Fabrication of Transparent and Flexible Digital Microfluidics Devices
Abstract
:1. Introduction
2. Materials and Methods
2.1. Materials and Instruments
2.2. Fabrication
3. Result and Discussion
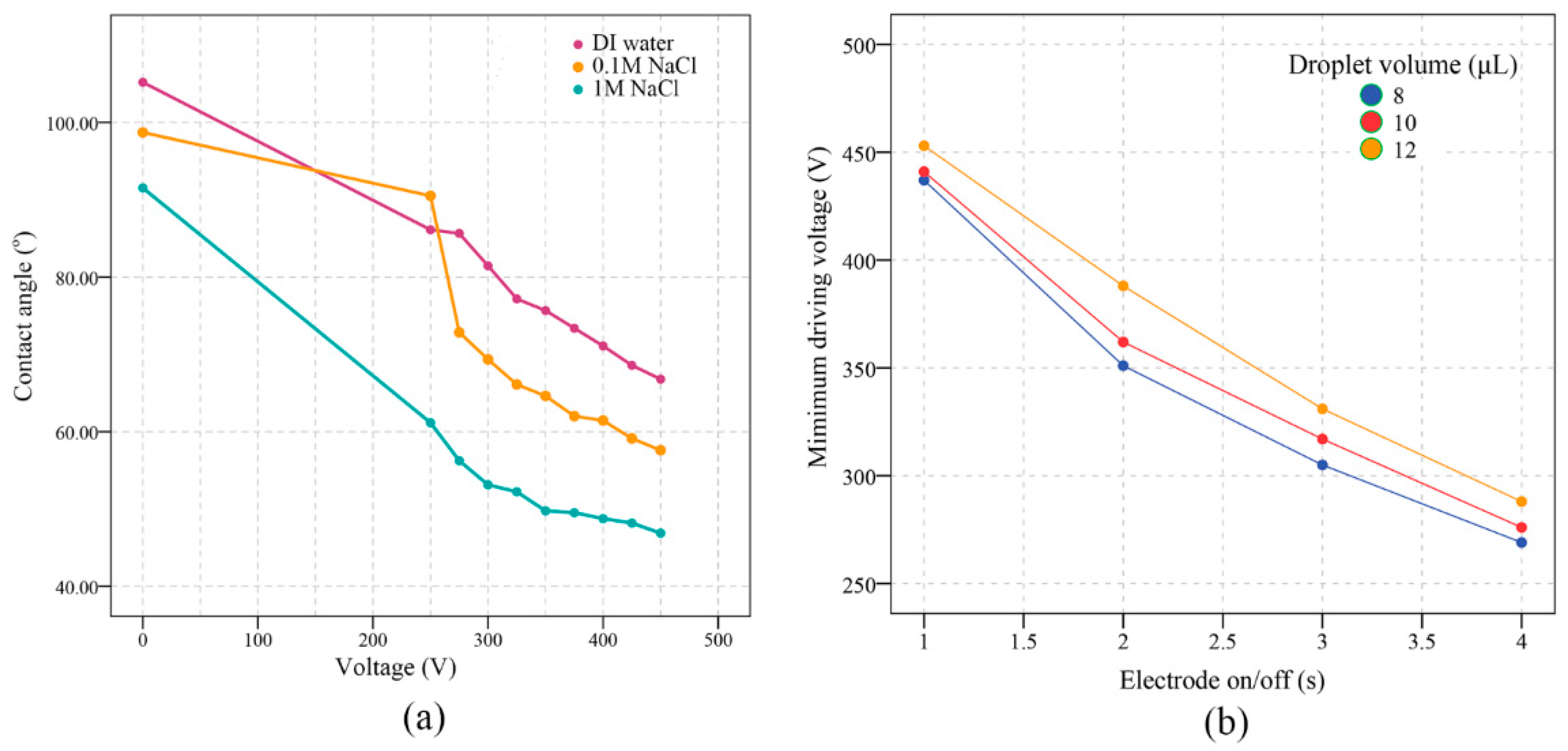
3.1. Surface Properties
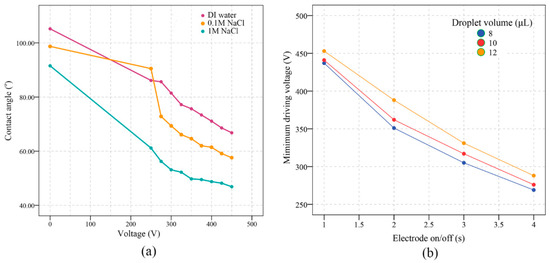
3.2. Leakage Current and Droplet Control
4. Conclusions
Supplementary Materials
Author Contributions
Funding
Data Availability Statement
Conflicts of Interest
References
- Ooi, C.H.; Vadivelu, R.; Jin, J.; Sreejith, K.R.; Singha, P.; Nguyen, N.-K.; Nguyen, N.-T. Liquid marble-based digital microfluidics–fundamentals and applications. Lab Chip 2021, 21, 1199–1216. [Google Scholar] [CrossRef] [PubMed]
- Pang, L.; Ding, J.; Fan, S.-K. Digital microfluidics for single cell manipulation and analysis. In Handbook of Single-Cell Technologies; Springer: Berlin/Heidelberg, Germany, 2021; pp. 185–205. [Google Scholar]
- Sun, Z.; Lin, K.-F.; Zhao, Z.-H.; Wang, Y.; Hong, X.-X.; Guo, J.-G.; Ruan, Q.-Y.; Lu, L.-Y.; Li, X.; Zhang, R. An automated nucleic acid detection platform using digital microfluidics with an optimized Cas12a system. Sci. China Chem. 2022, 65, 630–640. [Google Scholar] [CrossRef] [PubMed]
- Coelho, B.; Veigas, B.; Fortunato, E.; Martins, R.; Águas, H.; Igreja, R.; Baptista, P.V. Digital microfluidics for nucleic acid amplification. Sensors 2017, 17, 1495. [Google Scholar] [CrossRef] [Green Version]
- Huang, S.; Connolly, J.; Khlystov, A.; Fair, R.B. Digital microfluidics for the detection of selected inorganic ions in aerosols. Sensors 2020, 20, 1281. [Google Scholar] [CrossRef] [PubMed] [Green Version]
- Li, J. Current commercialization status of electrowetting-on-dielectric (EWOD) digital microfluidics. Lab Chip 2020, 20, 1705–1712. [Google Scholar] [CrossRef] [PubMed]
- Hassan, M.R.; Zhang, J.; Wang, C. Digital microfluidics: Magnetic transportation and coalescence of sessile droplets on hydrophobic surfaces. Langmuir 2021, 37, 5823–5837. [Google Scholar] [CrossRef] [PubMed]
