Metasurfaces Assisted Twisted α-MoO3 for Spinning Thermal Radiation
Abstract
1. Introduction
2. Theory and Method
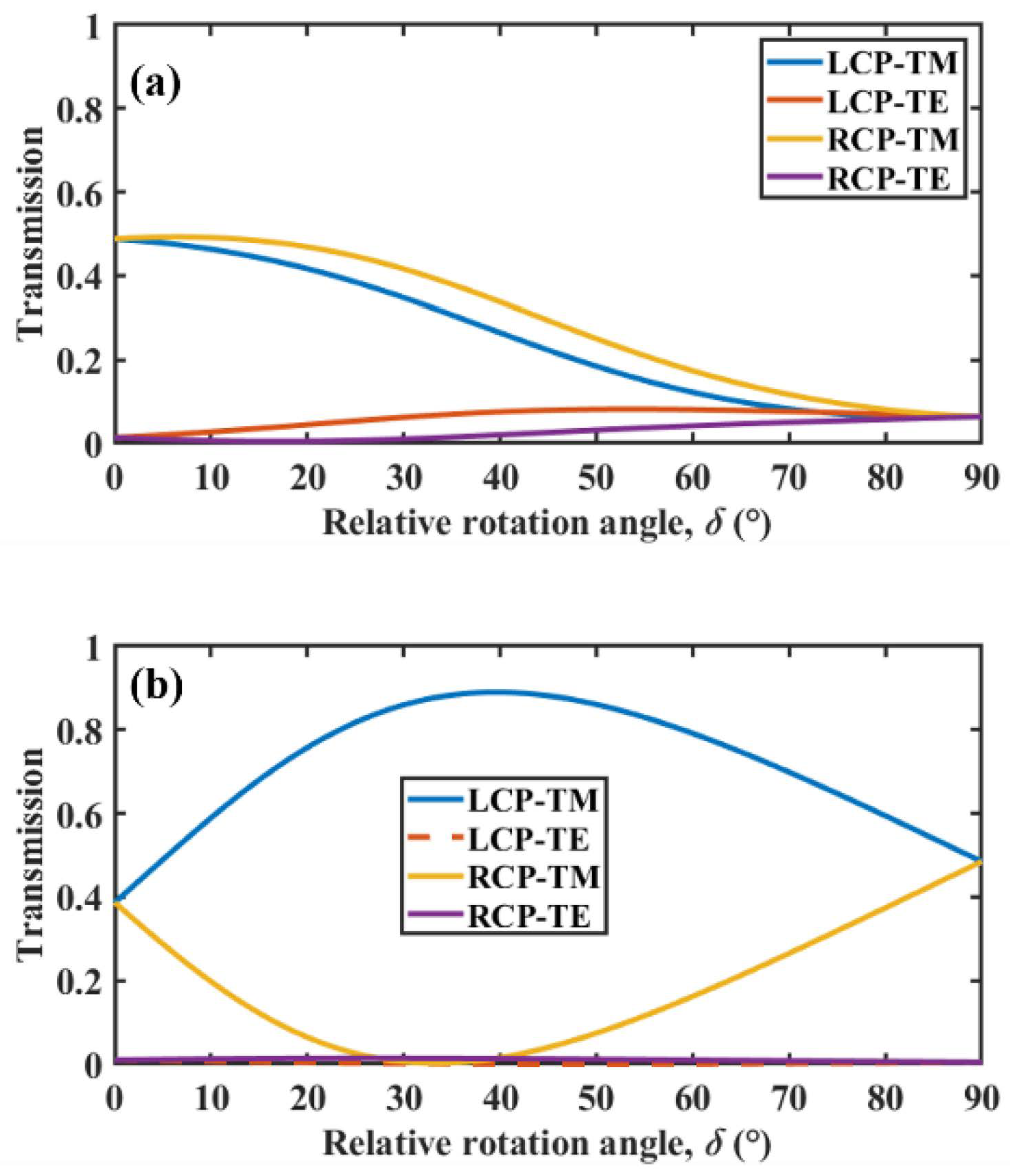
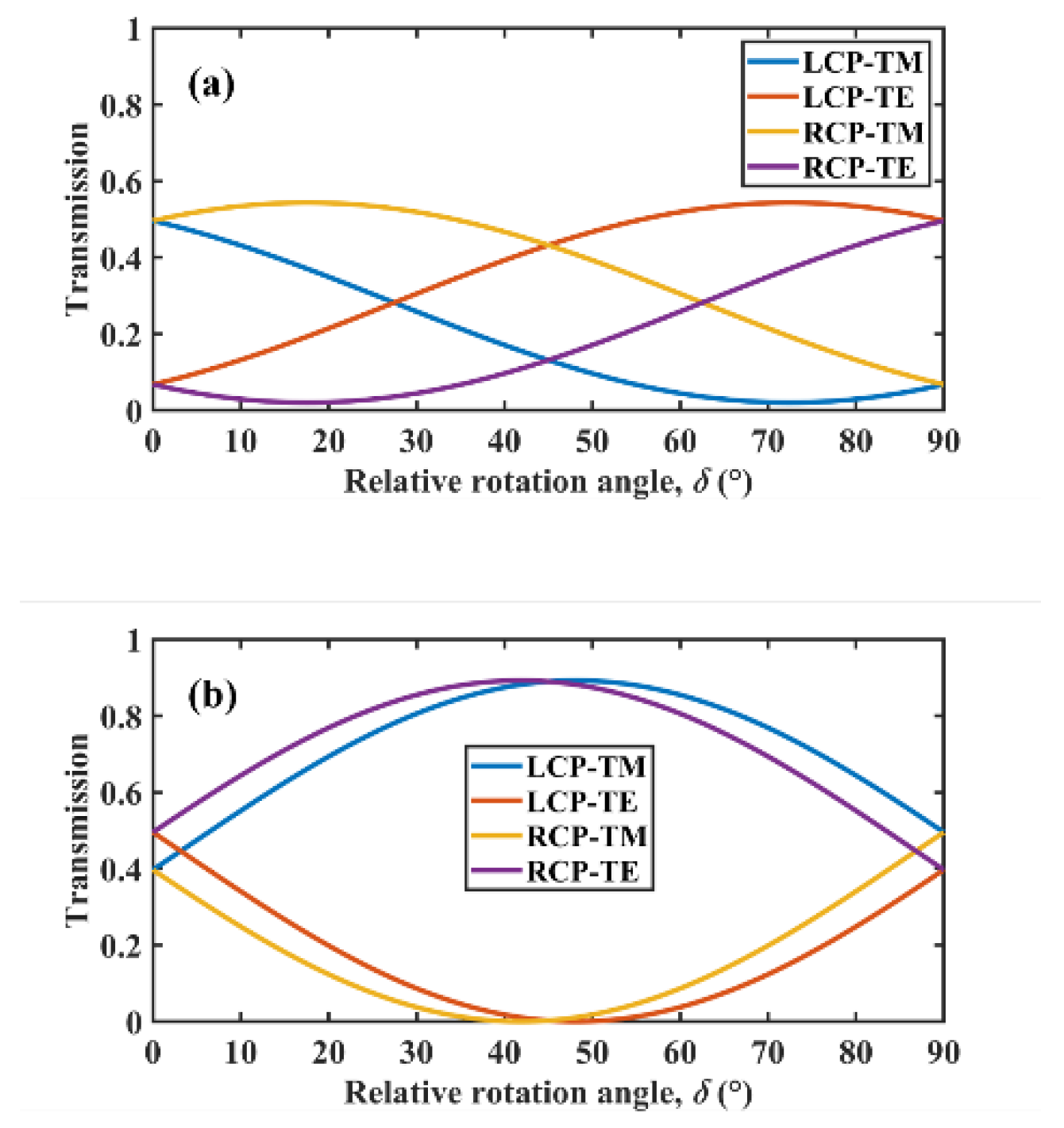
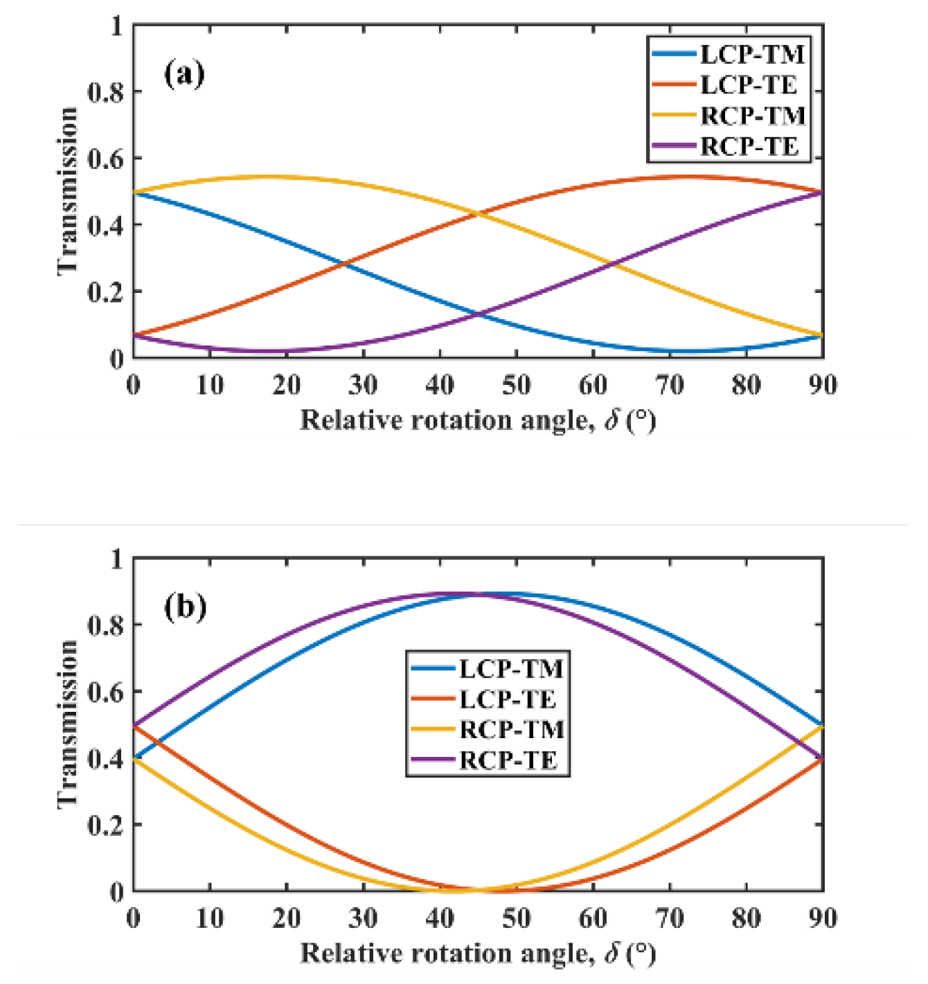
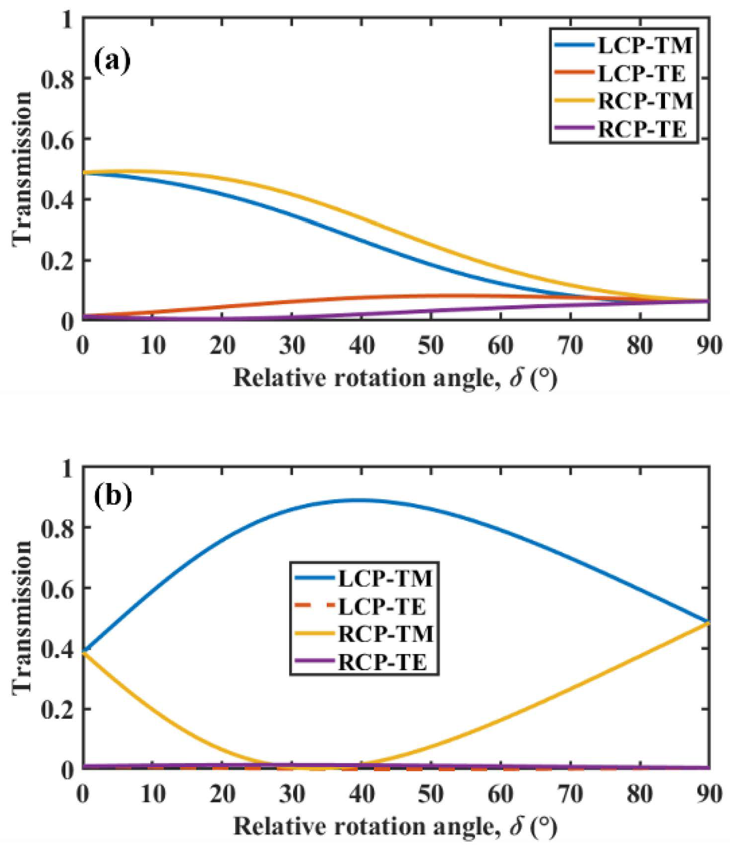
3. Results and Discussion
4. Conclusions
Author Contributions
Funding
Data Availability Statement
Conflicts of Interest
References
- Rephaeli, E.; Fan, S. Absorber and emitter for solar thermo-photovoltaic systems to achieve efficiency exceeding the Shockley-Queisser limit. Opt. Express 2009, 17, 15145–15159. [Google Scholar] [CrossRef] [PubMed]
- Fan, S. An alternative’Sun’for solar cells. Nat. Nanotechnol. 2014, 9, 92–93. [Google Scholar] [CrossRef] [PubMed]
- Lenert, A.; Bierman, D.M.; Nam, Y.; Chan, W.R.; Celanović, I.; Soljačić, M.; Wang, E.N. A nanophotonic solar thermophotovoltaic device. Nat. Nanotechnol. 2014, 9, 126–130. [Google Scholar] [CrossRef] [PubMed]
- Bierman, D.M.; Lenert, A.; Chan, W.R.; Bhatia, B.; Celanović, I.; Soljačić, M.; Wang, E.N. Enhanced photovoltaic energy conversion using thermally based spectral shaping. Nat. Energy 2016, 1, 16068. [Google Scholar] [CrossRef]
- Greffet, J.-J.; Carminati, R.; Joulain, K.; Mulet, J.-P.; Mainguy, S.; Cheng, Y. Coherent emission of light by thermal sources. Nature 2002, 416, 61–64. [Google Scholar] [CrossRef]
- Guo, Y.; Cortes, C.L.; Molesky, S.; Jacob, Z. Broadband super-Planckian thermal emission from hyperbolic metamaterials. Appl. Phys. Lett. 2012, 101, 131106. [Google Scholar] [CrossRef]
- Wang, L.; Zhang, Z.M. Measurement of Coherent Thermal Emission Due to Magnetic Polaritons in Subwavelength Microstructures. J. Heat Transf. 2013, 135, 091505. [Google Scholar] [CrossRef]
