. Contin. Mech. Thermodyn. 2001, 4, 219–268. [Google Scholar] [CrossRef]
- Landis, C.M. Non-linear constitutive modeling of ferroelectrics. Curr. Opin. Solid State Mater. Sci. 2004, 8, 59–69. [Google Scholar] [CrossRef]
- Huber, J. Micromechanical modelling of ferroelectrics. Curr. Opin. Solid State Mater. Sci. 2005, 9, 100–106. [Google Scholar] [CrossRef]
- Damjanovic, D. Hysteresis in Piezoelectric and Ferroelectric Materials; Technical Report; Academic Press: Cambridge, MA, USA, 2006. [Google Scholar]
- Hwang, S.; Lynch, C.; McMeeking, R. Ferroelectric/ferroelastic interactions and a polarization switching model. Acta Metall. Mater. 1995, 43, 2073–2084. [Google Scholar] [CrossRef]
- Hwang, S.C.; Huber, J.E.; McMeeking, R.M.; Fleck, N.A. The simulation of switching in polycrystalline ferroelectric ceramics. J. Appl. Phys. 1998, 84, 1530–1540. [Google Scholar] [CrossRef]
- Chen, W.; Lynch, C. A micro-electro-mechanical model for polarization switching of ferroelectric materials. Acta Mater. 1998, 46, 5303–5311. [Google Scholar] [CrossRef]
- Lu, W.; Fang, D.N.; Li, C.; Hwang, K.C. Nonlinear electric-mechanical behavior and micromechanics modelling of ferroelectric domain evolution. Acta Mater. 1999, 47, 2913–2926. [Google Scholar] [CrossRef]
- Li, F.; Fang, D. Simulations of domain switching in ferroelectrics by a three-dimensional finite element model. Mech. Mater. 2004, 36, 959–973. [Google Scholar] [CrossRef]
- Huber, J.; Fleck, N.; Landis, C.; McMeeking, R. A constitutive model for ferroelectric polycrystals. J. Mech. Phys. Solids 1999, 47, 1663–1697. [Google Scholar] [CrossRef]
- Landis, C.M.; McMeeking, R.M. A self-consistent constitutive model for switching in polycrystalline barium titanate. Ferroelectrics 2001, 255, 13–34. [Google Scholar] [CrossRef]
- Pathak, A.; McMeeking, R.M. Three-dimensional finite element simulations of ferroelectric polycrystals under electrical and mechanical loading. J. Mech. Phys. Solids 2008, 56, 663–683. [Google Scholar] [CrossRef]
- Fang, D.; Li, F.; Soh, A.; Liu, T. Analysis of the electromechanical behavior of ferroelectric ceramics based on a nonlinear finite element model. Acta Mech. Sin. 2005, 21, 294–304. [Google Scholar] [CrossRef]
- Arockiarajan, A.; Delibas, B.; Menzel, A.; Seemann, W. Studies on rate-dependent switching effects of piezoelectric materials using a finite element model. Comput. Mater. Sci. 2006, 37, 306–317. [Google Scholar] [CrossRef]
- Arockiarajan, A.; Menzel, A.; Delibas, B.; Seemann, W. Micromechanical modeling of switching effects in piezoelectric materials—A robust coupled finite element approach. J. Intell. Mater. Syst. Struct. 2007, 18, 983–999. [Google Scholar] [CrossRef]
- Kushnir, U.; Rabinovitch, O. Grain orientation scattering in nonlinear constitutive modeling of piezoelectric-ferroelectric materials. J. Intell. Mater. Syst. Struct. 2007, 18, 1149–1163. [Google Scholar] [CrossRef]
- Preisach, F. Über die magnetische Nachwirkung. Z. Phys. 1935, 94, 277–302. [Google Scholar] [CrossRef]
- Mayergoyz, I. Mathematical models of hysteresis. IEEE Trans. Magn. 1986, 22, 603–608. [Google Scholar] [CrossRef]
- Pasco, Y.; Berry, A. A hybrid analytical/numerical model of piezoelectric stack actuators using a macroscopic nonlinear theory of ferroelectricity and a Preisach model of hysteresis. J. Intell. Mater. Syst. Struct. 2004, 15, 375–386. [Google Scholar] [CrossRef]
- Hegewald, T.; Leder, E.; Kaltenbacher, M.; Lerch, R. Efficient Modeling of Ferroelectric Behavior for the Finite Element Analysis of Piezoelectric Actuators. In Proceedings of the 2006 15th IEEE International Symposium on the Applications of Ferroelectrics, Sunset Beach, NC, USA, 30 July–3 August 2006; IEEE: New York, NY, USA, 2006; pp. 236–239. [Google Scholar]
