Particle Deposition in the Vicinity of Multiple Film Cooling Holes
Abstract
:1. Introduction
2. Materials and Methods
2.1. Experimental Apparatus
2.2. Particle Deposition Simulation
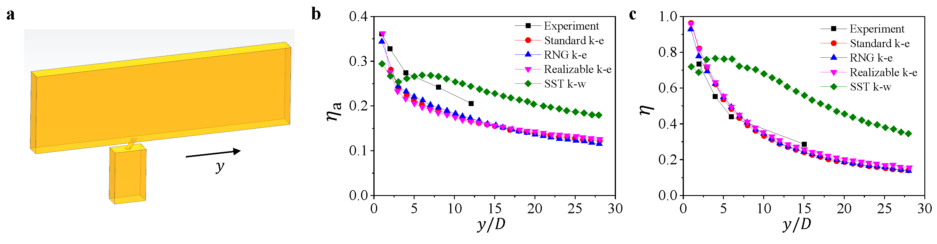
2.3. Simulation Validation
2.4. The Initial Velocity of Added Particles
3. Results and Discussion
3.1. Particle Capture Efficiency
3.2. The Effect of Blowing Ratio on Particle Deposition
3.3. The Interaction between the Outflows of Multiple Film Cooling Holes
4. Conclusions
Author Contributions
Funding
Data Availability Statement
Acknowledgments
Conflicts of Interest
Nomenclature
| c | Particle mass concentration |
| D | Diameter of the hole |
| f | Blowing ratio |
| H | Hole |
| Hole tail region | |
| h | Particle deposition thickness |
| Averaged deposition thickness | |
| Averaged deposition thickness for | |
| Pressure of coolant chamber | |
| Temperature of cooling air | |
| Adiabatic wall temperature | |
| Surface temperature | |
| Velocity of the coolant | |
| Velocity of the mainstream flow | |
| Initial velocity of particle | |
| x | The transverse direction of main flow |
| y | The direction of mainsteam flow |
| The y coordinate of center point of the chosen areas | |
| z | Vertical direction |
| Particle capture efficiency | |
| Cooling efficiency | |
| Averaged cooling efficiency in transverse direction | |
| Density of the coolant | |
| Density of the mainstream flow |
References
- Bunker, R.S. A review of shaped hole turbine film-cooling technology. J. Heat Transf. 2005, 127, 441–453. [Google Scholar] [CrossRef]
- Goldstein, R.; Eckert, E.; Burggraf, F. Effects of hole geometry and density on three-dimensional film cooling. Int. J. Heat Mass Transf. 1974, 17, 595–607. [Google Scholar] [CrossRef]
- Kim, Y.S.; Jeong, J.Y.; Kwak, J.S.; Chung, H. The effects of hole arrangement and density ratio on the heat transfer coefficient augmentation of fan-shaped film cooling holes. Energies 2021, 14, 186. [Google Scholar] [CrossRef]
- Ravelli, S.; Abdeh, H.; Barigozzi, G. Numerical Assessment of Density Ratio and Mainstream Turbulence Effects on Leading-Edge Film Cooling: Heat and Mass Transfer Methods. J. Turbomach. 2021, 143, 041002. [Google Scholar] [CrossRef]
- Dupuy, D.; Perrot, A.; Odier, N.; Gicquel, L.Y.; Duchaine, F. Boundary-condition models of film-cooling holes for large-eddy simulation of turbine vanes. Int. J. Heat Mass Transf. 2021, 166, 120763. [Google Scholar] [CrossRef]
- Zhang, J.; Zhang, S.; Chunhua, W.; Xiaoming, T. Recent advances in film cooling enhancement: A review. Chin. J. Aeronaut. 2020, 33, 1119–1136. [Google Scholar] [CrossRef]
- Hamed, A.; Tabakoff, W.; Wenglarz, R. Erosion and deposition in turbomachinery. J. Propuls. Power 2006, 22, 350–360. [Google Scholar] [CrossRef] [Green Version]
- Walsh, W.; Thole, K.; Joe, C. Effects of sand ingestion on the blockage of film-cooling holes. Turbo Expo Power Land Sea Air 2006, 4238, 81–90. [Google Scholar]
- Wolff, T.; Bowen, C.; Bons, J.P. The effect of particle size on deposition in an effusion cooling geometry. In Proceedings of the 2018 AIAA Aerospace Sciences Meeting, Kissimmee, FL, USA, 8–12 January 2018; p. 0391. [Google Scholar]
- Demling, P.; Bogard, D.G. The effects of obstructions on film cooling effectiveness on the suction side of a gas turbine vane. Turbo Expo Power Land Sea Air 2006, 4238, 547–556. [Google Scholar]
- Ai, W.; Murray, N.; Fletcher, T.H.; Harding, S.; Lewis, S.; Bons, J.P. Deposition Near Film Cooling Holes on a High Pressure Turbine Vane. ASME J. Turbomach. 2012, 134, 041013. [Google Scholar] [CrossRef]
- Somawardhana, R.P.; Bogard, D.G. Effects of surface roughness and near hole obstructions on film cooling effectiveness. Turbo Expo Power Land Sea Air 2007, 47934, 799–809. [Google Scholar]
- Cheng-xiong, P.; Jing-zhou, Z.; Ke-nan, H. Numerical investigation of partial blockage effect on film cooling effectiveness. Math. Probl. Eng. 2014, 2014, 167193. [Google Scholar] [CrossRef]
