A Terahertz Optomechanical Detector Based on Metasurface and Bi-Material Micro-Cantilevers
Abstract
:1. Introduction
2. Design and Simulation Discussions
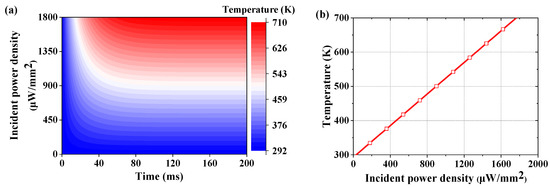
2.1. Bi-Material Cantilever
2.2. Metasurface Absorber
2.3. Optomechanical Detector
3. Fabrication and Measurements
4. Conclusions
Author Contributions
Funding
Institutional Review Board Statement
Informed Consent Statement
Data Availability Statement
Conflicts of Interest
References
- Zhao, Y.T.; Wu, B.; Huang, B.J.; Cheng, Q. Switchable broadband terahertz absorber/reflector enabled by hybrid graphene-gold metasurface. Opt. Express 2017, 25, 7161–7169. [Google Scholar] [CrossRef] [PubMed]
- Zhou, H.; Yang, C.; Hu, D.; Li, D.; Hui, X.; Zhang, F.; Chen, M.; Mu, X. Terahertz biosensing based on bi-layer metamaterial absorbers toward ultra-high sensitivity and simple fabrication. Appl. Phys. Lett. 2019, 115, 143507. [Google Scholar] [CrossRef]
- Yang, Y.; Yamagami, Y.; Yu, X.; Pitchappa, P.; Webber, J.; Zhang, B.; Fujita, M.; Nagatsuma, T.; Singh, R. Terahertz topological photonics for on-chip communication. Nat. Photonics 2020, 14, 446–451. [Google Scholar] [CrossRef] [Green Version]
- Khodzitsky, M.; Tukmakova, A.; Zykov, D.; Novoselov, M.; Tkhorzhevskiy, I.; Sedinin, A.; Novotelnova, A.; Zaitsev, A.; Demchenko, P.; Makarova, E.; et al. THz room-temperature detector based on thermoelectric frequency-selective surface fabricated from Bi88Sb12 thin film. Appl. Phys. Lett. 2021, 119, 164101. [Google Scholar] [CrossRef]
- Shabani, M.; Mir, A. Design and analysis of an ultra-broadband polarization-independent wide-angle plasmonic THz absorber. IEEE J. Quantum Electron. 2021, 57, 1–8. [Google Scholar] [CrossRef]
- Alves, F.; Grbovic, D.; Kearney, B.; Lavrik, N.V.; Karunasiri, G. Bi-material terahertz sensors using metamaterial structures. Opt. Express 2013, 21, 13256–13271. [Google Scholar] [CrossRef] [PubMed] [Green Version]
- Chen, X.; Fan, W.; Song, C. Multiple plasmonic resonance excitations on graphene metamaterials for ultrasensitive terahertz sensing. Carbon 2018, 133, 416–422. [Google Scholar] [CrossRef]
- Siday, T.; Vabishchevich, P.P.; Hale, L.; Harris, C.T.; Luk, T.S.; Reno, J.L.; Brener, I.; Mitrofanov, O. Terahertz detection with perfectly-absorbing photoconductive metasurface. Nano Lett. 2019, 19, 2888–2896. [Google Scholar] [CrossRef]
- Makino, K.; Kuromiya, S.; Takano, K.; Kato, K.; Nakajima, M.; Saito, Y.; Tominaga, J.; Iida, H.; Kinoshita, M.; Nakano, T. THz pulse detection by Multilayered GeTe/Sb2Te3. ACS Appl. Mater. Interfaces 2016, 8, 32408–32413. [Google Scholar] [CrossRef]
- Semenov, A.D.; Hübers, H.W.; Schubert, J.; Gol’tsman, G.N.; Elantiev, A.I.; Voronov, B.M.; Gershenzon, E.M. Design and performance of the lattice-cooled hot-electron terahertz mixer. J. Appl. Phys. 2000, 88, 6758–6767. [Google Scholar] [CrossRef]
- Otani, C.; Taino, T.; Nakano, R.; Hoshino, K.; Shibuya, T.; Myoren, H.; Ariyoshi, S.; Sato, H.; Shimizu, H.M.; Takada, S.; et al. A Broad-Band THz Radiation Detector Using a Nb-Based Superconducting Tunnel Junction. IEEE Trans. Appl. Supercond. 2005, 15, 591–594. [Google Scholar] [CrossRef]
- Boppel, S.; Lisauskas, A.; Mundt, M.; Seliuta, D.; Minkevicius, L.; Kasalynas, I.; Valusis, G.; Mittendorff, M.; Winnerl, S.; Krozer, V.; et al. CMOS Integrated Antenna-Coupled Field-Effect Transistors for the Detection of Radiation From 0.2 to 4.3 THz. IEEE Trans. Microwave Theory Tech. 2012, 60, 3834–3843. [Google Scholar] [CrossRef]
