Electronic Structure and Transport Properties of Bi2Te3 and Bi2Se3 Single Crystals
Abstract
1. Introduction
2. Materials and Methods
3. Results and Discussion
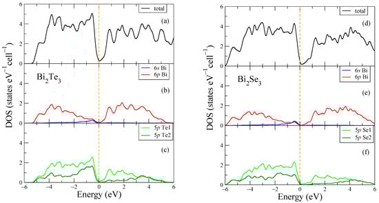
3.1. Band and Electronic Structures
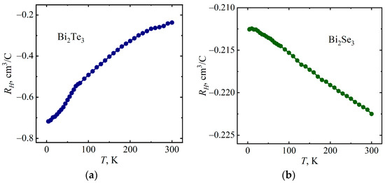
3.2. Electronic Transport Properties
3.3. Current Carrier Concentration Analysis
4. Conclusions
Author Contributions
Funding
Data Availability Statement
Conflicts of Interest
Appendix A



References
- Klitzing, K.V.; Dorda, G.; Pepper, M. New Method for High-Accuracy Determination of the Fine-Structure Constant Based on Quantized Hall Resistance. Phys. Rev. Lett. 1980, 45, 494–497. [Google Scholar] [CrossRef]
- Thouless, D.J.; Kohmoto, M.; Nightingale, M.P.; den Nijs, M. Quantized Hall Conductance in a Two-Dimensional Periodic Potential. Phys. Rev. Lett. 1982, 49, 405–408. [Google Scholar] [CrossRef]
- Moore, J.E. The birth of topological insulators. Nature 2010, 464, 194–198. [Google Scholar] [CrossRef] [PubMed]
- Volkov, B.A.; Pankratov, O.A. Two-dimensional massless electrons in an inverted contact. Sov. J. Exp. Theor. Phys. Lett. 1985, 42, 178. [Google Scholar]
- Fu, L.; Kane, C.L. Topological insulators with inversion symmetry. Phys. Rev. B 2007, 76, 045302. [Google Scholar] [CrossRef]
- Hasan, M.Z.; Moore, J.E. Three-Dimensional Topological Insulators. Annu. Rev. Condens. Matter Phys. 2011, 2, 55–78. [Google Scholar] [CrossRef]
- Hsieh, D.; Qian, D.; Wray, L.; Xia, Y.; Hor, Y.S.; Cava, R.J.; Hasan, M.Z. A topological Dirac insulator in a quantum spin Hall phase. Nature 2008, 452, 970–974. [Google Scholar] [CrossRef]
- Xiao, J.; Yan, B. First-principles calculations for topological quantum materials. Nat. Rev. Phys. 2021, 3, 283–297. [Google Scholar] [CrossRef]
- Weng, H.; Dai, X.; Fang, Z. Topological semimetals predicted from first-principles calculations. J. Phys. Condens. Matter 2016, 28, 303001. [Google Scholar] [CrossRef]
- Wang, Z.; Sun, Y.; Chen, X.-Q.; Franchini, C.; Xu, G.; Weng, H.; Dai, X.; Fang, Z. Dirac semimetal and topological phase transitions inA3Bi (A=Na, K, Rb). Phys. Rev. B 2012, 85, 195320. [Google Scholar] [CrossRef]
- Weng, H.; Fang, C.; Fang, Z.; Bernevig, B.A.; Dai, X. Weyl Semimetal Phase in Noncentrosymmetric Transition-Metal Monophosphides. Phys. Rev. X 2015, 5, 011029. [Google Scholar] [CrossRef]
- Xu, S.-Y.; Belopolski, I.; Alidoust, N.; Neupane, M.; Bian, G.; Zhang, C.; Sankar, R.; Chang, G.; Yuan, Z.; Lee, C.-C.; et al. Discovery of a Weyl fermion semimetal and topological Fermi arcs. Science 2015, 349, 613–617. [Google Scholar] [CrossRef] [PubMed]
- Zhang, H.; Liu, C.-X.; Qi, X.-L.; Dai, X.; Fang, Z.; Zhang, S.-C. Topological insulators in Bi2Se3, Bi2Te3 and Sb2Te3 with a single Dirac cone on the surface. Nat. Phys. 2009, 5, 438–442. [Google Scholar] [CrossRef]
