Improving Thermal Conductivity and Tribological Performance of Polyimide by Filling Cu, CNT, and Graphene
Abstract
1. Introduction
2. Materials and Methods
2.1. Establishment of Molecular Dynamics Model of Composite Materials
2.2. Model Optimization
2.3. Calculation of Thermal and Tribological Properties
3. Results and Discussion
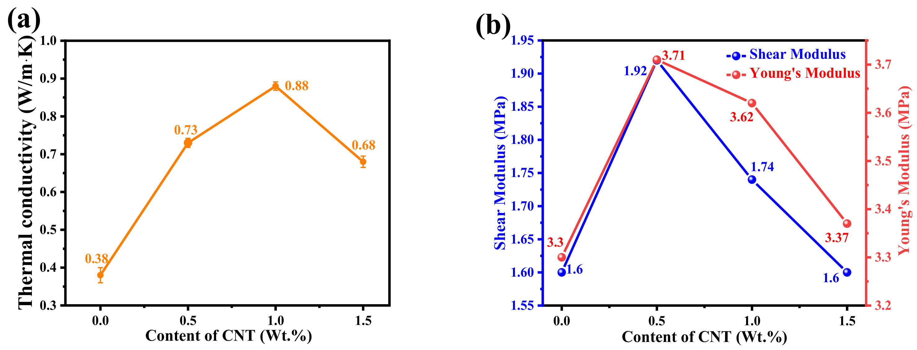
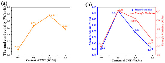
3.1. Thermal Properties
3.2. Tribological Properties
4. Conclusions
- Copper can improve the thermal conductivity of PI, but at the same time, due to the uneven distribution of copper, it also reduces the mechanical properties of PI. Additionally, the hardness of copper is very large, which directly increases the friction coefficient of composite materials.
- Carbon nanotube (CNT) and graphene can improve the performance of PI very well. The 0.5 wt.% mass fraction of carbon nanotubes can, respectively, increase the axial thermal conductivity by 115.8%, and the maximum thermal conductivity of graphene in the two-dimensional plane direction can increase by 168.4%. Both of them can effectively reduce the friction and wear of the composites and make the composites have excellent tribological properties. However, the strength of the composite decreases as the content of carbon nanotubes and graphene continues to increase.
- The composites with three fillers at the same time have no obvious change in the increase in thermal conductivity, but they can greatly reduce the friction coefficient of the composites and reduce the wear rate.
Author Contributions
Funding
Data Availability Statement
Acknowledgments
Conflicts of Interest
References
- Yu, Y.H.; Zhao, G.; Song, J.F.; Ding, Q.J. Mechanical and Tribological Properties of Polyimide Composites for Reducing Weight of Ultrasonic Motors. Key Eng. Mater. 2019, 799, 65–70. [Google Scholar] [CrossRef]
- Yang, L.P.; Cai, A.; Luo, C.Y.; Xu, Z.J.; Xi, T.G. Thermophysical properties of PI/SiO2 and PI/C composite films. High Temp. High Press. 2012, 41, 133–144. [Google Scholar]
- Wu, X.; Hu, X.; Zhang, H.; Zhang, X.; Chang, S. Finite Element Simulation of Thermal Conductivity for PI Enhanced by AgNPs/BNNSs Hybrid Filler. Eng. Plast. Appl. 2019, 47, 112–116. [Google Scholar]
- Gong, J.R.; Liu, Z.D.; Yu, J.H.; Dai, D.; Dai, W.; Du, S.Y.; Li, C.Y.; Jiang, N.; Zhan, Z.L.; Lin, C.T. Graphene woven fabric-reinforced polyimide films with enhanced and anisotropic thermal conductivity. Compos. Part A 2016, 87, 290–296. [Google Scholar] [CrossRef]
- He, J.Q.; Zhang, L.; Li, C.Z.; Yan, B.; Tang, R.J. The Effects of Copper and Polytetrafluoroethylene (PTFE) on Thermal Conductivity and Tribological Behavior of Polyoxymethylene (POM) Composites. J. Macromol. Sci. B 2011, 50, 2023–2033. [Google Scholar] [CrossRef]
- Han, Z.D.; Fina, A. Thermal conductivity of carbon nanotubes and their polymer nanocomposites: A review. Mater. Sci. 2011, 36, 914–944. [Google Scholar] [CrossRef]
- Foygel, M.; Morris, R.D.; Anez, D.; French, S.; Sobolev, V.L. Theoretical and computational studies of carbon nanotube composites and suspensions: Electrical and thermal conductivity. Phys. Rev. B 2005, 71, 104201. [Google Scholar] [CrossRef]
- Guo, M.; Li, J.; Li, K.; Zhu, G.; Hu, B.; Liu, Y.; Ji, J. Carbon nanotube reinforced ablative material for thermal protection system with superior resistance to high-temperature dense particle erosion. Aerosp. Sci. Technol. 2020, 106, 106234. [Google Scholar] [CrossRef]
