Design of Multiplexers for IoT-Based Applications Using Stub-Loaded Coupled-Line Resonators
Abstract
:1. Introduction
2. Methodology
2.1. Synthesis of the Proposed Diplexer
2.2. Synthesis of the Proposed Triplexer
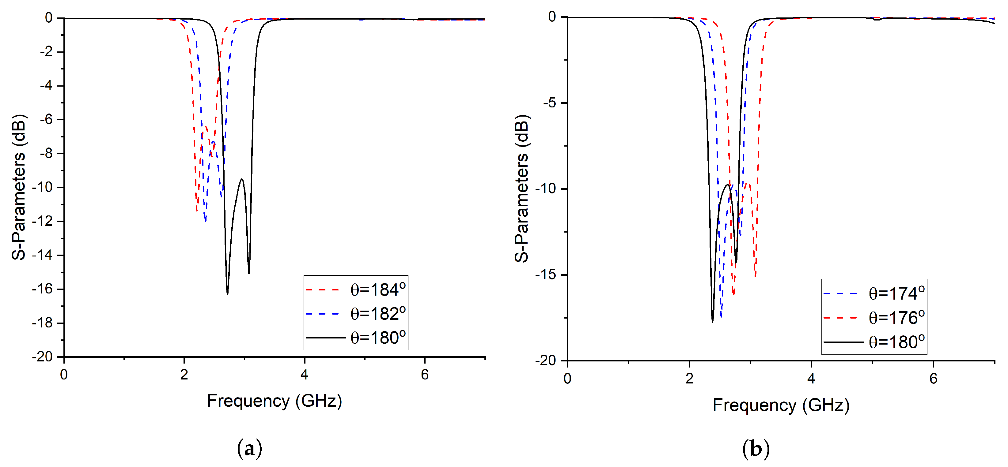
3. Results
4. Conclusions
Author Contributions
Funding
Data Availability Statement
Conflicts of Interest
References
- Lin, S.-C.; Yeh, C.-Y. Design of microstrip triplexer with high isolation based on parallel coupled-line filters using T-shaped short-circuited resonators. IEEE Microw. Wirel. Components Lett. 2015, 25, 648–650. [Google Scholar] [CrossRef]
- Da Xu, K.; Li, M.; Liu, Y.; Yang, Y.; Liu, Q.H. Design of triplexer using E-stub-loaded composite right-/left-handed resonators and quasi-lumped impedance matching network. IEEE Access 2018, 6, 18814–18821. [Google Scholar]
- Chu, Y.; Ma, K.; Wang, Y. A novel triplexer based on SISL platform. IEEE Trans. Microw. Theory Tech. 2019, 67, 997–1004. [Google Scholar] [CrossRef]
- Deng, P.-H.; Tsai, J.-T. Design of microstrip lowpass-bandpass diplexer. IEEE Microw. Wirel. Components Lett. 2013, 23, 332–334. [Google Scholar] [CrossRef]
- Chuang, M.-L.; Wu, M.-T. Microstrip diplexer design using common T-shaped resonator. IEEE Microw. Wirel. Components Lett. 2011, 21, 583–585. [Google Scholar] [CrossRef]
- Zou, J.-Y.; Wu, C.-H.; Ma, T.-G. Miniaturized diplexer using synthesized microstrip lines with series LC tanks. IEEE Microw. Wirel. Components Lett. 2012, 22, 354–356. [Google Scholar] [CrossRef]
- Liu, H.; Xu, W.; Zhang, Z.; Guan, X. Compact diplexer using slotline stepped impedance resonator. IEEE Microw. Wirel. Components Lett. 2013, 23, 75–77. [Google Scholar] [CrossRef]
- Chen, C.F.; Lin, C.Y.; Tseng, B.H.; Chang, S.F. High-isolation and high-rejection microstrip diplexer with independently controllable transmission zeros. IEEE Microw. Wirel. Components Lett. 2014, 24, 851–853. [Google Scholar] [CrossRef]
- Guan, X.; Liu, W.; Ren, B.; Liu, H.; Wen, P. A novel design method for high isolated microstrip diplexers without extra matching circuit. IEEE Access 2019, 7, 119681–119688. [Google Scholar] [CrossRef]
- Deng, P.H.; Lei, S.W.; Lo, W.; Li, M.W. Novel diplexer and triplexer designs avoiding additional matching circuits outside filters. IEEE Access 2020, 8, 14714–14723. [Google Scholar] [CrossRef]
- Chinig, A.; Errkik, A.; Abdellaoui, L.E.; Tajmouati, A.; Zbitou, J.; Latrach, M. Design of a microstrip diplexer and triplexer using open loop resonators. J. Microw. Optoelectron. Electromagn. Appl. 2016, 15, 65–80. [Google Scholar] [CrossRef]
- Chen, C.F.; Zhou, K.W.; Chen, R.Y.; Tseng, H.Y.; He, Y.H.; Li, W.J.; Weng, J.H. Design of microstrip multifunction integrated diplexers with frequency division, frequency selection, and power division functions. IEEE Access 2021, 9, 53232–53242. [Google Scholar] [CrossRef]
- Chinig, A.; Zbitou, J.; Errkik, A.; Elabdellaoui, L.; Tajmouati, A.; Tribak, A.; Latrach, M. A new microstrip diplexer using coupled stepped impedance resonators. Int. J. Electr. Comput. Energetic Electron. Commun. Eng. 2015, 9, 41–44. [Google Scholar]
- Chinig, A.; Bennis, H. A novel design of an H-shaped microstrip diplexer. J. Microw. Optoelectron. Electromagn. Appl. 2017, 16, 966–981. [Google Scholar] [CrossRef]