- Xia, Y.; Qian, D.; Hsieh, D.; Wray, L.; Pal, A.; Lin, H.; Bansil, A.; Grauer, D.; Hor, Y.S.; Cava, R.J.; et al. Observation of a large-gap topological-insulator class with a single Dirac cone on the surface. Nat. Phys. 2009, 5, 398–402. [Google Scholar] [CrossRef]
- Li, C.H.; van’t Erve, O.M.J.; Yan, C.; Li, L.; Jonker, B.T. Electrical Detection of Charge-to-spin and Spin-to-Charge Conversion in a Topological Insulator Bi2Te3 Using BN/Al2O3 Hybrid Tunnel Barrier. Sci. Rep. 2018, 8, 10265. [Google Scholar] [CrossRef]
- Zhao, Y.; Chang, C.-Z.; Jiang, Y.; DaSilva, A.; Sun, Y.; Wang, H.; Xing, Y.; Wang, Y.; He, K.; Ma, X.; et al. Demonstration of surface transport in a hybrid Bi2Se3/Bi2Te3 heterostructure. Sci. Rep. 2013, 3, 3060. [Google Scholar] [CrossRef]
- Yazyev, O.V.; Moore, J.E.; Louie, S.G. Spin Polarization and Transport of Surface States in the Topological Insulator sBi2Se3 and Bi2Te3 from First Principles. Phys. Rev. Lett. 2010, 105, 266806. [Google Scholar] [CrossRef]
- Su, S.H.; Chong, C.-W.; Lee, J.-C.; Chen, Y.-C.; Marchenkov, V.V.; Huang, J.-C.A. Effect of Cu Intercalation Layer on the Enhancement of Spin-to-Charge Conversion in Py/Cu/Bi2Se3. Nanomaterials 2022, 12, 3687. [Google Scholar] [CrossRef]
- Shi, T.; Chen, M.; Liu, Z.; Song, Q.; Ou, Y.; Wang, H.; Liang, J.; Zhang, Q.; Mao, Z.; Wang, Z.; et al. A Bi2Te3-Filled Nickel Foam Film with Exceptional Flexibility and Thermoelectric Performance. Nanomaterials 2022, 12, 1693. [Google Scholar] [CrossRef]
- Wu, Z.; Zhang, S.; Liu, Z.; Lu, C.; Hu, Z. Bottom-Up (Cu, Ag, Au)/Al2O3/Bi2Te3 Assembled Thermoelectric Heterostructures. Micromachines 2021, 12, 480. [Google Scholar] [CrossRef]
- Zulkepli, N.; Yunas, J.; Mohamed, M.A.; Hamzah, A.A. Review of Thermoelectric Generators at Low Operating Temperatures: Working Principles and Materials. Micromachines 2021, 12, 734. [Google Scholar] [CrossRef] [PubMed]
- Zhou, H.; Liu, H.; Qian, G.; Yu, H.; Gong, X.; Li, X.; Zheng, J. Geometrical Optimization and Transverse Thermoelectric Performances of Fe/Bi2Te2.7Se0.3 Artificially Tilted Multilayer Thermoelectric Devices. Micromachines 2022, 13, 233. [Google Scholar] [CrossRef] [PubMed]
- Bhatnagar, P.; Vashaee, D. Development of MEMS Process Compatible (Bi,Sb)2(Se,Te)3-Based Thin Films for Scalable Fabrication of Planar Micro-Thermoelectric Generators. Micromachines 2022, 13, 1459. [Google Scholar] [CrossRef] [PubMed]
- Mohammadniaei, M.; Nguyen, H.V.; Van Tieu, M.; Lee, M.-H. 2D Materials in Development of Electrochemical Point-of-Care Cancer Screening Devices. Micromachines 2019, 10, 662. [Google Scholar] [CrossRef]
- Du, F.; Zheng, K.; Zeng, S.; Yuan, Y. Sensitivity Enhanced Plasmonic Biosensor Using Bi2Se3-Graphene Heterostructures: A Theoretical Analysis. Nanomaterials 2022, 12, 4078. [Google Scholar] [CrossRef]
