Multiphysics Simulation of Crosstalk Effect in Resistive Random Access Memory with Different Metal Oxides
Abstract
:1. Introduction
2. Device Structure and Methodology
2.1. Device Structure
2.2. Multiphysics Progresses
2.3. Physical Parameters
3. Simulation Results and Discussion
3.1. Multiphysics Simulation of GE-RRAM and Pt-RRAM
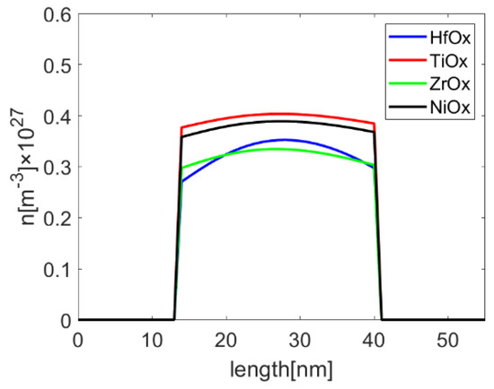
3.2. Multiphysics Simulation of Pt-RRAM with Different Metal Oxides
4. Conclusions
Author Contributions
Funding
Conflicts of Interest
References
- Yang, J.; Strukov, D.; Stewart, D. Memristive devices for computing. Nat. Nano. 2013, 8, 13–24. [Google Scholar] [CrossRef] [PubMed]
- Wong, H.-S.P.; Salahuddin, S. Memory leads the way to better computing. Nat. Nano. 2015, 10, 191–195. [Google Scholar] [CrossRef] [PubMed] [Green Version]
- Fong, S.; Neumann, C.; Wong, H.-S.P. Phase-change memory-towards a storage-class memory. IEEE Trans. Electron Dev. 2017, 64, 4374–4385. [Google Scholar] [CrossRef]
- Ueki, M.; Takeuchi, K.; Yamamoto, T.; Tanabe, A. Low-power embedded ReRAM technology for IoT applications. In Proceedings of the 2015 Symposium on VLSI Technology (VLSI Technology), Kyoto, Japan, 16–18 June 2015; pp. T108–T109. [Google Scholar]
- Jo, S.; Kim, K.; Lu, W. High-density crossbar arrays based on a Si memristive system. Nano. Lett. 2009, 9, 870–874. [Google Scholar] [CrossRef]
- Chen, C.; Fantini, A.; Goux, L.; Gorine, G.; Redolfi, A.; Groeseneken, G.; Jurczak, M. Novel flexible and cost-effective retention assessment method for TMO-based RRAM. IEEE Electron Device Lett. 2016, 37, 1112–1115. [Google Scholar] [CrossRef]
- Zhou, J.; Kim, K.H.; Lu, W. Crossbar RRAM arrays: Selector device requirements during read operation. IEEE Trans. Electron Dev. 2014, 61, 1369–1376. [Google Scholar] [CrossRef]
- Li, Y.; Chen, W.; Lu, W.; Jha, R. Read challenges in crossbar memories with nanoscale bidirectional diodes and ReRAM devices. IEEE Trans. Nanotech. 2015, 14, 444–451. [Google Scholar] [CrossRef]
- Yu, S. Resistive Random Access Memory (RRAM); Redlen Technologies Inc.: Saanichton, BC, Canada, 2016; pp. 12–13. [Google Scholar]
- Wu, Q.; Banerjee, W.; Cao, J.; Ji, Z.; Li, L.; Liu, M. Improvement of durability and switching speed by incorporating nanocrystals in the HfOx based resistive random access memory devices. Appl. Phys. Lett. 2018, 113, 023105. [Google Scholar] [CrossRef]
- Wang, X.F.; Zhao, H.; Yang, Y.; Ren, T. Graphene resistive random memory-the promising memory device in next generation. Chin. Phys. B 2017, 26, 038501. [Google Scholar] [CrossRef]
- Luo, Y.; Chen, W.; Cheng, M.; Yin, W. Electrothermal characterization in 3-D resistive random access memory arrays. IEEE Trans. Electron Dev. 2016, 63, 4720–4728. [Google Scholar] [CrossRef]
- Li, S.; Chen, W.; Luo, Y.; Hu, J.; Gao, P.; Ye, J.; Kang, K.; Chen, H.; Li, E.; Yin, W. Fully coupled multiphysics simulation of crosstalk effect in bipolar resistive random access memory. IEEE Trans. Electron Dev. 2017, 9, 3647–3653. [Google Scholar] [CrossRef]
- Paolo, L.; Rosario, R.; Fernanda, I. Forming kinetics in HfO2-based RRAM cells. IEEE Trans. Electron Dev. 2013, 60, 438–443. [Google Scholar]
