Abstract
The paper presents development and characterization of a new bioanalytical test system for rapid detection of lipopolysaccharide (LPS) and whole cells of Francisella tularensis, a causative agent of tularemia, in water samples. Gold nanoparticles (AuNPs) coated by the obtained anti-LPS monoclonal antibodies were used for the assay. Their contact with antigen in tested samples leads to aggregation with a shift of absorption spectra from red to blue. Photometric measurements at 530 nm indicated the analyte presence. Three preparations of AuNPs with different diameters were compared, and the AuNPs having average diameter of 34 nm were found to be optimal. The assay is implemented in 20 min and is characterized by detection limits equal to 40 ng/mL for LPS and 3 × 104 CFU/mL for whole cells of F. tularensis. Thus, the proposed simple one-step assay integrates sensitivity comparable with other immunoassay of microorganisms and rapidity. Selectivity of the assay for different strains of F. tularensis was tested and the possibility to choose its variants with the use of different antibodies to distinguish virulent and non-virulent strains or to detect both kinds of F. tularensis was found. The test system has been successfully implemented to reveal the analyte in natural and tap water samples without the loss of sensitivity.
1. Introduction
In recent years, colorimetric biosensors have attracted wide attention due to their simplicity and low cost. Colorimetric biosensors usually do not require complex expensive equipment because color changes can be detected with the naked eye. Therefore, they can be used for field analysis and on-site diagnostics [1]. The change of color can be promoted by specific interactions of gold, silver, and other metal nanoparticles, including those resulting in their aggregation [2,3]. Among the advantages of gold nanoparticles (AuNPs), stability, easy complexation to various biomolecules, and variable optical properties can be mentioned, which make them an ideal marker for colorimetric biosensors [4]. The absorption at 520–530 nm (red color) corresponds to small AuNPs while the shift of the absorption maximum to the longer wavelength region (550 nm and more, blue and violet colors) refers to aggregated AuNPs [5]. Mechanisms of such shifts have been analyzed; their high reproducibility allows for the implementation of reliable qualitative and quantitative assays [5].
Among various analytes, cells of microorganisms cause significant interest due to the possibility of their simple and rapid detection [6,7,8]. AuNPs with immobilized antibodies, aptamers, lectins, bacteriophages, and other receptors were successfully applied for the selective detection of different microorganisms. Depending on the assay format, microorganisms can be detected either by the aggregation of AuNPs or by the dissociation of AuNPs–receptor complexes. Thus, salt-induced aggregation of AuNPs functionalized by 4-mercaptophenylboronic acid was used to detect Escherichia coli in drinking water [9]. AuNPs–aptamer complexes dissociated in the presence of Shigella flexneri with the following aggregation of destabilized free AuNPs and a change of their color from red to violet [10]. The complexes of thiolated bacteriophages with Pseudomonas aeruginosa, Vibrio cholerae, and Xanthomonas campestris initiated binding with AuNPs followed by visible color change [11]. Simultaneous immobilization of antibodies and Concanavalin A on the surface of magnetite particles was applied for aggregation-based detection of Escherichia coli cells [12]. Rapid detection of the influenza A virus was performed using antibody-functionalized AuNPs. Dynamic light scattering (DLS) was applied for the detection of the formation of large aggregates accompanied by color change [13]. The given developments allow selective detection of target pathogens but do not provide detailed comparative evaluation of different assay variants. Therefore, the questions of the most efficient gold nanoparticles preparations, as well as conditions of immune interactions require new choices when developing aggregation test systems for new analytes.
However, despite the easy colorimetric registration of changes in the state of AuNPs, it is used less frequently compared to the dominant latex agglutination tests. Recent publications on the application of AuNPs as analytical reactants (see reviews [2,14] summarizing variety of the existing developments) describe numerous sophisticated assay formats. At the same time, for the simplest analysis based on color changes initiated by the complexation of bacteria and AuNPs functionalized with receptor molecules (i.e., antibodies), some issues needs additional study and understanding, as recent reviews about bioanalytical possibilities of AuNPs demonstrated [5,15,16]. For example, the choice of particles’ size and interaction conditions is not clear and newly considered for each case. Although rapid analytical methods are needed to detect disease-causing microorganisms in the environment and in samples from patients, simple approaches based on the aggregation of AuNPs are not developed and characterized as tools for the detection of many of the pathogenic microorganisms.
Tularemia is a zoonotic infection caused by the gram-negative bacterium Francisella tularensis. Four subspecies are distinguished within the F. tularensis—tularensis, holarctica, mediasiatica, and novicida [17,18]. The strains of the subspecies tularensis have the highest virulence for humans while the strains of the subspecies holarctica and mediasiatica are less virulent. F. tularensis subsp. novicida is considered an opportunistic pathogen for humans [19]. High susceptibility for humans and significant mortality (26.8%) in the absence of countermeasures is the reason for considering tularemia as a particularly dangerous infection [20,21]. Significant risks to human health due to the frequent occurrence of the tularemia pathogen in environmental objects necessitate extensive monitoring of contamination, which requires simple and fast analytical methods [22,23].
Currently, various methods are used for the clinical diagnosis of tularemia. Among them, isolating a pure culture of the pathogen from biosamples [24,25], molecular genetic methods such as polymerase chain reaction [26,27], immunological methods (the enzyme-linked immunosorbent assay (ELISA), immunochromatographic assay (ICA), and Western blot) [28,29], as well as serological methods that detect specific antibodies to the causative agent of tularemia in the sera of patients [30,31,32,33] can be mentioned. The limit of detection (LOD) of F. tularensis cells is 103–104 CFU/mL [28] and 105–108 CFU/mL [28,30] in the ELISA and ICA, respectively. Among the techniques for tularemia diagnosis presented in this paragraph, only ICA allows for rapid testing, while the other methods considered above require specialized equipment to obtain results; their duration is 3–18 h. The ICA can be completed within 15–20 min excluding the sample preparation but its sensitivity is inferior to the ELISA by two orders of magnitude [28]. Therefore, new developments of methods for immunodetection of the causative agent of tularemia are in demand, which are characterized by rapid and simple implementation and acceptable sensitivity to successfully compete with the existing methods.
