An Improved End-to-End Autoencoder Based on Reinforcement Learning by Using Decision Tree for Optical Transceivers
Abstract
:1. Introduction
2. Principe of Proposed End-to-End Optical Fiber System with the Adaboost Algorithm Receiver Design
2.1. The Design of End-to-End Optical Fiber System with the Adaboost Algorithm Receiver
2.2. The Design of ANN Transmitter
2.3. The Design of the Adaboost Algorithm Receiver
2.4. The Design of Optical Fiber Simulation Channel
3. Experimental Verifications and Discussions
3.1. The Parameter and Method of System Training
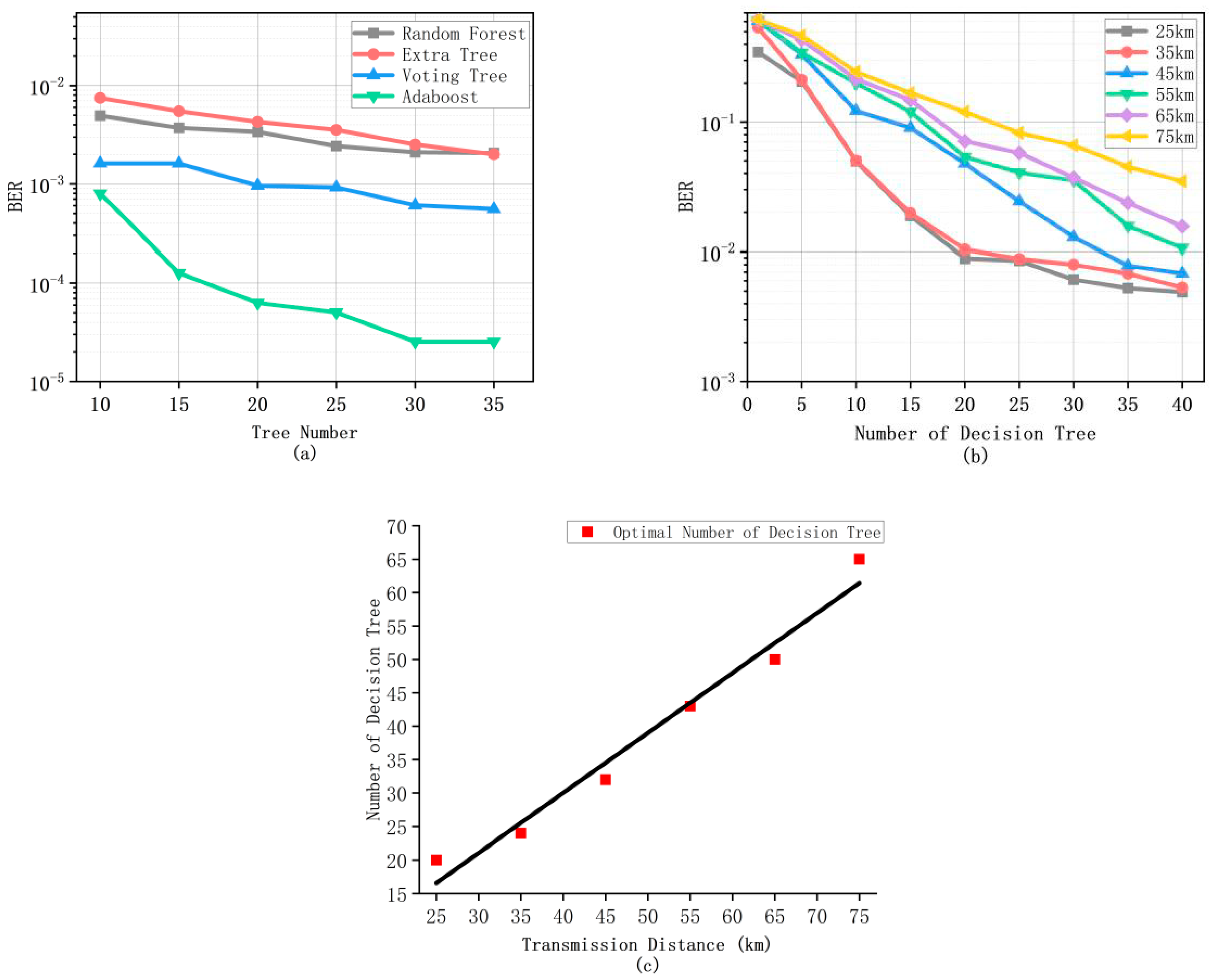
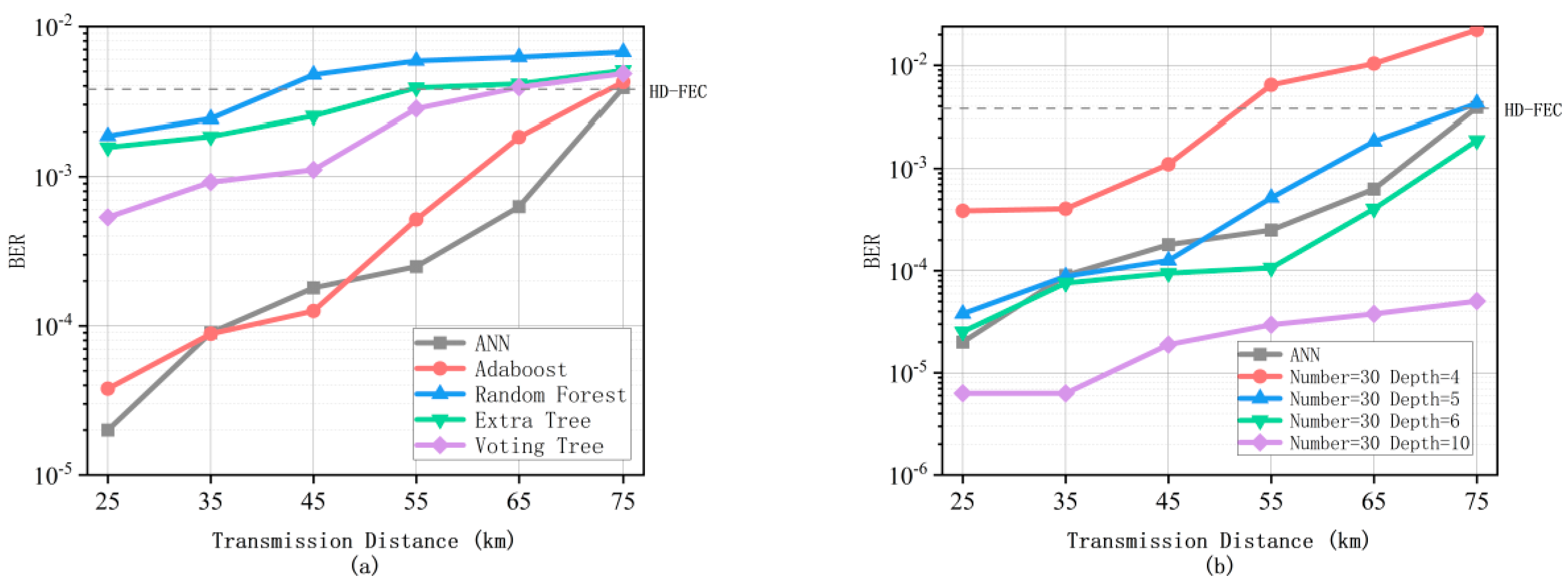
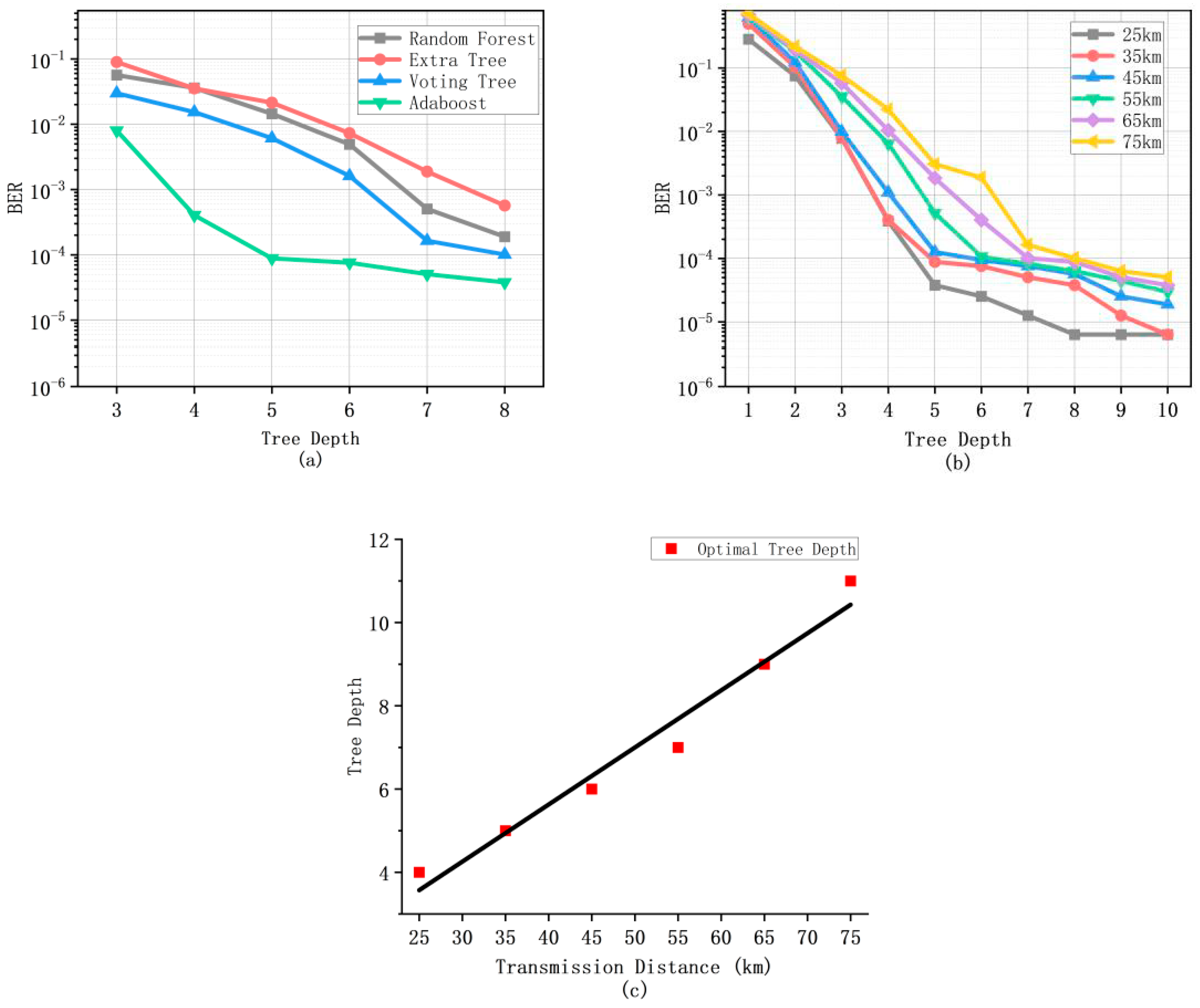
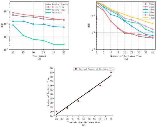
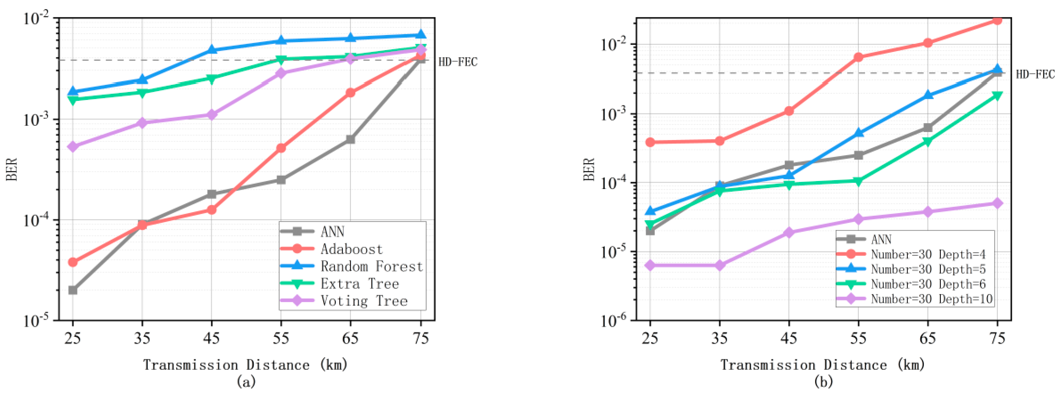
3.2. Experimental Setup and Results Discussions
4. Conclusions
Author Contributions
Funding
Conflicts of Interest
References
- Mata, J.; de Miguel, I.; Durán, R.J.; Merayo, N.; KumarSingh, S.; Jukan, A.; Chamania, M. Artificial intelligence (AI) methods in optical networks: A compre-hensive survey. Opt. Switch. Netw. 2018, 28, 43–57. [Google Scholar] [CrossRef]
 - Khan, F.N.; Lu, C.; Lau, A.P.T. Machine Learning Methods for Optical Communication Systems. In Proceedings of the Advanced Photonics 2017 (IPR, NOMA, Sensors, Networks, SPPCom, PS), OSA Technical Digest (Online) (Optical Society of America, 2017), New Orleans, LA, USA, 24–27 July 2017. [Google Scholar]
 - Dai, X.; Li, X.; Luo, M.; You, Q.; Yu, S. LSTM networks enabled nonlinear equalization in 50-Gb/s PAM-4 transmission links. Appl. Opt. 2019, 58, 6079–6084. [Google Scholar] [CrossRef] [PubMed]
