Next Article in Journal
Grayscale Image Display Based on Nano-Polarizer Arrays
Next Article in Special Issue
Design of a Low-Reflection Flat Lens Antenna Based on Conformal Transformation Optics
Previous Article in Journal
Development of 3D Printed Enzymatic Microreactors for Lipase-Catalyzed Reactions in Deep Eutectic Solvent-Based Media
 
 
Font Type:
Arial Georgia Verdana
Font Size:
Aa Aa Aa
Line Spacing:
Column Width:
Background:
Article

Active Tuning and Anisotropic Strong Coupling of Terahertz Polaritons in Van der Waals Heterostructures

1
Department of Physics, Shaanxi University of Science and Technology, Xi’an 710021, China
2
State Key Laboratory of Transient Optics and Photonics Technology, Xi’an Institute of Optics and Precision Mechanics, Chinese Academy of Sciences (CAS), Xi’an 710119, China
*
Author to whom correspondence should be addressed.
Micromachines 2022, 13(11), 1955; https://doi.org/10.3390/mi13111955
Submission received: 19 October 2022 / Revised: 31 October 2022 / Accepted: 10 November 2022 / Published: 11 November 2022
(This article belongs to the Special Issue Processing and Applications of Novel Optical Metamaterials)

Abstract

Electromagnetic field confinement is significant in enhancing light-matter interactions as well as in reducing footprints of photonic devices especially in Terahertz (THz). Polaritons offer a promising platform for the manipulation of light at the deep sub-wavelength scale. However, traditional THz polariton materials lack active tuning and anisotropic propagation simultaneously. In this paper, we design a graphene/α-MoO3 heterostructure and simulate polariton hybridization between isotropic graphene plasmon polaritons and anisotropic α-MoO3 phonon polaritons. The physical fundamentals for polariton hybridizations depend on the evanescent fields coupling originating from the constituent materials as well as the phase match condition, which can be severely affected by the α-MoO3 thickness and actively tuned by the gate voltages. Hybrid polaritons propagate with in-plane anisotropy that exhibit momentum dispersion characterized by elliptical, hyperboloidal and even flattened iso-frequency contours (IFCs) in the THz range. Our results provide a tunable and flexible anisotropic polariton platform for THz sensing, imaging, and modulation.

1. Introduction

In conventional optics, the ultimate spatial resolution is fundamentally restained by the diffraction limit to roughly half of the incident wavelength [1,2], which prohibits fabricating deeply sub-wavelength scale devices. Especially in the terahertz (THz) spectral range, due to the longer wavelength, the footprints of the THz devices is always about hundreds of micrometers [3,4], which is not compatible with modern integrated optics. Polaritons are hybrid modes formed by light strongly coupled to collective excitations in matter, which offers a promising platform for the manipulation of light at the deeply sub-wavelength scale [5,6,7,8,9]. In THz range, gold is the commonly used polariton platform for confined THz techonlogies; however, it sustains low confinement factors, high transmission losses and lack of active tunability [10,11]. Graphene, a kind of two-dimensional material, presents THz plasmon polaritons (PPs) with high confinent factors and long lifetimes. Most importantly, the Fermi level can be conveniently adjusted by electrical gating [12,13]. The only existing shortcoming in graphene plasmon is the isotropic propagation. α-MoO3 is a kind of polar Van der Waals (vdWs) material; it is reported that the anisotropic phonon polaritons (PhPs) in mid-infrared and THz have been verified and can also be tuned by ion intercalation [14,15,16]. However, active tuning can not be executed. Therefore, a new kind of material or platform supporting THz polaritons with active tuning and anisotropic propagation is urgently needed.
VdW heterostructures provide an attractive platform for integrating bulk materials into an atomic interaction level, giving rise to an extraordinary hybridization of different polariton modes [17]. In addition, the physical fundamentals for polariton hybridizations depend on the evanescent fields coupling originating from the collective charge oscillations in constituent materials. However, the prerequisites—phase match conditions—for polariton hybridizations must be satisfied: firstly, the constituent polaritons need to propagate in the same direction with mode volumes coinciding, and secondly, the individual polaritons must possess nearly the same momenta [18,19,20]. Consequently, hybrid polaritons propagate with in-plane anisotropy that exhibits momentum dispersion characterized by elliptical, hyperboloidal and even flattened iso-frequency contours (IFCs) in the THz range.
For that purpose, we assembled graphene/α-MoO3 heterostructures for hybridizing isotropic graphene PPs with anisotropic α-MoO3 PhPs, thus permitting substantial in-plane anisotropy to the plasmonic resonance of graphene. It is found that the polariton hybridization can be severely affected by the α-MoO3 thickness and actively tuned by the gate voltages. Moreover, the anisotropic momentum dispersion can be converted from elliptical IFCs to flattened bands. Finite difference time domain (FDTD) methods were used to simulate the mode field distributions and extract the polariton wavelengths. The anisotropic real-space near-field electromagnetic distributions were visualized by a phenomenological cavity model within a graphene/α-MoO3 nanostructure, which indicates that the electromagnetic field can be restricted into specific patterns depending on the illuminating frequency. Our results reveal a tunable and scalable anisotropic polariton platform for applications in sensing, imaging, and light modulation.

