The Fabrication of Amino Acid Incorporated Nanoflowers with Intrinsic Peroxidase-like Activity and Its Application for Efficiently Determining Glutathione with TMB Radical Cation as Indicator
Abstract
:1. Introduction
2. Materials and Methods
2.1. Materials
2.2. Preparation of Amino Acid-Incorporated Nanoflowers
2.3. Characterization of Amino Acid-Incorporated Nanoflowers
2.4. Analysis of Enzyme Assay
2.4.1. The Assessment of Peroxidase-like Activity
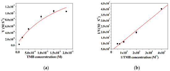
2.4.2. Kinetic Parameters
2.5. The Detection of GSH
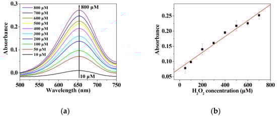
2.5.1. Detection of H2O2
2.5.2. Detection of GSH
2.5.3. The Interference Experiment
2.5.4. Stability and Reusability of the Hybrid Nanoflowers
3. Results and Discussion
3.1. SEM Images of the Hybrid Nanoflowers
3.2. Raman Spectrum
3.3. Diffuse Reflectance UV–Vis Spectra of the Hybrid Nanoflowers
3.4. The Peroxidase-like Activity of the Hybrid Nanoflowers
3.5. The Influence of Temperature and pH on the Mimetic Activity
3.6. Kinetic Analysis
3.7. The Detection of GSH
3.8. The Effect of Interferences Species on the Detection System
4. Conclusions
Supplementary Materials
Author Contributions
Funding
Conflicts of Interest
References
- Sofic, E.; Lange, K.W.; Jellinger, K.; Riederer, P. Reduced and oxidized glutathione in the substantia nigra of patients with Parkinson’s disease. Neurosci. Lett. 1992, 142, 128–130. [Google Scholar] [CrossRef]
- Adams, J., Jr.; Chang, M.-L.; Klaidman, L. Parkinsons Disease-redox mechanisms. Curr. Med. Chem. 2001, 8, 809–814. [Google Scholar] [CrossRef] [PubMed]
- Hudson, V.M. Rethinking cystic fibrosis pathology: The critical role of abnormal reduced glutathione (GSH) transport caused by CFTR mutation. Free Radic. Biol. Med. 2001, 30, 1440–1461. [Google Scholar] [CrossRef]
- Gil, L.; Martínez, G.; González, I.; Tarinas, A.; Álvarez, A.; Giuliani, A.; Molina, R.; Tápanes, R.; Pérez, J.; León, O.S. Contribution to characterization of oxidative stress in HIV/AIDS patients. Pharmacol. Res. 2003, 47, 217–224. [Google Scholar] [CrossRef]
- Staal, F.; Roederer, M.; Herzenberg, L.A. Intracellular thiols regulate activation of nuclear factor kappa B and transcription of human immunodeficiency virus. Proc. Natl. Acad. Sci. USA 1990, 87, 9943–9947. [Google Scholar] [CrossRef] [PubMed] [Green Version]
- Fernández-Checa, J.; Hirano, T.; Tsukamoto, H.; Kaplowitz, N. Mitochondrial glutathione depletion in alcoholic liver disease. Alcohol 1993, 10, 469–475. [Google Scholar] [CrossRef]
- Liu, R.M. Down-regulation of ã-glutamylcysteine synthetase regulatory subunit gene expression in rat brain tissue during aging. J. Neurosci. Res. 2002, 68, 344–351. [Google Scholar] [CrossRef]
- Balendiran, G.K.; Dabur, R.; Fraser, D. The role of glutathione in cancer. Cell Biochem. Funct. 2004, 22, 343–352. [Google Scholar] [CrossRef]
- Rae, C.D.; Williams, S.R. Glutathione in the human brain: Review of its roles and measurement by magnetic resonance spectroscopy. Anal. Biochem. 2017, 529, 127–143. [Google Scholar] [CrossRef]