- Cardwell, N.; Thole, K.A.; Burd, S. Investigation of Sand Blocking within Impingement and Film-Cooling Holes. ASME J. Turbomach. 2010, 132, 021020. [Google Scholar] [CrossRef] [Green Version]
- Varney, B.; Barker, B.; Bons, J.; Wolff, T.; Gnanaselvam, P. Fine Particulate Deposition in an Effusion Plate Geometry. Turbo Expo: Power for Land, Sea, and Air. Am. Soc. Mech. Eng. 2019, 58585, V02DT47A017. [Google Scholar]
- Wang, X.Y.; Pu, J.; Yuan, R.M.; Wang, J.H. Combined Influence of Surface Deposition and Hole-Blockage on Film-Cooling Performances. Turbo Expo: Power for Land, Sea, and Air. Am. Soc. Mech. Eng. 2016, 49804, V05CT19A019. [Google Scholar]
- Rozati, A.; Tafti, D.K.; Sreedharan, S.S. Effects of Syngas Ash Particle Size on Deposition and Erosion of a Film Cooled Leading Edge. ASME J. Turbomach. 2011, 133, 011010. [Google Scholar] [CrossRef]
- Ai, W.; Laycock, R.G.; Rappleye, D.S.; Fletcher, T.H.; Bons, J.P. Effect of particle size and trench configuration on deposition from fine coal flyash near film cooling holes. Turbo Expo Power Land Sea Air 2009, 48845, 561–571. [Google Scholar]
- Lawson, S.; Thole, K. Effects of simulated particle deposition on film cooling. J. Turbomach. 2011, 133, 021009. [Google Scholar] [CrossRef]
- Mensch, A.; Thole, K. Simulations of multiphase particle deposition on a gas turbine endwall with impingement and film cooling. J. Turbomach. 2015, 137, 111002. [Google Scholar] [CrossRef]
- Wang, J.; Zhao, Z.; Tian, L.; Ren, X.; Sunden, B. Effects of Hole Configuration on Film Cooling Effectiveness and Particle Deposition on Curved Surfaces in Gas Turbines. Appl. Therm. Eng. 2021, 190, 116861. [Google Scholar] [CrossRef]
- Wang, C.; Zhang, J.; Zhou, J. Investigation of Particle Deposition Characteristics in Vicinity of Laidback Fan-shaped Film Cooling Holes. Flow Turbul. Combust. 2016, 97, 591–607. [Google Scholar] [CrossRef]
- Yang, L.; Chen, W.; Chyu, M.K. A convolution modeling method for pore plugging impact on transpiration cooling configurations perforated by straight holes. Int. J. Heat Mass Transf. 2018, 126, 1057–1066. [Google Scholar] [CrossRef]
- Min, Z.; Huang, G.; Parbat, S.N.; Yang, L.; Chyu, M.K. Experimental investigation on additively manufactured transpiration and film cooling structures. J. Turbomach. 2019, 141, 031009. [Google Scholar] [CrossRef]
- Liu, D.; Tao, Z.; Luo, X. Experimental investigation of heat transfer characteristics on turbine endwall with full coverage film cooling. Appl. Therm. Eng. 2018, 140, 295–303. [Google Scholar] [CrossRef]
- Na, S.; Cunha, F.; Chyu, M.; Shih, T. Effects of Coating Blockage and Deposit on Film Cooling Effectiveness and Heat Transfer. In Proceedings of the 44th AIAA Aerospace Sciences Meeting and Exhibit, Reno, NV, USA, 9–12 January 2006; p. 24. [Google Scholar]










| Particle Property | Value |
|---|---|
| Size range | 5–40 μm |
| Density | 900 kg/m3 |
| Specific heat | 984 J/(kg·K) |
| Thermal conductivity | 0.5 W/(m·K) |
Publisher’s Note: MDPI stays neutral with regard to jurisdictional claims in published maps and institutional affiliations. |
© 2022 by the authors. Licensee MDPI, Basel, Switzerland. This article is an open access article distributed under the terms and conditions of the Creative Commons Attribution (CC BY) license (https://creativecommons.org/licenses/by/4.0/).
Share and Cite
Peng, Y.; Xu, G.; Luo, X.; He, J.; Liu, D. Particle Deposition in the Vicinity of Multiple Film Cooling Holes. Micromachines 2022, 13, 523. https://doi.org/10.3390/mi13040523
Peng Y, Xu G, Luo X, He J, Liu D. Particle Deposition in the Vicinity of Multiple Film Cooling Holes. Micromachines. 2022; 13(4):523. https://doi.org/10.3390/mi13040523
Chicago/Turabian StylePeng, Yubo, Guoqiang Xu, Xiang Luo, Jian He, and Dongdong Liu. 2022. "Particle Deposition in the Vicinity of Multiple Film Cooling Holes" Micromachines 13, no. 4: 523. https://doi.org/10.3390/mi13040523
APA StylePeng, Y., Xu, G., Luo, X., He, J., & Liu, D. (2022). Particle Deposition in the Vicinity of Multiple Film Cooling Holes. Micromachines, 13(4), 523. https://doi.org/10.3390/mi13040523