2. Optical Conductivity and Dispersion Analysis

In THz, the optical response of α-MoO3 is dominated by the phonon absorption, and phonon polaritons (PhPs) in α-MoO3 can be excited within spectral intervals of the reststrahlen bands (RBs), in which the real part of the permittivity is negative. The permittivities of α-MoO3 in THz can be described by the following Lorentz equation [15]:
ε j = ε , j ( ω L O , j 2 ω 2 i ω Γ j ω T O , j 2 ω 2 i ω Γ j )
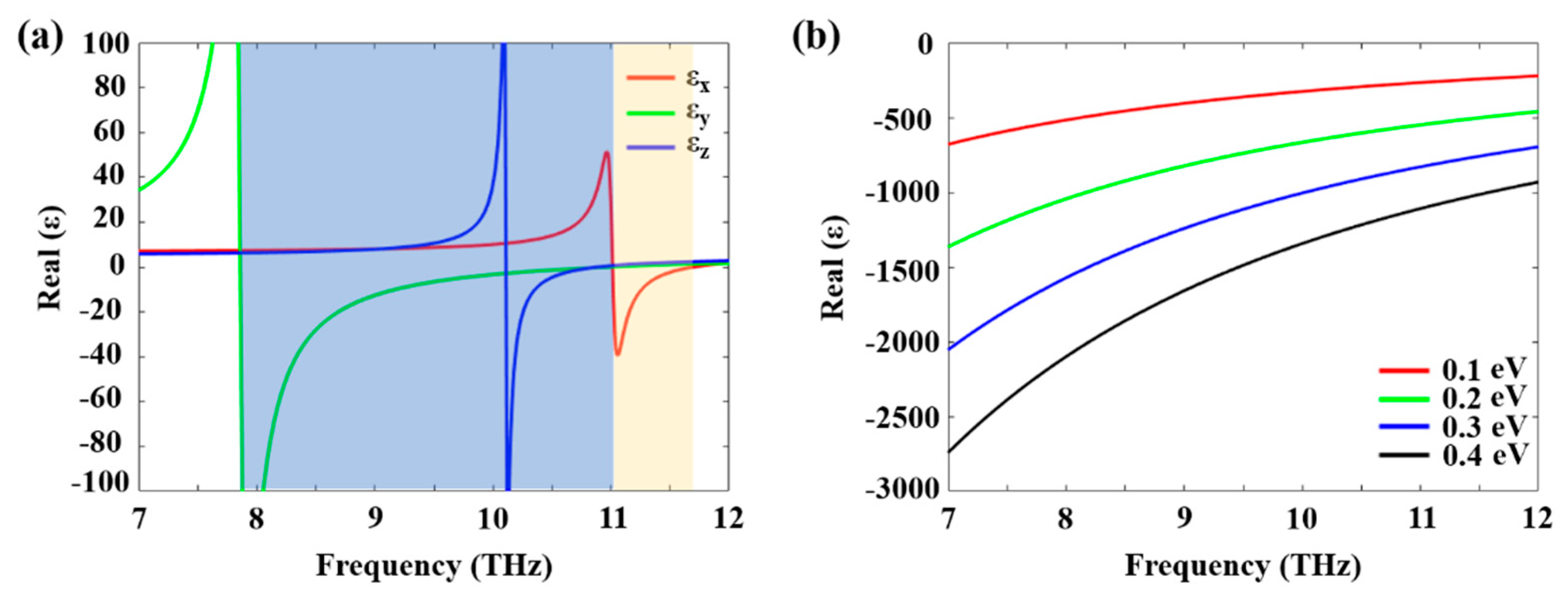
where j = x , y , z denotes the three principal axes of α-MoO3 crystal, which corresponds to the crystalline directions [100], [001], and [010], respectively. ω T O , j and ω L O , j refer to the transverse-optical (TO) and longitudinal-optical (LO) phonon frequencies. Γ and ε , j are the damping constant and high-frequency dielectric constant, respectively. The detailed parameters used in calculations are given in reference [15]. As shown in Figure 1a, we observe two spectral bands (marked as shaded blue (low) and yellow (high) ranges) wherein at least one of the principal components of the permittivity is negative. In particular, the low- and high-frequency RB bands are located along the [001] and [100] crystal directions, respectively, indicating their potential to support PhPs with in-plane hyperbolic propagation.
Graphene’s surface conductivity is modeled using the Kubo formula [21,22]:
σ g   = i e 2 k B T π 2 ( ω + i τ 1 ) [ E F k B T + 2 l n ( exp ( E F k B T ) + 1 ) ] + i e 2 4 π l n [ 2 | E F | ( ω + i τ 1 ) 2 | E F | + ( ω + i τ 1 ) ]
Here, e is the electron charge, EF is the Fermi energy, ℏ is the reduced Planck constants, and τ is the momentum relaxation time. The relaxation time of charge carriers in graphene is set to 0.5 ps, which is typical for encapsulated graphene used in optical experiments at ambient conditions. The permittivity of graphene can be written as ε = σ / i ω t g ε 0 , where t g = 0.34   nm is the thickness of graphene, and ε0 is the vacuum permittivity. The real parts of the permittivity tensors of graphene with different Fermi levels are negative in the frequency range from 7 THz to 12 THz (Figure 1b), which promises actively tunable PPs.