- Li, H.; Zheng, G. Excitation of Hybrid Waveguide-Bloch Surface States with Bi2Se3 Plasmonic Material in the Near-Infrared Range. Micromachines 2022, 13, 1020. [Google Scholar] [CrossRef]
- Kuznetsov, K.A.; Tarasenko, S.A.; Kovaleva, P.M.; Kuznetsov, P.I.; Lavrukhin, D.V.; Goncharov, Y.G.; Ezhov, A.A.; Ponomarev, D.S.; Kitaeva, G.K. Topological Insulator Films for Terahertz Photonics. Nanomaterials 2022, 12, 3779. [Google Scholar] [CrossRef]
- Xi, Y.; Zhou, Y.; Cao, X.; Wang, J.; Lei, Z.; Lu, C.; Wu, D.; Shi, M.; Huang, Y.; Xu, X. Broadband All-Optical THz Modulator Based on Bi2Te3/Si Heterostructure Driven by UV-Visible Light. Micromachines 2023, 14, 1237. [Google Scholar] [CrossRef]
- Lawal, A.; Shaari, A. Density functional theory study of electronic properties of Bi2Se3 and Bi2Te3. Malays. J. Fundam. Appl. Sci. 2017, 12, 99–101. [Google Scholar] [CrossRef]
- Luo, X.; Sullivan, M.B.; Quek, S.Y. First-principles investigations of the atomic, electronic, and thermoelectric properties of equilibrium and strained Bi2Se3 and Bi2Te3 including van der Waals interactions. Phys. Rev. B 2012, 86, 184111. [Google Scholar] [CrossRef]
- Witting, I.T.; Chasapis, T.C.; Ricci, F.; Peters, M.; Heinz, N.A.; Hautier, G.; Snyder, G.J. The Thermoelectric Properties of Bismuth Telluride. Adv. Electron. Mater. 2019, 5, 1800904. [Google Scholar] [CrossRef]
- Zhang, Z.; Sharma, P.A.; Lavernia, E.J.; Yang, N. Thermoelectric and transport properties of nanostructured Bi2Te3 by spark plasma sintering. J. Mater. Res. 2011, 26, 475–484. [Google Scholar] [CrossRef]
- Cermak, P.; Knotek, P.; Ruleova, P.; Holy, V.; Palka, K.; Kucek, V.; Benes, L.; Navratil, J.; Drasar, C. High power factor and mobility of single crystals of Bi2Se3 induced by Mo doping. J. Solid State Chem. 2019, 277, 819–827. [Google Scholar] [CrossRef]
- Giannozzi, P.; Baroni, S.; Bonini, N.; Calandra, M.; Car, R.; Cavazzoni, C.; Ceresoli, D.; Chiarotti, G.L.; Cococcioni, M.; Dabo, I.; et al. QUANTUM ESPRESSO: A modular and open-source software project for quantum simulations of materials. J. Phys. Condens. Matter 2009, 21, 395502. [Google Scholar] [CrossRef] [PubMed]
- Giannozzi, P.; Andreussi, O.; Brumme, T.; Bunau, O.; Nardelli, M.B.; Calandra, M.; Car, R.; Cavazzoni, C.; Ceresoli, D.; Cococcioni, M.; et al. Advanced capabilities for materials modelling with Quantum ESPRESSO. J. Phys. Condens. Matter 2017, 29, 465901. [Google Scholar] [CrossRef]
- Perdew, J.P.; Burke, K.; Ernzerhof, M. Generalized gradient approximation made simple. Phys. Rev. Lett. 1996, 77, 3865–3868. [Google Scholar] [CrossRef]
- Quantum ESPRESSO. Available online: https://www.quantum-espresso.org/pseudopotentials (accessed on 20 September 2023).