- Bermel, P.; Boriskina, S.V.; Yu, Z.; Joulain, K. Control of radiative processes for energy conversion and harvesting. Opt. Express 2015, 23, A1533–A1540. [Google Scholar] [CrossRef]
- Li, W.; Fan, S. Nanophotonic control of thermal radiation for energy applications [Invited]. Opt. Express 2018, 26, 15995–16021. [Google Scholar] [CrossRef]
- Miller, D.A.B.; Zhu, L.; Fan, S. Universal modal radiation laws for all thermal emitters. Proc. Natl. Acad. Sci. USA 2017, 114, 4336–4341. [Google Scholar] [CrossRef]
- Sai, H.; Kanamori, Y.; Yugami, H. High-temperature resistive surface grating for spectral control of thermal radiation. Appl. Phys. Lett. 2003, 82, 1685–1687. [Google Scholar] [CrossRef]
- Biswas, R.; Ding, C.G.; Puscasu, I.; Pralle, M.; McNeal, M.; Daly, J.; Greenwald, A.; Johnson, E. Theory of subwavelength hole arrays coupled with photonic crystals for extraordinary thermal emission. Phys. Rev. B 2006, 74, 045107. [Google Scholar] [CrossRef]
- Costantini, D.; Lefebvre, A.; Coutrot, A.-L.; Moldovan-Doyen, I.; Hugonin, J.-P.; Boutami, S.; Marquier, F.; Benisty, H.; Greffet, J.-J. Plasmonic Metasurface for Directional and Frequency-Selective Thermal Emission. Phys. Rev. Appl. 2015, 4. [Google Scholar] [CrossRef]
- Lodahl, P.; Mahmoodian, S.; Stobbe, S.; Rauschenbeutel, A.; Schneeweiss, P.; Volz, J.; Pichler, H.; Zoller, P. Chiral quantum optics. Nature 2017, 541, 473–480. [Google Scholar] [CrossRef] [PubMed]
- Kwon, D.-H.; Werner, P.L.; Werner, D.H. Optical planar chiral metamaterial designs for strong circular dichroism and polarization rotation. Opt. Express 2008, 16, 11802–11807. [Google Scholar] [CrossRef]