 - Zhang, Q.; Jiang, Y.; Zhou, H.; Deng, C.; Duan, S.; Wang, Z.; Li, Y.; Song, Y.; Chen, J.; Zhang, J.; et al. 137 Gb/s PAM-4 Transmissions at 850 nm over 40 cm Optical Backplane with 25 G Devices with Improved Neural Network-Based Equalization. Appl. Sci. 2019, 9, 5095. [Google Scholar] [CrossRef] [Green Version]
 - Felix, A.; Cammerer, S.; Dorner, S.; Hoydis, J.; Brink, S.T. OFDM-Autoencoder for End-to-End Learning of Communications Systems. In Proceedings of the 2018 IEEE 19th International Workshop on Signal Processing Advances in Wireless Communications (SPAWC), Kalamata, Greece, 25–28 June 2018. [Google Scholar] [CrossRef] [Green Version]
 - Xu, Z.; Sun, C.; Ji, T.; Manton, J.H.; Shieh, W. Cascade recurrent neural network-assisted nonlinear equalization for a 100 Gb/s PAM4 short-reach direct detection system. Opt. Lett. 2020, 45, 4216–4219. [Google Scholar] [CrossRef] [PubMed]
 - Li, S.; Hager, C.; Garcia, N.; Wymeersch, H. Achievable Information Rates for Nonlinear Fiber Communication via End-to-end Autoencoder Learning. In Proceedings of the 2018 European Conference on Optical Communication (ECOC), Rome, Italy, 23–27 September 2018; pp. 1–3. [Google Scholar] [CrossRef] [Green Version]
 - Aoudia, F.A.; Hoydis, J. End-to-End Learning of Communications Systems without a Channel Model. In Proceedings of the 2018 52nd Asilomar Conference on Signals, Systems, and Computers, Pacific Grove, CA, USA, 28–31 October 2018; pp. 298–303. [Google Scholar] [CrossRef] [Green Version]
