Design and Optimization of an S-Band MEMS Bandpass Filter Based on Aggressive Space Mapping
Abstract
1. Introduction
2. Theory and Design
2.1. General Formulation of ASM
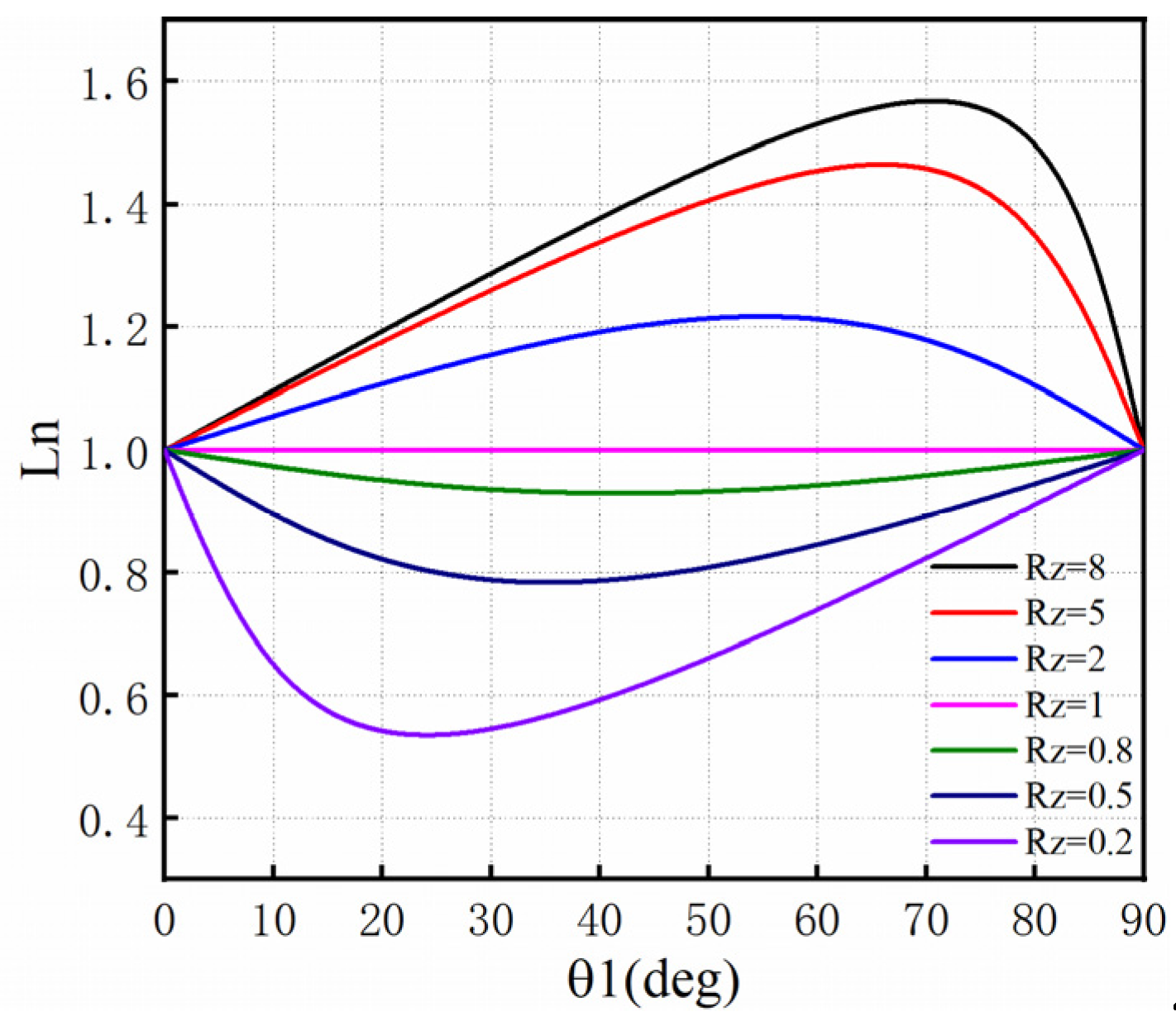
2.2. Basic Principles of SIR
2.3. Design and Optimization
- (1)
- Initialize , , extract the S parameter of the initial response by the Cauchy method and calculate the corresponding coupling matrix. Calculate through Figure 5, and obtain the current mapping error ;
- (2)
- Calculate fine model design parameter growth step using Equation (3), and work out the design parameters for the next step of the fine model ;
- (3)
- Perform the fine mode simulation in HFSS and obtain the responses in Figure 6b, which still does not meet the design index and needs to be further optimized;
- (4)
- Perform parameter extraction, extract the design parameters of the rough model , and calculate the mapping error ;
- (5)
- Update the mapping relation matrix to through Equation (4);
- (6)
- , return to step 3 and continue executing the program until the response of the filter satisfies the design metrics.