- Sánchez-Illana, Á.; Mayr, F.; Cuesta-García, D.; Piñeiro-Ramos, J.D.; Cantarero, A.; de la Guardia, M.; Vento, M.; Lendl, B.; Quintás, G.; Kuligowski, J. On-Capillary Surface-Enhanced Raman Spectroscopy: Determination of Glutathione in Whole Blood Microsamples. Anal. Biochem. 2018, 90, 9093–9100. [Google Scholar] [CrossRef]
- Böhmer, A.; Jordan, J.; Tsikas, D. High-performance liquid chromatography ultraviolet assay for human erythrocytic catalase activity by measuring glutathione as o-phthalaldehyde derivative. Anal. Biochem. 2011, 410, 296–303. [Google Scholar] [CrossRef]
- Mitton, K.P.; Trevithick, J.R. High-performance liquid chromatography-electrochemical detection of antioxidants in vertebrate lens: Glutathione, tocopherol, and ascorbate. Methods Enzymol. 1994, 233, 523–539. [Google Scholar] [CrossRef]
- Ramírez-Molina, C.; Burton, L. Screening strategy for the rapid detection of in vitro generated glutathione conjugates using high-performance liquid chromatography and low-resolution mass spectrometry in combination with LightSight® software for data processing. Rapid Commun. Mass Spectrom. 2009, 23, 3501–3512. [Google Scholar] [CrossRef] [PubMed]
- Davey, M.W.; Bauw, G.; Van Montagu, M. Simultaneous high-performance capillary electrophoresis analysis of the reduced and oxidised forms of ascorbate and glutathione. J. Chromatogr. B Biomed. Sci. Appl. 1997, 697, 269–276. [Google Scholar] [CrossRef]
- Hodáková, J.; Preisler, J.; Foret, F.; Kubáň, P. Sensitive determination of glutathione in biological samples by capillary electrophoresis with green (515 nm) laser-induced fluorescence detection. J. Chromatogr. A 2015, 1391, 102–108. [Google Scholar] [CrossRef]
- Wang, W.; Xin, H.; Shao, H.; Jin, W. Determination of glutathione in single human hepatocarcinoma cells by capillary electrophoresis with electrochemical detection. J. Chromatogr. B 2003, 789, 425–429. [Google Scholar] [CrossRef]
- Lee, R.; Britz-McKibbin, P. Differential rates of glutathione oxidation for assessment of cellular redox status and antioxidant capacity by capillary electrophoresis-mass spectrometry: An elusive biomarker of oxidative stress. Anal. Chem. 2009, 81, 7047–7056. [Google Scholar] [CrossRef]
- Yang, C.-S.; Chou, S.-T.; Lin, N.-N.; Liu, L.; Tsai, P.-J.; Kuo, J.-S.; Lai, J.-S. Determination of extracellular glutathione in rat brain by microdialysis and high-performance liquid chromatography with fluorescence detection. J. Chromatogr. B Biomed. Sci. Appl. 1994, 661, 231–235. [Google Scholar] [CrossRef]
- Menon, D.; Board, P.G. A fluorometric method to quantify protein glutathionylation using glutathione derivatization with 2, 3-naphthalenedicarboxaldehyde. Anal. Biochem. 2013, 433, 132–136. [Google Scholar] [CrossRef]
- Pacsial-Ong, E.J.; McCarley, R.L.; Wang, W.; Strongin, R.M. Electrochemical detection of glutathione using redox indicators. Anal. Chem. 2006, 78, 7577–7581. [Google Scholar] [CrossRef] [Green Version]