- Guo, J.; Lin, L.; Zhao, K.; Song, Y.; Huang, M.; Zhu, Z.; Zhou, L.; Yang, C. Auto-affitech: An automated ligand binding affinity evaluation platform using digital microfluidics with a bidirectional magnetic separation method. Lab Chip 2020, 20, 1577–1585. [Google Scholar] [CrossRef] [PubMed]
- Agostini, M.; Cecchini, M. Ultra-high-frequency (UHF) surface-acoustic-wave (SAW) microfluidics and biosensors. Nanotechnology 2021, 32, 312001. [Google Scholar] [CrossRef] [PubMed]
- Gilet, T.; Terwagne, D.; Vandewalle, N. Digital microfluidics on a wire. Appl. Phys. Lett. 2009, 95, 014106. [Google Scholar] [CrossRef] [Green Version]
- Grant, N.; Geiss, B.; Field, S.; Demann, A.; Chen, T.W. Design of a hand-held and battery-operated digital microfluidic device using EWOD for lab-on-a-chip applications. Micromachines 2021, 12, 1065. [Google Scholar] [CrossRef] [PubMed]
- Dimov, N.; McDonnell, M.B.; Munro, I.; McCluskey, D.K.; Johnston, I.D.; Tan, C.K.; Coudron, L. Electrowetting-based digital microfluidics platform for automated enzyme-linked immunosorbent assay. JoVE 2020, e60489. [Google Scholar] [CrossRef] [PubMed]
- Geng, H.; Cho, S.K. Antifouling digital microfluidics using lubricant infused porous film. Lab Chip 2019, 19, 2275–2283. [Google Scholar] [CrossRef] [PubMed]
- Coelho, B.J.; Veigas, B.; Águas, H.; Fortunato, E.; Martins, R.; Baptista, P.V.; Igreja, R. A digital microfluidics platform for loop-mediated isothermal amplification detection. Sensors 2017, 17, 2616. [Google Scholar] [CrossRef] [PubMed] [Green Version]
- Chen, S.; He, Z.; Choi, S.; Novosselov, I.V. Characterization of Inkjet-Printed Digital Microfluidics Devices. Sensors 2021, 21, 3064. [Google Scholar] [CrossRef] [PubMed]
- Fan, Y.; Kong, X.; Chai, D.; Wei, B.; Zhang, Y. Low-cost and flexible film-based digital microfluidic devices. Micro Nano Lett. 2020, 15, 165–167. [Google Scholar] [CrossRef]