- Smith, D.K.; Pantoya, M.L. Effect of nanofiller shape on effective thermal conductivity of fluoropolymer composites. Compos. Sci. Technol. 2015, 118, 251–256. [Google Scholar] [CrossRef]
- Shangguan, Q.Y.; Chen, H.; Yang, H.; Liang, S.R.; Zhang, Y.J.; Cheng, S.B.; Yang, W.X.; Yi, Z.; Luo, Y.; Wu, P.H. A “belfry-typed” narrow-band tunable perfect absorber based on graphene and the application potential research. Diam. Relat. Mater. 2022, 125, 108973. [Google Scholar] [CrossRef]
- Shangguan, Q.Y.; Chen, Z.H.; Yang, H.; Cheng, S.B.; Yang, W.X.; Yi, Z.; Wu, X.W.; Wang, S.F.; Yi, Y.G.; Wu, P.H. Design of Ultra-Narrow Band Graphene Refractive Index Sensor. Sensors 2022, 22, 6483. [Google Scholar] [CrossRef] [PubMed]
- Shangguan, Q.Y.; Zhao, Y.; Song, Z.J.; Wang, J.; Yang, H.; Chen, J.; Liu, C.; Cheng, S.B.; Yang, W.X.; Yi, Z. High sensitivity active adjustable graphene absorber for refractive index sensing applications. Diam. Relat. Mater. 2022, 128, 109273. [Google Scholar] [CrossRef]
- Yang, Z.; Guo, Z.; Yuan, C.; Bai, X. Tribological behaviors of composites reinforced by different functionalized carbon nanotube using molecular dynamic simulation. Wear 2021, 476, 203669. [Google Scholar] [CrossRef]
- Cai, X.Z.; Dong, X.Z.; Lv, W.X.; Ji, C.Z.; Jiang, Z.Y.; Zhang, X.R.; Gao, T.; Yue, K.; Zhang, X.X. Synergistic enhancement of thermal conductivity for low dielectric constant boron nitride-polytetrafluoroethylene composites by adding small content of graphene nanosheets. Compos. Commun. 2020, 17, 163–169. [Google Scholar] [CrossRef]
- Wu, Y.; Yu, J.; Cao, Y.; Li, S.; Wang, M.; Jiang, N. Review of polymer-based composites with high thermal conductivity and low filler loading. Acta Mater. Compos. Sin. 2018, 35, 760–766. [Google Scholar]
- Chen, H.X.; Zhang, E.S.; Dai, X.M.; Yang, W.K.; Liu, X.; Qiu, X.P.; Liu, W.; Ji, X.L. Influence of solvent solubility parameter on the power law exponents and critical concentrations of one soluble polyimide in solution. J. Polym. Res. 2019, 26, 39. [Google Scholar] [CrossRef]
- Li, Y.L.; Wang, S.J.; Wang, Q.; Xing, M. Enhancement of fracture properties of polymer composites reinforced by carbon nanotubes: A molecular dynamics study. Carbon 2018, 129, 504–509. [Google Scholar] [CrossRef]
- Halgren, T.A. Representtion of vanderwaals (VDW) interactions in molecular mechanics force-fiflds-potential form, combination rules, and VDW parameters. J. Am. Chem. Soc. 1992, 114, 7827–7843. [Google Scholar] [CrossRef]
- Wang, L.Z.; Duan, L.L. Isothermal crystallization of a single polyethylene chain induced by graphene: A molecular dynamics simulation. Comput. Theor. Chem. 2012, 1002, 59–63. [Google Scholar] [CrossRef]
- Shiu, S.C.; Tsai, J.L. Characterizing thermal and mechanical properties of graphene/epoxy nanocomposites. Compos. Part B Eng. 2014, 56, 691–697. [Google Scholar] [CrossRef]
- MullerPlathe, F. A simple nonequilibrium molecular dynamics method for calculating the thermal conductivity. J. Chem. Phys. 1997, 106, 6082–6085. [Google Scholar] [CrossRef]
- Liu, L.; Zhang, Z.; Gou, X. Thermal conductivity of alignedCNT-polyethylene nanocomposites and correlation with the interfacial thermal resistance. Polym. Compos. 2020, 41, 3787–3797. [Google Scholar] [CrossRef]
- Korayem, A.H.; Tourani, N.; Zakertabrizi, M.; Sabziparvar, A.M.; Duan, W.H. A review of dispersion of nanoparticles in cementitious matrices: Nanoparticle geometry perspective. Constr. Build. Mater. 2017, 153, 346–357. [Google Scholar] [CrossRef]
- Peyvandi, A.; Soroushian, P.; Abdol, N.; Balachandra, A.M. Surface-modified graphite nanomaterials for improved reinforcement efficiency in cementitious paste. Carbon 2013, 63, 175–186. [Google Scholar] [CrossRef]