- Kaltenbacher, M. Numerical Simulation of Mechatronic Sensors and Actuators; Springer: Berlin/Heidelberg, Germany, 2007; Volume 2. [Google Scholar]
- Kaltenbacher, M.; Kaltenbacher, B.; Hegewald, T.; Lerch, R. Finite element formulation for ferroelectric hysteresis of piezoelectric materials. J. Intell. Mater. Syst. Struct. 2010, 21, 773–785. [Google Scholar] [CrossRef]
- Butz, A.; Klinkel, S.; Wagner, W. A geometrically and materially non-linear piezoelectric three-dimensional-beam finite element formulation including warping effects. Int. J. Numer. Methods Eng. 2008, 76, 601–635. [Google Scholar] [CrossRef]
- Schulz, K.; Klinkel, S.; Wagner, W. A finite element formulation for piezoelectric shell structures considering geometrical and material non-linearities. Int. J. Numer. Methods Eng. 2011, 87, 491–520. [Google Scholar] [CrossRef]
- Chen, P.; Peercy, P. One dimensional dynamic electromechanical constitutive relations of ferroelectric materials. Acta Mech. 1979, 31, 231–241. [Google Scholar] [CrossRef]
- Chen, P.J. Three dimensional dynamic electromechanical constitutive relations for ferroelectric materials. Int. J. Solids Struct. 1980, 16, 1059–1067. [Google Scholar] [CrossRef]
- Bassiouny, E.; Ghaleb, A.; Maugin, G. Thermodynamical formulation for coupled electromechanical hysteresis effects—I. Basic equations. Int. J. Eng. Sci. 1988, 26, 1279–1295. [Google Scholar] [CrossRef]
- Bassiouny, E.; Maugin, G. Thermodynamical formulation for coupled electromechanical hysteresis effects—III. Parameter identification. Int. J. Eng. Sci. 1989, 27, 975–987. [Google Scholar] [CrossRef]
- Bassiouny, E.; Maugin, G. Thermodynamical formulation for coupled electromechanical hysteresis effects—IV. Combined electromechanical loading. Int. J. Eng. Sci. 1989, 27, 989–1000. [Google Scholar] [CrossRef]
- Cocks, A.C.; Mcmeeking, R.M. A phenomenological constitutive law for the behaviour of ferroelectric ceramics. Ferroelectrics 1999, 228, 219–228. [Google Scholar] [CrossRef]
- Landis, C.M. Fully coupled, multi-axial, symmetric constitutive laws for polycrystalline ferroelectric ceramics. J. Mech. Phys. Solids 2002, 50, 127–152. [Google Scholar] [CrossRef]
- McMeeking, R.M.; Landis, C.M. A phenomenological multi-axial constitutive law for switching in polycrystalline ferroelectric ceramics. Int. J. Eng. Sci. 2002, 40, 1553–1577. [Google Scholar] [CrossRef]
- Kamlah, M.; Tsakmakis, C. Phenomenological modeling of the non-linear electro-mechanical coupling in ferroelectrics. Int. J. Solids Struct. 1999, 36, 669–695. [Google Scholar] [CrossRef]
- Kamlah, M.; Böhle, U. Finite element analysis of piezoceramic components taking into account ferroelectric hysteresis behavior. Int. J. Solids Struct. 2001, 38, 605–633. [Google Scholar] [CrossRef]
- Elhadrouz, M.; Zineb, T.B.; Patoor, E. Constitutive law for ferroelastic and ferroelectric piezoceramics. J. Intell. Mater. Syst. Struct. 2005, 16, 221–236. [Google Scholar] [CrossRef]
- Schwaab, H.; Grünbichler, H.; Supancic, P.; Kamlah, M. Macroscopical non-linear material model for ferroelectric materials inside a hybrid finite element formulation. Int. J. Solids Struct. 2012, 49, 457–469. [Google Scholar] [CrossRef]
- Zhou, X.; Chattopadhyay, A. Hysteresis behavior and modeling of piezoceramic actuators. J. Appl. Mech. 2001, 68, 270–277. [Google Scholar] [CrossRef]
- Mehling, V.; Tsakmakis, C.; Gross, D. Phenomenological model for the macroscopical material behavior of ferroelectric ceramics. J. Mech. Phys. Solids 2007, 55, 2106–2141. [Google Scholar] [CrossRef]
