The Limit Tuning Effects Exerted by the Mechanically Induced Artificial Potential Barriers on the I–V Characteristics of Piezoelectric PN Junctions
Abstract
1. Introduction
2. Equations Governing a Piezoelectric PN Junction
3. Limit Tuning Effect Exerted by MIAPB on the I–V Characteristics of a PN Junction
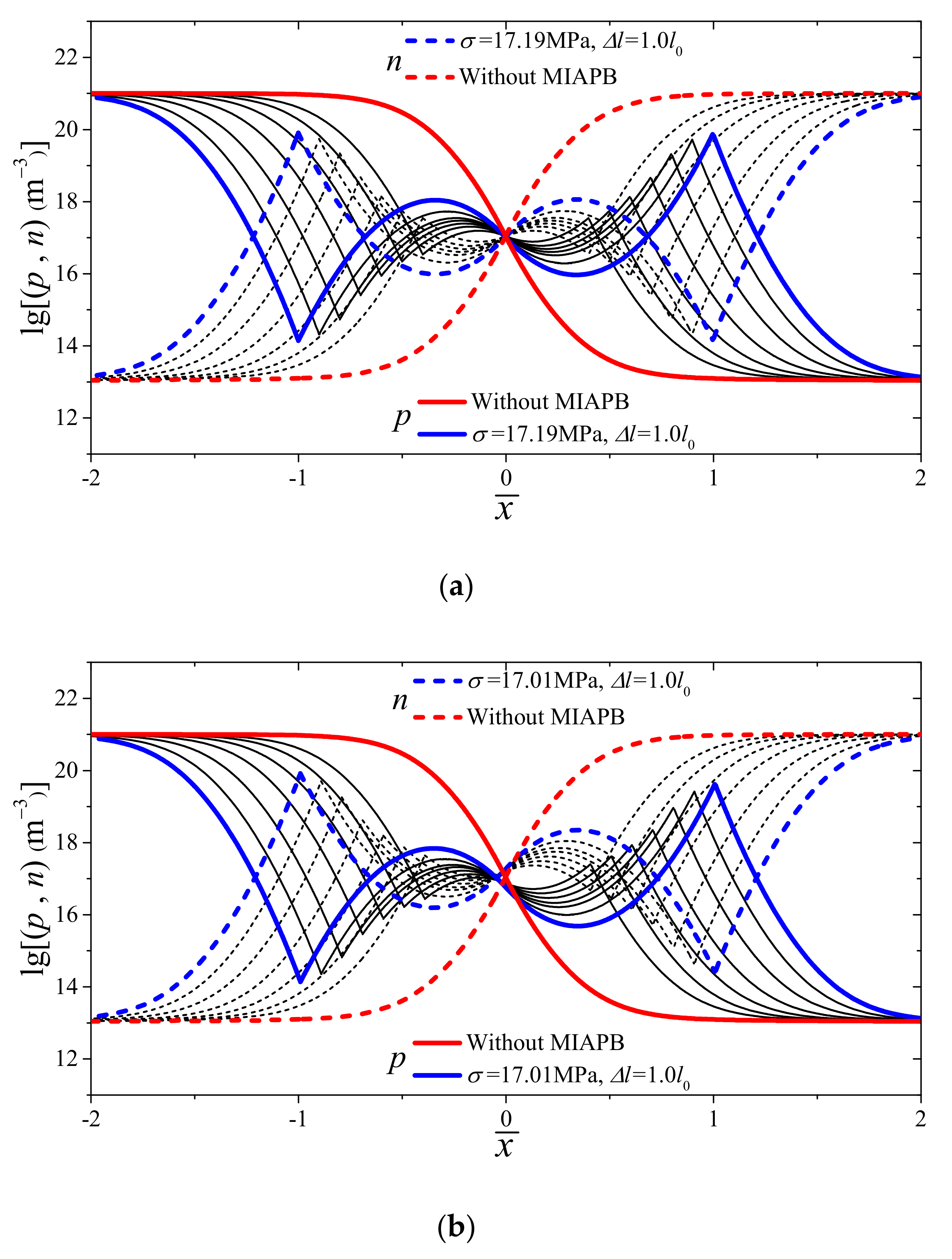
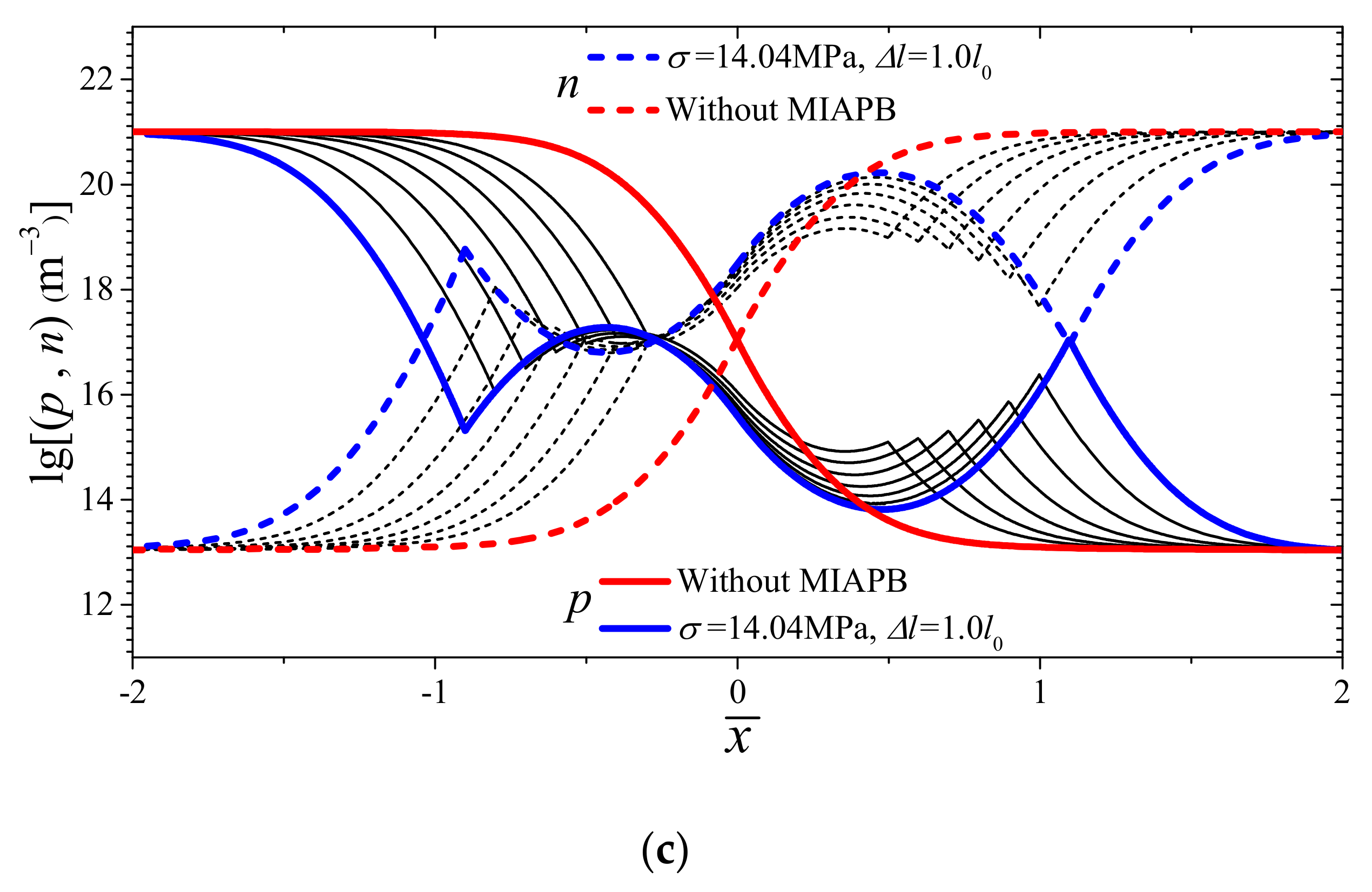
3.1. Three Factors Affecting the Tuning Effect
3.2. Limit Tuning Effect Exerted by Tensile-Mode MIAPB
3.3. Limit Tuning Effect Exerted by Compressive-Mode MIAPB
4. Conclusions
- The width, height and position of the MIAPB affect the extent of interaction between the MIAPB and the contact barrier. Different interaction intensities, superposition effects, carrier inversion degrees and carrier redistribution ranges are realized. These factors, coupled with each other, result in the generation of the current gain effect of the PN junction. Multiple competition mechanisms are observed, forming the physical basis of the limit tuning effect exerted by MIAPB on the I–V characteristics of the PN junction.
