Evaluation of Polydimethylsiloxane (PDMS) as a Substrate for the Realization of Flexible/Wearable Antennas and Sensors
Abstract
:1. Introduction
2. Development of PDMS
3. Investigation of Direction-Specific Dielectric Parameters (Anisotropy) of PDMS: Bi-Resonator Method
Bi-Resonator Method
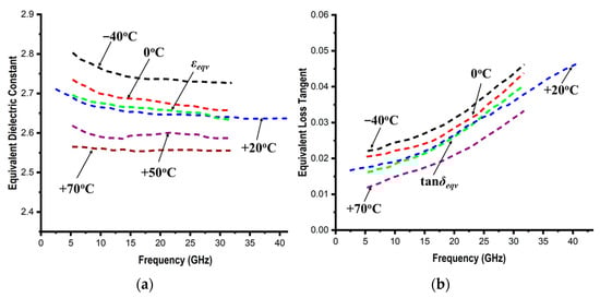
4. Variation of the Dielectric Parameters of PDMS with Temperature
5. Bending and Anisotropy Influence
6. Conclusions
Author Contributions
Funding
Institutional Review Board Statement
Informed Consent Statement
Data Availability Statement
Acknowledgments
Conflicts of Interest
References
- Yin, A.; Zhang, C.; Luo, J.; Liu, J.; Ren, Z.; Wang, Y.; Ye, Y.; Yin, R.; Feng, Q.; Chen, Y.; et al. A highly sensitive and miniaturized wearable antenna based on MXene films for strain sensing. Mater. Adv. 2023, 4, 917–922. [Google Scholar] [CrossRef]
- Najafi Khoshnoo, S.; Kim, T.; Tavares-Negrete, J.A.; Pei, X.; Das, P.; Lee, S.W.; Rajendran, J.; Esfandyarpour, R. A 3D Nanomaterials-Printed Wearable, Battery-Free, Biocompatible, Flexible, and Wireless pH Sensor System for Real-Time Health Monitoring. Adv. Mater. Technol. 2023, 2201655. [Google Scholar] [CrossRef]
- Shah, A.H.; Patel, P.N. Embroidered Annular Elliptical E-Textile Antenna Sensor for Knee Effusion Diagnosis. IEEE Sens. J. 2023, 23, 4809–4818. [Google Scholar] [CrossRef]
- Pal, A.; Ahmad, D.; Pal, S.; Ghazali, A.N. Efficient and low SAR dual functional wearable antenna in RFID ISM and GPS L1 bands for positioning applications. Wirel. Netw. 2023, 1–13. [Google Scholar] [CrossRef]
- Anilkumar, T.; Madhav, B.T.; Rao, M.V.; Nadh, B.P.; Kumar, P.R. Automotive communication applications based circular ring antenna with reconfigurability and conformal nature. Int. J. Commun. Syst. 2023, 36, e5364. [Google Scholar] [CrossRef]
- Conti, S.; Nepa, F.; Di Pascoli, S.; Brunetti, I.; Pimpolari, L.; Song, X.; Parvez, K.; Javanbakht Lomeri, H.; De Rossi, F.; Lucarelli, G.; et al. Hybrid flexible NFC sensor on paper. IEEE J. Flex. Electron. 2023, 1–7. [Google Scholar] [CrossRef]
- Ou, X.; Chen, P.; Liu, B.-F. Optical Technologies for Single-Cell Analysis on Microchips. Chemosensors 2023, 11, 40. [Google Scholar] [CrossRef]
- Ren, L.-F.; Xia, F.; Shao, J.; Zhang, X.; Li, J. Experimental investigation of the effect of electrospinning parameters on properties of superhydrophobic PDMS/PMMA membrane and its application in membrane distillation. Desalination 2017, 404, 155–166. [Google Scholar] [CrossRef]
