Temperature-Induced Internal Stress Influence on Specimens in Indentation Tests
Abstract
:1. Introduction
2. Finite Element Model
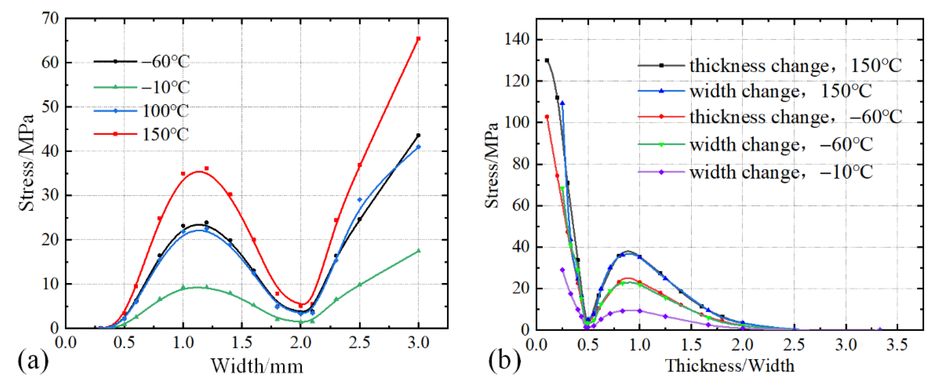
3. Results
4. Discussion
4.1. Specimen Parameters
4.2. External Conditions
4.2.1. Fixed Stage
4.2.2. Adopted Glue
5. Conclusions
Author Contributions
Funding
Conflicts of Interest
References
- Kasyap, S.S.; Senetakis, K. Application of Nanoindentation in the Characterization of a Porous Material with a Clastic Texture. Materials 2021, 14, 4579. [Google Scholar] [CrossRef]
- Orlov, V.I.; Vergeles, P.S.; Yakimov, E.B.; Li, X.J.; Yang, J.Q.; Lv, G.; Dong, S.L. Estimations of Low Temperature Dislocation Mobility in GaN. Phys. Status Solidi A 2019, 216, 1900163. [Google Scholar] [CrossRef]
- Tsai, Y.H.; Chen, C.C.A.; Suzuki, K.; Khajornrungruang, P.; Chiu, S.F.; Hua, C.T. Advanced chemical-mechanical planarization for 4H-SiC substrate by water-soluble inclusion complexes of fullerene. Jpn. J. Appl. Phys. 2020, 59, SLLA01. [Google Scholar] [CrossRef]
- He, R.J.; Qu, Z.L.; Pei, Y.M.; Fang, D.N. High temperature indentation tests of YSZ coatings in air up to 1200 °. Mater. Lett. 2017, 209, 5–7. [Google Scholar] [CrossRef]
- Wang, S.B.; Xu, H.L.; Wang, Y.Y.; Kong, L.Q.; Wang, Z.X.; Liu, S.H.; Zhang, J.H.; Zhao, H.W. Design and testing of a cryogenic indentation apparatus. Rev. Sci. Instrum. 2019, 90, 015117. [Google Scholar] [CrossRef] [PubMed]
- Zgalat-Lozynskyy, O.; Kud, I.; Ieremenko, L.; Krushynska, L.; Zyatkevych, D.; Grinkevych, K.; Myslyvchenko, O.; Danylenko, V.; Sokhan, S.; Ragulya, A. Synthesis and spark plasma sintering of Si3N4-ZrN self-healing composites. J. Eur. Ceram. Soc. 2022, 42, 3192–3203. [Google Scholar] [CrossRef]
- Jiang, W.M.; Zhu, X.L.; Zhou, J.M.; Liu, J.Y.; Liu, J.X.; Huang, W. The indentation responses of composite Y-type cores sandwich structure under various temperatures. Polym. Compos. 2022, 43, 533–542. [Google Scholar] [CrossRef]
- Long, X.; Jia, Q.P.; Shen, Z.Y.; Liu, M.; Guan, C. Strain rate shift for constitutive behaviour of sintered silver nanoparticles under nanoindentation. Mech. Mater. 2021, 158, 103881. [Google Scholar] [CrossRef]
- Zhang, H.L.; Kim, S.; Choi, G.; Xie, D.M.; Cho, H.H. Effect of temperature dependent material properties on thermoelastic damping in thin beams. Int. J. Heat Mass Transfer 2019, 139, 1031–1036. [Google Scholar] [CrossRef]
- Wang, H.M.; Lu, Z.W.; Huang, Z.Y.; Cedelle, J.; Wang, Q.Y. Size effect on hardness for micro-sized and nano-sized YAG transparent ceramics. Ceram. Int. 2018, 44, 12472–12476. [Google Scholar] [CrossRef]
- Phani, P.S.; Oliver, W.C.; Pharr, G.M. On the effective load during nanoindentation creep testing with continuous stiffness measurement (CSM). J. Mater. Res. 2021, 36, 1740–1750. [Google Scholar] [CrossRef]
- Wheeler, J.M.; Brodard, P.; Michler, J. Elevated temperature, in situ indentation with calibrated contact temperatures. Philos. Mag. 2012, 52, 3128–3141. [Google Scholar] [CrossRef]
- Hou, X.D.; Alvarez, C.L.M.; Jennett, N.M. Establishing isothermal contact at a known temperature under thermal equilibrium in elevated temperature instrumented indentation testing. Meas. Sci. Technol. 2017, 28, 025016. [Google Scholar] [CrossRef] [Green Version]
- Verma, S.; Sarkar, P.; Pant, P. Thermal drift in room temperature nanoindentation experiments: Measurement and correction. J. Mater. Res. 2021, 36, 3436–3444. [Google Scholar] [CrossRef]