The indicated above limitations of common instrumental immunoassays such as ELISA in duration and rapid immune tests such as ICA in sensitivity determines the demand for simple non-instrumental methods for tularemia diagnostics, which are necessary for making a preliminary diagnosis and conducting epidemiological monitoring in endemic areas. The presented study was focused on the development and characterization of a rapid assay based on conjugates of AuNPs with antibodies to the F. tularensis antigen (lipopolysaccharide, LPS) and to determine its analytical performance. The proposed simple one-step assay allows detecting up to 40 ng/mL of LPS and 3 × 104 CFU/mL of F. tularensis cells in 20 min, thus integrating rapidity and sensitivity and demonstrating competitive potential for its further consideration as tool for wide environmental screening of the presence of F. tularensis and risks of tularemia infection.
2. Materials and Methods
2.1. Materials and Chemicals
Sephadex G-25, protein-A-sepharose (GE Healthcare, Chicago, IL, USA), and culture medium RPMI-1640 (Thermo Fisher Scientific, Waltham, MA, USA) were used in the study. Fetal bovine serum was purchased from Cytiva (Marlborough, MA, USA). Gold (III) chloride (HAuCl4), sodium citrate, sodium azide, bovine serum albumin (BSA), sucrose, Tris, Tween-20, Triton X-100, 3,3′,5,5′-tetramethylbenzidine dihydrochloride (TMB), pristane, polymyxin B, thimerosal, ethidium bromide, DNAase, RNAse, and proteinase K were from Sigma-Aldrich (St. Louis, MO, USA). Goat antibodies against mouse immunoglobulins labeled with horseradish peroxidase (GAMI–HRP, Jackson ImmunoResearch, Cambridgeshire, UK) were used. Heterologous strains of microorganisms (Yersinia enterocolitica H-26-04 and 287, Y. pseudotuberculosis 4320, Pseudomonas aeruginosa ATCC27853, Brucella abortus, Salmonella spp.) were obtained from the State Collection of Pathogenic Microorganisms and Cell Cultures “GKPM–OBOLENSK” FBSI SRC PMB (Obolensk, Moscow region, Russia). BALB/c mice were from the Federal Scientific Center for Biomedical Technologies of the Federal Medical and Biological Agency (Stolbovaya, Moscow region, Russia).
All other chemicals were purchased from Himmed (Moscow, Russia); they were of analytical grade and were used without purification. All solutions were prepared with ultrapure water with a resistivity of 18.2 MW (Millipore Corporation, Burlington, MA, USA). The 96-well transparent polystyrene microplates for the ELISA were purchased from Corning Costar (Tewksbury, MA, USA). Samples of natural water were taken from a river, lake, and spring located in the Moscow region.
2.2. Bacterial Strains, Cultivation, and Inactivation Conditions
F. tularensis strains (F. tularensis subsp. holarctica 15 NIIEG, 503, and miura, F. tularensis subsp. tularensis Schu and A-Cole B-399, F. tularensis subsp. mediasiatica 120, and F. tularensis subsp. novicida Utah112) were cultured for 24 h at 37 °C on solid nutrient medium FT-agar with black albumin with the addition of polymyxin B to a concentration of 100 mg/L.
The grown cells were suspended in 0.15 M NaCl to a concentration of 5 × 109 CFU/mL. For thermal inactivation, the suspension was incubated for 1 h at 70 °C. For chemical inactivation, the suspension was incubated for 24 h at 20–25 °C in the presence of 0.1% thimerosal. Inactivated cells were tested for sterility by plating them on thioglycol medium and FT agar.
The F. tularensis subsp. holarctica 15 NIIEG strain was used to obtain LPS (see supplementary information).
2.3. Synthesis of AuNPs
Three preparations of spherical AuNPs with expected average diameters of 20–30, 30–40, and 40–50 nm were synthesized using the citrate method of Frens [34] with some modifications [35]. For this purpose, sodium citrate (1.75, 1.5, and 1.0 mL of 1% solution) was added to 100 mL of boiling 0.01% solution of HAuCl4 under stirring. The mixtures were boiled for 25 min. The obtained AuNPs were cooled and stored at 4–6 °C. The resulting preparations were designated as AuNPs1, AuNPs2, and AuNPs3.
2.4. Characterization of AuNPs
The absorption spectra of AuNPs1, AuNPs2, and AuNPs3 were recorded on a Biochrom Libra S80 spectrophotometer (Biochrom, Cambridge, UK) in the wavelength range of 400–700 nm. The dimensions and homogeneity of AuNPs1, AuNPs2, and AuNPs3 were characterized by transmission electron microscopy (TEM) as described previously [36]. AuNPs were applied to grids (300 mesh) coated with a film of polyvinyl formal dissolved in chloroform. The preparations were observed on a JEM CX-100 electron microscope (JEOL, Tokyo, Japan) at an accelerating voltage of 80 kV and a magnification of 3,300,000. The photographs were digitally analyzed using the Image Tool program (University of Texas Health Science Center, San Antonio, TX, USA).
The hydrodynamic size of AuNPs was measured using a Zetasizer Nano (Malvern Pananlytical, Malvern, UK) as described previously [36]. DLS was registered at 25 °C for 10 s at a scattering angle of 173°. Each sample was analyzed by three 30-second cycles.