 - Ye, H.; Li, G.Y.; Juang, B.-H.F.; Sivanesan, K. Channel Agnostic End-to-End Learning Based Communication Systems with Conditional GAN. In Proceedings of the 2018 IEEE Globecom Workshops (GC Wkshps), Abu Dhabi, United Arab Emirates, 9–13 December 2018. [Google Scholar] [CrossRef] [Green Version]
 - O’Shea, T.; Hoydis, J. An Introduction to Deep Learning for the Physical Layer. IEEE Trans. Cogn. Commun. Netw. 2017, 3, 563–575. [Google Scholar] [CrossRef] [Green Version]
 - Dorner, S.; Cammerer, S.; Hoydis, J.; Brink, S.T. Deep Learning Based Communication Over the Air. IEEE J. Sel. Top. Signal Process. 2017, 12, 132–143. [Google Scholar] [CrossRef] [Green Version]
 - Goodfellow, I.; Bengio, Y.; Courville, A.; Bengio, Y. Deep Learning; MIT Press Cambridge: Cambridge, MA, USA, 2016; Volume 1. [Google Scholar]
 - Kingma, D.; Ba, J. Adam: A method for stochastic optimization. arXiv 2014, arXiv:1412.6980. [Google Scholar]
 - O’Shea, T.J.; Erpek, T.; Clancy, T.C. Clancy, Physical layer deep learning of encodings for the MIMO fading channel. In Proceedings of the 2017 55th Annual Allerton Conference on Communication, Control and Computing (Allerton), Monticello, IL, USA, 3–6 October 2017; pp. 76–80. [Google Scholar]
 - Karanov, B.; Chagnon, M.; Thouin, F.; Eriksson, T.A.; Bulow, H.; Lavery, D.; Bayvel, P.; Schmalen, L. End-to-End Deep Learning of Optical Fiber Communications. J. Light. Technol. 2018, 36, 4843–4855. [Google Scholar] [CrossRef]