- Conte, M.; Mohanty, G.; Schwiedrzik, J.J.; Wheeler, J.M.; Bellaton, B.; Michler, J.; Randall, N.X. Novel high temperature vacuum nanoindentation system with active surface referencing and non-contact heating for measurements up to 800 °. Rev. Sci. Instrum. 2019, 90, 045105. [Google Scholar] [CrossRef] [Green Version]
- Penkov, O.V.; Kopylets, I.A.; Khadem, M.; Kondratenko, V.V.; Malykhin, S.V.; Surovitskiy, S.V.; Fedchenko, A.V. Evaluation of structure and mechanical properties of TiZrNi coatings under annealing. Thin Solid Films 2022, 748, 139149. [Google Scholar] [CrossRef]
- Lee, H.; Chen, Y.; Claisse, A.; Schuh, C.A. Finite Element Simulation of Hot Nanoindentation in Vacuum. Exp. Mech. 2013, 53, 1201–1211. [Google Scholar] [CrossRef]
- Lichinchi, M.; Lenardi, C.; Haupt, J.; Vitali, R. Simulation of Berkovich nanoindentation experiments on thin films using finite element method1,2,3. Thin Solid Films 1998, 333, 278–286. [Google Scholar]
- Bei, H.; George, E.P.; Hay, J.L.; Pharr, G.M. Influence of indenter tip geometry on elastic deformation during nanoindentation. Phys. Rev. Lett. 2005, 95, 045501. [Google Scholar] [CrossRef] [PubMed]
- Gray, D.E. American Institute of Physics Handbook, 3rd ed.; McGraw-Hill Book Company: New York, NY, USA, 1972; pp. 1204–2346. ISBN 07001485x. [Google Scholar]
- Shi, H. Materials Science and Engineering Handbook, 3rd ed.; Chemical Industry Press: Beijing, China, 2004; pp. 101–120. ISBN 1207-5025-2156-9. [Google Scholar]











| Materials | Elastic Modulus (MPa) | Poisson’s Ratio | Yield Stress (MPa) | Thermophysical Properties | |
|---|---|---|---|---|---|
| Temperature (°C) | Thermal Expansion Coefficient (10−6/°C) | ||||
| AlCu2.5Mg | 72,000 | 0.33 | 370 | −50 | 21.8 |
| 20 | 23.4 | ||||
| 200 | 24.5 | ||||
| A333–1.6 | 206,000 | 0.3 | 345 | 20 | 8.31 |
| 100 | 10.99 | ||||
| 200 | 12.31 | ||||
| Temperature (℃) | Hardness (GPa) | Error Percentage of Hardness (%) | Elastic Modulus (GPa) | Error Percentage of Elastic Modulus (%) |
|---|---|---|---|---|
| 150 | 1.467 | −1.08 | 100.2 | −0.694 |
| 20 | 1.483 | 0 | 100.9 | 0 |
| −60 | 1.517 | 2.29 | 102.7 | 1.78 |
| −196 | 1.547 | 4.32 | 104.2 | 3.27 |
| Material | Epoxy | Acrylate | Phenolic |
|---|---|---|---|
| Yield strength (MPa) | 27.9 | 110 | 210 |
| Elastic modulus (MPa) | 1000 | 6500 | 6950 |
| Poisson’s ratio | 0.38 | 0.35 | 0.35 |
| Thermal expansion coefficient (10−6/°C) | 67.7 | 90 | 25 |
Publisher’s Note: MDPI stays neutral with regard to jurisdictional claims in published maps and institutional affiliations. |
© 2022 by the authors. Licensee MDPI, Basel, Switzerland. This article is an open access article distributed under the terms and conditions of the Creative Commons Attribution (CC BY) license (https://creativecommons.org/licenses/by/4.0/).
Share and Cite
Wang, S.; Li, X.; Zhao, H. Temperature-Induced Internal Stress Influence on Specimens in Indentation Tests. Micromachines 2022, 13, 1045. https://doi.org/10.3390/mi13071045
Wang S, Li X, Zhao H. Temperature-Induced Internal Stress Influence on Specimens in Indentation Tests. Micromachines. 2022; 13(7):1045. https://doi.org/10.3390/mi13071045
Chicago/Turabian StyleWang, Shunbo, Xianke Li, and Hongwei Zhao. 2022. "Temperature-Induced Internal Stress Influence on Specimens in Indentation Tests" Micromachines 13, no. 7: 1045. https://doi.org/10.3390/mi13071045
APA StyleWang, S., Li, X., & Zhao, H. (2022). Temperature-Induced Internal Stress Influence on Specimens in Indentation Tests. Micromachines, 13(7), 1045. https://doi.org/10.3390/mi13071045