3. Fabrication and Measurement
4. Conclusions
Author Contributions
Funding
Acknowledgments
Conflicts of Interest
References
- Syms, R.; Bouchaala, A. Mechanical synchronization of MEMS electrostatically driven coupled beam filters. Micromachines 2021, 12, 1191. [Google Scholar] [CrossRef] [PubMed]
- Han, L.; Wang, Y.; Wu, Q.; Zhang, S.; Wang, S.; Li, M. A novel low-loss four-bit bandpass filter using RF MEMS switches. Chin. Phys. B 2021, 31, 018506. [Google Scholar] [CrossRef]
- Liu, Y.; Cai, Y.; Zhang, Y.; Tovstopyat, A.; Liu, S.; Sun, C. Materials, design, and characteristics of bulk acoustic wave resonator: A review. Micromachines 2020, 11, 630. [Google Scholar] [CrossRef] [PubMed]
- Luo, T.; Liu, Y.; Zou, Y.; Zhou, J.; Liu, W.; Wu, G.; Cai, Y.; Sun, C. Design and Optimization of the Dual-Mode Lamb Wave Resonator and Dual-Passband Filter. Micromachines 2022, 13, 87. [Google Scholar] [CrossRef] [PubMed]
- Zhang, W.; Feng, F.; Liu, W.; Yan, S.; Zhang, J.; Jin, J.; Zhang, Q. Advanced parallel space-mapping-based multiphysics optimization for high-power microwave filters. IEEE Trans. Microw. Theory Tech. 2021, 69, 2470–2484. [Google Scholar] [CrossRef]
- Deng, Z.; Wei, H.; Guo, X. 21.69–24.36 GHz MEMS tunable band-pass filter. Micromachines 2016, 7, 149. [Google Scholar] [CrossRef]
- Zhang, X.; Ou, W.; Ou, Y. Design and optimization of a planar folded substrate integrated waveguide bandpass filter exploiting aggressive space mapping. Int. J. RF Microw. Comput.-Aided Eng. 2019, 29, e21713. [Google Scholar] [CrossRef]
- Bandler, J.W.; Biernacki, R.M.; Chen, S.H.; Grobelny, P.A.; Hemmers, R.H. Space mapping technique for electromagnetic optimization. IEEE Trans. Microw. Theory Tech. 1994, 42, 2536–2544. [Google Scholar] [CrossRef]
- Bandler, J.W.; Biernacki, R.M.; Chen, S.H.; Hemmers, R.H.; Madsen, K. Electromagnetic optimization exploiting aggressive space mapping. IEEE Trans. Microw. Theory Tech. 1995, 43, 2874–2882. [Google Scholar] [CrossRef]
- Rayas-Sanchez, J.E. Power in simplicity with ASM: Tracing the aggressive space mapping algorithm over two decades of development and engineering applications. IEEE Microw. Mag. 2016, 17, 64–76. [Google Scholar] [CrossRef]
- Zhang, X.; Ou, Y.; Ou, W. Design of a silicon-based wideband bandpass filter using aggressive space mapping. IEICE Electron. Express 2018, 15, 20180897. [Google Scholar] [CrossRef]
- Xiao, S.; Huai, Y.; Ou, W.; Liu, J.; Ou, Y. Investigation on temperature stability of MEMS silicon-based sixth-order stripline filter. Int. J. RF Microw. Comput.-Aided Eng. 2021, 31, e22836. [Google Scholar] [CrossRef]
- Melgarejo, J.C.; Ossorio, J.; Cogollos, S.; Guglielmi, M.; Boria, V.E.; Bandler, J.W. On space mapping techniques for microwave filter tuning. IEEE Trans. Microw. Theory Tech. 2019, 67, 4860–4870. [Google Scholar] [CrossRef]
- Sans, M.; Selga, J.; Rodríguez, A.; Bonache, J.; Boria, V.E.; Martín, F. Design of planar wideband bandpass filters from specifications using a two-step aggressive space mapping (ASM) optimization algorithm. IEEE Trans. Microw. Theory Tech. 2014, 62, 3341–3350. [Google Scholar] [CrossRef]
- Rodríguez, A.; Selga, J.; Sans, M.; Martín, F.; Boria, V. Automated design of bandpass filters based on open complementary split ring resonators (OCSRRs) using aggressive space mapping (ASM) optimization. Int. J. Numer. Model. Electron. Netw. Devices Fields 2017, 30, e2121. [Google Scholar] [CrossRef]
- Ossorio, J.; Melgarejo, J.C.; Boria, V.E.; Guglielmi, M.; Bandler, J.W. On the alignment of low-fidelity and high-fidelity simulation spaces for the design of microwave waveguide filters. IEEE Trans. Microw. Theory Tech. 2018, 66, 5183–5196. [Google Scholar] [CrossRef]
