A Review on the Coalescence of Confined Drops with a Focus on Scaling Laws for the Growth of the Liquid Bridge
Abstract
:1. Introduction
2. Coalescence of Drops on a Rigid Surface
2.1. Wetting Cases (θ < 90°)
2.2. Non-Wetting Cases (θ > 90°)
3. Coalescence of Drops on a Deformable Surface
3.1. Flat Disk Cases
3.2. Liquid Lens Cases
4. Coalescence of Drops in Hele-Shaw Cells
5. Computational Studies
6. Summary, Challenges, and Outlook
Author Contributions
Funding
Data Availability Statement
Acknowledgments
Conflicts of Interest
References
- Thoroddsen, S.T.; Etoh, T.G.; Takehara, K. High-speed imaging of drops and bubbles. Annu. Rev. Fluid Mech. 2008, 40, 257–285. [Google Scholar] [CrossRef]
- Liao, Y.; Lucas, D. A literature review on mechanisms and models for the coalescence process of fluid particles. Chem. Eng. Sci. 2010, 65, 2851–2864. [Google Scholar] [CrossRef]
- Kavehpour, H.P. Coalescence of drops. Annu. Rev. Fluid Mech. 2015, 47, 245–268. [Google Scholar] [CrossRef]
- Kamp, J.; Villwock, J.; Kraume, M. Drop coalescence in technical liquid/liquid applications: A review on experimental techniques and modeling approaches. Rev. Chem. Eng. 2016, 33, 1–47. [Google Scholar] [CrossRef]
- Thoroddsen, S.T.; Qian, B.; Etoh, T.G.; Takehara, K. The initial coalescence of miscible drops. Phys. Fluids 2007, 19, 072110. [Google Scholar] [CrossRef]
- Zhang, H. An Experimental Study of Confinement Effects on Drop Coalescence via Hele-Shaw Cell. Ph.D. Thesis, University of Nebraska-Lincoln, Lincoln, NE, USA, 2022. [Google Scholar]
- Zhang, H.; Gottberg, J.; Ryu, S. Contact angle measurement using a Hele-Shaw cell: A proof-of-concept study. Result Eng. 2021, 11, 100278. [Google Scholar] [CrossRef]
- Ryu, S.; Zhang, H.; Emeigh, C. The dark annulus of a drop in a Hele-Shaw cell is caused by the refraction of light through its meniscus. Micromachines 2022, 13, 1021. [Google Scholar] [CrossRef]
- Menchaca-Rocha, A.; Martínez-Dávalos, A.; Núñez, R.; Popinet, S.; Zaleski, S. Coalescence of liquid drops by surface tension. Phys. Rev. E 2001, 63, 046309. [Google Scholar] [CrossRef]
- Wu, M.; Cubaud, T.; Ho, C.-M. Scaling law in liquid drop coalescence driven by surface tension. Phys. Fluids 2004, 16, L51–L54. [Google Scholar] [CrossRef]
- Aarts, D.G.A.L.; Lekkerkerker, H.N.W.; Guo, H.; Wegdam, G.H.; Bonn, D. Hydrodynamics of droplet coalescence. Phys. Rev. Lett. 2005, 95, 164503. [Google Scholar] [CrossRef]
- Thoroddsen, S.T.; Takehara, K.; Etoh, T.G. The coalescence speed of a pendent and a sessile drop. J. Fluid Mech. 2005, 527, 85–114. [Google Scholar] [CrossRef]