- Tang, Y.; Cohen, A.E. Optical Chirality and Its Interaction with Matter. Phys. Rev. Lett. 2010, 104, 163901. [Google Scholar] [CrossRef]
- Mitsch, R.; Sayrin, C.; Albrecht, B.; Schneeweiss, P.; Rauschenbeutel, A. Quantum state-controlled directional spontaneous emission of photons into a nanophotonic waveguide. Nat. Commun. 2014, 5, 5713. [Google Scholar] [CrossRef]
- Liang, Y.; Lin, H.; Koshelev, K.; Zhang, F.; Yang, Y.; Wu, J.; Kivshar, Y.; Jia, B. Full-stokes polarization perfect absorption with diatomic metasurfaces. Nano Lett. 2021, 21, 1090–1095. [Google Scholar] [CrossRef]
- Ji, C.Y.; Chen, S.; Han, Y.; Liu, X.; Liu, J.; Li, J.; Yao, Y. Artificial Propeller Chirality and Counterintuitive Reversal of Circular Dichroism in Twisted Meta-molecules. Nano Lett. 2021, 21, 6828–6834. [Google Scholar] [CrossRef]
- Khandekar, C.C.; Khosravi, F.; Li, Z.; Jacob, Z. New spin-resolved thermal radiation laws for nonreciprocal bianisotropic media. New J. Phys. 2020, 22, 123005. [Google Scholar] [CrossRef]
- Khandekar, C.; Jacob, Z. Circularly Polarized Thermal Radiation From Nonequilibrium Coupled Antennas. Phys. Rev. Appl. 2019, 12, 014053. [Google Scholar] [CrossRef]
- Khan, E.; Narimanov, E.E. Spinning Radiation from Topological Insulator. Phys. Rev. B 2019, 100, 081408. [Google Scholar] [CrossRef]
- Dyakov, S.; Ignatov, A.; Tikhodeev, S.; Gippius, N. Circularly polarized thermal emission from chiral metasurface in the absence of magnetic field. J. Phys. Conf. Ser. 2018, 1092, 012028. [Google Scholar] [CrossRef]
- Wu, B.; Wang, M.; Yu, P.; Wu, F.; Wu, X. Strong circular dichroism triggered by near-field perturbation. Opt. Mater. 2021, 118, 111255. [Google Scholar] [CrossRef]