2.5. Synthesis and Characterization of AuNPs–MAbs Conjugates
Conjugates of monoclonal antibodies (MAbs) against F. tularensis LPS (clones Fb11 and T143) with AuNPs1, AuNPs2, and AuNPs3 were synthesized by adsorption immobilization (production of MAbs—see supplementary information). Before conjugation with AuNPs, MAbs was dialyzed against a 1000-fold volume of 10 mM Tris-HCl buffer, pH 9.0, for 2 h at 4–6 °C. AuNPs1, AuNPs2, and AuNPs3 (OD = 1) with pH adjusted to 9.0 by 0.1 M K2CO3 were added to MAbs solutions (pH 9.0) and incubated for 30 min at 20–22 °C with stirring. Then, an aqueous solution of BSA was added to the mixtures to a final concentration of 0.25%. After that, AuNPs–MAbs conjugates were separated using an Allegra 64R centrifuge (Beckman Coulter, Indianapolis, IN, USA) for 15 min at 4 °C at 22,000× g (for AuNPs1–MAbs), 18,000× g (for AuNPs2–MAbs) and 15,000× g (for AuNPs3–MAbs). The precipitates were resuspended in 0.01 M Tris-HCl, pH 9.0, containing 1.0% BSA, 1.0% sucrose, and 0.01% sodium azide and stored at 4–6 °C.
Spectral characterization and determination of the hydrodynamic diameters of the synthesized conjugates were performed as described in the previous section for AuNPs.
2.6. Characterization of AuNPs–MAbs Conjugates by ELISA
Functional characterization of AuNPs–MAbs conjugates was performed by the ELISA. The F. tularensis LPS antigen (3 µg/mL, 100 µL) in 50 mM potassium phosphate buffer, pH 7.4, containing 0.1M NaCl (PBS) was immobilized in microplate wells overnight at 4 °C. Then, the microplate was washed four times with PBS containing 0.05% Triton X-100 (PBST). Next, solutions of Fb11 and T143 clones in PBST (concentration range from 0.01 to 10 μg/mL, 100 μL) and AuNPs–Fb11 and AuNPs–T143 conjugates in PBS (OD range from 0.0001 to 2, 100 μL) were added to the microplate wells. The microplate was incubated for 1 h at 37 °C and washed four times. After that, GAMI–HRP in PBST (1:5,000 dilution, 100 µL) was added to the wells and incubated again for 1 h at 37 °C. After washing, the activity of the HRP label was determined. For this, 100 μL of a 0.4 mM solution of TMB in 40 mM sodium citrate buffer, pH 4.0, containing 3 mM hydrogen peroxide, was added to the microplate wells and incubated for 15 min at room temperature. The reaction was stopped by adding 50 µL of 1 M sulfuric acid, and OD450 was measured by Zenyth 3100 microplate spectrophotometer (Anthos Labtec Instruments, Salzburg, Austria).
2.7. Agglutination of AuNPs–MAbs Conjugates in the Presence of F. tularensis LPS and Cells
Solutions of F. tularensis LPS and cells in PBST (concentration range from 30 μg/mL to 10 ng/mL and from 109 to 103 CFU/mL, respectively) were prepared. LPS and cell solutions (75 μL both) were added to the microplate wells. Then, AuNPs–MAbs conjugates (OD = 2; 75 µL) were added to each well and incubated for 1, 10, 20, and 30 min at room temperature. When testing samples of natural and tap water, solutions of F. tularensis cells and the conjugate were prepared in water containing 0.05% Triton X-100 to prevent nonspecific binding. Adsorption spectra were recorded on a Perkin Elmer En Spire 2300 microplate reader (Waltham, MA, USA) in the wavelength range of 500–600 nm. Three measurements were performed for each antigen concentration.
3. Results and Discussion
3.1. Synthesis and Characterization of AuNPs
Smaller AuNPs are known to form more stable colloidal solutions but larger AuNPs may be more sensitive in agglutination-based assays of microorganisms [37]. Therefore, when developing an agglutination test system, it was important to optimize the size of nanoparticles. AuNPs were synthesized by the modified Frens method using sodium citrate as a reducing agent in concentrations of 0.6, 0.51, and 0.34 mM to obtain AuNPs with the expected average diameters of 20–30, 30–40, and 40–50 nm, respectively. The resulting AuNPs were characterized by TEM(JEOL, Tokyo, Japan; University of Texas Health Science Center, San Antonio, TX, USA), DLS (Malvern Pananlytical, Malvern, UK), and spectrophotometry (Biochrom, Cambridge, UK).
Figure 1 presents the results of the characterization of AuNPs1, AuNPs2, and AuNPs3 by TEM. As can be seen, all preparations did not contain aggregates and the particle shape was close to spherical. According to TEM images, the average diameters/ellipticity of AuNPs were 26.6 ± 1.6 nm/1.1 ± 0.14 (AuNPs1), 33.7 ± 2.3 nm/1.2 ± 0.17 (AuNPs2), and 41.8 ± 4.2 nm/1.3 ± 0.27 (AuNPs3).

Figure 1.
Electron microphotographs (A) of AuNPs1 (1), AuNPs2 (2), and AuNPs3 (3) and histograms of diameter distribution (B).
The hydrodynamic dimensions of AuNPs were determined by the DLS as described in [36]; the results are presented in Figure S1. The synthesized AuNPs1, AuNPs2, and AuNPs3 had hydrodynamic diameters/polydispersity indices (Pdi) of 26.8 nm/0.236, 36.8 nm/0.266, and 41.7 nm/0.286, respectively, indicating the stability of colloids (Pdi < 0.3). The synthesized AuNPs were also characterized spectrophotometrically. Spherical AuNPs have a characteristic absorption peak at wavelengths of 515–540 nm, which is associated with the surface plasmon resonance between the frequency of collective oscillations of free electrons on the AuNPs surface and the frequency of the light wave [38,39]. With the increase of AuNPs’ diameter, their absorption spectra shifted to longer wavelengths (523, 526, and 530 nm for AuNPs1, AuNPs2, and AuNPs3, respectively) (Figure S2). The size of AuNPs was estimated using the earlier obtained dependence of the absorption spectrum maximum on AuNPs’ diameter [40]. For AuNPs1, AuNPs2, and AuNPs3, the average diameters were 26, 34, and 42 nm, respectively. Table 1 shows the dimensional characteristics of AuNPs.