- Output current will appear in novel bimodal curves in the process of force regulation under small offset state tensile-mode MIAPB and even below the initial current with action of a narrow compressive-mode MIAPB. These phenomena have potential application value in logic circuits and mechanical switches.
- The inconsistency between the tensile-mode MIAPB under the offset state and the contact barrier confines the tuning effect exerted by MIAPB on the output current of a PN junction. The optimal loading method involves the symmetrical introduction of the tensile-mode MIAPB on both sides of the interface. As for compressive-mode MIAPB, the generation of the optimal barrier can be attributed to the carrier redistribution range and the carrier inversion degree. Therefore, the best tuning effect is generated under conditions of an optimal barrier width range.
Author Contributions
Funding
Data Availability Statement
Acknowledgments
Conflicts of Interest
References
- Lee, K.Y.; Kumar, B.; Seo, J.S.; Kim, K.-H.; Sohn, J.I.; Cha, S.N.; Choi, D.; Wang, Z.L.; Kim, S.-W. P-type polymer-hybridized high-performance piezoelectric nanogenerators. Nano Lett. 2012, 12, 1959–1964. [Google Scholar] [CrossRef] [PubMed]
- Gao, Y.; Wang, Z.L. Electrostatic potential in a bent piezoelectric nanowire. The fundamental theory of nanogenerator and nanopiezotronics. Nano Lett. 2007, 7, 2499–2505. [Google Scholar] [CrossRef] [PubMed]
- Falconi, C. Piezoelectric nanotransducers. Nano Energy 2019, 59, 730–744. [Google Scholar] [CrossRef]
- Koka, A.; Sodano, H.A. High-sensitivity accelerometer composed of ultra-long vertically aligned barium titanate nanowire array. Nat. Commun. 2013, 4, 2682. [Google Scholar] [CrossRef] [PubMed]
- Zhu, P.; Zhao, Z.M.; Nie, J.H.; Hu, G.; Li, L.; Zhang, Y. Ultra-high sensitivity strain sensor based on piezotronic bipolar transistor. Nano Energy 2018, 50, 744–749. [Google Scholar] [CrossRef]
- Hossain, K.M.; Ahmed, H.M.; Khan, I.M.; Miah, M.S.; Hossain, S. Recent Progress of Rare Earth Oxides for Sensor, Detector, and Electronic Device Applications: A Review. ACS Appl. Electron. Mater. 2021, 3, 4255–4283. [Google Scholar] [CrossRef]
- Xu, C.Y.; Wei, P.J.; Wei, Z.B.; Guo, X. Shear horizontal wave in a piezoelectric semiconductor substrate covered with a metal layer with consideration of Schottky junction effects. Appl. Math. Model. 2022, 109, 509–518. [Google Scholar] [CrossRef]
- White, D.L. Amplification of ultrasonic waves in piezoelectric semiconductors. J. Appl. Phys. 1962, 33, 2547–2554. [Google Scholar] [CrossRef]
- Hutson, A.R.; White, D.L. Elastic wave propagation in piezoelectric semiconductors. J. Appl. Phys. 1962, 33, 40–47. [Google Scholar] [CrossRef]
- Xiao, G.; Wei, P.J. Dispersion relations of in-plane elastic waves in nano-scale one dimensional piezoelectric semiconductor/piezoelectric dielectric phononic crystal with the consideration of interface effect. Appl. Math. Model. 2021, 96, 189–214. [Google Scholar]
- Schülein, F.J.R.; Müller, K.; Bichler, M.; Koblmüller, G.; Finley, J.J.; Wixforth, A.; Krenner, H.J. Acoustically regulated carrier injection into a single optically active quantum dot. Phys. Rev. B 2013, 88, 085307. [Google Scholar] [CrossRef]
- Büyükköse, S.; Hernández-Mínguez, A.; Vratzov, B.; Somaschini, C.; Geelhaar, L.; Riechert, H.; van der Wiel, W.G.; Santos, P.V. High-frequency acoustic charge transport in GaAs nanowires. Nanotechnology 2014, 25, 135204. [Google Scholar] [CrossRef] [PubMed]
