Control Strategy Design of a Microblood Pump Based on Heart-Rate Feedback
Abstract
1. Introduction
2. Methods
2.1. Aortic Flow Models at Different Heart Rates
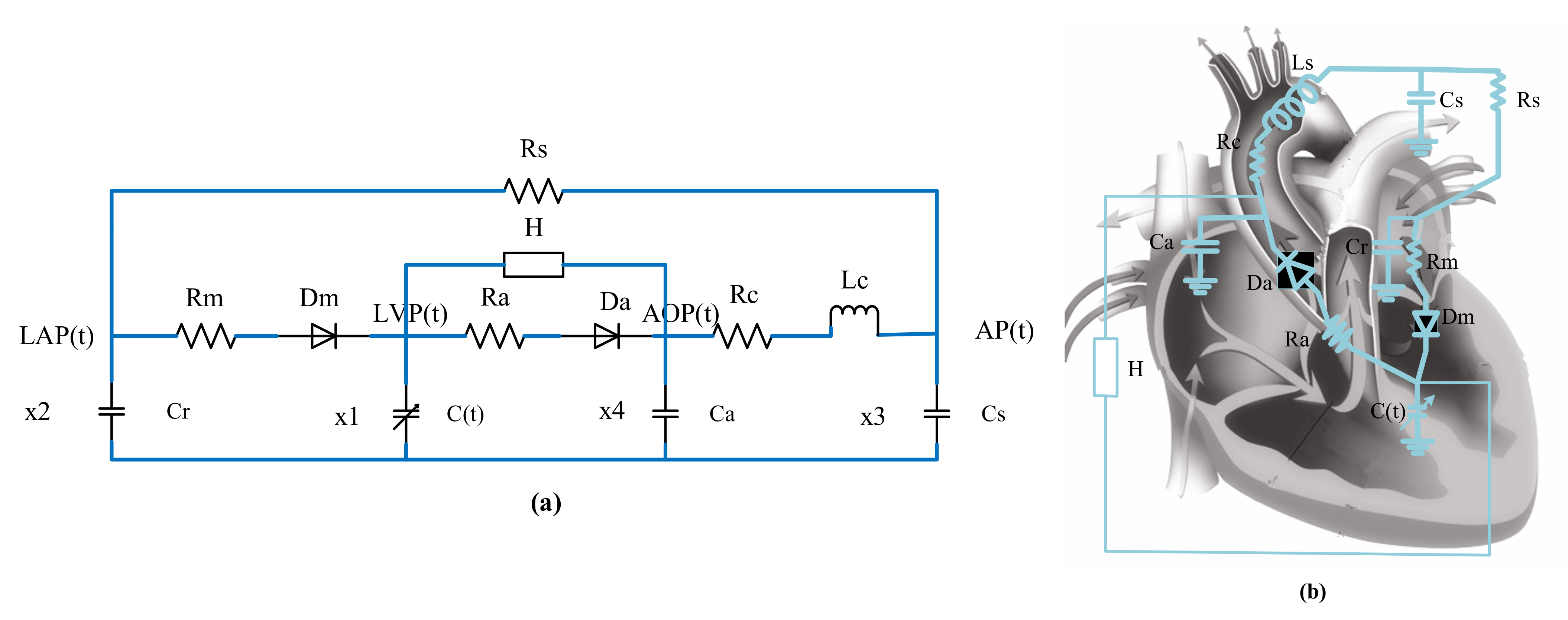
2.2. Left-Heart-Circulation Coupling Model with Blood-Pump Assistance
2.3. Feedback Control of Heart Rate
3. Results
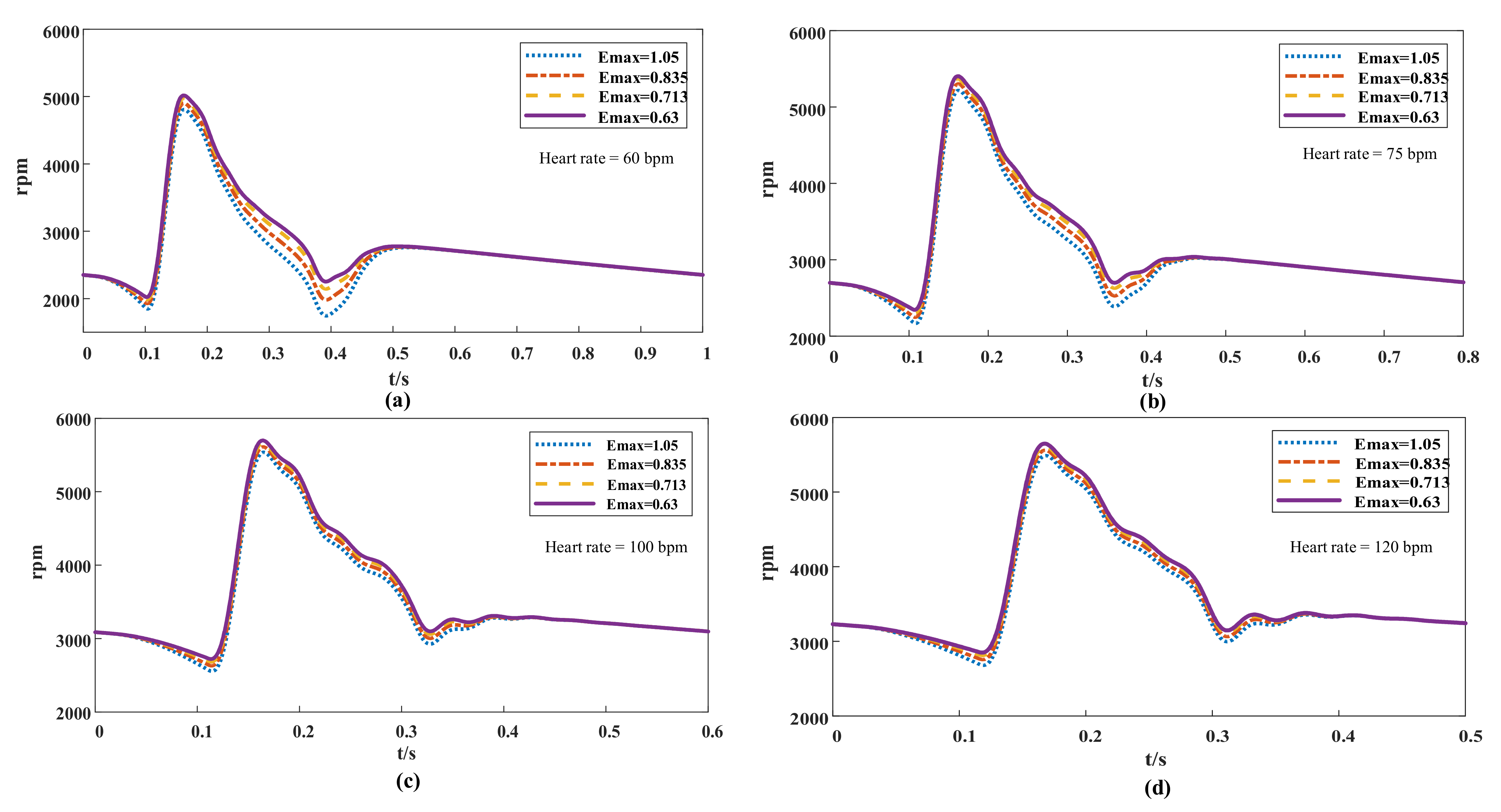
3.1. Flow Simulation of Different Controllers
3.2. Pressure Simulation of Different Controllers
4. Discussion
5. Conclusions
Author Contributions
Funding
Conflicts of Interest
References
- Kirklin, J.K.; Naftel, D.C.; Pagani, F.D.; Kormos, R.L.; Stevenson, L.; Miller, M.; Young, J.B. Long-Term Mechanical Circulatory Support (Destination Therapy): On Track to Compete with Heart Transplantation? J. Thorac. Cardiovasc. Surg. 2012, 144, 584–603. [Google Scholar] [CrossRef] [PubMed]
- Kirklin, J.K.; Pagani, F.D.; Kormos, R.L.; Stevenson, L.W.; Blume, E.D.; Myers, S.L.; Miller, M.A.; Baldwin, J.T.; Young, J.B.; Naftel, D.C. Eighth Annual INTERMACS Report: Special Focus on Framing the Impact of Adverse Events. J. Heart Lung Transplant. 2017, 36, 1080–1086. [Google Scholar] [CrossRef] [PubMed]
- He, Z.; Liu, Y.; Jing, T.; Zhang, G.; Liu, H.; Wang, H. Heart valve model with controllable closing volume. J. Drain. Irrig. Mach. Eng. 2019, 37, 1–6. [Google Scholar] [CrossRef]
- Lee, C.S.; Gelow, J.M.; Chien, C.V.; Hiatt, S.O.; Bidwell, J.T.; Denfeld, Q.E.; Grady, K.L.; Mudd, J.O. Implant Strategy–Specific Changes in Symptoms in Response to Left Ventricular Assist Devices. J. Cardiovasc. Nurs. 2018, 33, 144–151. [Google Scholar] [CrossRef]
- Mancini, D.; Colombo, P.C. Left Ventricular Assist Devices. J. Am. Coll. Cardiol. 2015, 65, 2542–2555. [Google Scholar] [CrossRef]
- Bozkurt, S.; van de Vosse, F.N.; Rutten, M.C.M. Improving Arterial Pulsatility by Feedback Control of a Continuous Flow Left Ventricular Assist Device via in Silico Modeling. Int. J. Artif. Organs 2014, 37, 773–785. [Google Scholar] [CrossRef]