- Asensi, M.; Sastre, J.; Pallardo, F.V.; Delaasuncion, J.G.; Estrela, J.M.; Viña, J. A high-performance liquid chromatography method for measurement of oxidized glutathione in biological samples. Anal. Biochem. 1994, 217, 323–328. [Google Scholar] [CrossRef] [PubMed]
- Tsardaka, E.-C.; Zacharis, C.K.; Tzanavaras, P.D.; Zotou, A. Determination of glutathione in baker’s yeast by capillary electrophoresis using methyl propiolate as derivatizing reagent. J. Chromatogr. A 2013, 1300, 204–208. [Google Scholar] [CrossRef] [PubMed]
- Zhu, M.; Ma, L.; Zhang, H.; Humphreys, W.G. Detection and structural characterization of glutathione-trapped reactive metabolites using liquid chromatography− high-resolution mass spectrometry and mass defect filtering. Anal. Chem. 2007, 79, 8333–8341. [Google Scholar] [CrossRef] [PubMed]
- Wijtenburg, S.A.; Near, J.; Korenic, S.A.; Gaston, F.E.; Chen, H.; Mikkelsen, M.; Chen, S.; Kochunov, P.; Hong, L.E.; Rowland, L.M. Comparing the reproducibility of commonly used magnetic resonance spectroscopy techniques to quantify cerebral glutathione. J. Magn. Reson. Imaging 2019, 49, 176–183. [Google Scholar] [CrossRef] [Green Version]
- Huang, G.G.; Han, X.X.; Hossain, M.K.; Ozaki, Y. Development of a heat-induced surface-enhanced Raman scattering sensing method for rapid detection of glutathione in aqueous solutions. Anal. Chem. 2009, 81, 5881–5888. [Google Scholar] [CrossRef]
- Becker, A.; Andrikopoulou, C.; Bernhardt, P.; Ocampo-Torres, R.; Trocquet, C.; Le Calvé, S. Development and Optimization of an Airborne Formaldehyde Microfluidic Analytical Device Based on Passive Uptake through a Microporous Tube. Micromachines 2019, 10, 807. [Google Scholar] [CrossRef] [PubMed] [Green Version]
- Wang, Y.; Cao, X.; Messina, W.; Hogan, A.; Ugwah, J.; Alatawi, H.; van Zalen, E.; Moore, E. Development of a Mobile Analytical Chemistry Workstation Using a Silicon Electrochromatography Microchip and Capacitively Coupled Contactless Conductivity Detector. Micromachines 2021, 12, 239. [Google Scholar] [CrossRef] [PubMed]
- Zhang, J.; Lu, L.; Zhang, Z.; Zang, L. Electrochemical Cell-Based Sensor for Detection of Food Hazards. Micromachines 2021, 12, 837. [Google Scholar] [CrossRef]
- Kim, S.D.; Song, S.W.; Oh, D.Y.; Lee, A.C.; Koo, J.W.; Kang, T.; Kim, M.C.; Lee, C.; Jeong, Y.; Jeong, H.Y.; et al. Microspinning: Local Surface Mixing via Rotation of Magnetic Microparticles for Efficient Small-Volume Bioassays. Micromachines 2020, 11, 175. [Google Scholar] [CrossRef] [Green Version]
- Ramöller, I.K.; McAlister, E.; Bogan, A.; Cordeiro, A.S.; Donnelly, R.F. Novel Design Approaches in the Fabrication of Polymeric Microarray Patches via Micromoulding. Micromachines 2020, 11, 554. [Google Scholar] [CrossRef]
- Zhang, Q.; Lu, X.; Chen, T.; Xiao, Y.; Yao, R.; Yao, J. A Miniature Four-Channel Ion Trap Array Based on Non-silicon MEMS Technology. Micromachines 2021, 12, 831. [Google Scholar] [CrossRef]
- Almaviva, S.; Palucci, A.; Aruffo, E.; Rufoloni, A.; Lai, A. Bacillus thuringiensis Cells Selectively Captured by Phages and Identified by Surface Enhanced Raman Spectroscopy Technique. Micromachines 2021, 12, 100. [Google Scholar] [CrossRef] [PubMed]