- Miranda, I.; Souza, A.; Sousa, P.; Ribeiro, J.; Castanheira, E.M.; Lima, R.; Minas, G. Properties and applications of PDMS for biomedical engineering: A review. J. Funct. Biomater. 2021, 13, 2. [Google Scholar] [CrossRef] [PubMed]
- Mukesh, A.N.; Sharma, P.K.; Yadav, V.P.; Payal, P.O.; Solanki, L. Design and Analysis of an Edge Truncated Flexible Antenna for Wi-Fi Applications. In Proceedings of the 2022 International Conference on Electronics and Renewable Systems (ICEARS), Tamil Nadu, India, 16–18 March 2022; pp. 1861–1864. [Google Scholar] [CrossRef]
- Sharma, P.K.; Gupta, N. A CPW-fed circular SRR-inspired flexible antenna using polydimethylsiloxane (PDMS) substrate for WLAN and WBAN applications. IEEE J. Flex. Electron. 2022, 1, 39–46. [Google Scholar] [CrossRef]
- Simorangkir, R.B.V.B.; Kiourti, A.; Esselle, K.P. UWB wearable antenna with a full ground plane based on PDMS-embedded conductive fabric. IEEE Antennas Wirel. Propag. Lett. 2018, 17, 493–496. [Google Scholar] [CrossRef]
- Abbas, S.M.; Desai, S.C.; Esselle, K.P.; Volakis, J.L.; Hashmi, R.M. Design and characterization of a flexible wideband antenna using polydimethylsiloxane composite substrate. Int. J. Antennas Propag. 2018, 2018, 1–6. [Google Scholar] [CrossRef]
- Janapala, D.K.; Nesasudha, M.; Neebha, T.M.; Kumar, R. Design and development of flexible PDMS antenna for UWB-WBAN applications. Wirel. Pers. Commun. 2022, 122, 1–17. [Google Scholar] [CrossRef]
- Kent, G. Nondestructive permittivity measurement of substrates. IEEE Trans. Instrum. Meas. 1996, 45, 102–106. [Google Scholar] [CrossRef]
- Hasar, U.C.; Kaya, Y.; Ozturk, H.; Izginli, M.; Ertugrul, M.; Barroso, J.J.; Ramahi, O.M. Improved Method for Permittivity Determination of Dielectric Samples by Free-Space Measurements. IEEE Trans. Instrum. Meas. 2022, 71, 1–8. [Google Scholar] [CrossRef]
- Courtney, W.E. Analysis and Evaluation of a Method of Measuring the Complex Permittivity and Permeability Microwave Insulators. IEEE Trans. Microw. Theory Tech. 1970, 18, 476–485. [Google Scholar] [CrossRef]
- Kato, Y.; Horibe, M. Broadband Permittivity Measurements Using a Frequency-Variable Balanced-Type Circular-Disk Resonator. In Proceedings of the 2018 Conference on Precision Electromagnetic Measurements (CPEM 2018), Paris, France, 8–13 July 2018. [Google Scholar] [CrossRef]
- Dankov, P.I. Two-resonator method for measurement of dielectric anisotropy in multilayer samples. IEEE Trans. Microw. Theory Tech. 2006, 54, 1534–1544. [Google Scholar] [CrossRef]