3. Polariton Hybridization Analysis

The FDTD method has been performed to investigate the polariton response of graphene and α-MoO3 in detail. A vertical dipole was placed above the top of the uppermost surface of 70 nm as a polariton launcher, the thickness of α-MoO3 film was set to 20 nm and the graphene layer was regarded as a surface conductivity sheet. The IFCs were then numerically obtained by fast Fourier transform (FFT) of the real part of the z component of the near-field amplitude Ez. Due to the opposite in-plane permittivity signs of α-MoO3 along [001] and [100] crystal directions, polariton propagation along the [100] direction is forbidden at the low frequency band, which resulted in hyperbolic Ez distribution centered along the crystallographic directions of [001] (Figure 2a). In contrast, hyperbolic Ez distribution at the high frequency band is centered along the crystallographic directions of [100] (Figure 2b). The near-field images present highly anisotropic polaritons with frequency-dependent propagation. However, for PPs in graphene, polaritons are allowed to propagate along all possible in-plane directions, which results in circular Ez distribution (Figure 2c,d). Therefore, the hybridized polaritons will propagate along all possible in-plane directions with polaritons superpositioned between graphene PPs and α-MoO3 PhPs, which results in elliptical iso-frequency contours.
The permittivity results suggest the potential formation of hybrid plasmon-phonon polariton modes in two excitation bands. We thereby construct a platform for hybridizing isotropic graphene PPs with anisotropic α-MoO3 PhPs, thus resulting in anisotropic and tunable hybridized polaritons (Figure 3). However, the preconditions for polariton hybridization must be satisfied. In our analytical calculations and the following numerical simulations, the distance between the graphene layer and the α-MoO3 slab is zero; hence, the overlap between the graphene PPs and PhPs fields is maximal. Nevertheless, whether the PPs and PhPs couple or not is determined by whether there is a crossing point between the dispersion of PPs (without PhPs) and the dispersion of PhPs (without PPs). If there is a crossing point between the dispersions for a given configuration, there will be coupling. Therefore, the graphene Fermi level, α-MoO3 thickness, spectra range, and polariton momenta must be optimized.
The dispersion of graphene plasmons are governed by a frequency ( ω )—momentum ( q ) relation given by [23]:
q SPP = i ω κ 2 π σ 2 D
where κ ( ω ) = ε o + ε s u b ( ω ) 2 , ε o and ε s u b are the vacuum and substrate permittivites, respectively, and σ 2 D represents the sheet conductance of graphene. In calculation of the plasmon dispersion in a graphene sheet embedded between a semi-infinite air space and a semi-infinite dielectric environment of α-MoO3, ε s u b = ε , x when calculating the dispersion along the [100] crystal axis and ε s u b = ε , y along the [001] crystal axis. The phonons of α-MoO3 are not considered in this calculation. The dispersion relation of electromagnetic modes in biaxial α-MoO3 slabs can be described by the following analytical approximations [24]:
  q = ρ k 0 d [ a r c t a n ( ε 1 ρ ε z ) + a r c t a n ( ε 3 ρ ε z ) + π l ] ,   l = 0 , 1 , 2
ρ = i ε z q 2 ε x q x 2 + ε y q y 2 = i ε z ε x c o s 2 φ + ε y s i n 2 φ ,