- Park, K.; Nomura, Y.; Arita, R.; Llobet, A.; Louca, D. Local strain and anharmonicity in the bonding ofBi2Se3−xTex topological insulators. Phys. Rev. B 2013, 88, 224108. [Google Scholar] [CrossRef]
- Kumar, A.; Cecchini, R.; Locatelli, L.; Wiemer, C.; Martella, C.; Nasi, L.; Lazzarini, L.; Mantovan, R.; Longo, M. Large-Area MOVPE Growth of Topological Insulator Bi2Te3 Epitaxial Layers on i-Si(111). Cryst. Growth Des. 2021, 21, 4023–4029. [Google Scholar] [CrossRef]
- Awana, G.; Sultana, R.; Maheshwari, P.K.; Goyal, R.; Gahtori, B.; Gupta, A.; Awana, V.P.S. Crystal Growth and Magneto-transport of Bi2Se3 Single Crystals. J. Supercond. Nov. Magn. 2017, 30, 853–856. [Google Scholar] [CrossRef][Green Version]
- Marchenkov, V.V.; Cherepanov, A.N.; Startsev, V.E.; Czurda, C.; Weber, H.W. Temperature breakdown phenomenon in tungsten single crystals at high magnetic fields. J. Low Temp. Phys. 1995, 98, 425–447. [Google Scholar] [CrossRef]
- Volkenshtein, N.; Marchenkov, V.; Startsev, V.; Cherepanov, A.; Glinski, M. Hall Effect accompanying a static skin effect. J. Exp. Theor. Phys. Lett. 1985, 41, 458–462. [Google Scholar]
- Sultana, R.; Gurjar, G.; Neha, P.; Patnaik, S.; Awana, V.P.S. Hikami-Larkin-Nagaoka (HLN) Treatment of the Magneto-Conductivity of Bi2Te3 Topological Insulator. J. Supercond. Nov. Magn. 2018, 31, 2287–2290. [Google Scholar] [CrossRef]
- Locatelli, L.; Kumar, A.; Tsipas, P.; Dimoulas, A.; Longo, E.; Mantovan, R. Magnetotransport and ARPES studies of the topological insulators Sb2Te3 and Bi2Te3 grown by MOCVD on large-area Si substrates. Sci. Rep. 2022, 12, 3891. [Google Scholar] [CrossRef] [PubMed]
- Amaladass, E.P.; Devidas, T.R.; Sharma, S.; Sundar, C.S.; Mani, A.; Bharathi, A. Magneto-transport behaviour of Bi2Se3−xTex: Role of disorder. J. Phys. Condens. Matter 2016, 28, 075003. [Google Scholar] [CrossRef] [PubMed]
- Lin, Y.-C.; Chen, Y.-S.; Lee, C.-C.; Wu, J.-K.; Lee, H.-Y.; Liang, C.-T.; Chang, Y.H. A study on the epitaxial Bi2Se3 thin film grown by vapor phase epitaxy. AIP Adv. 2016, 6, 065218. [Google Scholar] [CrossRef]
- Yan, Y.; Wang, L.-X.; Ke, X.; Van Tendeloo, G.; Wu, X.-S.; Yu, D.-P.; Liao, Z.-M. High-Mobility Bi2Se3 Nanoplates Manifesting Quantum Oscillations of Surface States in the Sidewalls. Sci. Rep. 2014, 4, 3817. [Google Scholar] [CrossRef]
- Momma, K.; Izumi, F. VESTA 3 for three-dimensional visualization of crystal, volumetric and morphology data. J. Appl. Crystallogr. 2011, 44, 1272–1276. [Google Scholar] [CrossRef]
- Brillouin Zones. Available online: https://lampx.tugraz.at/~hadley/ss1/bzones (accessed on 20 September 2023).