Table 1.
Characteristics of AuNPs.
The dimensional characteristics of AuNPs obtained by the three techniques are in good agreement with each other. The differences are no more than 3.1% for AuNPs1, 8.2% for AuNPs2, and 0.7% for AuNPs3.
3.2. Synthesis and Characterization of AuNPs–MAbs Conjugates
After studying the properties of native AuNPs, their conjugates with MAbs against F. tularensis LPS (clones Fb11 and T143) were obtained by adsorption immobilization. MAbs concentrations were calculated based on the size of the protein globule and the average surface area occupied by antibodies during monolayer immobilization (25 nm2) according to the method described earlier [40]. MAbs concentrations for monolayer immobilization on the surface of AuNPs1, AuNPs2, and AuNPs3 are given in Table 2.
Table 2.
Parameters of AuNPs1, AuNPs2, and AuNPs3 and the calculated amount of MAbs for monolayer formation.
During monolayer immobilization of MAbs on the surface of AuNPs with average diameters of 26, 34, and 42 nm, only 43, 35, and 25% of MAbs added during the synthesis become immobilized [40]. The modes of conjugate sedimentation by centrifugation were selected based on the previously obtained results for AuNPs having diameters of 20–50 nm [36]. Thus, 6 preparations of AuNPs–MAbs conjugates with equal loading of MAbs on AuNPs’ surface were obtained, namely, AuNPs1–Fb11, AuNPs2–Fb11, AuNPs3–Fb11, AuNPs1–T143, AuNPs2–T143, and AuNPs3–T143. The spectrophotometric characterization of the synthesized AuNPs–MAbs conjugates carried out under the conditions described in the previous section showed that the maxima of the absorption spectra of the conjugates were shifted to the long wavelength region compared to unloaded AuNPs. It corresponded to an increase in the average diameter by 6–8 nm (Table 3).
Table 3.
Spectrophotometric characterization of AuNPs–MAbs conjugates.
According to the DLS data (Figures S3 and S4), the average diameters of AuNPs–Fb11conjugates increased more than those of AuNPs–T143 conjugates (by 9.9–15.8 and 3.5–8.8 nm, respectively), which indicated lower stability of AuNPs–Fb11 conjugates. This is also confirmed by the Pdi of the AuNPs–Fb11 conjugates, which were 0.421–0.478 (values more than 0.3 indicate the conjugates’ instability).
Comparative functional characterization of AuNPs–MAbs conjugates was carried out by binding with F. tularensis LPS immobilized in microplate wells during the ELISA. Figure 2 shows the concentration dependences of the binding of specific MAbs (Figure 2A), AuNPs1–MAbs conjugate (Figure 2B), and AuNPs3–MAbs conjugate (Figure 2C) with F. tularensis LPS. It should be noted that the high titer of conjugates in the ELISA does not guarantee the maximum detection sensitivity in other assay formats. Therefore, the final choice of conjugates was made in the agglutination analysis.
Figure 2.
Dependences of OD450 on the concentration of MAbs (A) of clones Fb11 (I) and T143 (II) and the OD of AuNPs1–Fb11 ((B), III), AuNPs1–T143 ((B), IV), AuNPs3–Fb11 ((C), V), and AuNPs3–T143 ((C), VI) conjugates. F. tularensis LPS was immobilized in the microplate wells at the concentration of 3 µg/mL. All measurements were performed in triplicate.
3.3. Agglutination of AuNPs–MAbs Conjugates in the Presence of F. tularensis LPS
Agglutination of AuNPs–MAbs conjugates in the presence of F. tularensis LPS was performed by mixing solutions with different concentrations of antigens and a fixed concentration of AuNPs–MAbs conjugates. Adsorption spectra were recorded in the wavelength range from 500–600 nm. Figures S5 and S6 show the agglutination spectra of AuNPs2–Fb11 and AuNPs2–T143 conjugates in the presence of F. tularensis LPS at concentrations from 30 to 0.03 μg/mL. For the AuNPs2–Fb11 conjugate, the maximum changes in the agglutination spectra occur upon the addition of 10 μg/mL of LPS (Figure S5), and for the conjugates with MAbs T143—of 0.3 μg/mL (Figure S6).
To compare conjugates of MAbs with AuNPs1, AuNPs2, and AuNPs3 in terms of their agglutination ability and to select the optimal size of AuNPs, the concentration dependences for LPS were recorded at fixed wavelengths of absorption maxima: 526 nm for AuNPs1, 530 nm for AuNPs2, and 532 nm for AuNPs3 (Table 3). The corresponding concentration dependences are shown in Figure 3.

Figure 3.
Agglutination of AuNPs1–Fb11 (A), AuNPs1–T143 (B), AuNPs2–Fb11 (C), AuNPs2–T143 (D), AuNPs3–Fb11 (E), and AuNPs3–T143 (F) conjugates in the presence of various concentrations of F. tularensis LPS. Curves 1–4 correspond to 1, 10, 20, and 30 min of the reaction.
The shape of the agglutination curves in Figure 3B,D,F with a minimum at LPS concentrations of 0.1–1 μg/mL can be explained by the formation of large branched immune complexes, which are formed at equal molar concentrations of antibodies and polyvalent antigens (“equivalence zones”) and cause a change in the color of the reaction mixture from red to violet (Figure S7) [41].