where φ is the angle between the a axis and the in-plane wave vector q ( q 2 = q x 2 + q y 2 ), ε 1 and ε 3 are the dielectric constants of the superstrate and substrate of the α-MoO3 slab, k0 and d are the free-space wave vector and α-MoO3 thickness, respectively, and ε x , ε y and ε z are the permittivities of α-MoO3 along a, b and c axes, respectively.
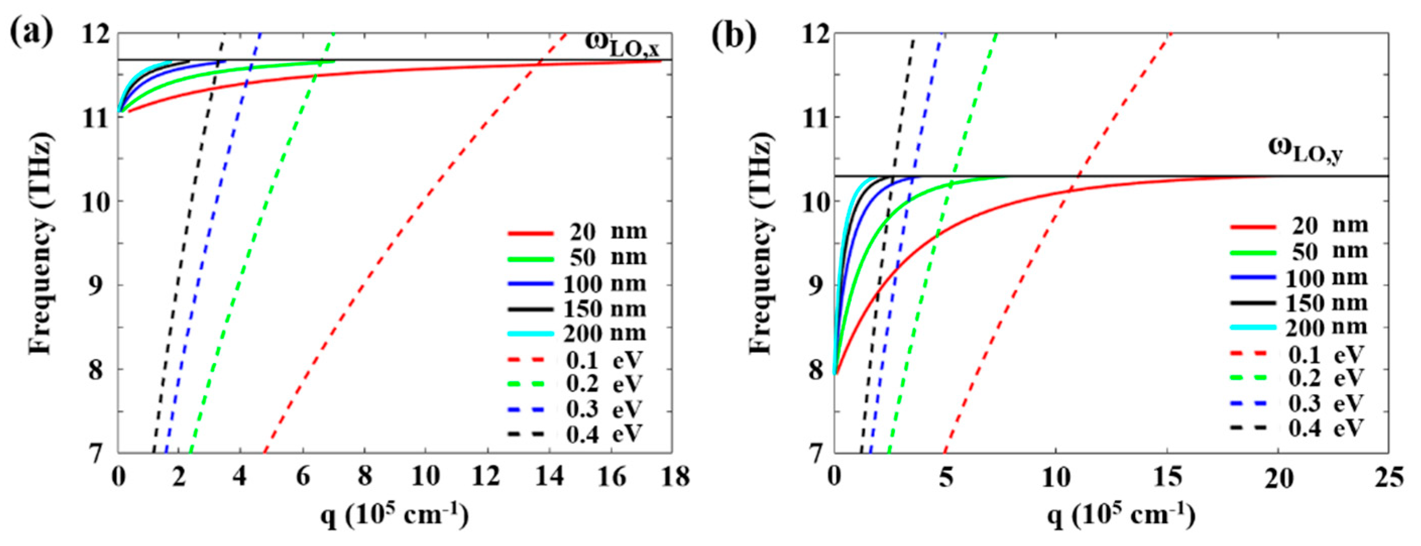
Figure 4a,b shows the dispersion for graphene PPs with the suppressed α-MoO3 PhPs for different Fermi energies (dashed lines), as well as the dispersions of PhPs in the α-MoO3 slabs for different crystal thicknesses (solid lines). We can observe that the higher the Fermi energy, the wider the range of thicknesses of the biaxial slab for which there exists coupling between PPs and PhPs. If the slab is too thick, then a higher Fermi energy is required to match the PPs wavevector and achieve the coupling regime. On the contrary, when the slab is thinner, a lower Fermi energy is required. Significantly, for thinner slabs (20 nm), a wider range of graphene PPs will couple with α-MoO3 PhPs, which permits larger polariton coupling and active tunable range. Therefore, in the following calculations, the thickness of α-MoO3 is fixed at 20 nm.
To study in more detail the polariton-coupling features as a function of Fermi energy in graphene/α-MoO3 heterostructures, we calculate the Ez distribution at the crossing-point frequencies in Figure 4. When the graphene Fermi energy is 0.1 eV, the polariton coupling should be enhanced at 11.6 THz; the near-field Ez distribution and the corresponding FFT are shown in Figure 5a. It is found that the near-field distribution features elliptic wavefronts with long axes centered along the crystallographic directions [100], which is significantly different from that typically observed in bare graphene or α-MoO3 (Figure 2). By increasing the Fermi energy to 0.2 eV, the polariton coupling is enhanced at a lower frequency of 11.45 THz, which also manifests elliptic electric field wavefronts. However, the hybrid polariton wavelength significantly increased, with the colorplot of FFT centered in a narrower wavevector range. With the Fermi energy further increased to 0.3 eV, coupling frequency is shifted to 11.35 THz with polariton wavelength increased further. The evolutionary process is also the same for 0.4 eV, with the hybrid polaritons enhanced at 11.22 THz with increased wavelength as well as smaller wavevector.
For hybrid polaritons at the low-frequency band, more interesting phenomena present. When the Fermi energy is 0.1 eV, the polaritons are strongly hybridized at 10.1 THz, and the hybrid polaritons propagate in a specific direction (canalization regime). Note that the IFC exhibits a strong flattening along the [001] direction, explaining the canalization of hybrid polaritons along this direction (Figure 5e). When the Fermi energy increases to 0.2 eV, the near-field distribution features elliptic wavefronts with long axes centered along the crystallographic directions of [001], which is opposite to that for the high-frequency band. With the Fermi energy further increased to 0.3 eV and 0.4 eV, the hybrid polaritons also manifest elliptic wavefronts. However, the polariton wavelength increases with Fermi energies, and the corresponding colorplot of FFT centers in a narrower wavevector range. In addition, the hybrid polaritons manifest deeply sub-wavelength confinements of about 60 (λ0hybridized) with respect to the incident THz wave (λ0 = 25.8 μm), which provides a nanoscale “hot spot” for enhancing light-matter interactions.