- Stark, S.; Neumeister, P.; Balke, H. A hybrid phenomenological model for ferroelectroelastic ceramics. Part I: Single phased materials. J. Mech. Phys. Solids 2016, 95, 774–804. [Google Scholar] [CrossRef]
- Stark, S.; Neumeister, P.; Balke, H. A hybrid phenomenological model for ferroelectroelastic ceramics. Part II: Morphotropic PZT ceramics. J. Mech. Phys. Solids 2016, 95, 805–826. [Google Scholar] [CrossRef]
- Wang, J.J.; Wang, B.; Chen, L.Q. Understanding, predicting, and designing ferroelectric domain structures and switching guided by the phase-field method. Annu. Rev. Mater. Res. 2019, 49, 127–152. [Google Scholar] [CrossRef]
- Wang, J.; Shi, S.Q.; Chen, L.Q.; Li, Y.; Zhang, T.Y. Phase-field simulations of ferroelectric/ferroelastic polarization switching. Acta Mater. 2004, 52, 749–764. [Google Scholar] [CrossRef]
- Choudhury, S.; Li, Y.; Krill Iii, C.; Chen, L.Q. Phase-field simulation of polarization switching and domain evolution in ferroelectric polycrystals. Acta Mater. 2005, 53, 5313–5321. [Google Scholar] [CrossRef]
- Schrade, D.; Mueller, R.; Xu, B.; Gross, D. Domain evolution in ferroelectric materials: A continuum phase field model and finite element implementation. Comput. Methods Appl. Mech. Eng. 2007, 196, 4365–4374. [Google Scholar] [CrossRef]
- Su, Y.; Landis, C.M. Continuum thermodynamics of ferroelectric domain evolution: Theory, finite element implementation, and application to domain wall pinning. J. Mech. Phys. Solids 2007, 55, 280–305. [Google Scholar] [CrossRef]
- Völker, B.; Marton, P.; Elsässer, C.; Kamlah, M. Multiscale modeling for ferroelectric materials: A transition from the atomic level to phase-field modeling. Contin. Mech. Thermodyn. 2011, 23, 435–451. [Google Scholar] [CrossRef]
- Völker, B.; Landis, C.M.; Kamlah, M. Multiscale modeling for ferroelectric materials: Identification of the phase-field model’s free energy for PZT from atomistic simulations. Smart Mater. Struct. 2012, 21, 035025. [Google Scholar] [CrossRef]
- Schröder, J.; Gross, D. Invariant formulation of the electromechanical enthalpy function of transversely isotropic piezoelectric materials. Arch. Appl. Mech. 2004, 73, 533–552. [Google Scholar] [CrossRef]
- Schröder, J.; Romanowski, H. A simple coordinate invariant thermodynamic consistent model for nonlinear electro-mechanical coupled ferroelectrica. In Proceedings of the European Congress on Computational Methods in Applied Sciences and Engineering (ECCOMAS), Jyväskylä, Finland, 24–28 July 2004. [Google Scholar]
- Schröder, J.; Romanowski, H. A thermodynamically consistent mesoscopic model for transversely isotropic ferroelectric ceramics in a coordinate-invariant setting. Arch. Appl. Mech. 2005, 74, 863–877. [Google Scholar] [CrossRef]
- Ghandi, K.; Hagood, N.W. Hybrid finite element model for phase transitions in nonlinear electromechanically coupled material. In Proceedings of the Smart Structures and Materials 1997: Mathematics and Control in Smart Structures, San Diego, CA, USA, 3–6 March 1997; International Society for Optics and Photonics: Bellingham, WA, USA, 1997; Volume 3039, pp. 97–112. [Google Scholar]
- Klinkel, S. A phenomenological constitutive model for ferroelastic and ferroelectric hysteresis effects in ferroelectric ceramics. Int. J. Solids Struct. 2006, 43, 7197–7222. [Google Scholar] [CrossRef]
- Semenov, A.S.; Liskowsky, A.C.; Balke, H. Return mapping algorithms and consistent tangent operators in ferroelectroelasticity. Int. J. Numer. Methods Eng. 2010, 81, 1298–1340. [Google Scholar] [CrossRef]