- Deng, P.H.; Lai, M.I.; Jeng, S.K.; Chen, C.H. Design of matching circuits for microstrip triplexers based on stepped-impedance resonators. IEEE Trans. Microw. Theory Tech. 2006, 54, 4185–4192. [Google Scholar] [CrossRef]
- Lee, H.; Itoh, T. Dual band isolation circuits based on CRLH transmission lines for triplexer application. In Proceedings of the Asia-Pacific Microwave Conference 2011, Melbourne, VIC, Australia, 5–8 December 2011. [Google Scholar]
- Deng, P.-H.; Huang, B.-L.; Chen, B.-L. Designs of microstrip four-and five-channel multiplexers using branch-line-shaped matching circuits. IEEE Trans. Compon. Packag. Manuf. Technol. 2015, 5, 1331–1338. [Google Scholar] [CrossRef]
- Lai, C.-H.; Shiau, C.-Y.; Ma, T.-G. Microwave three-channel selector using tri-mode synthesized transmission lines. IEEE Trans. Microw. Theory Tech. 2013, 61, 3529–3540. [Google Scholar] [CrossRef]
- Ammar, A.E.; Mahmoud, N.M.; Attia, M.A.; Hussein, A.H. Efficient Diplexer with High Selectivity and Low Insertion Loss Based on SOLR and DGS for WIMAX. Prog. Electromagn. Res. C 2021, 116, 171–180. [Google Scholar] [CrossRef]
- Xiao, J.K.; Zhu, M.; Li, Y.; Tian, L.; Ma, J.G. High selective microstrip bandpass filter and diplexer with mixed electromagnetic coupling. IEEE Microw. Wirel. Compon. Lett. 2015, 25, 781–783. [Google Scholar] [CrossRef]
- Cheng, F.; Gu, C.; Zhang, B.; Yang, Y.; Huang, K. High isolation substrate integrated waveguide diplexer with flexible transmission zeros. IEEE Microw. Wirel. Compon. Lett. 2020, 30, 1029–1032. [Google Scholar] [CrossRef]
- Zhang, P.; Weng, M.-H.; Yang, R.-Y. A compact wideband diplexer using stub-loaded square ring resonators. Electromagnetics 2021, 41, 167–184. [Google Scholar] [CrossRef]
- Feng, W.; Hong, M.; Che, W. Microstrip diplexer design using open/shorted coupled lines. Prog. Electromagn. Res. Lett. 2016, 59, 123–127. [Google Scholar] [CrossRef]
- Hussein, H.A.; Mezaal, Y.S.; Alameri, B.M. Miniaturized microstrip diplexer based on FR4 substrate for wireless communications. Elektron. Elektrotechnika 2021, 27, 34–40. [Google Scholar] [CrossRef]
- Shirkhar, M.M.; Roshani, S. Design and implementation of a Bandpass-bandpass diplexer using coupled structures. Wirel. Pers. Commun. 2021, 122, 2463–2477. [Google Scholar] [CrossRef]
- Rezaei, A.; Noori, L.; Mohammadi, H. Design of a miniaturized microstrip diplexer using coupled lines and spiral structures for wireless and WiMAX applications. Analog. Integr. Circuits Signal Process. 2019, 98, 409–415. [Google Scholar] [CrossRef]
- Yousif, A.B.; Ezzulddin, A.S. A Dual-band coupled line based microstrip diplexer for wireless applications. J. Glob. Sci. Res. 2020, 10, 845–853. [Google Scholar]
- Fernandez-Prieto, A.; Lujambio, A.; Martel, J.; Medina, F.; Martin, F.; Boix, R.R. Balanced-to-balanced microstrip diplexer based on magnetically coupled resonators. IEEE Access 2018, 6, 18536–18547. [Google Scholar] [CrossRef]
- Ibrahim, A.A.; Nessim, M.M.; Khames, S.A.; Hussein, A. Efficient Microstrip Diplexer Employing a New Structure of Dual-Mode Bandpass Filter. ASRJETS J. 2022, 88, 68–76. [Google Scholar]
- Gorur, A.K.; Karpuz, C. A novel microstrip triplexer based on meandered loop resonators. In Proceedings of the 2017 IEEE Asia Pacific Microwave Conference (APMC), Kuala Lumpur, Malaysia, 13–16 November 2017. [Google Scholar]
- Chu, Y.; Kaixue, M.; Yongqiang, W. A novel triplexer based on SISL platform. IEEE Trans. Microwave Theory Tech. 2019, 67.3, 997–1004. [Google Scholar]