The optimal time of agglutination was chosen based on OD changes at 526 nm (AuNPs1), 530 nm (AuNPs2), and 523 nm (AuNPs3), and LPS concentrations of 10 and 0.3 μg/mL for the AuNPs–Fb11 and AuNPs–T143 conjugates, respectively (Table 4). Within 10 min, the OD decreases by 17.4–47.7% for conjugates with the clone Fb11 and by 23.5–69.5% for conjugates with clone T143. Within 20 min, the OD decreases by 43.0–77.9% for conjugates with the clone Fb11 and by 73.0–88.9% for conjugates with the clone T143. Therefore, 20-minutes duration is sufficient for color changes and, consequently, the ability to detect the assay results visually and spectrophotometrically. As a result, AuNPs2–Fb11 and AuNPs2–T143 conjugates and the reaction time of 20 min were chosen for further experiments.
Table 4.
Changes in OD over time for the AuNPs–Fb11 (LPS concentration is 10 µg/mL) and AuNPs–T143 (LPS concentration is 0.3 µg/mL) conjugates.
3.4. Agglutination of AuNPs–MAbs Conjugates in the Presence of F. tularensis Cells
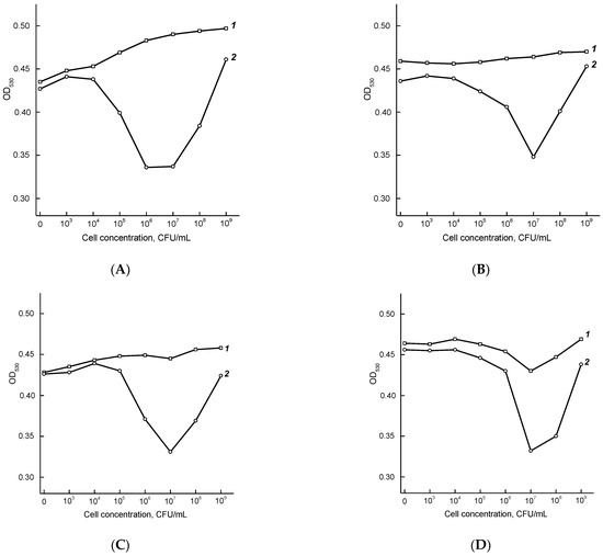
Agglutination of the AuNPs2–Fb11 and AuNPs2–T14 conjugates in the presence of F. tularensis cells was performed as described above. The cell concentration varied from 109 to 104 CFU/mL. Figure 4 and Figure 5 show the dependences of OD on the concentration of thermally inactivated F. tularensis cells, and Figures S8 and S9—of chemically inactivated cells.

Figure 4.
Agglutination of AuNPs2–Fb11 conjugate in the presence of various concentrations of thermally inactivated F. tularensis subsp. holarctica 15 NIIEG (A) and 503 (B), F. tularensis subsp. mediasiatica 120 (C), F. tularensis subsp. tularensis Schu (D) and A-Cole B-399 (E), and F. tularensis subsp. novicida Utah112 (F). Curves 1 and 2 correspond to 1 and 20 min of the reaction.

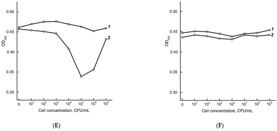
Figure 5.
Agglutination of AuNPs2–T143 conjugates in the presence of various concentrations of thermally inactivated F. tularensis subsp. holarctica 15 NIIEG (A) and 503 (B), F. tularensis subsp. mediasiatica 120 (C), F. tularensis subsp. tularensis Schu (D) and A-Cole B-399 (E), and F. tularensis subsp. novicida Utah112 (F). Curves 1 and 2 correspond to 1 and 20 min of reaction.
Table 5 summarizes the minimum detectable cell concentrations of various F. tularensis strains. As can be seen, the LOD varies from 1 × 106 to 5 × 107 CFU/mL when using the AuNPs2–Fb11 conjugate and from 5 × 104 to 5 × 106 CFU/mL when using the AuNPs2–T143 conjugate. The AuNPs2–T143 conjugate does not agglutinate in the presence of the non-virulent F. tularensis novicida Utah112 strain, which enables distinguishing virulent and non-virulent F. tularensis strains.
Table 5.
Minimum detectable concentrations of F. tularensis cells in the agglutination reaction with AuNPs2–Fb11 and AuNPs2–T143 conjugates.
Specificity of the assay to heterologous LPS preparations from Yersinia enterocolitica 287 and Salmonella spp. and cells of Y. enterocolitica H-26-04, Y. pseudotuberculosis 4320, Pseudomonas aeruginosa ATCC27853, and Brucella abortus was determined using the AuNPs2–T143 conjugate. Results presented in Figure S10 demonstrated that the AuNPs2–T143 conjugate did not bind to the above-mentioned heterologous antigens.
Calibration dependences for F. tularensis LPS (Figure 6A) and F. tularensis subsp. holarctica 15 NIIEG cells (Figure 6B) were obtained in the chosen optimal assay conditions. The LODs were 40 ng/mL for LPS and 3 × 104 CFU/mL for F. tularensis cells, and the detection accuracy (RSD) was 2.5–4.5%.
Figure 6.
Calibration curves for AuNPs2–T143 agglutination at 530 nm in the presence of different concentrations of F. tularensis LPS (A) and F. tularensis subsp. holarctica 15 NIIEG (B). Curves 1 and 2 correspond to 1 and 20 min of the reaction. Measurements were made in triplicate.
The determination of F. tularensis cells was carried out in natural water from a river, lake, and spring located in the Moscow region. Solutions of F. tularensis cells and the AuNPs2–T143 conjugate were prepared in water samples. Triton X-100 (0.05%) was added to prevent non-specific binding. Table 6 summarizes the results of testing of natural and tap water samples spiked with F. tularensis subsp. holarctica 15 NIIEG after 1 and 20 min of the agglutination reaction. The obtained results demonstrate that the OD530 values in the natural water samples differed from the calibration curves by 11.5–30.4% depending on the type of matrix without significant changes in the LODs.
Table 6.
OD530 values in water samples spiked with F. tularensis subsp. holarctica 15 NIIEG cells at concentrations of 108, 107, 106, and 105 CFU/mL after 1 and 20 min of the agglutination reaction.