- Wu, X.; Zhang, X.; Hao, P.; He, F. Comparison of Three Control Strategies for Axial Blood Pump. J. Mech. Med. Biol. 2019, 19, 1950058. [Google Scholar] [CrossRef]
- Tamez, D.; LaRose, J.A.; Shambaugh, C.; Chorpenning, K.; Soucy, K.G.; Sobieski, M.A.; Sherwood, L.; Giridharan, G.A.; Monreal, G.; Koenig, S.C.; et al. Early Feasibility Testing and Engineering Development of the Transapical Approach for the HeartWare MVAD Ventricular Assist System. ASAIO J. 2014, 60, 170–177. [Google Scholar] [CrossRef][Green Version]
- Schumer, E.M.; Ising, M.S.; Slaughter, M.S. The Current State of Left Ventricular Assist Devices: Challenges Facing Further Development. Expert Rev. Cardiovasc. Ther. 2015, 13, 1185–1193. [Google Scholar] [CrossRef]
- Hiraoka, A.; Cohen, J.E.; Shudo, Y.; MacArthur, J.W.; Howard, J.L.; Fairman, A.S.; Atluri, P.; Kirkpatrick, J.N.; Woo, Y.J. Evaluation of Late Aortic Insufficiency with Continuous Flow Left Ventricular Assist Device. Eur. J. Cardio-Thorac. Surg. 2015, 48, 400–406. [Google Scholar] [CrossRef][Green Version]
- Zhu, S.; Luo, L.; Yang, B.; Ni, K.; Zhou, Q.; Li, X.; Wang, X. Effects of an Intra-Ventricular Assist Device on the Stroke Volume of Failing Ventricle: Analysis of a Mock Circulatory System. THC 2018, 26, 471–479. [Google Scholar] [CrossRef]
- Kirklin, J.K.; Naftel, D.C.; Pagani, F.D.; Kormos, R.L.; Stevenson, L.W.; Blume, E.D.; Myers, S.L.; Miller, M.A.; Baldwin, J.T.; Young, J.B. Seventh INTERMACS Annual Report: 15,000 Patients and Counting. J. Heart Lung Transplant. 2015, 34, 1495–1504. [Google Scholar] [CrossRef]
- Tchantchaleishvili, V.; Luc, J.G.Y.; Cohan, C.M.; Phan, K.; Hübbert, L.; Day, S.W.; Massey, H.T. Clinical Implications of Physiologic Flow Adjustment in Continuous-Flow Left Ventricular Assist Devices. ASAIO J. 2017, 63, 241–250. [Google Scholar] [CrossRef]
- Pauls, J.P.; Stevens, M.C.; Bartnikowski, N.; Fraser, J.F.; Gregory, S.D.; Tansley, G. Evaluation of Physiological Control Systems for Rotary Left Ventricular Assist Devices: An In-Vitro Study. Ann. Biomed. Eng. 2016, 44, 2377–2387. [Google Scholar] [CrossRef]