- Dyakov, S.A.; Semenenko, V.A.; Gippius, N.A.; Tikhodeev, S.G. Magnetic field free circularly polarized thermal emission from a chiral metasurface. Phys. Rev. B 2018, 98, 235416. [Google Scholar] [CrossRef]
- Hu, L.; Chui, S.T. Characteristics of electromagnetic wave propagation in uniaxially anisotropic left-handed materials. Phys. Rev. B 2002, 66, 085108. [Google Scholar] [CrossRef]
- Smith, D.R.; Schurig, D. Electromagnetic Wave Propagation in Media with Indefinite Permittivity and Permeability Tensors. Phys. Rev. Lett. 2003, 90, 077405. [Google Scholar] [CrossRef]
- Smolyaninov, I.I.; Narimanov, E.E. Metric signature transitions in optical metamaterials. Phys. Rev. Lett. 2010, 105. [Google Scholar] [CrossRef]
- Jacob, Z.; Smolyaninov, I.; Narimanov, E.E. Broadband purcell effect: Radiative decay engineering with metamaterials. Appl. Phys. Lett. 2012, 100, 181105. [Google Scholar] [CrossRef]
- Poddubny, A.; Belov, P.A.; Kivshar, Y.S. Spontaneous radiation of a finite-size dipole emitter in hyperbolic media. Phys. Rev. A 2011, 84, 023807. [Google Scholar] [CrossRef]
- Potemkin, A.S.; Poddubny, A.; Belov, P.A.; Kivshar, Y.S. Green function for hyperbolic media. Phys. Rev. A 2012, 86, 023848. [Google Scholar] [CrossRef]
- Jacob, Z.; Alekseyev, L.V.; Narimanov, E. Optical Hyperlens: Far-field imaging beyond the diffraction limit. Opt. Express 2006, 14, 8247–8256. [Google Scholar] [CrossRef] [PubMed]
- Feng, S.; Elson, J.M. Diffraction-suppressed high-resolution imaging through metallodielectric nanofilms. Opt. Express 2006, 14, 216–221. [Google Scholar] [CrossRef] [PubMed]
- Bénédicto, J.; Centeno, E.; Moreau, A. Lens equation for flat lenses made with hyperbolic metamaterials. Opt. Lett. 2012, 37, 4786–4788. [Google Scholar] [CrossRef]