- Li, L.H.; Hao, M.M.; Yang, X.Q.; Sun, F.; Bai, Y.; Ding, H.; Wang, S.; Zhang, T. Sustainable and flexible hydrovoltaic power generator for wearable sensing electronics. Nano Energy 2020, 72, 104663. [Google Scholar] [CrossRef]
- Wang, Z.L. Piezotronics and Piezo-Phototronics; The Science Publishing Company: Beijing, China, 2014. [Google Scholar]
- Zhang, Y.; Liu, Y.; Wang, Z.L. Fundamental theory of piezotronics. Adv. Mater. 2011, 23, 3004–3013. [Google Scholar] [CrossRef] [PubMed]
- Zhao, L.N.; Wei, P.J.; Huang, M.S.; Xu, Y.Q. Electro-Thermo-Mechanical multiple fields coupled wave propagation through piezoelectric semiconductor sandwich structure. Compos. Struct. 2022, 288, 115358. [Google Scholar] [CrossRef]
- Cheng, R.R.; Zhang, C.L.; Chen, W.Q.; Yang, J. Electrical behaviors of a piezoelectric semiconductor fiber under a local temperature change. Nano Energy 2019, 66, 104081. [Google Scholar] [CrossRef]
- Yang, Z.; Sun, L.; Zhang, C.L.; Gao, C. Analysis of a composite piezoelectric semiconductor cylindrical shell under the thermal loading. Mech. Mater. 2022, 164, 104153. [Google Scholar] [CrossRef]
- Liang, C.; Zhang, C.L.; Chen, W.Q.; Yang, J. Electrical response of a multiferroic composite semiconductor fiber under a local magnetic field. Acta Mech. Solida Sin. 2020, 33, 663–673. [Google Scholar] [CrossRef]
- Mortazavi, B.; Shojaei, F.; Yagmurcukardes, M.; Shapeev, A.V.; Zhuang, X. Anisotropic and outstanding mechanical, thermal conduction, optical, and piezoelectric responses in a novel semiconducting BCN monolayer confirmed by first-principles and machine learning. Carbon 2022, 200, 500–509. [Google Scholar] [CrossRef]
- Hossain, K.M.; Raihan, A.G.; Akbar, A.M.; Rubel, M.H.K.; Ahmed, M.H.; Khan, M.I.; Hossain, S.; Sen, S.K.; Jalal, M.I.E.; El-Denglawey, A. Current Applications and Future Potential of Rare Earth Oxides in Sustainable Nuclear, Radiation, and Energy Devices: A Review. ACS Appl. Electron. Mater. 2022, 4, 3327–3353. [Google Scholar] [CrossRef]
- Wang, J.Q.; Wang, H.Y.; Li, X.Y.; Zi, Y. Self-powered electrowetting optical switch driven by a triboelectric nanogenerator for wireless sensing. Nano Energy 2019, 66, 104140. [Google Scholar] [CrossRef]
- Lee, K.Y.; Bae, J.; Kim, S.M.; Lee, J.-H.; Yoon, G.C.; Gupta, M.K.; Kim, S.; Kim, H.; Park, J.; Kim, S.-W. Depletion width engineering via surface modification for high performance semiconducting piezoelectric nanogenerators. Nano Energy 2014, 8, 165–173. [Google Scholar] [CrossRef]
- Shin, Y.H.; Choi, J.; Kim, S.J.; Kim, S.; Maurya, D.; Sung, T.H.; Priya, S.; Kang, C.Y.; Song, H.C. Automatic resonance tuning mechanism for ultra-wide bandwidth mechanical energy harvesting. Nano Energy 2020, 77, 104986. [Google Scholar] [CrossRef]
- Qu, Y.L.; Jin, F.; Yang, J.S. Torsion of a piezoelectric semiconductor rod of cubic crystals with consideration of warping and in-plane shear of its rectangular cross section. Mech. Mater. 2022, 172, 104407. [Google Scholar] [CrossRef]
- Salah, B.I.; Takali, F.; Othmani, C.; Njeh, A. SH waves in a stressed piezoelectric semiconductor plates: Electron and hole drift phenomenon. Int. J. Mech. Sci. 2022, 223, 107281. [Google Scholar] [CrossRef]
- Liang, Y.X.; Hu, Y.T. Effect of interaction among the three time scales on the propagation characteristics of coupled waves in a piezoelectric semiconductor rod. Nano Energy 2020, 68, 104345. [Google Scholar] [CrossRef]