- Brandner, J.J. In-Situ Measurements in Microscale Gas Flows—Conventional Sensors or Something Else? Micromachines 2019, 10, 292. [Google Scholar] [CrossRef] [PubMed] [Green Version]
- Rahman, I.; Kode, A.; Biswas, S.K. Assay for quantitative determination of glutathione and glutathione disulfide levels using enzymatic recycling method. Nat. Protoc. 2006, 1, 3159. [Google Scholar] [CrossRef]
- Patel, A.K.; Singhania, R.R.; Pandey, A. Chapter 2—Production, Purification, and Application of Microbial Enzymes. In Biotechnology of Microbial Enzymes; Brahmachari, G., Ed.; Academic Press: Cambridge, MA, USA, 2017; pp. 13–41. [Google Scholar]
- Wei, H.; Wang, E. Nanomaterials with enzyme-like characteristics (nanozymes): Next-generation artificial enzymes. Chem. Soc. Rev. 2013, 42, 6060–6093. [Google Scholar] [CrossRef]
- Kumar, V.; Bano, D.; Singh, D.K.; Mohan, S.; Singh, V.K.; Hasan, S.H. Size-dependent synthesis of gold nanoparticles and their peroxidase-like activity for the colorimetric detection of glutathione from human blood serum. ACS Sustain. Chem. Eng. 2018, 6, 7662–7675. [Google Scholar] [CrossRef]
- Feng, J.; Huang, P.; Shi, S.; Deng, K.-Y.; Wu, F.-Y. Colorimetric detection of glutathione in cells based on peroxidase-like activity of gold nanoclusters: A promising powerful tool for identifying cancer cells. Anal. Chim. Acta 2017, 967, 64–69. [Google Scholar] [CrossRef]
- Gao, Y.; Wu, K.; Li, H.; Chen, W.; Fu, M.; Yue, K.; Zhu, X.; Liu, Q. Glutathione detection based on peroxidase-like activity of Co3O4–Montmorillonite nanocomposites. Sens. Actuators B Chem. 2018, 273, 1635–1639. [Google Scholar] [CrossRef]
- Jin, C.; Lian, J.; Gao, Y.; Guo, K.; Wu, K.; Gao, L.; Zhang, X.; Zhang, X.; Liu, Q. Si doped CoO nanorods as peroxidase mimics for colorimetric sensing of reduced glutathione. ACS Sustain. Chem. Eng. 2019, 7, 13989–13998. [Google Scholar] [CrossRef]
- Song, C.; Ding, W.; Zhao, W.; Liu, H.; Wang, J.; Yao, Y.; Yao, C. High peroxidase-like activity realized by facile synthesis of FeS2 nanoparticles for sensitive colorimetric detection of H2O2 and glutathione. Biosens. Bioelectron. 2020, 151, 111983. [Google Scholar] [CrossRef]
- Shrestha, S.; Wang, B.; Dutta, P. Nanoparticle processing: Understanding and controlling aggregation. Adv. Colloid Interface Sci. 2020, 279, 102162. [Google Scholar] [CrossRef]
- Wu, Z.-F.; Wang, Z.; Zhang, Y.; Ma, Y.-L.; He, C.-Y.; Li, H.; Chen, L.; Huo, Q.-S.; Wang, L.; Li, Z.-Q. Amino acids-incorporated nanoflowers with an intrinsic peroxidase-like activity. Sci. Rep. 2016, 6, 1–7. [Google Scholar] [CrossRef] [PubMed] [Green Version]
- Worek, F.; Mast, U.; Kiderlen, D.; Diepold, C.; Eyer, P. Improved determination of acetylcholinesterase activity in human whole blood. Clin. Chim. Acta 1999, 288, 73–90. [Google Scholar] [CrossRef]
- Childs, R.E.; Bardsley, W.G. The steady-state kinetics of peroxidase with 2, 2′-azino-di-(3-ethyl-benzthiazoline-6-sulphonic acid) as chromogen. Biochem. J. 1975, 145, 93–103. [Google Scholar] [CrossRef] [PubMed]