 - Karanov, B.; Lavery, D.; Bayvel, P.; Schmalen, L. End-to-end optimized transmission over dispersive intensity-modulated channels using bidirectional recurrent neural networks. Opt. Express 2019, 27, 19650–19663. [Google Scholar] [CrossRef] [PubMed]
 - Gaiarin, S.; Jones, R.T.; Da Ros, F.; Zibar, D. End-to-end optimized nonlinear Fourier transform-based coherent communications. In Proceedings of the Conference on Lasers and Electro-Optics (CLEO), San Jose, CA, USA, 10–15 May 2020. Paper SF2L.4. [Google Scholar]
 - Gaiarin, S.; Da Ros, F.; Jones, R.T.; Zibar, D. End-to-End Optimization of Coherent Optical Communications Over the Split-Step Fourier Method Guided by the Nonlinear Fourier Transform Theory. J. Light. Technol. 2021, 39, 418–428. [Google Scholar] [CrossRef]
 - Jones, R.T.; Eriksson, T.A.; Yankov, M.P.; Zibar, D. Deep Learning of Geometric Constellation Shaping Including Fiber Nonlinearities. In Proceedings of the 2018 European Conference on Optical Communication (ECOC), Rome, Italy, 23–27 September 2018; pp. 1–3. [Google Scholar]
 - Jones, R.; Yankov, M.; Zibar, D. End-to-end Learning for GMI Optimized Geometric Constellation Shape. In Proceedings of the 45th European Conference on Optical Communication (ECOC 2019), Dublin, Ireland, 22–26 September 2019; pp. 1–4. [Google Scholar] [CrossRef]
 - Schaedler, M.; Calabrò, S.; Pittalà, F.; Böcherer, G.; Kuschnerov, M.; Bluemm, C.; Pachnicke, S. Neural Network Assisted Geometric Shaping for 800Gbit/s and 1Tbit/s Optical Transmission. In Proceedings of the 2020 Optical Fiber Communications Conference and Exhibition (OFC), San Diego, CA, USA, 8–12 March 2020; Volume Part F174. pp. 3–5. [Google Scholar] [CrossRef]