4. Conclusions
The test system has been developed for the rapid determination of LPS and F. tularensis cells in water samples based on the agglutination of a conjugate of specific antibodies with AuNPs. The LODs of LPS and F. tularensis subsp. holarctica 15 NIIEG were 40 ng/mL and 3 × 104 CFU/mL, respectively. The determination accuracy was 2.5–4.5%, the assay duration was 20 min. The test system was successfully tested on samples of natural and tap water. The assay is comparable with the known colorimetric nanoparticles-based agglutination tests for microorganisms detection in sensitivity and may be implemented within a short time, determining efficiency of the proposed testing for wide screening control.
Supplementary Materials
The following supporting information can be downloaded at: https://www.mdpi.com/article/10.3390/mi13122194/s1, Obtaining F. tularensis LPS, Production of monoclonal antibodies against F. tularensis LPS, Figure S1 Diameter distribution of AuNPs with average diameters of 26.8 (A), 36.8 (B), and 41.7 (C) nm (data of DLS measurements), Figure S2: Absorption spectra of AuNPs1 (A), AuNPs2 (B), and AuNPs3 (C). The red arrows indicate the maximum of the spectra, Figure S3: Diameter distribution of AuNPs–Fb11 conjugates with average diameters of 36.6 (AuNPs1–Fb11; (A)), 43.9 (AuNPs2–Fb11; (B)), and 57.8 (AuNPs3–Fb11; (C)) nm (data of DLS measurements), Figure S4: Diameter distribution of AuNPs–T143 conjugates with average diameters of 30.2 (AuNPs1–T143; (A)), 37.5 (AuNPs2–T143; (B)), and 50.8 (AuNPs3–T143; (C)) nm (data of DLS measurements), Figure S5: Agglutination spectra of the AuNPs2–Fb11 conjugate after 1 (A), 10 (B), 20 (C), and 30 (D) min of the reaction. Curves correspond to 30 (1), 10 (2), 3 (3), 1 (4), 0.3 (5), 0.1 (6), 0.03 (7), and 0 (8) µg/mL F. tularensis LPS, Figure S6: Agglutination spectra of the AuNPs2–T143 conjugate after 1 (A), 10 (B), 20 (C), and 30 (D) min of the reaction. Curves correspond to 30 (1), 10 (2), 3 (3), 1 (4), 0.3 (5), 0.1 (6), 0.03 (7), and 0 (8) µg/mL F. tularensis LPS, Figure S7: Visual registration of agglutination of AuNPs1–MAbs (1), AuNPs2–MAbs (2), and AuNPs3–MAbs (3) conjugates after 1 (A,C,E) and 30 (B,D,F) min of the reaction. Each reaction was performed in duplicate, Figure S8: Agglutination of AuNPs2–Fb11 conjugates in the presence of chemically inactivated F. tularensis subsp. holarctica 15 NIIEG (A) and 503 (B), F. tularensis subsp. mediasiatica 120 (C), F. tularensis subsp. tularensis Schu (D), F. tularensis subsp. miura (E), and F. tularensis subsp. novicida Utah112 (F) at different concentrations. Curves 1 and 2 correspond to 1 and 20 min of the reaction, Figure S9: Agglutination of AuNPs2–T143 conjugates in the presence of chemically inactivated F. tularensis subsp. holarctica 15 NIIEG (A) and 503 (B), F. tularensis subsp. mediasiatica 120 (C), F. tularensis subsp. tularensis Schu (D), F. tularensis subsp. miura (E), and F. tularensis subsp. novicida Utah112 (F) at different concentrations. Curves 1 and 2 correspond to 1 and 20 min of the reaction, Figure S10: Agglutination spectra of the AuNPs2–T143 conjugate in the presence of Yersinia enterocolitica H-26-04 cells (A), Y. pseudotuberculosis 4320 (B), Pseudomonas aeruginosa ATCC27853 (C), Brucella abortus (D) and 10 µg/mL LPS Salmonella spp. (E) and Y. enterocolitica 287 (F) at the concentration of 107 CFU/mL. Curves correspond to 1 (black) and 10 (red) min of the reaction.
Author Contributions
Conceptualization, N.A.B., A.V.Z., S.F.B. and B.B.D.; investigation, N.A.B., A.A.G. and A.G.S.; methodology, N.A.B., A.V.Z., S.F.B. and B.B.D.; resources, A.V.Z., S.F.B. and B.B.D.; visualization, N.A.B., A.A.G. and A.G.S.; writing—original draft, N.A.B., A.V.Z., A.A.G. and A.G.S.; writing—review and editing, N.A.B., A.V.Z., S.F.B. and B.B.D. All authors have read and agreed to the published version of the manuscript.
Funding
This research was funded by the Russian Science Foundation, grant number 19-04-00370 (obtaining and characterization of gold nanoparticles and their conjugates with antibodies) and the Ministry of Science and Higher Education of the Russian Federation (development of assay for causative agent of tularemia and its antigen).
Institutional Review Board Statement
Not applicable.
Informed Consent Statement
Not applicable.
Data Availability Statement
Data are presented in the article. Initial instrumental output data are available upon request from corresponding author.
Conflicts of Interest
The authors declare no conflict of interest.