4. Manipulation of the Field Localization

The near-field simulations review found that the hybrid polaritons in graphene/α-MoO3 heterostructure can be strongly enhanced, and more importantly, the hybrid polaritons can be actively tuned from elliptic to flattened wavefronts by electrical gating. Moreover, the precise control of light localization is very important in nanophotonics, and the electromagnetic field concentration can be further enhanced by fabricating nanostructures that act as Fabry-Perot resonators. For this purpose, we precisely shaped graphene/α-MoO3 heterostructures into square nanostructures for tailoring electromagnetic field localizations. We adopted a phenomenological cavity model to simulate the near-field amplitude and phase patterns within graphene/α-MoO3 nanostructures [25,26]. A point dipole source launches circular surface waves and excites hybrid polariton waves in graphene/α-MoO3 nanostructures, the excited polariton wave propagates outward and is reflected by the nanostructure boundaries. The dipole-launched polariton waves interfere with the reflected waves perpendicular to the boundaries. The total field detected can be described as:
E = E 0 + j E p , j
where E0 and Ep,j are the dipole-launched polariton wave and that reflected from four boundaries, respectively. Reflected waves are given by E p , j = R j × E 0 × e x p ( ( 4 π λ p ) r j ( γ p + i ) ) , where R j = R 0 exp ( i Δ φ ) denotes the complex reflection coefficient, and R0 and Δφ are the reflectivity and phase shift of the polariton wave, respectively. γp, rj and λp represent the polariton damping rate, distance between the nanostructure edge and dipole tip, and the polariton wavelength, respectively. In simulations the amplitude of the dipole-launched polariton wave E0 was set to 1 and the damping rate γp to 0.4 eV, whereas the polariton wavelength λp is set based on Figure 5. Reflectivity was assumed to be 1, and 1.5π was used for the phase shift of the polariton wave [26].
Figure 6 shows the simulated near-field patterns of the hybrid polaritons in graphene/α-MoO3 micro-flakes at the cross points in Figure 4. Due to the multi-beam interferences caused by additional reflections from the square boundaries, near-field patterns of the hybrid polaritons give rise to a variety of bright and dark features as a function of exciting frequencies and Fermi energies. It is obvious that the bright (dark) spots resulting from constructive (destructive) interferences exhibit a D4-group symmetry. Both the amplitude and phase images manifest standing wave patterns, whereas the adjacent bright and dark fringes close to the boundaries differ by ~π/2. In addition, due to the damping of the reflected plasmon waves, more fringes with much weaker intensities can be observed in the interior part with the adjacent fringe separation of 0.5 λp.
In addition, due to the elliptical-type dispersion, hybrid polaritons propagate along x and y axes at different wavelengths. Except for the flattened-band dispersion at 10.1 THz, polariton propagation along y axis is forbidden, which results in interference fringes only appearing in the horizonal direction. As the frequency decreases, the number of bright spots decreases and the field localizations are strongest at the regions close to the corner of the nanostructures. The realization of electromagnetic field localization in two dimensions using graphene/α-MoO3 nanostructures can offer several advantages in terms of efficient focusing and manipulating of light at the nanoscale, which can further be integrated with photonic or optoelectronic devices to enhance light-matter interactions.

5. Conclusions

In conclusion, we designed and investigated polariton hybridizations in graphene/α-MoO3 heterostructures. It was found that the polariton hybridization between isotropic graphene PPs and anisotropic α-MoO3 PhPs strongly depends on the α-MoO3 thickness and can be actively tuned by the gate voltages. In addition, the hybrid polaritons propagate with in-plane anisotropy that exhibits momentum dispersion characterized by elliptical, hyperboloidal and even flattened IFCs in the THz range. The near-field results suggest that the localized electromagnetic fields can be enhanced in nanostructures, which provide a flexible anisotropic polariton platform and can further be integrated with photonic crystals or quantum well structures to ulteriorly enhance THz-matter interactions. Our findings demonstrate that active tuning of THz polaritons with certain propagations can be used to steer THz light along specific directions at the nanoscale. More significantly, these results will provide guidelines for THz device fabrications and experiments with dynamically controllable properties.

Author Contributions

Conceptualization, S.L. and J.X.; writing—original draft preparation, S.L.; writing—review and editing, S.L., J.X. and Y.X.; supervision, S.L. All authors have read and agreed to the published version of the manuscript.

Funding

This research was funded by the National Natural Science Foundation of China (NSFC), grant number 62005151.

Institutional Review Board Statement

Not applicable.

Informed Consent Statement

Not applicable.

Data Availability Statement

The data presented in this study are available on request from the corresponding author.

Conflicts of Interest

The authors declare no conflict of interest.