- Soum, V.; Kim, Y.; Park, S.; Chuong, M.; Ryu, S.R.; Lee, S.H.; Tanev, G.; Madsen, J.; Kwon, O.-S.; Shin, K. Affordable fabrication of conductive electrodes and dielectric films for a paper-based digital microfluidic chip. Micromachines 2019, 10, 109. [Google Scholar] [CrossRef] [PubMed] [Green Version]
- Karnakis, D.; Kearsley, A.; Knowles, M. Ultrafast laser patterning of OLEDs on flexible substrate for solid-state lighting. J. Laser Micro/Nanoeng. 2009, 4, 218–223. [Google Scholar] [CrossRef]
- Chung, C.-K.; Lin, Y.-C.; Huang, G. Bulge formation and improvement of the polymer in CO2 laser micromachining. J. Micromech. Microeng. 2005, 15, 1878. [Google Scholar] [CrossRef]









Publisher’s Note: MDPI stays neutral with regard to jurisdictional claims in published maps and institutional affiliations. |
© 2022 by the authors. Licensee MDPI, Basel, Switzerland. This article is an open access article distributed under the terms and conditions of the Creative Commons Attribution (CC BY) license (https://creativecommons.org/licenses/by/4.0/).
Share and Cite
Cai, J.; Jiang, J.; Jiang, J.; Tao, Y.; Gao, X.; Ding, M.; Fan, Y. Fabrication of Transparent and Flexible Digital Microfluidics Devices. Micromachines 2022, 13, 498. https://doi.org/10.3390/mi13040498
Cai J, Jiang J, Jiang J, Tao Y, Gao X, Ding M, Fan Y. Fabrication of Transparent and Flexible Digital Microfluidics Devices. Micromachines. 2022; 13(4):498. https://doi.org/10.3390/mi13040498
Chicago/Turabian StyleCai, Jianchen, Jiaxi Jiang, Jinyun Jiang, Yin Tao, Xiang Gao, Meiya Ding, and Yiqiang Fan. 2022. "Fabrication of Transparent and Flexible Digital Microfluidics Devices" Micromachines 13, no. 4: 498. https://doi.org/10.3390/mi13040498
APA StyleCai, J., Jiang, J., Jiang, J., Tao, Y., Gao, X., Ding, M., & Fan, Y. (2022). Fabrication of Transparent and Flexible Digital Microfluidics Devices. Micromachines, 13(4), 498. https://doi.org/10.3390/mi13040498