- Sans, M.; Selga, J.; Vélez, P.; Rodríguez, A.; Bonache, J.; Boria, V.E.; Martín, F. Automated design of balanced wideband bandpass filters based on mirrored stepped impedance resonators (SIRs) and interdigital capacitors. Int. J. Microw. Wirel. Technol. 2016, 8, 731–740. [Google Scholar] [CrossRef]
- Weng, M.H.; Tsai, C.Y.; Chen, D.L.; Chung, Y.C.; Yang, R.Y. A bandpass filter using half mode SIW structure with step impedance resonator. Electronics 2020, 10, 51. [Google Scholar] [CrossRef]
- Benedicto, J.; Aouidad, M.H.; Rius, E.; Favennec, J.F.; Martin-Guennou, A.; Manchec, A. Analytical Modeling of Three-Section Coaxial Stepped Impedance Resonators for the Design of Compact Tx Bandpass Filters. IEEE Trans. Microw. Theory Tech. 2022, 70, 4140–4155. [Google Scholar] [CrossRef]
- Liu, L.; Zhang, P.; Weng, M.H.; Tsai, C.Y.; Yang, R.Y. A miniaturized wideband bandpass filter using quarter-wavelength stepped-impedance resonators. Electronics 2019, 8, 1540. [Google Scholar] [CrossRef]
- Ho, M.H.; Tang, K.H. Miniaturized SIW cavity tri-band filter design. IEEE Microw. Wirel. Compon. Lett. 2020, 30, 589–592. [Google Scholar] [CrossRef]
- Liu, L.Q.; Yang, Q.Q.; Chen, D.L.; Weng, M.H.; Yang, R.Y. Design of tri-band bandpass filter using uniform impedance resonators loaded with different impedance stubs. Electromagnetics 2021, 41, 253–262. [Google Scholar] [CrossRef]
- Sagawa, M.; Makimoto, M.; Yamashita, S. Geometrical structures and fundamental characteristics of microwave stepped-impedance resonators IEEE Trans. Microw. Theory Tech. 1997, 7, 1078–1085. [Google Scholar] [CrossRef]
- Mishra, V.; Singh, A.K. Design and analysis of coupling matrix for microwave filter applications VSRD Int. J. Electr. Electron. Commun. Eng. 2012, 7, 508–520. [Google Scholar]









| No. of Iterations | L1 | L2 | L3 | S1,2 | S2,3 | Lt |
|---|---|---|---|---|---|---|
| Initial value | 8046 | 8046 | 8046 | 385 | 457 | 1380 |
| 1st iteration | 8082 | 7703 | 7703 | 386 | 458 | 1367 |
| 2nd iteration | 8124 | 7745 | 7682 | 459 | 540 | 1402 |
| 3rd iteration | 8034 | 7741 | 7689 | 467 | 520 | 1266 |
| 4th iteration | 8108 | 7610 | 7759 | 431 | 515 | 1336 |
| 5th iteration | 7720 | 7680 | 7680 | 407 | 507 | 1520 |
Disclaimer/Publisher’s Note: The statements, opinions and data contained in all publications are solely those of the individual author(s) and contributor(s) and not of MDPI and/or the editor(s). MDPI and/or the editor(s) disclaim responsibility for any injury to people or property resulting from any ideas, methods, instructions or products referred to in the content. |
© 2022 by the authors. Licensee MDPI, Basel, Switzerland. This article is an open access article distributed under the terms and conditions of the Creative Commons Attribution (CC BY) license (https://creativecommons.org/licenses/by/4.0/).
Share and Cite
Wu, Q.; Gao, X.; Shi, Z.; Li, J.; Li, M. Design and Optimization of an S-Band MEMS Bandpass Filter Based on Aggressive Space Mapping. Micromachines 2023, 14, 67. https://doi.org/10.3390/mi14010067
Wu Q, Gao X, Shi Z, Li J, Li M. Design and Optimization of an S-Band MEMS Bandpass Filter Based on Aggressive Space Mapping. Micromachines. 2023; 14(1):67. https://doi.org/10.3390/mi14010067
Chicago/Turabian StyleWu, Qiannan, Xudong Gao, Zemin Shi, Jing Li, and Mengwei Li. 2023. "Design and Optimization of an S-Band MEMS Bandpass Filter Based on Aggressive Space Mapping" Micromachines 14, no. 1: 67. https://doi.org/10.3390/mi14010067
APA StyleWu, Q., Gao, X., Shi, Z., Li, J., & Li, M. (2023). Design and Optimization of an S-Band MEMS Bandpass Filter Based on Aggressive Space Mapping. Micromachines, 14(1), 67. https://doi.org/10.3390/mi14010067