References

  1. Abbe, E. Beiträge zur Theorie des Mikroskops und der mikroskopischen Wahrnehmung. Arch. Für Mikrosk. Anat. 1873, 9, 413–468. [Google Scholar] [CrossRef]
  2. Chen, X.; Liu, X.; Guo, X.; Chen, S.; Hu, H.; Nikulina, E.; Ye, X.; Yao, Z.; Bechtel, H.A.; Martin, M.C.; et al. THz Near-Field Imaging of Extreme Subwavelength Metal Structures. ACS Photon 2020, 7, 687–694. [Google Scholar] [CrossRef]
  3. Ummethala, S.; Harter, T.; Koehnle, K.; Li, Z.; Muehlbrandt, S.; Kutuvantavida, Y.; Kemal, J.; Marin-Palomo, P.; Schaefer, J.; Tessmann, A.; et al. THz-to-optical conversion in wireless communications using an ultra-broadband plasmonic modulator. Nat. Photon 2019, 13, 519–524. [Google Scholar] [CrossRef]
  4. Yang, F.; Pitchappa, P.; Wang, N. Terahertz Reconfigurable Intelligent Surfaces (RISs) for 6G Communication Links. Micromachines 2022, 13, 285. [Google Scholar] [CrossRef]
  5. Basov, D.N.; Fogler, M.M.; de Abajo, F.J.G. Polaritons in van der Waals materials. Science 2016, 354, aag1992. [Google Scholar] [CrossRef]
  6. Maier, S.A. Plasmonics: Fundamentals and Applications, 1st ed.; Springer Science & Business Media: New York, NY, USA, 2007. [Google Scholar]
  7. Fei, Z.; Rodin, A.S.; Andreev, G.O.; Bao, W.; McLeod, A.S.; Wagner, M.; Zhang, L.M.; Zhao, Z.; Thiemens, M.; Dominguez, G.; et al. Gate-tuning of graphene plasmons revealed by in-frared nano-imaging. Nature 2012, 487, 82–85. [Google Scholar] [CrossRef]
  8. Chen, J.; Badioli, M.; Alonso-González, P.; Thongrattanasiri, S.; Huth, F.; Osmond, J.; Spasenović, M.; Centeno, A.; Pesquera, A.; Godignon, P.; et al. Optical nano-imaging of gate-tunable graphene plasmons. Nature 2012, 487, 77–81. [Google Scholar] [CrossRef]
  9. Li, P.; Dolado, I.; Alfaro-Mozaz, F.J.; Casanova, F.; Hueso, L.E.; Liu, S.; Edgar, J.H.; Nikitin, A.Y.; Vélez, S.; Hillenbrand, R. Infrared hyperbolic metasurface based on nanostructured van der Waals materials. Science 2018, 359, 892–896. [Google Scholar] [CrossRef]
  10. Zhang, P.; Cai, T.; Zhou, Q.; She, G.; Liang, W.; Deng, Y.; Ning, T.; Shi, W.; Zhang, L.; Zhang, C. Ultrahigh Modulation Enhancement in All-Optical Si-Based THz Modulators Integrated with Gold Nanobipyramids. Nano Lett. 2022, 22, 1541–1548. [Google Scholar] [CrossRef]
  11. Shen, N.-H.; Tassin, P.; Koschny, T.; Soukoulis, C.M. Comparison of gold- and graphene-based resonant nanostructures for terahertz metamaterials and an ultrathin graphene-based modulator. Phys. Rev. B 2014, 90, 115437. [Google Scholar] [CrossRef]
  12. Yi, Z.; Liang, C.; Chen, X.; Zhou, Z.; Tang, Y.; Ye, X.; Yi, Y.; Wang, J.; Wu, P. Dual-Band Plasmonic Perfect Absorber Based on Graphene Metamaterials for Refractive Index Sensing Application. Micromachines 2019, 10, 443. [Google Scholar] [CrossRef] [PubMed]
  13. Ju, L.; Geng, B.; Horng, J.; Girit, Ç.; Martin, M.; Hao, Z.; Bechtel, H.A.; Liang, X.; Zettl, A.; Shen, Y.R.; et al. Graphene plasmonics for tunable terahertz metamaterials. Nat. Nanotechnol. 2011, 6, 630–634. [Google Scholar] [CrossRef] [PubMed]
  14. Ma, W.; Alonso-González, P.; Li, S.; Nikitin, A.Y.; Yuan, J.; Martín-Sánchez, J.; Taboada-Gutiérrez, J.; Amenabar, I.; Li, P.; Vélez, S.; et al. In-plane anisotropic and ultra-low-loss polaritons in a natural van der Waals crystal. Nature 2018, 562, 557–562. [Google Scholar] [CrossRef] [PubMed]
  15. de Oliveira, T.V.A.G.; Nörenberg, T.; Álvarez-Pérez, G.; Wehmeier, L.; Taboada-Gutiérrez, J.; Obst, M.; Hempel, F.; Lee, E.J.H.; Klopf, J.M.; Errea, I.; et al. Nanoscale-Confined Terahertz Polaritons in a van der Waals Crystal. Adv. Mater. 2020, 33, e2005777. [Google Scholar] [CrossRef] [PubMed]
  16. Wu, Y.J.; Ou, Q.D.; Yin, Y.F.; Li, Y.; Ma, W.L.; Yu, W.Z.; Liu, G.Y.; Cui, X.Q.; Bao, X.Z.; Duan, J.H.; et al. Chemical switching of low-loss phonon polaritons in α-MoO3 by hydrogen intercalation. Nat. Commun. 2020, 11, 2646. [Google Scholar] [CrossRef] [PubMed]