- Kim, S.; Choi, Y. A comprehensive study of the resistive switching mechanism in Al/TiOx/TiO2/Al-structured RRAM. IEEE Trans. Electron Dev. 2009, 56, 3049–3054. [Google Scholar] [CrossRef]
- Kumar, D.; Chand, U.; Siang, L.; Tseng, T. High-performance TiN/Al2O3/ZnO/Al2O3/TiN flexible RRAM device with high bending condition. IEEE Trans. Electron Dev. 2020, 67, 493–498. [Google Scholar] [CrossRef]
- Chien, W.; Chen, Y.; Lai, E.; Yao, Y.; Lin, P.; Horng, S.; Gong, J.; Chou, T.; Lin, H.; Chang, M.; et al. Unipolar Switching Behaviors of RTO WOX RRAM. IEEE Electron Dev. Lett. 2010, 31, 126–128. [Google Scholar] [CrossRef]
- Sung, C.; Padovani, A.; Beltrando, B.; Lee, D.; Kwak, M.; Lim, S.; Larcher, L.; Della Marca, V.; Hwang, H. Investigation of I–V linearity in TaOx-based RRAM devices for neuromorphic applications. IEEE J. Electron Devices Soci. 2019, 7, 404–408. [Google Scholar] [CrossRef]
- Xie, H.; Liu, Y.; Huang, Z. A NiOx, based threshold switching selector for RRAM crossbar array application. In Proceedings of the 2019 IEEE International Conference on Electron Devices and Solid-State CircuitS (EDSSC), Xi’an, China, 12–14 June 2019. [Google Scholar]
- Wedig, A.; Luebben, M.; Cho, D.; Moors, M.; Skaja, K.; Rana, V.; Hasegawa, T.; Adepalli, K.; Yildiz, B.; Waser, R.; et al. Nanoscale cation motion in TaOx, HfOx and TiOx. Nat. Nano. 2016, 11, 67–75. [Google Scholar] [CrossRef]
- Wu, M.; Lin, Y.; Jang, W.; Lin, C.; Tseng, T. Low-power and highly reliable multilevel operation in ZrO2 1T1R RRAM. IEEE Electron Dev. Lett. 2011, 32, 1026–1028. [Google Scholar] [CrossRef]
- Larentis, S.; Nardi, F.; Balatti, S.; Gilmer, D.C.; Ielmini, D. Resistive switching by voltage-driven Ion migration in bipolar RRAM-Part II: Modeling. IEEE Trans. Electron Dev. 2012, 59, 2468–2475. [Google Scholar] [CrossRef]
- Wang, D.; Chen, W.; Zhao, W.; Zhu, G.; Kang, K.; Gao, P.; Jose, E.S.A.; Yin, W.Y. Fully coupled electrothermal simulation of large RRAM arrays in the “Thermal House”. IEEE Access 2018, 7, 3897–3908. [Google Scholar] [CrossRef]
- Lee, S.; Sohn, J.; Jiang, Z.; Chen, H.; Wong, H.-S.P. Metal oxide-resistive memory using graphene-edge electrodes. Nat. Commun. 2015, 6, 8407. [Google Scholar] [CrossRef] [Green Version]
- Zhuang, P.; Ma, W.; Liu, J.; Cai, W.; Lin, W. Progressive RESET induced by Joule heating in hBN RRAMs. Appl. Phys. Lett. 2021, 118, 143101. [Google Scholar] [CrossRef]
- Zhuang, P.P.; Lin, W.; Ahn, J.; Catalano, M.; Chou, H.; Roy, A.; Quevedo-Lopez, M.; Colombo, L.; Cai, W.; Banerjee, S.K. Nonpolar resistive switching of multilayer-hBN-based memories. Adv. Electron. Mater. 2020, 6, 1900979. [Google Scholar] [CrossRef]
- Sun, P.; Lu, N.; Li, L.; Li, Y.; Wang, H.; Lv, H.; Liu, Q.; Long, S.; Liu, S.; Liu, M. Thermal crosstalk in 3-dimensional RRAM crossbar array. Sci. Rep. 2015, 5, 13504. [Google Scholar] [CrossRef]
- Yu, M.; Cai, Y.; Wang, Z.; Fang, Y.; Liu, Y.; Yu, Z.; Pan, Y.; Zhang, Z.; Tan, J.; Yang, X.; et al. Novel vertical 3D structure of TaOx-based RRAM with self-localized switching region by sidewall electrode oxidation. Sci. Rep. 2016, 6, 21020. [Google Scholar] [CrossRef] [PubMed] [Green Version]