References
- Kim, D.-M.; Yoo, S.-M. Colorimetric systems for the detection of bacterial contamination: Strategy and applications. Biosensors 2022, 12, 532. [Google Scholar] [CrossRef] [PubMed]
- Yang, S.-Z.; Liu, Q.-A.; Liu, Y.-L.; Weng, G.-J.; Zhu, J.; Li, J.-J. Recent progress in the optical detection of pathogenic bacteria based on noble metal nanoparticles. Microchim. Acta 2021, 188, 258. [Google Scholar] [CrossRef] [PubMed]
- Song, Y.J.; Wei, W.L.; Qu, X.G. Colorimetric biosensing using smart materials. Adv. Mater. 2011, 23, 4215–4236. [Google Scholar] [CrossRef] [PubMed]
- Verma, M.S.; Rogowski, J.L.; Jones, L.; Gu, F.X. Colorimetric biosensing of pathogens using gold nanoparticles. Biotechnol. Adv. 2015, 33, 666–680. [Google Scholar] [CrossRef] [PubMed]
- Dykman, L.A.; Khlebtsov, N.G. Gold nanoparticles in biomedical applications: Recent advances and perspectives. Chem. Soc. Rev. 2012, 41, 2256–2282. [Google Scholar] [CrossRef] [PubMed]
- Xie, Y.; Huang, Y.; Li, J.; Wu, J. A trigger-based aggregation of aptamer-functionalized gold nanoparticles for colorimetry: An example on detection of Escherichia coli O157:H7. Sens. Actuators B Chem. 2021, 339, 129865. [Google Scholar] [CrossRef]
- Schmitz, F.R.W.; Cesca, K.; Valério, A.; Oliveira, D.; Hotza, D. Colorimetric detection of Pseudomonas aeruginosa by aptamer-functionalized gold nanoparticles. Appl. Microbiol. Biotechnol. 2022, 1–10. [Google Scholar] [CrossRef]
- Elliott, C.N.; Becerra, M.C.; Bennett, J.C.; Graham, L.; Silvero, M.J.C.; Hallett-Tapley, G.L. Facile synthesis of antibiotic-functionalized gold nanoparticles for colorimetric bacterial detection. RSC Adv. 2021, 11, 14161–14168. [Google Scholar] [CrossRef]
- Huang, J.; Sun, J.; Warden, A.R.; Ding, X. Colorimetric and photographic detection of bacteria in drinking water by using 4-mercaptophenylboronic acid functionalized AuNPs. Food Control 2020, 108, 106885. [Google Scholar] [CrossRef]
- Feng, J.; Shen, Q.; Wu, J.; Dai, Z.; Wang, Y. Naked-eyes detection of Shigella flexneri in food samples based on a novel gold nanoparticle-based colorimetric aptasensor. Food Control 2019, 98, 333–341. [Google Scholar] [CrossRef]
- Peng, H.; Chen, I.A. Rapid colorimetric detection of bacterial species through the capture of gold nanoparticles by chimeric phages. ACS Nano 2019, 13, 1244–1252. [Google Scholar] [CrossRef] [PubMed]
- Xu, X.; Yuan, Y.; Hu, G.; Wang, X.; Qi, P.; Wang, Z.; Wang, Q.; Wang, X.; Fu, Y.; Li, Y.; et al. Exploiting pH-regulated dimer-tetramer transformation of concanavalin A to develop colorimetric biosensing of bacteria. Sci. Rep. 2017, 7, 1452. [Google Scholar] [CrossRef] [PubMed]
- Driskell, J.D.; Lai, Y.H.; Koo, S.; Oh, S.H.; Driskell, E.A. Rapid screening of antibody-antigen binding using dynamic light scattering (DLS) and gold nanoparticles. Anal. Methods 2015, 7, 7249–7255. [Google Scholar] [CrossRef]
- Hegde, M.; Pai, P.; Shetty, M.G.; Babitha, K.S. Gold nanoparticle based biosensors for rapid pathogen detection: A review. Environ. Nanotec. Monit. Manag. 2022, 18, 100756. [Google Scholar] [CrossRef]
- Peng, L.; Li, B.L.; Zhou, C.W.; Li, N.B.; Setyawati, M.I.; Zou, H.L. “Naked-eye” recognition: Emerging gold nano-family for visual sensing. Appl. Mater. Today 2018, 11, 166–188. [Google Scholar] [CrossRef]
- Rabiee, N.; Ahmadi, S.; Iravani, S.; Varma, R.S. Functionalized Silver and Gold Nanomaterials with Diagnostic and Therapeutic Applications. Pharmaceutics 2022, 14, 2182. [Google Scholar] [CrossRef] [PubMed]
- Keim, P.; Johansson, A.; Wagner, D.M. Molecular epidemiology, evolution, and ecology of Francisella. Ann. N. Y. Acad. Sci. 2007, 1105, 30–66. [Google Scholar] [CrossRef] [PubMed]
- Timofeev, V.; Bakhteeva, I.; Titareva, G.; Kopylov, P.; Christiany, D.; Mokrievich, A.; Dyatlov, I.; Vergnaud, G. Russian isolates enlarge the known geographic diversity of Francisella tularensis subsp. mediasiatica. PLoS ONE 2017, 12, e0183714. [Google Scholar] [CrossRef]
- Lee, K.R.; Zhao, X.; Austin, J.; Harris, G.; Conlan, J.W.; Chen, W. Mouse model of oral infection with virulent type A Francisella tularensis. Infect. Immun. 2007, 75, 1651–1660. [Google Scholar] [CrossRef]
- Maurin, M. Francisella tularensis as a potential agent of bioterrorism? Expert Rev. Anti-Infect. Ther. 2015, 13, 141–144. [Google Scholar] [CrossRef]
- Sjostedt, A. Tularemia: History, epidemiology, pathogen physiology, and clinical manifestations. Ann. N. Y. Acad. Sci. 2007, 1105, 1–29. [Google Scholar] [CrossRef]
- Hennebique, A.; Boisset, S.; Maurin, M. Tularemia as a waterborne disease: A review. Emerg. Microb. Infect. 2019, 8, 1027–1042. [Google Scholar] [CrossRef]
- Wawszczak, M.; Banaszczak, B.; Rastawicki, W. Tularaemia—A diagnostic challenge. Ann. Agric. Environ. Med. 2022, 29, 12–21. [Google Scholar] [CrossRef] [PubMed]