- Yao, W.; Maris, H.J.; Pennington, P.; Seidel, G.M. Coalescence of viscous liquid drops. Phys. Rev. E 2005, 71, 016309. [Google Scholar] [CrossRef] [PubMed]
- Fezzaa, K.; Wang, Y. Ultrafast x-ray phase-contrast imaging of the initial coalescence phase of two water droplets. Phys. Rev. Lett. 2008, 100, 104501. [Google Scholar] [CrossRef]
- Paulsen, J.D.; Burton, J.C.; Nagel, S.R. Viscous to inertial crossover in liquid drop coalescence. Phy. Rev. Lett. 2011, 106, 114501. [Google Scholar] [CrossRef] [PubMed]
- Xia, X.; He, C.; Zhang, P. Universality in the viscous-to-inertial coalescence of liquid droplets. Proc. Natl. Acad. Sci. USA 2019, 116, 23467–23472. [Google Scholar] [CrossRef]
- Paulsen, J.D.; Carmigniani, R.; Kannan, A.; Burton, J.C.; Nagel, S.R. Coalescence of bubbles and drops in an outer fluid. Nat. Comm. 2014, 5, 3182. [Google Scholar] [CrossRef]
- Lee, M.W.; Kang, D.K.; Yoon, S.S.; Yarin, A.L. Coalescence of two drops on partially wettable substrates. Langmuir 2012, 28, 3791–3798. [Google Scholar] [CrossRef]
- Wang, K.; Liang, Q.; Jiang, R.; Zheng, Y.; Lan, Z.; Ma, X. Morphology evolution and dynamics of droplet coalescence on superhydrophobic surfaces. AIChE J. 2018, 64, 2913–2921. [Google Scholar] [CrossRef]
- Leal, L.G. Flow induced coalescence of drops in a viscous fluid. Phys. Fluids 2004, 16, 1833–1851. [Google Scholar] [CrossRef]
- Jin, J.; Ooi, C.H.; Dao, D.V.; Nguyen, N.-T. Coalescence processes of droplets and liquid marbles. Micromachines 2017, 8, 336. [Google Scholar] [CrossRef]
- Okumura, K. Viscous dynamics of drops and bubbles in Hele-Shaw cells: Drainage, drag friction, coalescence, and bursting. Adv. Coll. Interf. Sci. 2018, 255, 64–75. [Google Scholar] [CrossRef] [PubMed]
- Yokota, M.; Okumura, K. Dimensional crossover in the coalescence dynamics of viscous drops confined in between two plates. Proc. Natl. Acad. Sci. USA 2011, 108, 6395–6398. [Google Scholar] [CrossRef]
- Ristenpart, W.D.; McCalla, P.M.; Roy, R.V.; Stone, H.A. Coalescence of Spreading Droplets on a Wettable Substrate. Phys. Rev. Lett. 2006, 97, 064501. [Google Scholar] [CrossRef] [PubMed]
- Hernández-Sánchez, J.F.; Lubbers, L.A.; Eddi, A.; Snoeijer, J.H. Symmetric and asymmetric coalescence of drops on a substrate. Phys. Rev. Lett. 2012, 109, 184502. [Google Scholar] [CrossRef]
- Narhe, R.D.; Beysens, D.A.; Pomeau, Y. Dynamic drying in the early-stage coalescence of droplets sitting on a plate. Eur. Phys. Lett. 2008, 81, 46002. [Google Scholar] [CrossRef]
- Kapur, N.; Gaskell, P.H. Morphology and dynamics of droplet coalescence on a surface. Phys. Rev. E 2007, 75, 056315. [Google Scholar] [CrossRef]