- Smith, D.R.; Kolinko, P.; Schurig, D. Negative refraction in indefinite media. J. Opt. Soc. Am. B 2004, 21, 1032–1043. [Google Scholar] [CrossRef]
- Hoffman, A.J.; Alekseyev, L.; Howard, S.; Franz, K.J.; Wasserman, D.; Podolskiy, V.; Narimanov, E.E.; Sivco, D.L.; Gmachl, C. Negative refraction in semiconductor metamaterials. Nat. Mater. 2007, 6, 946–950. [Google Scholar] [CrossRef]
- Guclu, C.; Campione, S.; Capolino, F. Hyperbolic metamaterial as super absorber for scattered fields generated at its surface. Phys. Rev. B 2012, 86, 205130. [Google Scholar] [CrossRef]
- Ramos-Ortiz, G.; Oki, Y.; Domercq, B.; Kippelen, B. Förster energy transfer from a fluorescent dye to a phosphorescent dopant: A concentration and intensity study. Phys. Chem. Chem. Phys. 2002, 4, 4109–4114. [Google Scholar] [CrossRef]
- Masters, B.R. Paths to Förster’s resonance energy transfer (FRET) theory. Eur. Phys. J. H 2014, 39, 87–139. [Google Scholar] [CrossRef]
- Biehs, S.-A.; Menon, V.M.; Agarwal, G.S. Long-range dipole-dipole interaction and anomalous Förster energy transfer across a hyperbolic metamaterial. Phys. Rev. B 2016, 93, 245439. [Google Scholar] [CrossRef]
- Liu, P.; Zhou, L.; Tang, J.; Wu, B.; Liu, H.; Wu, X. Spinning thermal radiation from twisted two different anisotropic materials. Opt. Express 2022, 30, 32722–32730. [Google Scholar] [CrossRef] [PubMed]
- Wu, B.; Wang, M.; Wu, F.; Wu, X. Strong extrinsic chirality in biaxial hyperbolic material α-MoO3 with in-plane anisotropy. Appl. Opt. 2021, 60, 4599–4605. [Google Scholar] [CrossRef] [PubMed]
- Wu, B.; Shi, Z.; Wu, F.; Wu, X. Strong chirality in twisted bilayer 𝛽-MoO3. Chin. Phys. B 2022, 31, 41011–41018. [Google Scholar] [CrossRef]