- Xie, H.; Chen, W.; Zhang, S.; Zhu, G.; Khaliq, A.; Hu, J.; Yin, W.-Y. Modeling and simulation of resistive random access memory with graphene electrode. IEEE Trans. Electron Dev. 2020, 67, 915–921. [Google Scholar] [CrossRef]
- Lanza, M.; Wong, H.-S.P.; Pop, E.; Ielmini, D.; Strukov, D.; Regan, B.C.; Larcher, L.; Villena, M.A.; Yang, J.J.; Goux, L.; et al. Recommended methods to study resistive switching devices. Adv. Electron. Mate. 2019, 5, 1800143. [Google Scholar] [CrossRef] [Green Version]
- Berco., D.; Tseng., T.-Y. A numerical study of forming voltage and switching polarity dependence on Ti top electrode thickness in ZrO2 RRAM. Comput. Electron. 2016, 15, 595–601. [Google Scholar] [CrossRef]
- Chang, S.; Chae, S.; Lee, S.; Liu, C.; Noh, T.; Lee, J.; Kahng, B.; Jang, J.; Kim, M.; Kim, D.; et al. Effects of heat dissipation on unipolar resistance switching in Pt/NiO/Pt capacitors. Appl. Phys. Lett. 2008, 92, 183507. [Google Scholar] [CrossRef] [Green Version]
- Bousoulas, P.; Giannopoulos, I.; Asenov, P.; Karageorgiou, I.; Tsoukalas, D. Experiments and simulation of multilevel resistive switching in forming free Ti/TiO2-x RRAM devices. In Proceedings of the 3rd Joint International EUROSOI Workshop/International Conference on Ultimate Integration on Silicon (EUROSOI-ULIS), Athens, Greece, 3–5 April 2017; pp. 172–175. [Google Scholar]
- Bousoulas, P.; Michelakaki, I.; Tsoukalas, D. Influence of Ti top electrode thickness on the resistive switching properties of forming free and self-rectified TiO2-x thin films. Thin Solid Film. 2014, 571, 23–31. [Google Scholar] [CrossRef]
- Asapu, S.; Maiti, T. Multifilamentary conduction modeling in transition metal oxide-based RRAM. IEEE Trans. Electron Dev. 2017, 64, 3145–3150. [Google Scholar] [CrossRef]













Publisher’s Note: MDPI stays neutral with regard to jurisdictional claims in published maps and institutional affiliations. |
© 2022 by the authors. Licensee MDPI, Basel, Switzerland. This article is an open access article distributed under the terms and conditions of the Creative Commons Attribution (CC BY) license (https://creativecommons.org/licenses/by/4.0/).
Share and Cite
Xie, H.; Hu, J.; Wang, Z.; Hu, X.; Liu, H.; Qi, W.; Zhang, S. Multiphysics Simulation of Crosstalk Effect in Resistive Random Access Memory with Different Metal Oxides. Micromachines 2022, 13, 266. https://doi.org/10.3390/mi13020266
Xie H, Hu J, Wang Z, Hu X, Liu H, Qi W, Zhang S. Multiphysics Simulation of Crosstalk Effect in Resistive Random Access Memory with Different Metal Oxides. Micromachines. 2022; 13(2):266. https://doi.org/10.3390/mi13020266
Chicago/Turabian StyleXie, Hao, Jun Hu, Zhili Wang, Xiaohui Hu, Hong Liu, Wei Qi, and Shuo Zhang. 2022. "Multiphysics Simulation of Crosstalk Effect in Resistive Random Access Memory with Different Metal Oxides" Micromachines 13, no. 2: 266. https://doi.org/10.3390/mi13020266
APA StyleXie, H., Hu, J., Wang, Z., Hu, X., Liu, H., Qi, W., & Zhang, S. (2022). Multiphysics Simulation of Crosstalk Effect in Resistive Random Access Memory with Different Metal Oxides. Micromachines, 13(2), 266. https://doi.org/10.3390/mi13020266