| Compound | Crystal Structure | Lattice Parameters | Chemical Composition |
|---|---|---|---|
| Bi2Te3 | Rhombohedral (space group Rm) | а = 4.389 Å c = 30.483 Å | Bi2.02Te2.98 |
| Bi2Se3 | Rhombohedral (space group Rm) | а = 4.134 Å c = 28.68 Å | Bi2.01Se2.99 |
| Compound | Sample Type | Growth Method | RRR | ρ0, Ω·cm | n, cm−3 * | μ, cm2/(V·s) * | Reference |
|---|---|---|---|---|---|---|---|
| Bi2Te3 | Bulk | Bridgman–Stockbarger method | 26 | 3.8 × 10−5 | 8.70 × 1018 | 18.9 × 103 | This study |
| Bulk | Spark plasma sintering | - | - | ~2.2 × 1019 | ~103 | [32] | |
| Bulk | Self-flux method | - | ~0.1 × 10−3 | - | - | [43] | |
| Film | Metal organic chemical vapor deposition | ~2.55 | ~1.35 × 10−3 | ~6 × 1018 | ~800 | [44] | |
| Bi2Se3 | Bulk | Bridgman–Stockbarger method | 5.4 | 5.2 × 10−5 | 2.94 × 1019 | 4.1 × 103 | This study |
| Bulk | Heating stoichiometric mixtures of pure elements | - | - | ~2 × 1019 at 100 K | ~103 at 100 K | [33] | |
| Bulk | Self-flux method | - | ~0.1 × 10−3 | - | - | [40] | |
| Bulk | - | ~2 | ~0.22 × 10−3 | ~4.5 × 1019 | ~680 | [45] | |
| Film | Vapor phase epitaxy | ~2.17 | 0.608 × 10−3 | ~1.07 × 1019 | 954 | [46] | |
| Nanoplate | Vapor–liquid–solid mechanism | - | - | 5.2 × 1018 | 8.8 × 103 | [47] |
Disclaimer/Publisher’s Note: The statements, opinions and data contained in all publications are solely those of the individual author(s) and contributor(s) and not of MDPI and/or the editor(s). MDPI and/or the editor(s) disclaim responsibility for any injury to people or property resulting from any ideas, methods, instructions or products referred to in the content. |
© 2023 by the authors. Licensee MDPI, Basel, Switzerland. This article is an open access article distributed under the terms and conditions of the Creative Commons Attribution (CC BY) license (https://creativecommons.org/licenses/by/4.0/).
Share and Cite
Marchenkov, V.V.; Lukoyanov, A.V.; Baidak, S.T.; Perevalova, A.N.; Fominykh, B.M.; Naumov, S.V.; Marchenkova, E.B. Electronic Structure and Transport Properties of Bi2Te3 and Bi2Se3 Single Crystals. Micromachines 2023, 14, 1888. https://doi.org/10.3390/mi14101888
Marchenkov VV, Lukoyanov AV, Baidak ST, Perevalova AN, Fominykh BM, Naumov SV, Marchenkova EB. Electronic Structure and Transport Properties of Bi2Te3 and Bi2Se3 Single Crystals. Micromachines. 2023; 14(10):1888. https://doi.org/10.3390/mi14101888
Chicago/Turabian StyleMarchenkov, Vyacheslav V., Alexey V. Lukoyanov, Semyon T. Baidak, Alexandra N. Perevalova, Bogdan M. Fominykh, Sergey V. Naumov, and Elena B. Marchenkova. 2023. "Electronic Structure and Transport Properties of Bi2Te3 and Bi2Se3 Single Crystals" Micromachines 14, no. 10: 1888. https://doi.org/10.3390/mi14101888
APA StyleMarchenkov, V. V., Lukoyanov, A. V., Baidak, S. T., Perevalova, A. N., Fominykh, B. M., Naumov, S. V., & Marchenkova, E. B. (2023). Electronic Structure and Transport Properties of Bi2Te3 and Bi2Se3 Single Crystals. Micromachines, 14(10), 1888. https://doi.org/10.3390/mi14101888