- Jazbinsek, M.; Mutter, L.; Gunter, P. Photonic Applications With the Organic Nonlinear Optical Crystal DAST. IEEE J. Sel. Top. Quantum Electron. 2008, 14, 1298–1311. [Google Scholar] [CrossRef]
- Hamouleh-Alipour, A.; Mir, A.; Farmani, A. Analytical Modeling and Design of a Graphene Metasurface Sensor for Thermo-Optical Detection of Terahertz Plasmons. IEEE Sens. J. 2021, 21, 4525–4532. [Google Scholar] [CrossRef]
- Wen, Y.; Jia, D.; Ma, W.; Feng, Y.; Liu, M.; Dong, L.; Zhao, Y.; Yu, X. Photomechanical meta-molecule array for real-time terahertz imaging. Microsyst. Nanoeng. 2017, 3, 17071. [Google Scholar] [CrossRef] [PubMed] [Green Version]
- Chen, L.; Liao, D.-G.; Guo, X.-G.; Zhao, J.-Y.; Zhu, Y.-M.; Zhuang, S.-L. Terahertz time-domain spectroscopy and micro-cavity components for probing samples: A review. Front. Inform. Technol. Elect. Eng. 2019, 20, 591–607. [Google Scholar] [CrossRef]
- Niu, T.; Morais, N.; Qiu, B.; Nagai, N.; Zhang, Y.; Arakawa, Y.; Hirakawa, K. GaAs-based microelectromechanical terahertz bolometers fabricated on high-resistivity Si substrates using wafer bonding technique. Appl. Phys. Lett. 2021, 119, 041104. [Google Scholar] [CrossRef]
- Liu, M.; Susli, M.; Silva, D.; Putrino, G.; Kala, H.; Fan, S.; Cole, M.; Faraone, L.; Wallace, V.P.; Padilla, W.J.; et al. Ultrathin tunable terahertz absorber based on MEMS-driven metamaterial. Microsyst. Nanoeng. 2017, 3, 17033. [Google Scholar] [CrossRef] [Green Version]
- Wang, S.; Cai, C.; You, M.; Liu, F.; Wu, M.; Li, S.; Bao, H.; Kang, L.; Werner, D.H. Vanadium dioxide based broadband THz metamaterial absorbers with high tunability: Simulation study. Opt. Express 2019, 27, 19436–19447. [Google Scholar] [CrossRef]
- Xiong, H.; Wu, Y.B.; Dong, J.; Tang, M.C.; Jiang, Y.N.; Zeng, X.P. Ultra-thin and broadband tunable metamaterial graphene absorber. Opt. Express 2018, 26, 1681–1688. [Google Scholar] [CrossRef]
- Sasaki, T.; Nishie, Y.; Kambayashi, M.; Sakamoto, M.; Noda, K.; Okamoto, H.; Kawatsuki, N.; Ono, H. Active Terahertz Polarization Converter Using a Liquid Crystal-Embedded Metal Mesh. IEEE Photonics J. 2019, 11, 1–7. [Google Scholar] [CrossRef]
- Zhao, J.; Cheng, Y.; Cheng, Z. Design of a Photo-Excited Switchable Broadband Reflective Linear Polarization Conversion Metasurface for Terahertz Waves. IEEE Photonics J. 2018, 10, 1–10. [Google Scholar] [CrossRef]
- Yu, H.; Xiong, Q.; Wang, H.; Zhang, Y.; Wang, Y.; Lai, J.; Chen, C. Near-infrared free carrier absorption enhancement of heavily doped silicon in all-dielectric metasurface. Appl. Phys. Lett. 2020, 117, 134101. [Google Scholar] [CrossRef]
- Cheng, X.; Huang, R.; Xu, J.; Xu, X. Broadband Terahertz Near-Perfect Absorbers. ACS Appl. Mater. Interfaces 2020, 12, 33352–33360. [Google Scholar] [CrossRef] [PubMed]
- Kaveev, A.K.; Kaveeva, E.G.; Adaev, E.A. Pulse Shape Measurement Using Golay Detector. J. Infrared Millim. Terahertz Waves 2012, 33, 306–318. [Google Scholar] [CrossRef]
- Liu, Z.; Liang, Z.; Tang, W.; Xu, X. Design and fabrication of low-deformation micro-bolometers for THz detectors. Infrared Phys. Technol. 2020, 105, 103241. [Google Scholar] [CrossRef]
- Berry, C.W.; Wang, N.; Hashemi, M.R.; Unlu, M.; Jarrahi, M. Significant performance enhancement in photoconductive terahertz optoelectronics by incorporating plasmonic contact electrodes. Nat. Commun. 2013, 4, 1622. [Google Scholar] [CrossRef] [Green Version]