  17. Woessner, A.; Lundeberg, M.B.; Gao, Y.; Principi, A.; Alonso-González, P.; Carrega, M.; Watanabe, K.; Taniguchi, T.; Vignale, G.; Polini, M.; et al. Highly confined low-loss plasmons in graphene–boron nitride heterostructures. Nat. Mater. 2014, 14, 421–425. [Google Scholar] [CrossRef]
  18. Bylinkin, A.; Schnell, M.; Autore, M.; Calavalle, F.; Li, P.; Taboada-Gutièrrez, J.; Liu, S.; Edgar, J.H.; Casanova, F.; Hueso, L.E.; et al. Real-space observation of vibrational strong coupling between propagating phonon polaritons and organic molecules. Nat. Photon 2020, 15, 197–202. [Google Scholar] [CrossRef]
  19. Dolfo, G.; Vigué, J. Damping of coupled harmonic oscillators. Eur. J. Phys. 2018, 39, 025005. [Google Scholar] [CrossRef]
  20. Törmä, P.; Barnes, W.L. Strong coupling between surface plasmon polaritons and emitters: A review. Rep. Prog. Phys. 2014, 78, 013901. [Google Scholar] [CrossRef]
  21. Álvarez-Pérez, G.; González-Morán, A.; Capote-Robayna, N.; Voronin, K.V.; Duan, J.; Volkov, V.S.; Alonso-González, P.; Nikitin, A.Y. Active Tuning of Highly Anisotropic Phonon Polaritons in Van der Waals Crystal Slabs by Gated Graphene. ACS Photon 2022, 9, 383–390. [Google Scholar] [CrossRef]
  22. Zeng, Y.; Ou, Q.; Liu, L.; Zheng, C.; Wang, Z.; Gong, Y.; Liang, X.; Zhang, Y.; Hu, G.; Yang, Z.; et al. Tailoring Topological Transitions of Anisotropic Polaritons by Interface Engineering in Biaxial Crystals. Nano Lett. 2022, 22, 4260–4268. [Google Scholar] [CrossRef] [PubMed]
  23. Gonçalves, P.A.D.; Peres, N.M. An Introduction to Graphene Plasmonics; World Scientific: Singapore, 2016. [Google Scholar]
  24. Lvarez-Pérez, G.; Voronin, K.V.; Volkov, V.S.; Alonso-González, P.; Nikitin, A.Y. Analytical approximations for the dispersion of electromagnetic modes in slabs of biaxial crystals. Phys. Rev. B 2019, 100, 235408. [Google Scholar] [CrossRef]
  25. Gerber, J.A.; Berweger, S.; O’Callahan, B.T.; Raschke, M.B. Phase-Resolved Surface Plasmon Interferometry of Graphene. Phys. Rev. Lett. 2014, 113, 055502. [Google Scholar] [CrossRef] [PubMed]
  26. Zheng, Z.-B.; Li, J.-T.; Ma, T.; Fang, H.; Ren, W.-C.; Chen, J.; She, J.-C.; Zhang, Y.; Liu, F.; Chen, H.-J.; et al. Tailoring of electromagnetic field localizations by two-dimensional graphene nanostructures. Light. Sci. Appl. 2017, 6, e17057. [Google Scholar] [CrossRef] [PubMed]
Figure 1. Dielectric permittivity of α-MoO3 and graphene in the THz spectral range. (a) The real parts of the permittivity tensor of α-MoO3 reveal two distinct in-plane RBs with negative permittivities along different crystal axes, shaded in blue and yellow RBs along [001] and [100] crystalline directions, respectively. (b) The real parts of graphene permittivity with different Fermi energies.
Figure 1. Dielectric permittivity of α-MoO3 and graphene in the THz spectral range. (a) The real parts of the permittivity tensor of α-MoO3 reveal two distinct in-plane RBs with negative permittivities along different crystal axes, shaded in blue and yellow RBs along [001] and [100] crystalline directions, respectively. (b) The real parts of graphene permittivity with different Fermi energies.
Micromachines 13 01955 g001
Figure 2. Predictions of THz polaritons in α-MoO3 and graphene with hyperbolic and circular propagation, respectively. (a,b) Images of the real part of the near-field amplitude distribution (Ez) on top of a 20 nm α-MoO3 film; (c,d) real part of Ez on top of graphene under different excitation frequencies.
Figure 2. Predictions of THz polaritons in α-MoO3 and graphene with hyperbolic and circular propagation, respectively. (a,b) Images of the real part of the near-field amplitude distribution (Ez) on top of a 20 nm α-MoO3 film; (c,d) real part of Ez on top of graphene under different excitation frequencies.
Micromachines 13 01955 g002
Figure 3. Schematic of the polariton hybridization in graphene/α-MoO3 heterostructure.