- Wang, Y.; Koenig, S.C.; Wu, Z.; Slaughter, M.S.; Giridharan, G.A. Sensor-Based Physiologic Control Strategy for Biventricular Support with Rotary Blood Pumps. ASAIO J. 2018, 64, 338–350. [Google Scholar] [CrossRef]
- Hayward, C.S.; Salamonsen, R.; Keogh, A.M.; Woodard, J.; Ayre, P.; Prichard, R.; Walker, R.; Kotlyar, E.; Macdonald, P.S.; Jansz, P.; et al. Effect of Alteration in Pump Speed on Pump Output and Left Ventricular Filling with Continuous-Flow Left Ventricular Assist Device. ASAIO J. 2011, 57, 495–500. [Google Scholar] [CrossRef]
- Soucy, K.G.; Giridharan, G.A.; Choi, Y.; Sobieski, M.A.; Monreal, G.; Cheng, A.; Schumer, E.; Slaughter, M.S.; Koenig, S.C. Rotary Pump Speed Modulation for Generating Pulsatile Flow and Phasic Left Ventricular Volume Unloading in a Bovine Model of Chronic Ischemic Heart Failure. J. Heart Lung Transplant. 2015, 34, 122–131. [Google Scholar] [CrossRef]
- Cox, L.G.E.; Loerakker, S.; Rutten, M.C.M.; de Mol, B.A.J.M.; van de Vosse, F.N. A Mathematical Model to Evaluate Control Strategies for Mechanical Circulatory Support. Artif. Organs 2009, 33, 593–603. [Google Scholar] [CrossRef]
- Amacher, R.; Ochsner, G.; Schmid Daners, M. Synchronized Pulsatile Speed Control of Turbodynamic Left Ventricular Assist Devices: Review and Prospects: Thoughts and Progress. Artif. Organs 2014, 38, 867–875. [Google Scholar] [CrossRef]
- Wang, H.; Zhang, Y.; Wu, X. Simulation of Axial Flow Left Ventricular Assist Device’s Control Algorithm Used to Assist Different Levels of Heart Failure Based on the Circuit Model. J. Phys. Conf. Ser. 2021, 2005, 012192. [Google Scholar] [CrossRef]
- Son, J.; Du, D.; Du, Y. Modelling and Control of a Failing Heart Managed by a Left Ventricular Assist Device. Biocybern. Biomed. Eng. 2020, 40, 559–573. [Google Scholar] [CrossRef]
- Salamonsen, R.F.; Lim, E.; Gaddum, N.; AlOmari, A.-H.H.; Gregory, S.D.; Stevens, M.; Mason, D.G.; Fraser, J.F.; Timms, D.; Karunanithi, M.K.; et al. Theoretical Foundations of a Starling-Like Controller for Rotary Blood Pumps: STARLING-LIKE CONTROLLER FOR AN IRBP. Artif. Organs 2012, 36, 787–796. [Google Scholar] [CrossRef] [PubMed]