- Kong, X.-T.; Khorashad, L.K.; Wang, Z.; Govorov, A.O. Photothermal circular dichroism induced by plasmon resonances in chiral metamaterial absorbers and bolometers. Nano Lett. 2018, 18, 2001–2008. [Google Scholar] [CrossRef]
- Chen, Y.; Gao, J.; Yang, X. Chiral metamaterials of plasmonic slanted nanoapertures with symmetry breaking. Nano Lett. 2017, 18, 520–527. [Google Scholar] [CrossRef]
- Zhang, M.; Hao, D.; Wang, S.; Li, R.; Wang, S.; Ma, Y.; Moro, R.; Ma, L. Chiral biosensing using terahertz twisted chiral metamaterial. Opt. Express 2022, 30, 14651. [Google Scholar] [CrossRef]
- Kotov, O.V.; Lozovik, Y.E. Enhanced optical activity in hyperbolic metasurfaces. Phys. Rev. B 2017, 96, 54031–540312. [Google Scholar] [CrossRef]
- Huo, P.; Zhang, S.; Liang, Y.; Lu, Y.; Xu, T. Hyperbolic metamaterials and metasurfaces: Fundamentals and applications. Adv. Opti. Mater. 2019, 7, 1801616. [Google Scholar] [CrossRef]
- Huang, W.; Folland, T.G.; Sun, F.; Zheng, Z.; Xu, N.; Xing, Q.; Jiang, J.; Caldwell, J.D.; Yan, H.; Chen, H.; et al. In-plane hyperbolic polariton tuner in terahertz and long-wave infrared regimes. arXiv 2022, arXiv:2206.10433. [Google Scholar]
- Wu, X.; Fu, C.; Zhang, Z.M. Near-field radiative heat transfer between two α-MoO3 biaxial crystals. J. Heat Transfer 2020, 142, 28021–280210. [Google Scholar] [CrossRef]
- Zheng, Z.; Xu, N.; Oscurato, S.L.; Tamagnone, M.; Sun, F.; Jiang, Y.; Ke, Y.; Chen, J.; Huang, W.; Wilson, W.L.; et al. A mid-infrared biaxial hyperbolic van der Waals crystal. Sci. Adv. 2019, 5, eaav8690. [Google Scholar] [CrossRef] [PubMed]
- Li, P.; Dolado, I.; Alfaro-Mozaz, F.J.; Casanova, F.; Hueso, L.E.; Liu, S.; Edgar, J.H.; Nikitin, A.Y.; Vélez, S.; Hillenbrand, R. Infrared hyperbolic metasurface based on nanostructured van der Waals materials. Science 2018, 359, 892–896. [Google Scholar] [CrossRef] [PubMed]