- Eddi, A.; Winkels, K.G.; Snoeijer, J.H. Influence of droplet geometry on the coalescence of low viscosity drops. Phys. Rev. Lett. 2013, 111, 144502. [Google Scholar] [CrossRef]
- Paulsen, J.D.; Burton, J.C.; Nagel, S.R.; Appathurai, S.; Harris, M.T.; Basaran, O.A. The inexorable resistance of inertia determines the initial regime of drop coalescence. Proc. Natl. Acad. Sci. USA 2012, 109, 6857–6861. [Google Scholar] [CrossRef]
- McCraney, J.; Ludwicki, J.; Bostwick, J.; Daniel, S.; Steen, P. Coalescence-induced droplet spreading: Experiments aboard the International Space Station. Phys. Fluids 2022, 34, 122110. [Google Scholar] [CrossRef]
- Eggers, J.; Lister, J.R.; Stone, H.A. Coalescence of liquid drops. J. Fluid Mech. 1999, 401, 293–310. [Google Scholar] [CrossRef]
- Jerison, E.R.; Xu, Y.; Wilen, L.A.; Dufresne, E.R. Deformation of an elastic substrate by a three-phase contact line. Phys. Rev. Lett. 2011, 106, 186103. [Google Scholar] [CrossRef] [PubMed]
- Delabre, U.; Cazabat, A.-M. Coalescence driven by line tension in thin nematic films. Phys. Rev. Lett. 2010, 104, 227801. [Google Scholar] [CrossRef] [PubMed]
- Hopper, R.W. Coalescence of two viscous cylinders by capillarity: Part I, theory. J. Am. Ceramic Soc. 1993, 76, 2947–2952. [Google Scholar] [CrossRef]
- Zeppieri, S.; Rodriguez, J.; Ramos, A.L.L.d. Interfacial tension of alkane + water systems. J. Chem. Eng. Data 2001, 46, 1086–1088. [Google Scholar] [CrossRef]
- Burton, J.C.; Taborek, P. Role of dimensionality and axisymmetry in fluid pinch-off and coalescence. Phys. Rev. Lett. 2007, 98, 224502. [Google Scholar] [CrossRef]
- Hack, M.A.; Tewes, W.; Xie, Q.; Datt, C.; Harth, K.; Harting, J.; Snoeijer, J.H. Self-similar liquid lens coalescence. Phys. Rev. Lett. 2020, 124, 194502. [Google Scholar] [CrossRef]
- Chinaud, M.; Voulgaropoulos, V.; Angeli, P. Surfactant effects on the coalescence of a drop in a Hele-Shaw cell. Phys. Rev. E 2016, 94, 033101. [Google Scholar] [CrossRef]
- Eri, A.; Okumura, K. Bursting of a thin film in a confined geometry: Rimless and constant-velocity dewetting. Phys. Rev. E 2010, 82, 030601. [Google Scholar] [CrossRef]
- Yokota, M.; Okumura, K. Coalescence dynamics of a quasi-two dimensional viscous drop. J. Phys. Soc. Jpn. 2012, 81, SA015. [Google Scholar] [CrossRef]
- Dolganov, P.V.; Zverev, A.S.; Baklanova, K.D.; Dolganov, V.K. Dynamics of capillary coalescence and breakup: Quasi-two-dimensional nematic and isotropic droplets. Phys. Rev. E 2021, 104, 014702. [Google Scholar] [CrossRef]