- Hepburn, M.J.; Simpson, A.J.H. Tularemia: Current diagnosis and treatment options. Expert Rev. Anti-Infect. Ther. 2008, 6, 231–240. [Google Scholar] [CrossRef] [PubMed]
- Tärnvik, A.; Chu, M.C. New approaches to diagnosis and therapy of tularemia. Ann. N. Y. Acad. Sci. 2007, 1105, 378–404. [Google Scholar] [CrossRef] [PubMed]
- Banada, P.; Deshpande, S.; Chakravorty, S.; Russo, R.; Occi, J.; Meister, G.; Jones, K.J.; Gelhaus, C.H.; Valderas, M.W.; Jones, M.; et al. Sensitive detection of Francisella tularensis directly from whole blood by use of the GeneXpert system. J. Clin. Microbiol. 2017, 55, 291–301. [Google Scholar] [CrossRef] [PubMed]
- Johansson, A.; Berglund, L.; Eriksson, U.; Goransson, I.; Wollin, R.; Forsman, M.; Tarnvik, A.; Sjöstedt, A. Comparative analysis of PCR versus culture for diagnosis of ulceroglandular tularemia. J. Clin. Microbiol. 2000, 38, 22–26. [Google Scholar] [CrossRef]
- Grunow, R.; Splettstoesser, W.; McDonald, S.; Otterbein, C.; O’Brien, T.; Morgan, C.; Aldrich, J.; Hofer, E.; Finke, E.J.; Meyer, H. Detection of Francisella tularensis in biological specimens using a capture enzyme-linked immunosorbent assay, an immunochromatographic handheld assay, and a PCR. Clin. Diagn. Lab. Immunol. 2000, 7, 86–90. [Google Scholar] [CrossRef]
- Ziegler, I.; Vollmar, P.; Knüpfer, M.; Braun, P.; Stoecker, K. Reevaluating limits of detection of 12 lateral flow immunoassays for the detection of Yersinia pestis, Francisella tularensis, and Bacillus anthracis spores using viable risk group-3 strains. J. Appl. Microbiol. 2020, 130, 1173–1180. [Google Scholar] [CrossRef]
- Schmitt, P.; Splettstoesser, W.; Porsch-Ozcürümez, M.; Finke, E.J.; Grunow, R. A novel screening ELISA and a confirmatory Western blot useful for diagnosis and epidemiological studies of tularemia. Epidemiol. Infect. 2005, 133, 759–766. [Google Scholar] [CrossRef]
- Splettstoesser, W.; Guglielmo-Viret, V.; Seibold, E.; Thullier, P. Evaluation of an immunochromatographic test for rapid and reliable serodiagnosis of human tularemia and detection of Francisella tularensis-specific antibodies in sera from different mammalian species. J. Clin. Microbiol. 2010, 48, 1629–1634. [Google Scholar] [CrossRef] [PubMed]
- Kiliç, S.; Celebi, B.; Yeşilyurt, M. Evaluation of a commercial immunochromatographic assay for the serologic diagnosis of tularemia. Diagn. Microbiol. Infect. Dis. 2012, 74, 1–5. [Google Scholar] [CrossRef] [PubMed]
- Chaignat, V.; Djordjevic-Spasic, M.; Ruettger, A.; Otto, P.; Klimpel, D.; Müller, W.; Sachse, K.; Araj, G.; Diller, R.; Tomaso, H. Performance of seven serological assays for diagnosing tularemia. BMC Infect. Dis. 2014, 14, 234. [Google Scholar] [CrossRef] [PubMed]
- Frens, G. Controlled nucleation for the regulation of the particle size in monodisperse gold suspensions. Nat. Phys. Sci. 1973, 241, 20–22. [Google Scholar] [CrossRef]
- Byzova, N.A.; Zherdev, A.V.; Pridvorova, S.M.; Dzantiev, B.B. Development of rapid immunochromatographic assay for D-dimer detection. Appl. Biochem. Microbiol. 2019, 55, 305–312. [Google Scholar] [CrossRef]
- Byzova, N.A.; Zherdev, A.V.; Khlebtsov, B.N.; Burov, A.M.; Khlebtsov, N.G.; Dzantiev, B.B. Advantages of highly spherical gold nanoparticles as labels for lateral flow immunoassay. Sensors 2020, 20, 3608. [Google Scholar] [CrossRef]
- Verma, M.S.; Chen, P.Z.; Jones, L.; Gu, F.X. Branching and size of CTAB-coated gold nanostars control the colorimetric detection of bacteria. RSC Adv. 2014, 4, 10660–10668. [Google Scholar] [CrossRef]
- Khlebtsov, N.G. Determination of size and concentration of gold nanoparticles from extinction spectra. Anal. Chem. 2008, 80, 6620–6625. [Google Scholar] [CrossRef]
- Tang, J.; Gao, K.; Ou, Q.; Fu, X.; Man, S.-Q.; Guo, J.; Liu, Y. Calculation extinction cross sections and molar attenuation coefficient of small gold nanoparticles and experimental observation of their UV–vis spectral properties. Spectrochim. Acta Part A Mol. Biomol. Spectr. 2018, 191, 513–520. [Google Scholar] [CrossRef]
- Sotnikov, D.V.; Byzova, N.A.; Zherdev, A.V.; Dzantiev, B.B. Retention of activity by antibodies immobilized on gold nanoparticles of different sizes: Fluorometric method of determination and comparative evaluation. Nanomaterials 2021, 11, 3117. [Google Scholar] [CrossRef]
- Merrill, S.J. Computational models in immunological methods: An historical review. J. Immunol. Meth. 1998, 216, 69–92. [Google Scholar] [CrossRef] [PubMed]
Publisher’s Note: MDPI stays neutral with regard to jurisdictional claims in published maps and institutional affiliations. |
© 2022 by the authors. Licensee MDPI, Basel, Switzerland. This article is an open access article distributed under the terms and conditions of the Creative Commons Attribution (CC BY) license (https://creativecommons.org/licenses/by/4.0/).