- Gouda, F.; Anderson, G.; Matuszczyk, M.; Matuszczyk, T.; Skarp, K.; Lagerwall, S.T. Dielectric anisotropy and dielectric torque in ferroelectric liquid crystals and their importance for electro-optic device performance. J. Appl. Phys. 1990, 67, 180–186. [Google Scholar] [CrossRef]
- Zhang, G.; Sun, Y.; Qian, B.; Gao, H.; Zuo, D. Experimental study on mechanical performance of polydimethylsiloxane (PDMS) at various temperatures. Polym. Test. 2020, 90, 106670. [Google Scholar] [CrossRef]
- Ali Khan, M.U.; Raad, R.; Tubbal, F.; Theoharis, P.I.; Liu, S.; Foroughi, J. Bending analysis of polymer-based flexible antennas for wearable, general IoT applications: A review. Polymers 2011, 13, 357. [Google Scholar] [CrossRef] [PubMed]














| Resonator Type (RA/RB) | Diameter (DA/B) mm | Height (HA/B) mm | Typical Res. Frequency (fe1,2) of Used Modes GHz | Typical Unloaded Q Factor (Qe1,2) of Used Modes | Equivalent Diameter (Deqv1,2) mm | Wall Conductivity (σeqv1,2) S/m |
|---|---|---|---|---|---|---|
| RA.1 | 30.50 | 30.50 | 13.1620/TE011 19.2897/TE013 21.8426/TE021 32.5980/TE031 | 19,213 15,671 5101 4978 | 30.0642 30.0794 30.0489 30.0594 | 3.152 × 107 1.453 × 107 1.234 × 106 8.572 × 105 |
| RA.2 | 18.20 | 18.15 | 21.7990/TE011 37.8514/TE021 | 13,281 2874 | 18.1361 18.1245 | 2.465 × 107 6.452 × 105 |
| RB.1 | 30.50 | 12.26 | 7.6559/TM010 17.5305/TM020 27.4883/TM030 | 6910 7632 9875 | 30.0234 30.0145 30.0253 | 3.589 × 107 1.845 × 107 1.975 × 107 |
| RB.2 | 18.30 | 12.20 | 12.6381/TM010 29.0065/TM020 | 7280 5642 | 18.1448 18.1502 | 3.779 × 107 1.031 × 107 |
| (a) | |||
| PDMS Sample No. (Diameter, sd mm; Height, sh mm) | Parallel Dielectric Constant (εpar) | Parallel Loss Tangent (tanδpar) | Resonance Frequency fs (GHz)/Mode |
| Resonator RA.1 (DA.1 = 30.50 mm; HA.1 = 30.50 mm) | |||
| 1 (30.50; 0.67 ± 0.09) | 2.719 ± 0.006 2.715 ± 0.005 | 0.0362 ± 0.0009 0.0359 ± 0.0012 | 12.609/TE011 21.675/TE021 |
| 2 (18.20; 0.71 ± 0.03) | 2.663 ± 0.007 2.701 ± 0.009 | 0.0255 ± 0.0009 0.0290 ± 0.0017 | 12.786/TE011 22.231/TE021 |
| 3 (14.9; 0.58 ± 0.06) | 2.689 ± 0.007 2.710 ± 0.005 | 0.0241 ± 0.0001 0.0282 ± 0.0012 | 12.887/TE011 22.285/TE021 |
| 4 (10.1; 0.59 ± 0.02) | 2.597 ± 0.004 2.607 ± 0.003 | 0.0258 ± 0.0015 0.0261 ± 0.0009 | 13.058/TE011 22.38/TE021 |
| 5 (7.8; 0.72 ± 0.05) | 2.806 ± 0.014 2.781 ± 0.012 | 0.0275 ± 0.0014 0.0281 ± 0.0012 | 13.058/TE011 22.751/TE021 |
| Resonator RA.2 (DA.2 = 18.20 mm; HA.2 = 18.15 mm) | |||
| 1 (18.20; 0.71 ± 0.03) | 2.712 ± 0.002 2.691 ± 0.005 | 0.0274 ± 0.0006 0.0280 ± 0.0005 | 20.402/TE011 35.238/TE021 |
| 2 (10.1; 0.59 ± 0.02) | 2.697 ± 0.005 | 0.0254 ± 0.0015 | 13.256/TE011 |