- Koga, Y.M.; Okumura, K. Inertial coalescence of a liquid drop surrounded by viscous liquid. J. Phys. Soc. Jpn. 2022, 91, 025001. [Google Scholar] [CrossRef]
- Sui, Y.; Maglio, M.; Spelt, P.D.M.; Legendre, D.; Ding, H. Inertial coalescence of droplets on a partially wetting substrate. Phys. Fluids 2013, 25, 101701. [Google Scholar] [CrossRef]
- Ahmadlouydarab, M.; Lan, C.; Das, A.K.; Ma, Y. Coalescence of sessile microdroplets subject to a wettability gradient on a solid surface. Phys. Rev. E 2016, 94, 033112. [Google Scholar] [CrossRef] [PubMed]
- Pawar, N.D.; Bahga, S.S.; Kale, S.R.; Kondaraju, S. Symmetric and asymmetric coalescence of droplets on a solid surface in the inertia-dominated regime. Phys. Fluids 2019, 31, 092106. [Google Scholar] [CrossRef]
- Chen, H.; Pan, X.; Nie, Q.; Ma, Q.; Fang, H.; Yin, Z. Probing the coalescence of non-Newtonian droplets on a substrate. Phys. Fluids 2022, 34, 032109. [Google Scholar] [CrossRef]
- Arbabi, S.; Theodorakis, P.E. Coalescence of Sessile Polymer Droplets: A Molecular Dynamics Study. Macromol. Theory Simul. 2023, 32, 23300017. [Google Scholar] [CrossRef]
- Case, S.C.; Nagel, S.R. Coalescence in low-viscosity liquids. Phys. Rev. Lett. 2008, 100, 084503. [Google Scholar] [CrossRef]
- Case, S.C. Coalescence of low-viscosity fluids in air. Phys. Rev. E 2009, 79, 026307. [Google Scholar] [CrossRef]
- Leong, F.Y.; Le, D.-V. Droplet dynamics on viscoelastic soft substrate: Toward coalescence control. Phys. Fluids 2020, 32, 062102. [Google Scholar] [CrossRef]

















| Authors | Contact Angle (θ) | Characteristic Scale | Scaling Law | ||
|---|---|---|---|---|---|
| Width | Height | Width (d or r) | Height (h) | ||
| Ristenpart et al. [24] | ≈0° | tc = μdR4/σH3 | d/R ~ (t/tc)0.53 | ||
| Hernández-Sánchez et al. [25] | 22° | h~t dh/dt~θ4 | |||
| θL = 46° θR = 13° | h~t | ||||
| Narhe et al. [26] | θa = 35° θr = 25° | tc = μdR/σ | d/2R~θ(t/tc)1/2 | h/h∞~t/tc | |
| Lee et al. [18] | 10°, 24°, 27°, and 56° | tc = 3μdR/4σtan4θ | r~(σho3/μd)1/4t1/4 | h/R~(t/tc)n n = 0.51 for θ = 10° n = 0.64 for θ = 24° n = 0.67 for θ = 27° n = 0.86 for θ = 56° | |
| Kapur and Gaskell [27] | θa = 64°/θr = 58° θa = 56°/θr = 49° | tc = μdR/σ | r/2R~(t/tc)n n = 0.42–0.57 | h/R~(t/tc)1/2 | |
| Eddi et al. [28] | 73° | d~t2/3 | h~[σ/ρd(π/2-θa)]1/3t2/3 | ||
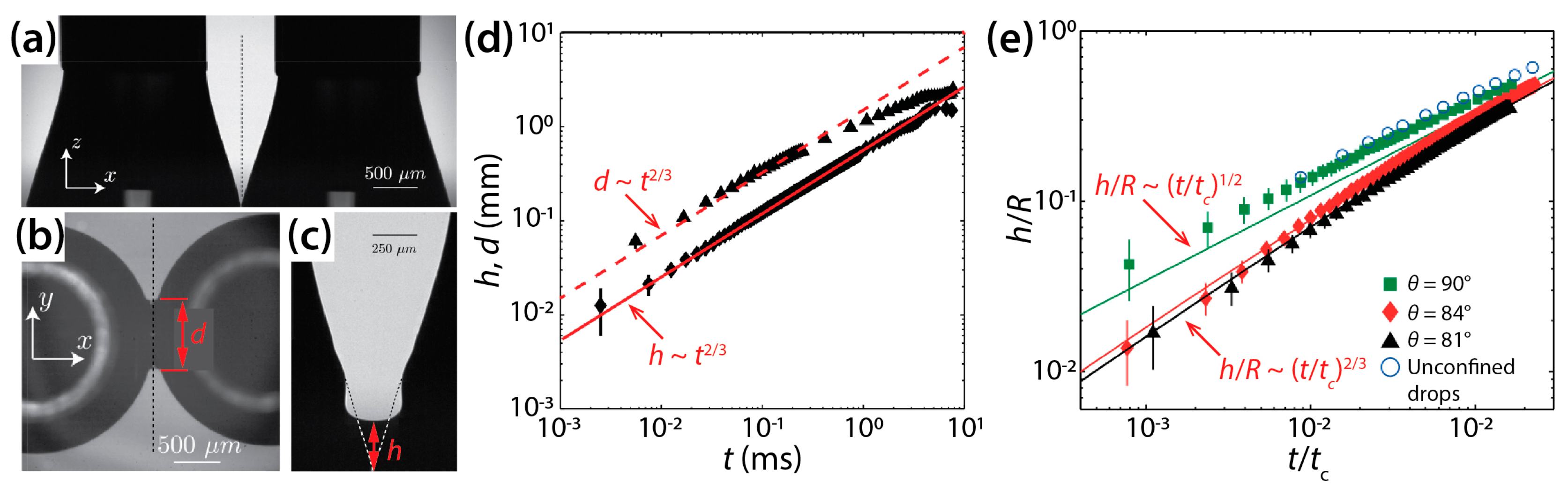
| 81°, 84° | h/R~(t/tc)2/3 | ||||
| 90° | h/R~(t/tc)1/2 | ||||
| McCraney et al. [30] | 115°–143° | d~t0.4 | |||
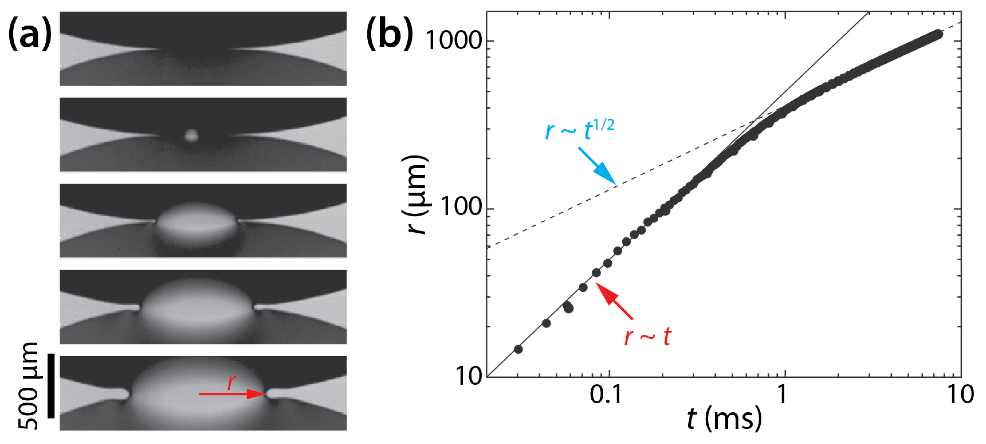
| Menchaca-Rocha et al. [9] | ≈160° | Early time (t < 0.3 ms): r~t0.41 Later time (t > 1 ms): r~t0.55 Overall: r~t1/2 | |||