- Mansouri, M.; Salamonsen, R.F.; Lim, E.; Akmeliawati, R.; Lovell, N.H. Preload-Based Starling-Like Control for Rotary Blood Pumps: Numerical Comparison with Pulsatility Control and Constant Speed Operation. PLoS ONE 2015, 10, e0121413. [Google Scholar] [CrossRef] [PubMed]
- Stevens, M.C.; Gaddum, N.R.; Pearcy, M.; Salamonsen, R.F.; Timms, D.L.; Mason, D.G.; Fraser, J.F. Frank-Starling Control of a Left Ventricular Assist Device. In Proceedings of the 2011 Annual International Conference of the IEEE Engineering in Medicine and Biology Society, IEEE, Boston, MA, USA, 30 August–3 September 2011; pp. 1335–1338. [Google Scholar]
- Choi, S.; Boston, J.R.; Antaki, J.F. Hemodynamic Controller for Left Ventricular Assist Device Based on Pulsatility Ratio. Artif. Organs 2007, 31, 114–125. [Google Scholar] [CrossRef] [PubMed]
- Ochsner, G.; Wilhelm, M.J.; Amacher, R.; Petrou, A.; Cesarovic, N.; Staufert, S.; Röhrnbauer, B.; Maisano, F.; Hierold, C.; Meboldt, M.; et al. In Vivo Evaluation of Physiologic Control Algorithms for Left Ventricular Assist Devices Based on Left Ventricular Volume or Pressure. ASAIO J. 2017, 63, 568–577. [Google Scholar] [CrossRef]
- Wu, E.L.; Stevens, M.C.; Nestler, F.; Pauls, J.P.; Bradley, A.P.; Tansley, G.; Fraser, J.F.; Gregory, S.D. A Starling-like Total Work Controller for Rotary Blood Pumps: An in Vitro Evaluation. Artif. Organs 2020, 44, E40–E53. [Google Scholar] [CrossRef] [PubMed]
- Petrou, A.; Monn, M.; Meboldt, M.; Schmid Daners, M. A Novel Multi-Objective Physiological Control System for Rotary Left Ventricular Assist Devices. Ann. Biomed. Eng. 2017, 45, 2899–2910. [Google Scholar] [CrossRef] [PubMed]
- Leao, T.; Utiyama, B.; Fonseca, J.; Bock, E.; Andrade, A. In Vitro Evaluation of Multi-objective Physiological Control of the Centrifugal Blood Pump. Artif. Organs 2020, 44, 785–796. [Google Scholar] [CrossRef]