- Liu, H.; Ai, Q.; Ma, M.; Wang, Z.; Xie, M. Prediction of spectral absorption of anisotropic α-MoO3 nanostructure using deep neural networks. Int. J. Therm. Sci. 2022, 177, 107587. [Google Scholar] [CrossRef]






| Physical Parameter | Value | Physical Parameter | Value |
|---|---|---|---|
| 4 | 1014 rad/s | ||
| 5.2 | 1014 rad/s | ||
| 2.4 | 1014 rad/s | ||
| 1014 rad/s | 1011 rad/s | ||
| 1014 rad/s | 1011 rad/s | ||
| 1014 rad/s | 1011 rad/s |
Publisher’s Note: MDPI stays neutral with regard to jurisdictional claims in published maps and institutional affiliations. |
© 2022 by the authors. Licensee MDPI, Basel, Switzerland. This article is an open access article distributed under the terms and conditions of the Creative Commons Attribution (CC BY) license (https://creativecommons.org/licenses/by/4.0/).
Share and Cite
Sun, Y.; Zhang, D.; Wu, B.; Liu, H.; Yang, B.; Wu, X. Metasurfaces Assisted Twisted α-MoO3 for Spinning Thermal Radiation. Micromachines 2022, 13, 1757. https://doi.org/10.3390/mi13101757
Sun Y, Zhang D, Wu B, Liu H, Yang B, Wu X. Metasurfaces Assisted Twisted α-MoO3 for Spinning Thermal Radiation. Micromachines. 2022; 13(10):1757. https://doi.org/10.3390/mi13101757
Chicago/Turabian StyleSun, Yasong, Derui Zhang, Biyuan Wu, Haotuo Liu, Bing Yang, and Xiaohu Wu. 2022. "Metasurfaces Assisted Twisted α-MoO3 for Spinning Thermal Radiation" Micromachines 13, no. 10: 1757. https://doi.org/10.3390/mi13101757
APA StyleSun, Y., Zhang, D., Wu, B., Liu, H., Yang, B., & Wu, X. (2022). Metasurfaces Assisted Twisted α-MoO3 for Spinning Thermal Radiation. Micromachines, 13(10), 1757. https://doi.org/10.3390/mi13101757