- Josephy, P.D.; Eling, T.; Mason, R.P. The horseradish peroxidase-catalyzed oxidation of 3, 5, 3′, 5′-tetramethylbenzidine. Free radical and charge-transfer complex intermediates. J. Biol. Chem. 1982, 257, 3669–3675. [Google Scholar] [CrossRef]
- Wang, T.; Bai, Q.; Zhu, Z.; Xiao, H.; Jiang, F.; Du, F.; William, W.Y.; Liu, M.; Sui, N. Graphdiyne-supported palladium-iron nanosheets: A dual-functional peroxidase mimetic nanozyme for glutathione detection and antibacterial application. Chem. Eng. J. 2021, 413, 127537. [Google Scholar] [CrossRef]
- Ge, J.; Lei, J.; Zare, R.N. Protein–inorganic hybrid nanoflowers. Nat. Nanotechnol. 2012, 7, 428–432. [Google Scholar] [CrossRef]
- Wu, X.; Shi, G.; Wang, S.; Wu, P. Formation of 3D Dandelions and 2D Nanowalls of Copper Phosphate Dihydrate on a Copper Surface and Their Conversion into a Nanoporous CuO Film. Eur. J. Inorg. Chem. 2005, 2005, 4775–4779. [Google Scholar] [CrossRef]
- Zhu, G.; Zhu, X.; Fan, Q.; Wan, X. Raman spectra of amino acids and their aqueous solutions. Spectrochim. Acta Part A 2011, 78, 1187–1195. [Google Scholar] [CrossRef]
- Han, G.S.; Cho, I.S. Copper phosphate compounds with visible-to-near-infrared-active photo-fenton-like photocatalytic properties. J. Am. Ceram. Soc. 2020, 103, 5120–5128. [Google Scholar] [CrossRef]
- Bock, P.E.; Frieden, C. Phosphofructokinase. I. Mechanism of the pH-dependent inactivation and reactivation of the rabbit muscle enzyme. J. Biol. Chem. 1976, 251, 5630–5636. [Google Scholar] [CrossRef]
- Hüttl, R.; Frank, N. Enzymatic kinetic determinations. Encycl. Anal. Chem. Appl. Theory Instrum. 2006, 1–22. [Google Scholar] [CrossRef]
- Berglund, G.I.; Carlsson, G.H.; Smith, A.T.; Szöke, H.; Henriksen, A.; Hajdu, J. The catalytic pathway of horseradish peroxidase at high resolution. Nature 2002, 417, 463–468. [Google Scholar] [CrossRef] [PubMed]
- Zhang, M.; Yao, Q.; Guan, W.; Lu, C.; Lin, J.-M. Layered double hydroxide-supported carbon dots as an efficient heterogeneous Fenton-like catalyst for generation of hydroxyl radicals. J. Phys. Chem. C 2014, 118, 10441–10447. [Google Scholar] [CrossRef]
- Bump, E.A.; Brown, J.M. Role of glutathione in the radiation response of mammalian cells in vitro and in vivo. Pharmacol. Ther. 1990, 47, 117–136. [Google Scholar] [CrossRef]
- Shamsipur, M.; Safavi, A.; Mohammadpour, Z. Indirect colorimetric detection of glutathione based on its radical restoration ability using carbon nanodots as nanozymes. Sens. Actuators B 2014, 199, 463–469. [Google Scholar] [CrossRef]
- Liu, K.; Zhao, Y.; Zhang, L.; He, M.; Lin, W.; Sun, H.; Liu, Z.; Hu, J.; Wang, L. Biocompatible Platinum Nanoclusters Prepared Using Bitter Gourd Polysaccharide for Colorimetric Detection of Ascorbic Acid. Biomolecules 2021, 11, 647. [Google Scholar] [CrossRef]
- Niki, E. Lipid antioxidants: How they may act in biological systems. Br. J. Cancer Suppl. 1987, 8, 153. [Google Scholar]