- Gu, K.; Chang, Y.; Gao, B.; Liu, Y.; Zhang, Z.; Wan, F. Lumped Parameter Model for Heart Failure with Novel Regulating Mechanisms of Peripheral Resistance and Vascular Compliance. ASAIO J. 2012, 58, 223–231. [Google Scholar] [CrossRef]
- Simaan, M.A.; Faragallah, G.; Wang, Y.; Divo, E. Left Ventricular Assist Devices: Engineering Design Considerations. In New Aspects of Ventricular Assist Devices; Reyes, G., Ed.; InTech: London, UK, 2011; ISBN 978-953-307-676-8. [Google Scholar] [CrossRef]
- Simaan, M.A.; Ferreira, A.; Chen, S.; Antaki, J.F.; Galati, D.G. A Dynamical State Space Representation and Performance Analysis of a Feedback-Controlled Rotary Left Ventricular Assist Device. IEEE Trans. Contr. Syst. Technol. 2009, 17, 15–28. [Google Scholar] [CrossRef]
- Bernstein, D.P.; Lemmens, H.J.M. Stroke Volume Equation for Impedance Cardiography. Med. Biol. Eng. Comput. 2005, 43, 443–450. [Google Scholar] [CrossRef]
- Lu, L.; Li, J. Effect of heart rate on stroke volume and cardiac output. Chin. J. Med. Phys. 2002, 19, 237–238. [Google Scholar]
- Weissler, A.M.; Harris, W.S.; Schoenfeld, C.D. Systolic Time Intervals in Heart Failure in Man. Circulation 1968, 37, 149–159. [Google Scholar] [CrossRef]
- Kai-yun, G.; Bin, G.; Yu, C. Flow control of intra aorta pump based on heart rate. J. Clin. Rehabil. Tissue Eng. Res. 2011, 15, 2390–2393. [Google Scholar]
- Jing, T.; Cheng, Y.; Wang, F.; Bao, W.; Zhou, L. Numerical Investigation of Centrifugal Blood Pump Cavitation Characteristics with Variable Speed. Processes 2020, 8, 293. [Google Scholar] [CrossRef]
- Associations between Hemodynamic Parameters at Rest and Exercise Capacity in Patients with Implantable Left Ventricular Assist Devices—Toru Kondo, Takahiro Okumura, Hideo Oishi, Yoshihito Arao, Hiroo Kato, Shogo Yamaguchi, Tasuku Kuwayama, Tomoaki Haga, Tsuyoshi Yokoi, Hiroaki Hiraiwa, Kenji Fukaya, Akinori Sawamura, Ryota Morimoto, Masato Mutsuga, Kazuro Fujimoto, Akihiko Usui, Toyoaki Murohara. 2021. Available online: https://journals.sagepub.com/doi/10.1177/0391398820949888 (accessed on 2 April 2021).