- Stark, S.; Roth, S.; Neumeister, P.; Balke, H. Modifications of the Newton–Raphson method for finite element simulations in ferroelectroelasticity. Int. J. Solids Struct. 2013, 50, 773–780. [Google Scholar] [CrossRef][Green Version]
- Klinkel, S. A thermodynamic consistent 1D model for ferroelastic and ferroelectric hysteresis effects in piezoceramics. Commun. Numer. Methods Eng. 2006, 22, 727–739. [Google Scholar] [CrossRef]
- Schenk, T.; Yurchuk, E.; Mueller, S.; Schroeder, U.; Starschich, S.; Böttger, U.; Mikolajick, T. About the deformation of ferroelectric hystereses. Appl. Phys. Rev. 2014, 1, 041103. [Google Scholar] [CrossRef]
- Jin, L.; Li, F.; Zhang, S. Decoding the fingerprint of ferroelectric loops: Comprehension of the material properties and structures. J. Am. Ceram. Soc. 2014, 97, 1–27. [Google Scholar] [CrossRef]
- Wang, X.; Li, B.; Zhong, X.; Zhang, Y.; Wang, J.; Zhou, Y. Effects of space charge distribution on ferroelectric hysteresis loops considering the inhomogeneous built-in electric field: A phase field simulation. J. Appl. Phys. 2012, 112, 114103. [Google Scholar] [CrossRef]
- Fedeli, P.; Kamlah, M.; Frangi, A. Phase-field modeling of domain evolution in ferroelectric materials in the presence of defects. Smart Mater. Struct. 2019, 28, 035021. [Google Scholar] [CrossRef]
- Nguyen, B.; Zhuang, X.; Rabczuk, T. NURBS-based formulation for nonlinear electro-gradient elasticity in semiconductors. Comput. Methods Appl. Mech. Eng. 2019, 346, 1074–1095. [Google Scholar] [CrossRef]







| b | ||||||||
|---|---|---|---|---|---|---|---|---|
| 25.5802 | 1.001 | 0.053 |
| Elastic moduli | Piezoelectric constants | |||||||
| 109 | 59 | 59 | 109 | 109 | −14.96 | 50.116 | 38.148 | |
| Dielectric permittivity | Ferroelectric parameters | |||||||
| b | ||||||||
| 0.25 | 0.00144 | 1.0001 | ||||||
| PZT Layer | ||||||||
| Elastic moduli | Piezoelectric constants | |||||||
| 127.2 | 80.2 | 84.7 | 117.4 | 23 | −16.0 | 11.7 | 17 | |
| Dielectric permittivity | Ferroelectric parameters | |||||||
| b | ||||||||
| 15.1 | 6.2 | 0.36 | 0 | 6.2 | 1/tan(0.3) | 1.1 | ||
| Silicon direction | ||||||||
| Elastic moduli | ||||||||
| 194.5 | 35.7 | 64.1 | 165.7 | 79.6 | 50.9 | |||
Disclaimer/Publisher’s Note: The statements, opinions and data contained in all publications are solely those of the individual author(s) and contributor(s) and not of MDPI and/or the editor(s). MDPI and/or the editor(s) disclaim responsibility for any injury to people or property resulting from any ideas, methods, instructions or products referred to in the content. |
© 2023 by the authors. Licensee MDPI, Basel, Switzerland. This article is an open access article distributed under the terms and conditions of the Creative Commons Attribution (CC BY) license (https://creativecommons.org/licenses/by/4.0/).
Share and Cite
Nguyen, B.H.; Torri, G.B.; Zunic, M.; Rochus, V. Simplified Phenomenological Model for Ferroelectric Micro-Actuator. Micromachines 2023, 14, 1355. https://doi.org/10.3390/mi14071355
Nguyen BH, Torri GB, Zunic M, Rochus V. Simplified Phenomenological Model for Ferroelectric Micro-Actuator. Micromachines. 2023; 14(7):1355. https://doi.org/10.3390/mi14071355
Chicago/Turabian StyleNguyen, Binh Huy, Guilherme Brondani Torri, Maja Zunic, and Véronique Rochus. 2023. "Simplified Phenomenological Model for Ferroelectric Micro-Actuator" Micromachines 14, no. 7: 1355. https://doi.org/10.3390/mi14071355
APA StyleNguyen, B. H., Torri, G. B., Zunic, M., & Rochus, V. (2023). Simplified Phenomenological Model for Ferroelectric Micro-Actuator. Micromachines, 14(7), 1355. https://doi.org/10.3390/mi14071355