Figure 3. Schematic of the polariton hybridization in graphene/α-MoO3 heterostructure.
Micromachines 13 01955 g003
Figure 4. Analytical dispersion of polariton in graphene and α-MoO3. Dispersion of PhPs in bare slabs of α-MoO3 with different thicknesses surrounded by vacuum (solid lines), as well as the dispersion of PPs in a graphene sheet surrounded by a semi-infinite air and a semi-infinite dielectric environment of α-MoO3 for different Fermi energies (dashed lines). (a) Dispersion along [100] and (b) [001] crystal directions.
Figure 4. Analytical dispersion of polariton in graphene and α-MoO3. Dispersion of PhPs in bare slabs of α-MoO3 with different thicknesses surrounded by vacuum (solid lines), as well as the dispersion of PPs in a graphene sheet surrounded by a semi-infinite air and a semi-infinite dielectric environment of α-MoO3 for different Fermi energies (dashed lines). (a) Dispersion along [100] and (b) [001] crystal directions.
Micromachines 13 01955 g004
Figure 5. Hybrid polariton evolution in graphene/α-MoO3 heterostructure as a function of frequency and Fermi energy. (ad) Simulated electric field spatial distribution (top panels) and corresponding colorplots IFCs (bottom panels) of hybrid polaritons at high-frequency bands for Fermi energies of 0.1, 0.2, 0.3, and 0.4 eV, respectively. (eh) Electric field spatial distribution (top panels) and the corresponding colorplots IFCs at the low-frequency band.
Figure 5. Hybrid polariton evolution in graphene/α-MoO3 heterostructure as a function of frequency and Fermi energy. (ad) Simulated electric field spatial distribution (top panels) and corresponding colorplots IFCs (bottom panels) of hybrid polaritons at high-frequency bands for Fermi energies of 0.1, 0.2, 0.3, and 0.4 eV, respectively. (eh) Electric field spatial distribution (top panels) and the corresponding colorplots IFCs at the low-frequency band.
Micromachines 13 01955 g005
Figure 6. Near-field interference patterns of hybrid polaritons in graphene/α-MoO3 heterostructure micro-flakes. (ad) The near-field amplitude interference patterns (top panel) and phase images (bottom panel) on top of the graphene/α-MoO3 micro-flakes at the high-frequency band. (eh) The near-field amplitude and phase images on top of the graphene/α-MoO3 micro-flakes at the low frequency band.
Figure 6. Near-field interference patterns of hybrid polaritons in graphene/α-MoO3 heterostructure micro-flakes. (ad) The near-field amplitude interference patterns (top panel) and phase images (bottom panel) on top of the graphene/α-MoO3 micro-flakes at the high-frequency band. (eh) The near-field amplitude and phase images on top of the graphene/α-MoO3 micro-flakes at the low frequency band.
Micromachines 13 01955 g006
Publisher’s Note: MDPI stays neutral with regard to jurisdictional claims in published maps and institutional affiliations.

Share and Cite

MDPI and ACS Style

Li, S.; Xu, J.; Xie, Y. Active Tuning and Anisotropic Strong Coupling of Terahertz Polaritons in Van der Waals Heterostructures. Micromachines 2022, 13, 1955. https://doi.org/10.3390/mi13111955

AMA Style

Li S, Xu J, Xie Y. Active Tuning and Anisotropic Strong Coupling of Terahertz Polaritons in Van der Waals Heterostructures. Micromachines. 2022; 13(11):1955. https://doi.org/10.3390/mi13111955

Chicago/Turabian Style

Li, Shaopeng, Junhao Xu, and Yajie Xie. 2022. "Active Tuning and Anisotropic Strong Coupling of Terahertz Polaritons in Van der Waals Heterostructures" Micromachines 13, no. 11: 1955. https://doi.org/10.3390/mi13111955

APA Style

Li, S., Xu, J., & Xie, Y. (2022). Active Tuning and Anisotropic Strong Coupling of Terahertz Polaritons in Van der Waals Heterostructures. Micromachines, 13(11), 1955. https://doi.org/10.3390/mi13111955

Note that from the first issue of 2016, this journal uses article numbers instead of page numbers. See further details here.

Article Metrics

Back to TopTop