| 3 (7.8; 0.72 ± 0.05) | 2.735 ± 0.012 | 0.0236 ± 0.0014 | 21.753/TE011 |
| (b) | |||
| PDMS Sample No. (Diameter, sd mm; Height, sh mm) | Perpendicular Dielectric Constant (εperp) | Perpendicular Loss Tangent (tanδperp) | Resonance frequency fs (GHz)/mode |
| Resonator RB.1 (DB.1 = 30.50 mm; HB.1 = 12.26 mm) | |||
| 1 (30.50; 0.67 ± 0.09) | 2.590 ± 0.007 2.550 ± 0.014 | 0.0174 ± 0.0006 0.0232 ± 0.0013 | 7.520/TM010 17.185/TM020 |
| 2 (18.20; 0.71 ± 0.03) | 2.585 ± 0.009 2.508 ± 0.012 | 0.0201 ± 0.0004 0.0195 ± 0.0014 | 7.579/TM010 17.391/TM020 |
| 3 (14.9; 0.58 ± 0.06) | 2.589 ± 0.009 2.568 ± 0.010 | 0.0205 ± 0.0009 0.0249 ± 0.0009 | 7.578/TM010 17.267/TM020 |
| 4 (10.1; 0.59 ± 0.02) | 2.598 ± 0.005 2.567 ± 0.012 | 0.0186 ± 0.0008 0.0224 ± 0.0012 | 7.682/TM010 17.425/TM020 |
| 5 (7.8; 0.72 ± 0.05) | 2.585 ± 0.014 2.568 ± 0.012 | 0.0210 ± 0.0004 0.0220 ± 0.0016 | 7.612/TM010 17.485/TM020 |
| Resonator RB.2 (DB.2 = 18.30 mm; HB.2 = 12.20 mm) | |||
| 1 (18.20; 0.71 ± 0.03) | 2.601 ± 0.004 2.572 ± 0.012 | 0.0232 ± 0.0007 0.0265 ± 0.0012 | 12.514/TM010 28.981/TM020 |
| 2 (14.9; 0.58 ± 0.06) | 2.490 ± 0.011 2.458 ± 0.016 | 0.0189 ± 0.0012 0.0211 ± 0.0011 | 12.589/TM010 28.612/TM020 |
| 3 (10.1; 0.59 ± 0.02) | 2.580 ± 0.012 2.498 ± 0.013 | 0.0188 ± 0.0012 0.0215 ± 0.0010 | 12.899/TM010 29.8752/TM020 |
| 4 (7.8; 0.72 ± 0.05) | 2.601 ± 0.018 2.632 ± 0.016 | 0.0235 ± 0.0014 0.0291 ± 0.0011 | 12.465/TM010 29.152/TM020 |
| Substrates | εpar | tanδpar | εperp | tanδperp | εeqv | tanδeqv |
|---|---|---|---|---|---|---|
| Polydimethylsiloxane (PDMS) | 2.717 ± 0.005 | 0.0360 ± 0.0010 | 2.570 ± 0.010 | 0.0203 ± 0.0009 | 2.643 ± 0.007 | 0.0281 ± 0.0009 |
| Polytetrafluoroethylene (PTFE) | 2.052 ± 0.007 | 0.00034 ± 0.00011 | 2.035 ± 0.018 | 0.00021 ± 0.00004 | 2.043 ± 0.012 | 0.00027 ± 0.00007 |
| Cyclic olefin polymer (COP) | 2.325 ± 0.008 | 0.00053 ± 0.00004 | 2.289 ± 0.035 | 0.00027 ± 0.00005 | 2.307 ± 0.021 | 0.00040 ± 0.000045 |
| Polycarbonate (PC) | 2.765 ± 0.005 | 0.0057 ± 0.0002 | 2.754 ± 0.013 | 0.0054 ± 0.0007 | 2.759 ± 0.009 | 0.0055 ± 0.0004 |
| RA (TE011) | RB (TM010) | Temperature (°C) | ||
|---|---|---|---|---|
| fe1/Qe1 | Deqv1/σeqv1 | fe2/Qe2 | Deqv2/σeqv2 | |
| 13.1659/16,090 | 30.0182/2.21 × 107 | 7.6540/7080 | 29.9822/3.69 × 107 | −40 |
| 13.1638/15,555 | 30.0238/2.06 × 107 | 7.6503/6890 | 29.9969/3.49 × 107 | −20 |
| 13.1587/15,490 | 30.0373/2.05 × 107 | 7.6492/6800 | 30.0013/3.41 × 107 | 0 |
| 13.1555/14,950 | 30.0457/1.91 × 107 | 7.6469/6573 | 30.0104/3.18 × 107 | +20 |
| 13.1503/14,730 | 30.0598/1.85 × 107 | 7.6448/6540 | 30.0186/3.15 × 107 | +40 |