 - Karanov, B.; Chagnon, M.; Aref, V.; Lavery, D.; Bayvel, P.; Schmalen, L. Concept and experimental demonstration of optical IM/DD end-to-end system optimization using a generative model. In Proceedings of the 2020 Optical Fiber Communications Conference and Exhibition (OFC), San Diego, CA, USA, 8–12 March 2020; pp. 1–3. [Google Scholar]
 - Aoudia, F.A.; Hoydis, J. Model-Free Training of End-to-End Communication Systems. IEEE J. Sel. Areas Commun. 2019, 37, 2503–2516. [Google Scholar] [CrossRef] [Green Version]
 - Raj, V.; Kalyani, S. Backpropagating through the Air: Deep Learning at Physical Layer Without Channel Models. IEEE Commun. Lett. 2018, 22, 2278–2281. [Google Scholar] [CrossRef]
 - Yang, H.; Niu, Z.; Xiao, S.; Fang, J.; Liu, Z.; Fainsin, D.; Yi, L. Fast and Accurate Optical Fiber Channel Modeling Using Generative Adversarial Network. J. Light. Technol. 2021, 39, 1322–1333. [Google Scholar] [CrossRef]
 - Young, D.; Ferryman, J. Faster learning via optimised adaboost. In Proceedings of the IEEE Conference on Advanced Video and Signal Based Surveillance, Como, Italy, 15–16 September 2005; pp. 400–405. [Google Scholar]
 - Zhang, Q.; Wang, Z.; Duan, S.; Jiang, N.; Cao, B.; Wu, Y. An Improved End-to-end Optical Transmission System Based on Deep Learning. In Proceedings of the 2021 19th International Conference on Optical Communications and Networks (ICOCN), Qu Fu, China, 23–27 August 2021; pp. 1–3. [Google Scholar] [CrossRef]
 - Numpy Library. 2021. Available online: https://www.numpy.org/ (accessed on 21 December 2021).