- Datskos, P.G.; Lavrik, N.V.; Rajic, S. Performance of uncooled microcantilever thermal detectors. Rev. Sci. Instrum. 2004, 75, 1134. [Google Scholar] [CrossRef]
- Timoshenko, S. Analysis of bi-Metal thermostats. J. Opt. Soc. Am. Rev. Sci. Instrum. 1925, 11, 233–255. [Google Scholar] [CrossRef]
- Zhao, Y.; Mao, M.; Horowitz, R.; Majumdar, A.; Varesi, J.; Norton, P.; Kitching, J. Optomechanical Uncooled Infrared Imaging System: Design, Microfabrication, and Performance. J. Microelectromech. Syst. 2002, 11, 136–146. [Google Scholar] [CrossRef]
- Hu, Z.; Thundat, T.; Warmack, R.J. Investigation of adsorption and absorption-induced stresses using microcantilever sensors. J. Appl. Phys. 2001, 90, 427–431. [Google Scholar] [CrossRef]
- Pan, W.; Yu, X.; Zhang, J.; Zeng, W. A Novel Design of Broadband Terahertz Metamaterial Absorber Based on Nested Circle Rings. IEEE Photonics Technol. Lett. 2016, 28, 2335–2338. [Google Scholar] [CrossRef]
- Smith, D.R.; Vier, D.C.; Koschny, T.; Soukoulis, C.M. Electromagnetic parameter retrieval from inhomogeneous metamaterials. Phys. Rev. E 2005, 71, 036617. [Google Scholar] [CrossRef] [PubMed] [Green Version]
- Pan, W.; Yu, X.; Zhang, J.; Zeng, W. A Broadband Terahertz Metamaterial Absorber Based on Two Circular Split Rings. IEEE J. Quantum Electron. 2017, 53, 1–6. [Google Scholar] [CrossRef]












| Material | Thermal Expansion Coefficient α (×10−6 K−1) | Thermal Conductivity g (Wm−1 K−1) | Heat Capacity c (Jkg−1 K−1) | Young’s Modulus E (×109 Pa) | Density ρ (×10−3 kg/m3) | Electric Conductivity σ (×106 Sm−1) | Relative Permittivity εr |
|---|---|---|---|---|---|---|---|
| Si | 2.7 | 131 | 748 | 100 | 2300 | - | 11.8 |
| Si3N4 | 2.3 | 20 | 700 | 250 | 3100 | - | 7.5 |
| Au | 14.8 | 317 | 129 | 70 | 19,300 | 45.6 | - |
| Parameter | a1 | a2 | p | t1 | t2 |
|---|---|---|---|---|---|
| Value (μm) | 13.8 | 15.2 | 18.5 | 0.5 | 0.7 |
| Parameter | lm | lc | lp | lh | ∆l | ∆w | wc | wh | tp | tsub |
|---|---|---|---|---|---|---|---|---|---|---|
| Value (μm) | 185 | 195 | 30 | 220 | 180 | 15 | 8 | 200 | 30 | 270 |
Publisher’s Note: MDPI stays neutral with regard to jurisdictional claims in published maps and institutional affiliations. |
© 2022 by the authors. Licensee MDPI, Basel, Switzerland. This article is an open access article distributed under the terms and conditions of the Creative Commons Attribution (CC BY) license (https://creativecommons.org/licenses/by/4.0/).
Share and Cite
Zhu, H.; Wang, K.; Liu, G.; Wang, G.; Mou, J.; Zhang, W.; Wei, G. A Terahertz Optomechanical Detector Based on Metasurface and Bi-Material Micro-Cantilevers. Micromachines 2022, 13, 805. https://doi.org/10.3390/mi13050805
Zhu H, Wang K, Liu G, Wang G, Mou J, Zhang W, Wei G. A Terahertz Optomechanical Detector Based on Metasurface and Bi-Material Micro-Cantilevers. Micromachines. 2022; 13(5):805. https://doi.org/10.3390/mi13050805
Chicago/Turabian StyleZhu, Hailiang, Kai Wang, Ganyu Liu, Gengchen Wang, Jinchao Mou, Weiwei Zhang, and Gao Wei. 2022. "A Terahertz Optomechanical Detector Based on Metasurface and Bi-Material Micro-Cantilevers" Micromachines 13, no. 5: 805. https://doi.org/10.3390/mi13050805
APA StyleZhu, H., Wang, K., Liu, G., Wang, G., Mou, J., Zhang, W., & Wei, G. (2022). A Terahertz Optomechanical Detector Based on Metasurface and Bi-Material Micro-Cantilevers. Micromachines, 13(5), 805. https://doi.org/10.3390/mi13050805