| 13.1448/14,430 | 30.0743/1.78 × 107 | 7.6432/6410 | 30.0257/3.11 × 107 | +70 |
| 13.1393/14,140 | 30.0786/1.70 × 107 | 7.6417/6378 | 30.0332/3.08 × 107 | +80 |
| 13.1393/13,920 | 30.0830/1.62 × 107 | 7.6405/6343 | 30.0417/3.02 × 107 | +90 |
| 13.1290/13,615 | 30.0910/1.59 × 107 | 7.6389/6305 | 30.0506/2.96 × 107 | +100 |
| 13.1235/13,285 | 30.0998/1.51 × 107 | 7.6375/6275 | 30.0602/2.91 × 107 | +110 |
| εpar | tanδpar | εperp | tanδperp | εeqv | tanδeqv | Anisotropy (%) Anisoε/Anisotanδ | Temp. (°C) |
|---|---|---|---|---|---|---|---|
| 2.807 | 0.0234 | 2.791 | 0.0270 | 2.802 | 0.0252 | 0.7/−14 | –40 |
| 2.782 | 0.0208 | 2.699 | 0.0243 | 2.744 | 0.0232 | 3.3/−18 | –20 |
| 2.737 | 0.0192 | 2.642 | 0.0223 | 2.688 | 0.0214 | 3.8/−13 | 0 |
| 2.715 ± 0.011 | 0.0216 ± 0.007 | 2.592 ± 0.02 | 0.0184 ± 0.009 | 2.663 ± 0.03 | 0.0192 ± 0.009 | 4.7/15 | +20 |
| 2.622 | 0.0209 | 2.611 | 0.0162 | 2.588 | 0.0177 | 0.3/28 | +40 |
| 2.545 | 0.0192 | 2.573 | 0.0163 | 2.553 | 0.0162 | 1.2/16 | +70 |
Disclaimer/Publisher’s Note: The statements, opinions and data contained in all publications are solely those of the individual author(s) and contributor(s) and not of MDPI and/or the editor(s). MDPI and/or the editor(s) disclaim responsibility for any injury to people or property resulting from any ideas, methods, instructions or products referred to in the content. |
© 2023 by the authors. Licensee MDPI, Basel, Switzerland. This article is an open access article distributed under the terms and conditions of the Creative Commons Attribution (CC BY) license (https://creativecommons.org/licenses/by/4.0/).
Share and Cite
Sharma, P.K.; Chung, J.-Y. Evaluation of Polydimethylsiloxane (PDMS) as a Substrate for the Realization of Flexible/Wearable Antennas and Sensors. Micromachines 2023, 14, 735. https://doi.org/10.3390/mi14040735
Sharma PK, Chung J-Y. Evaluation of Polydimethylsiloxane (PDMS) as a Substrate for the Realization of Flexible/Wearable Antennas and Sensors. Micromachines. 2023; 14(4):735. https://doi.org/10.3390/mi14040735
Chicago/Turabian StyleSharma, Praveen Kumar, and Jae-Young Chung. 2023. "Evaluation of Polydimethylsiloxane (PDMS) as a Substrate for the Realization of Flexible/Wearable Antennas and Sensors" Micromachines 14, no. 4: 735. https://doi.org/10.3390/mi14040735
APA StyleSharma, P. K., & Chung, J.-Y. (2023). Evaluation of Polydimethylsiloxane (PDMS) as a Substrate for the Realization of Flexible/Wearable Antennas and Sensors. Micromachines, 14(4), 735. https://doi.org/10.3390/mi14040735