- Habigt, M.; Ketelhut, M.; Gesenhues, J.; Schrödel, F.; Hein, M.; Mechelinck, M.; Schmitz-Rode, T.; Abel, D.; Rossaint, R. Comparison of Novel Physiological Load-Adaptive Control Strategies for Ventricular Assist Devices. Biomed. Eng. Biomed. Tech. 2017, 62, 149–160. [Google Scholar] [CrossRef]
- Ketelhut, M.; Schrödel, F.; Stemmler, S.; Roseveare, J.; Hein, M.; Gesenhues, J.; Albin, T.; Abel, D. Iterative Learning Control of a Left Ventricular Assist Device. IFAC-PapersOnLine 2017, 50, 6684–6690. [Google Scholar] [CrossRef]
- Fukamachi, K.; Shiose, A.; Massiello, A.; Horvath, D.J.; Golding, L.A.R.; Lee, S.; Starling, R.C. Preload Sensitivity in Cardiac Assist Devices. Ann. Thorac. Surg. 2013, 95, 373–380. [Google Scholar] [CrossRef]
- Akimoto, T.; Yamazaki, K.; Litwak, P.; Litwak, K.N.; Tagusari, O.; Mori, T.; Antaki, J.F.; Kameneva, M.V.; Watach, M.J.; Umezu, M.; et al. Rotary Blood Pump Flow Spontaneously Increases During Exercise Under Constant Pump Speed: Results of a Chronic Study. Artif. Organs 1999, 23, 797–801. [Google Scholar] [CrossRef]
- Liu, G.-M.; Jin, D.-H.; Zhou, J.-Y.; Jiang, X.-H.; Sun, H.-S.; Zhang, Y.; Chen, H.-B.; Hu, S.-S.; Gui, X.-M. Design and Numerical Evaluation of an Axial Partial-Assist Blood Pump for Chinese and Other Heart Failure Patients. Int. J. Artif. Organs 2017, 40, 489–497. [Google Scholar] [CrossRef]
- Jacquet, L.; Vancaenegem, O.; Pasquet, A.; Matte, P.; Poncelet, A.; Price, J.; Gurné, O.; Noirhomme, P. Exercise Capacity in Patients Supported with Rotary Blood Pumps Is Improved by a Spontaneous Increase of Pump Flow at Constant Pump Speed and by a Rise in Native Cardiac Output. Artif. Organs 2011, 35, 9. [Google Scholar] [CrossRef] [PubMed]
- Telyshev, D.; Petukhov, D.; Selishchev, S. Numerical Modeling of Continuous-Flow Left Ventricular Assist Device Performance. Int. J. Artif. Organs 2019, 42, 611–620. [Google Scholar] [CrossRef] [PubMed]
- Ando, M.; Takewa, Y.; Nishimura, T.; Yamazaki, K.; Kyo, S.; Ono, M.; Tsukiya, T.; Mizuno, T.; Taenaka, Y.; Tatsumi, E. A Novel Counterpulsation Mode of Rotary Left Ventricular Assist Devices Can Enhance Myocardial Perfusion. J. Artif. Organs 2011, 14, 185–191. [Google Scholar] [CrossRef]
- Soucy, K.G.; Koenig, S.C.; Giridharan, G.A.; Sobieski, M.A.; Slaughter, M.S. Rotary Pumps and Diminished Pulsatility: Do We Need a Pulse? ASAIO J. 2013, 59, 355–366. [Google Scholar] [CrossRef]
- Han, Y.; Zhou, L.; Bai, L.; Shi, W.; Agarwal, R. Comparison and validation of various turbulence models for U-bend flow with a magnetic resonance velocimetry experiment. Phys. Fluids 2021, 33, 125117. [Google Scholar] [CrossRef]