- Sun, L.; Ding, Y.; Jiang, Y.; Liu, Q. Montmorillonite-loaded ceria nanocomposites with superior peroxidase-like activity for rapid colorimetric detection of H2O2. Sens. Actuators B 2017, 239, 848–856. [Google Scholar] [CrossRef]
- Liu, H.; Ding, Y.; Yang, B.; Liu, Z.; Liu, Q.; Zhang, X. Colorimetric and ultrasensitive detection of H2O2 based on Au/Co3O4-CeOx nanocomposites with enhanced peroxidase-like performance. Sens. Actuators B 2018, 271, 336–345. [Google Scholar] [CrossRef]
- Ding, Y.; Yang, B.; Liu, H.; Liu, Z.; Zhang, X.; Zheng, X.; Liu, Q. FePt-Au ternary metallic nanoparticles with the enhanced peroxidase-like activity for ultrafast colorimetric detection of H2O2. Sens. Actuators B 2018, 259, 775–783. [Google Scholar] [CrossRef]
- Darabdhara, G.; Sharma, B.; Das, M.R.; Boukherroub, R.; Szunerits, S. Cu-Ag bimetallic nanoparticles on reduced graphene oxide nanosheets as peroxidase mimic for glucose and ascorbic acid detection. Sens. Actuators B 2017, 238, 842–851. [Google Scholar] [CrossRef]
- Liu, J.M.; Shen, X.M.; Baimanov, D.; Wang, L.M.; Xiao, Y.T.; Liu, H.B.; Li, Y.L.; Gao, X.F.; Zhao, Y.L.; Chen, C.Y. Immobilized Ferrous Ion and Glucose Oxidase on Graphdiyne and Its Application on One-Step Glucose Detection. ACS Appl. Mater. Interfaces 2019, 11, 2647–2654. [Google Scholar] [CrossRef] [PubMed]
- Zhang, W.J.; Chen, C.P.; Yang, D.X.; Dong, G.X.; Jia, S.J.; Zhao, B.X.; Yan, L.; Yao, Q.Q.; Sunna, A.; Liu, Y. Optical Biosensors Based on Nitrogen-Doped Graphene Functionalized with Magnetic Nanoparticles. Adv. Mater. Interfaces 2016, 3, 5. [Google Scholar] [CrossRef]
- Chen, Y.; Chen, T.; Wu, X.; Yang, G. CuMnO2 nanoflakes as pH-switchable catalysts with multiple enzyme-like activities for cysteine detection. Sens. Actuators B 2019, 279, 374–384. [Google Scholar] [CrossRef]
- Hu, J.; Li, F.; Wang, K.; Han, D.; Zhang, Q.; Yuan, J.; Niu, L. One-step synthesis of graphene–AuNPs by HMTA and the electrocatalytical application for O2 and H2O2. Talanta 2012, 93, 345–349. [Google Scholar] [CrossRef] [PubMed]
- Yang, H.; Zha, J.; Zhang, P.; Xiong, Y.; Su, L.; Ye, F. Sphere-like CoS with nanostructures as peroxidase mimics for colorimetric determination of H2O2 and mercury ions. RSC Adv. 2016, 6, 66963–66970. [Google Scholar] [CrossRef]
- Zhan, T.; Kang, J.; Li, X.; Pan, L.; Li, G.; Hou, W. NiFe layered double hydroxide nanosheets as an efficiently mimic enzyme for colorimetric determination of glucose and H2O2. Sens. Actuators B 2018, 255, 2635–2642. [Google Scholar] [CrossRef]
- Fu, X.-L.; Hou, F.; Liu, F.-R.; Ren, S.-W.; Cao, J.-T.; Liu, Y.-M. Electrochemiluminescence energy resonance transfer in 2D/2D heterostructured g-C3N4/MnO2 for glutathione detection. Biosens. Bioelectron. 2019, 129, 72–78. [Google Scholar] [CrossRef]
- Ganganboina, A.B.; Doong, R.-A. The biomimic oxidase activity of layered V2O5 nanozyme for rapid and sensitive nanomolar detection of glutathione. Sens. Actuators B 2018, 273, 1179–1186. [Google Scholar] [CrossRef]
- Luo, N.; Yang, Z.; Tang, F.; Wang, D.; Feng, M.; Liao, X.; Yang, X. Fe3O4/carbon nanodot hybrid nanoparticles for the indirect colorimetric detection of glutathione. ACS Appl. Nano Mater. 2019, 2, 3951–3959. [Google Scholar] [CrossRef]