- Resnick, A.; Mitchell, K.; Park, J.; Farfan, E.B.; Yee, T. Thermal transport study in actinide oxides with point defects. Nucl. Eng. Technol. 2019, 51, 1398–1405. [Google Scholar] [CrossRef]
- Wei, K.-l.; Li, J.; Shi, H.-b.; Tang, M. Two-Scale Prediction of Effective Thermal Conductivity of 3D Braided C/C Composites Considering Void Defects by Asymptotic Homogenization Method. Appl. Compos. Mater. 2019, 26, 1367–1387. [Google Scholar] [CrossRef]
- Yang, Y.; Cao, J.; Wei, N.; Meng, D.; Wang, L.; Ren, G.; Yan, R.; Zhang, N. Thermal Conductivity of Defective Graphene Oxide: A Molecular Dynamic Study. Molecules 2019, 24, 1103. [Google Scholar] [CrossRef]
- Fan, S.L.; Li, Z.Z.; Fan, C.; Chen, J.; Huang, H.M.; Chen, G.L.; Liu, S.G.; Zhou, H.M.; Liu, R.T.; Feng, Z.F.; et al. Fast-thermoresponsive carboxylated carbon nanotube/chitosan aerogels with switchable wettability for oil/water separation. J. Hazard. Mater. 2022, 433, 128808. [Google Scholar] [CrossRef]
- Kim, H.S.; Jang, J.U.; Yu, J.; Kim, S.Y. Thermal conductivity of polymer composites based on the length of multi-walled carbon nanotubes. Compos. Part B Eng. 2015, 79, 505–512. [Google Scholar] [CrossRef]
- Brown, T.W.; Hensel, E. Statistical phonon transport model for multiscale simulation of thermal transport in silicon: Part I—Presentation of the model. Int. J. Heat Mass Transf. 2012, 55, 7444–7452. [Google Scholar] [CrossRef]
- Sanders, P.G.; Eastman, J.A.; Weertman, J.R. Elastic and tensile behavior of nanocrystalline copper and palladium. Acta Mater. 1997, 45, 4019–4025. [Google Scholar] [CrossRef]













| Optimization Process | Algorithm | Convergence Criterion | Temperature | Time |
|---|---|---|---|---|
| Geometry optimization | Smart | 2 × 10−5 kcal/mol 1 × 104 kcal/mol/Å | / | / |
| Anneal (NVT) | Nose thermostat | / | 300–600 K | 2000 ps |
| NPT | Berendsen barostat | / | 298 K | 2000 ps |
Disclaimer/Publisher’s Note: The statements, opinions and data contained in all publications are solely those of the individual author(s) and contributor(s) and not of MDPI and/or the editor(s). MDPI and/or the editor(s) disclaim responsibility for any injury to people or property resulting from any ideas, methods, instructions or products referred to in the content. |
© 2023 by the authors. Licensee MDPI, Basel, Switzerland. This article is an open access article distributed under the terms and conditions of the Creative Commons Attribution (CC BY) license (https://creativecommons.org/licenses/by/4.0/).
Share and Cite
Liu, C.; Song, J.; Zhao, G.; Yin, Y.; Ding, Q. Improving Thermal Conductivity and Tribological Performance of Polyimide by Filling Cu, CNT, and Graphene. Micromachines 2023, 14, 616. https://doi.org/10.3390/mi14030616
Liu C, Song J, Zhao G, Yin Y, Ding Q. Improving Thermal Conductivity and Tribological Performance of Polyimide by Filling Cu, CNT, and Graphene. Micromachines. 2023; 14(3):616. https://doi.org/10.3390/mi14030616
Chicago/Turabian StyleLiu, Chen, Jingfu Song, Gai Zhao, Yuhang Yin, and Qingjun Ding. 2023. "Improving Thermal Conductivity and Tribological Performance of Polyimide by Filling Cu, CNT, and Graphene" Micromachines 14, no. 3: 616. https://doi.org/10.3390/mi14030616
APA StyleLiu, C., Song, J., Zhao, G., Yin, Y., & Ding, Q. (2023). Improving Thermal Conductivity and Tribological Performance of Polyimide by Filling Cu, CNT, and Graphene. Micromachines, 14(3), 616. https://doi.org/10.3390/mi14030616