- Kado, Y.; Polakowski, A.R.; Kuban, B.D.; Horvath, D.J.; Miyamoto, T.; Karimov, J.H.; Starling, R.C.; Fukamachi, K. Left Atrial Assist Device Function at Various Heart Rates Using a Mock Circulation Loop. Int. J. Artif. Organs 2021, 44, 465–470. [Google Scholar] [CrossRef] [PubMed]
- Clifford, R.; Robson, D.; Gross, C.; Moscato, F.; Schima, H.; Jansz, P.; Macdonald, P.S.; Hayward, C.S. Beat-to-beat Detection of Aortic Valve Opening in HeartWare Left Ventricular Assist Device Patients. Artif. Organs 2019, 43, 458–466. [Google Scholar] [CrossRef]










| Parameter | Value | Physiological Meaning |
|---|---|---|
| Rm | s/mL | Mitral valve resistance |
| Ra | s/mL | Aortic valve resistance |
| Rc | s/mL | Aortic resistance |
| Rs | s/mL | Systemic vascular resistance |
| Cr | s/mL | Left atrial compliance |
| C(t) | Time-varying | Left ventricular compliance |
| Ca | s/mL | Aortic compliance |
| Cs | s/mL | Peripheral vascular compliance |
| Ls | /mL | Aortic blood inertia |
| Dm | Mitral Valve | |
| Da | Aortic Valve |
| Variable | Significance | Definition | Initial Value |
|---|---|---|---|
| x1(t) | Left ventricular pressure | LVP(t) | 7.6 mmHg |
| x2(t) | Left atrial pressure | LAP(t) | 7.6 mmHg |
| x3(t) | Arterial pressure | AP(t) | 67 mmHg |
| x4(t) | Aortic pressure | AOP(t) | 80 mmHg |
| x5(t) | Aortic flow | Q(t) | 0 mL/s |
| x6(t) | Pump flow | Qp(t) | 0 mL/s |
Publisher’s Note: MDPI stays neutral with regard to jurisdictional claims in published maps and institutional affiliations. |
© 2022 by the authors. Licensee MDPI, Basel, Switzerland. This article is an open access article distributed under the terms and conditions of the Creative Commons Attribution (CC BY) license (https://creativecommons.org/licenses/by/4.0/).
Share and Cite
Jing, T.; Xin, T.; Wang, F.; Zhang, Z.; Zhou, L. Control Strategy Design of a Microblood Pump Based on Heart-Rate Feedback. Micromachines 2022, 13, 358. https://doi.org/10.3390/mi13030358
Jing T, Xin T, Wang F, Zhang Z, Zhou L. Control Strategy Design of a Microblood Pump Based on Heart-Rate Feedback. Micromachines. 2022; 13(3):358. https://doi.org/10.3390/mi13030358
Chicago/Turabian StyleJing, Teng, Tianye Xin, Fangqun Wang, Zhihao Zhang, and Ling Zhou. 2022. "Control Strategy Design of a Microblood Pump Based on Heart-Rate Feedback" Micromachines 13, no. 3: 358. https://doi.org/10.3390/mi13030358
APA StyleJing, T., Xin, T., Wang, F., Zhang, Z., & Zhou, L. (2022). Control Strategy Design of a Microblood Pump Based on Heart-Rate Feedback. Micromachines, 13(3), 358. https://doi.org/10.3390/mi13030358