- Wang, Q.; Pang, H.C.; Dong, Y.Q.; Chi, Y.W.; Fu, F.F. Colorimetric determination of glutathione by using a nanohybrid composed of manganese dioxide and carbon dots. Microchim. Acta 2018, 185, 7. [Google Scholar] [CrossRef] [PubMed]
- Chi, M.; Chen, S.; Zhong, M.; Wang, C.; Lu, X. Self-templated fabrication of FeMnO3 nanoparticle-filled polypyrrole nanotubes for peroxidase mimicking with a synergistic effect and their sensitive colorimetric detection of glutathione. Chem. Commun. 2018, 54, 5827–5830. [Google Scholar] [CrossRef]
- Yang, Q.; Li, L.; Zhao, F.; Wang, Y.; Ye, Z.; Guo, X. Generation of MnO2 nanozyme in spherical polyelectrolyte brush for colorimetric detection of glutathione. Mater. Lett. 2019, 248, 89–92. [Google Scholar] [CrossRef]
- Liu, Y.; Zhou, M.; Cao, W.; Wang, X.; Wang, Q.; Li, S.; Wei, H. Light-Responsive Metal–Organic Framework as an Oxidase Mimic for Cellular Glutathione Detection. Anal. Chem. 2019, 91, 8170–8175. [Google Scholar] [CrossRef] [PubMed]












| Catalysts | Substrate | Km (mM) | Vmax (10−8 M S−1) |
|---|---|---|---|
| ILE incorporated nanoflowers | TMB | 2.71 | 3.02 |
| H2O2 | 1.02 | 5.77 | |
| Native horseradish peroxidase | TMB | 0.43 | 10 |
| H2O2 | 3.70 | 8.71 |
Publisher’s Note: MDPI stays neutral with regard to jurisdictional claims in published maps and institutional affiliations. |
© 2021 by the authors. Licensee MDPI, Basel, Switzerland. This article is an open access article distributed under the terms and conditions of the Creative Commons Attribution (CC BY) license (https://creativecommons.org/licenses/by/4.0/).
Share and Cite
Jiang, N.; Zhang, C.; Li, M.; Li, S.; Hao, Z.; Li, Z.; Wu, Z.; Li, C. The Fabrication of Amino Acid Incorporated Nanoflowers with Intrinsic Peroxidase-like Activity and Its Application for Efficiently Determining Glutathione with TMB Radical Cation as Indicator. Micromachines 2021, 12, 1099. https://doi.org/10.3390/mi12091099
Jiang N, Zhang C, Li M, Li S, Hao Z, Li Z, Wu Z, Li C. The Fabrication of Amino Acid Incorporated Nanoflowers with Intrinsic Peroxidase-like Activity and Its Application for Efficiently Determining Glutathione with TMB Radical Cation as Indicator. Micromachines. 2021; 12(9):1099. https://doi.org/10.3390/mi12091099
Chicago/Turabian StyleJiang, Ning, Chuang Zhang, Meng Li, Shuai Li, Zhili Hao, Zhengqiang Li, Zhuofu Wu, and Chen Li. 2021. "The Fabrication of Amino Acid Incorporated Nanoflowers with Intrinsic Peroxidase-like Activity and Its Application for Efficiently Determining Glutathione with TMB Radical Cation as Indicator" Micromachines 12, no. 9: 1099. https://doi.org/10.3390/mi12091099
APA StyleJiang, N., Zhang, C., Li, M., Li, S., Hao, Z., Li, Z., Wu, Z., & Li, C. (2021). The Fabrication of Amino Acid Incorporated Nanoflowers with Intrinsic Peroxidase-like Activity and Its Application for Efficiently Determining Glutathione with TMB Radical Cation as Indicator. Micromachines, 12(9), 1099. https://doi.org/10.3390/mi12091099