- Xu, J.; Wan, H.; Ding, J.Q.; Zhu, Y.X. A compact third-order triplexer using common lumped-element triple-mode resonator. Frequenz 2019, 73, 287–291. [Google Scholar] [CrossRef]
- Keshavarz, S.; Abdipour, A.; Mohammadi, A.; Keshavarz, R. Design and implementation of low loss and compact microstrip triplexer using CSRR loaded coupled lines. AEU Int. J. Electron. Commun. 2019, 111, 152913. [Google Scholar] [CrossRef]
- Yang, T.; Rebeiz, G. A 1.26-3.3 GHz tunable triplexer with compact size and constant bandwidth. IEEE Microwave Wire. Compon. Lett. 2016, 26, 786–788. [Google Scholar] [CrossRef]
- Khalid, S.; Wong, P.W.; Cheong, L.Y. A novel synthesis procedure for ultra wideband (UWB) bandpass filters. Prog. Electromagn. Res. 2013, 141, 249–266. [Google Scholar] [CrossRef]
- Abdul Rehman, M.; Sohail, K. Design of tri-band bandpass filter using symmetrical open stub loaded step impedance resonator. Electron. Lett. 2018, 54, 1126–1128. [Google Scholar] [CrossRef]
- Mushtaq, B.; Khalid, S.; Rehman, M.A. Design of a Compact Novel Stub Loaded Pentaband Bandpass Filter for Next Generation Wireless RF Front Ends. IEEE Access 2022, 10, 109919–109924. [Google Scholar] [CrossRef]
- Abdul Rehman, M.; Khalid, S.; Mushtaq, B.; Idrees, M. Design of a novel compact highly selective wideband bandstop RF filter using dual path lossy resonator for next-generation applications. PloS ONE 2022, 17, e0273514. [Google Scholar] [CrossRef]
- Rehman, A.; Rahman, M.A.; Aziz, N.; Mushtaq, B.; Abbass, M.J.; Khalid, S.; Jan, A.Z. Design of Highly Selective Dual Band Band Stop Filter using Dual-Path Step Impedance Resonator. Pak. J. Eng. Technol. 2022, 5, 146–151. [Google Scholar] [CrossRef]













Disclaimer/Publisher’s Note: The statements, opinions and data contained in all publications are solely those of the individual author(s) and contributor(s) and not of MDPI and/or the editor(s). MDPI and/or the editor(s) disclaim responsibility for any injury to people or property resulting from any ideas, methods, instructions or products referred to in the content. |
© 2023 by the authors. Licensee MDPI, Basel, Switzerland. This article is an open access article distributed under the terms and conditions of the Creative Commons Attribution (CC BY) license (https://creativecommons.org/licenses/by/4.0/).
Share and Cite
Idrees, M.; Khalid, S.; Rehman, M.A.; Ullah, S.S.; Hussain, S.; Iqbal, J. Design of Multiplexers for IoT-Based Applications Using Stub-Loaded Coupled-Line Resonators. Micromachines 2023, 14, 1821. https://doi.org/10.3390/mi14101821
Idrees M, Khalid S, Rehman MA, Ullah SS, Hussain S, Iqbal J. Design of Multiplexers for IoT-Based Applications Using Stub-Loaded Coupled-Line Resonators. Micromachines. 2023; 14(10):1821. https://doi.org/10.3390/mi14101821
Chicago/Turabian StyleIdrees, Muhammad, Sohail Khalid, Muhammad Abdul Rehman, Syed Sajid Ullah, Saddam Hussain, and Jawaid Iqbal. 2023. "Design of Multiplexers for IoT-Based Applications Using Stub-Loaded Coupled-Line Resonators" Micromachines 14, no. 10: 1821. https://doi.org/10.3390/mi14101821
APA StyleIdrees, M., Khalid, S., Rehman, M. A., Ullah, S. S., Hussain, S., & Iqbal, J. (2023). Design of Multiplexers for IoT-Based Applications Using Stub-Loaded Coupled-Line Resonators. Micromachines, 14(10), 1821. https://doi.org/10.3390/mi14101821