| Wang et al. [19] | 162°–165° | r/R~(t/tc)1/2 | |||
| Authors | Contact Angle (θ) | Characteristic Scale | Scaling Law | |
|---|---|---|---|---|
| Width (d or r) | Height (h) | |||
| Delabre and Cazabat [33] (flat discs) | Early time (r < rc): r/rc~(t/tc)ln(t/tc) Later time (rc < r << R): r/rc~(t/tc)1/3 | |||
| Burton and Taborek [36] (liquid lenses) | 46° | Early time: r~St/μd Later time: r~(SR/ρd)1/4t1/2 | ||
| Hack et al. [37] (liquid lenses) | 26°–37° | Early time: h/hc = t/tc, Later time: h/hc = (t/tc)2/3, | ||
| Authors | Viscosity Ratio (φ) | Characteristic Scale | Scaling Law |
|---|---|---|---|
| Eri and Okumura [39] | 0.21–5.27 | r ~ t dr/dt ~ σ/μd | |
| Yokota and Okumura [23] | 63–964 | Early time: tc = μdD/σ Later time: tc = μdR/σ | Early time (t ≲ μd/σ): r/D ≃ t/tc, dr/dt = σ/μd Later time (t ≳ μdR/σ): |
| Dolganov et al. [41] | tc~R3 | r/R ~ (t/tc)1/4 (0.5 < d/2R < 1) | |
| Koga and Okumura [42] | 0.0024–0.08 | Early time (r << D/2): r/l~t/tc | |
| Chinaud et al. [38] | 31 | tc = μdD/σ | r/D~t/tc |
Disclaimer/Publisher’s Note: The statements, opinions and data contained in all publications are solely those of the individual author(s) and contributor(s) and not of MDPI and/or the editor(s). MDPI and/or the editor(s) disclaim responsibility for any injury to people or property resulting from any ideas, methods, instructions or products referred to in the content. |
© 2023 by the authors. Licensee MDPI, Basel, Switzerland. This article is an open access article distributed under the terms and conditions of the Creative Commons Attribution (CC BY) license (https://creativecommons.org/licenses/by/4.0/).
Share and Cite
Ryu, S.; Zhang, H.; Anuta, U.J. A Review on the Coalescence of Confined Drops with a Focus on Scaling Laws for the Growth of the Liquid Bridge. Micromachines 2023, 14, 2046. https://doi.org/10.3390/mi14112046
Ryu S, Zhang H, Anuta UJ. A Review on the Coalescence of Confined Drops with a Focus on Scaling Laws for the Growth of the Liquid Bridge. Micromachines. 2023; 14(11):2046. https://doi.org/10.3390/mi14112046
Chicago/Turabian StyleRyu, Sangjin, Haipeng Zhang, and Udochukwu John Anuta. 2023. "A Review on the Coalescence of Confined Drops with a Focus on Scaling Laws for the Growth of the Liquid Bridge" Micromachines 14, no. 11: 2046. https://doi.org/10.3390/mi14112046
APA StyleRyu, S., Zhang, H., & Anuta, U. J. (2023). A Review on the Coalescence of Confined Drops with a Focus on Scaling Laws for the Growth of the Liquid Bridge. Micromachines, 14(11), 2046. https://doi.org/10.3390/mi14112046