 - Assran, M.; Loizou, N.; Ballas, N.; Rabbat, M. Stochastic gradient push for distributed deep learning. In Proceedings of the International Conference on Machine Learning, Long Beach, CA, USA, 9–15 June 2019; Volume 97, pp. 344–353. [Google Scholar]
 - Tensorflow Library. 2021. Available online: https://www.tensorflow.org/ (accessed on 21 December 2021).
 - Scikit-Learn Library. 2021. Available online: https://www.scikit-learn.org/ (accessed on 21 December 2021).
 - Eriksson, T.A.; Bulow, H.; Leven, A. Applying Neural Networks in Optical Communication Systems: Possible Pitfalls. IEEE Photon Technol. Lett. 2017, 29, 2091–2094. [Google Scholar] [CrossRef] [Green Version]
 - Karra, T.J.O.K.; Clancy, T.C. Learning to Communicate: Channel Auto-Encoders Domain Specific Regularizers and Attention. In Proceedings of the 2016 IEEE International Symposium on Signal Processing and Information Technology (ISSPIT), Limassol, Cyprus, 12–14 December 2016; pp. 223–228. [Google Scholar]
 - Shu, L.; Li, J.; Wan, Z.; Zhang, W.; Fu, S.; Xu, K. Overestimation Trap of Artificial Neural Network: Learning the Rule of PRBS. In Proceedings of the 2018 European Conference on Optical Communication (ECOC), Rome, Italy, 23–27 September 2018; pp. 1–3. [Google Scholar] [CrossRef]
 - Nardelli, R.; Dall, Z.; Skevoulis, S. Comparing TensorFlow Deep Learning Performance and Experiences Using CPUs via Local PCs and Cloud. In Proceedings of the Solutions Future of Information and Communication Conference, San Francisco, CA, USA, 14–15 March 2019; Springer: Cham, Switzerland, 2019. [Google Scholar]
 








| Parameter | Value | 
|---|---|
| M | 16 | 
| n | 12 | 
| Sampling rate | 84 GSa/s | 
| Symbol rate | 12 GSa/s | 
| Information rate | 4 bit/symbol | 
| LPF bandwidth | 33 GHz | 
| DAC/ADC ENOB | 4 | 
| Fiber dispersion parameter | 17 ps/nm/km | 
| Algorithm | Complexity | |
|---|---|---|
| ANN | ||
| Adaboost Classifier | 
| Algorithm | Complexity | |
|---|---|---|
| ANN | ||
| Adaboost Classifier | 
| Algorithm | Training | Running | 
|---|---|---|
| ANN(CPU) | 287.24 s | 259.64 s | 
| ANN(GPU) | 36.94 s | 143.13 s | 
| Adaboost Classifier | 30.27 s | 7.79 s | 
Publisher’s Note: MDPI stays neutral with regard to jurisdictional claims in published maps and institutional affiliations.  | 
© 2021 by the authors. Licensee MDPI, Basel, Switzerland. This article is an open access article distributed under the terms and conditions of the Creative Commons Attribution (CC BY) license (https://creativecommons.org/licenses/by/4.0/).
Share and Cite
Zhang, Q.; Wang, Z.; Duan, S.; Cao, B.; Wu, Y.; Chen, J.; Zhang, H.; Wang, M. An Improved End-to-End Autoencoder Based on Reinforcement Learning by Using Decision Tree for Optical Transceivers. Micromachines 2022, 13, 31. https://doi.org/10.3390/mi13010031
Zhang Q, Wang Z, Duan S, Cao B, Wu Y, Chen J, Zhang H, Wang M. An Improved End-to-End Autoencoder Based on Reinforcement Learning by Using Decision Tree for Optical Transceivers. Micromachines. 2022; 13(1):31. https://doi.org/10.3390/mi13010031
Chicago/Turabian StyleZhang, Qianwu, Zicong Wang, Shuaihang Duan, Bingyao Cao, Yating Wu, Jian Chen, Hongbo Zhang, and Min Wang. 2022. "An Improved End-to-End Autoencoder Based on Reinforcement Learning by Using Decision Tree for Optical Transceivers" Micromachines 13, no. 1: 31. https://doi.org/10.3390/mi13010031
APA StyleZhang, Q., Wang, Z., Duan, S., Cao, B., Wu, Y., Chen, J., Zhang, H., & Wang, M. (2022). An Improved End-to-End Autoencoder Based on Reinforcement Learning by Using Decision Tree for Optical Transceivers. Micromachines, 13(1), 31. https://doi.org/10.3390/mi13010031
        
                                                