- Huang, H.Y.; Qian, Z.H.; Yang, J.S. I-V characteristics of a piezoelectric semiconductor nanofiber under local tensile/compressive stress. J. Appl. Phys. 2019, 126, 164902. [Google Scholar] [CrossRef]
- Fan, S.Q.; Hu, Y.T.; Yang, J.S. Stress-induced potential barriers and charge distributions in a piezoelectric semiconductor nanofiber. Appl. Math. Mech. 2019, 40, 591–600. [Google Scholar] [CrossRef]
- Huang, K.; Han, R.Q. The Physical Basis of Semiconductors; The Science Publishing Company: Beijing, China, 2015. [Google Scholar]
- Fan, S.Q.; Yang, W.L.; Hu, Y.T. Adjustment and control on the fundamental characteristics of a piezoelectric PN junction by mechanical-loading. Nano Energy 2018, 52, 416–421. [Google Scholar] [CrossRef]
- Yang, W.L.; Liu, J.X.; Xu, Y.L.; Hu, Y.T. A full-coupling model of PN junctions based on the global-domain carrier motions with inclusion of the two metal/semiconductor contacts at endpoints. Appl. Math. Mech. 2020, 41, 845–858. [Google Scholar] [CrossRef]
- Yang, W.L.; Liu, J.X.; Hu, Y.T. Mechanical tuning methodology on the barrier configuration near a piezoelectric PN interface and the regulation mechanism on I−V characteristics of the junction. Nano Energy 2021, 81, 105581. [Google Scholar] [CrossRef]
- Yang, G.Y.; Yang, L.; Du, J.K.; Wang, J.; Yang, J. PN junctions with coupling to bending deformation in composite piezoelectric semiconductor fibers. Int. J. Mech. Sci. 2020, 173, 105421. [Google Scholar] [CrossRef]
- Yang, Y.Z.; Yang, W.L.; Wang, Y.B.; Zeng, X.; Hu, Y. A mechanically induced artificial potential barrier and its tuning mechanism on performance of piezoelectric PN junctions. Nano Energy 2022, 92, 106741. [Google Scholar] [CrossRef]
- Cheng, R.R.; Zhang, C.L.; Chen, W.Q.; Yang, J. Temperature effects on PN junctions in piezoelectric semiconductor fibers with thermoelastic and pyroelectric couplings. J. Electron. Mater. 2020, 49, 3140–3148. [Google Scholar] [CrossRef]
- Guo, M.K.; Lu, C.S.; Qin, G.S.; Zhao, M. Temperature gradient-dominated electrical behaviours in a piezoelectric PN junction. J. Electron. Mater. 2021, 50, 947–953. [Google Scholar] [CrossRef]










Publisher’s Note: MDPI stays neutral with regard to jurisdictional claims in published maps and institutional affiliations. |
© 2022 by the authors. Licensee MDPI, Basel, Switzerland. This article is an open access article distributed under the terms and conditions of the Creative Commons Attribution (CC BY) license (https://creativecommons.org/licenses/by/4.0/).
Share and Cite
Yang, Y.; Chen, J.; Wang, Y. The Limit Tuning Effects Exerted by the Mechanically Induced Artificial Potential Barriers on the I–V Characteristics of Piezoelectric PN Junctions. Micromachines 2022, 13, 2103. https://doi.org/10.3390/mi13122103
Yang Y, Chen J, Wang Y. The Limit Tuning Effects Exerted by the Mechanically Induced Artificial Potential Barriers on the I–V Characteristics of Piezoelectric PN Junctions. Micromachines. 2022; 13(12):2103. https://doi.org/10.3390/mi13122103
Chicago/Turabian StyleYang, Yizhan, Jiankang Chen, and Yunbo Wang. 2022. "The Limit Tuning Effects Exerted by the Mechanically Induced Artificial Potential Barriers on the I–V Characteristics of Piezoelectric PN Junctions" Micromachines 13, no. 12: 2103. https://doi.org/10.3390/mi13122103
APA StyleYang, Y., Chen, J., & Wang, Y. (2022). The Limit Tuning Effects Exerted by the Mechanically Induced Artificial Potential Barriers on the I–V Characteristics of Piezoelectric PN Junctions. Micromachines, 13(12), 2103. https://doi.org/10.3390/mi13122103

