Investigation on Microparticle Transport and Deposition Mechanics in Rhythmically Expanding Alveolar Chip
Abstract
1. Introduction
2. Materials and Methods
2.1. Experimental System
2.2. Modeling the Fluid Flow in Alveoli
2.3. Modeling the Particle Transport in Alveoli
3. Results and Discussion
3.1. Mapping Particle Trajectories
3.2. Statistical Average Particle Displacement
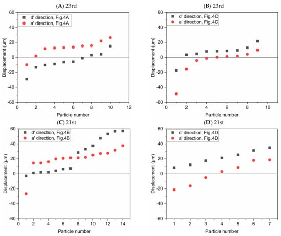
3.3. Displacements of Individual Particles
4. Conclusions
Author Contributions
Funding
Institutional Review Board Statement
Informed Consent Statement
Data Availability Statement
Conflicts of Interest
References
- Hogan, B.; Tata, P.R. Cellular organization and biology of the respiratory system. Nat. Cell Biol. 2019. [Google Scholar] [CrossRef]
- Jung, D.J.; Shin, T.H.; Kim, M.; Sung, C.O.; Jang, S.J.; Jeong, G.S. A one-stop microfluidic-based lung cancer organoid culture platform for testing drug sensitivity. Lab Chip 2019, 19, 2854–2865. [Google Scholar] [CrossRef] [PubMed]
- Ghaemmaghami, A.M.; Hancock, M.J.; Harrington, H.; Kaji, H.; Khademhosseini, A. Biomimetic tissues on a chip for drug discovery. Drug Discov. Today 2012, 17, 173–181. [Google Scholar] [CrossRef] [PubMed]
- Huh, D.; Matthews, B.D.; Mammoto, A.; Montoya-Zavala, M.; Hsin, H.Y.; Ingber, D.E. Reconstituting Organ-Level Lung Functions on a Chip. Science 2010, 328, 1662–1668. [Google Scholar] [CrossRef]
- Pedley, T.J. Pulmonary Fluid Dynamics. Annu. Rev. Fluid Mech. 1977, 9, 229–274. [Google Scholar] [CrossRef]
- Kleinstreuer, C.; Zhang, Z.; Donohue, J. Targeted Drug-Aerosol Delivery in the Human Respiratory System. Annu. Rev. Biomed. Eng. 2008, 10, 195–220. [Google Scholar] [CrossRef] [PubMed]
- Kleinstreuer, C.; Zhang, Z. Airflow and Particle Transport in the Human Respiratory System. Annu. Rev. Fluid Mech. 2010, 42, 301–334. [Google Scholar] [CrossRef]
- Choi, J.; Xia, G.; Tawhai, M.H.; Hoffman, E.A.; Lin, C.-L. Numerical Study of High-Frequency Oscillatory Air Flow and Convective Mixing in a CT-Based Human Airway Model. Ann. Biomed. Eng. 2010, 38, 3550–3571. [Google Scholar] [CrossRef]
- Poorbahrami, K.; Oakes, J.M. Regional flow and deposition variability in adult female lungs: A numerical simulation pilot study. Clin. Biomech. 2019, 66, 40–49. [Google Scholar] [CrossRef] [PubMed]
- Deng, Q.; Ou, C.; Chen, J.; Xiang, Y. Particle deposition in tracheobronchial airways of an infant, child and adult. Sci. Total Environ. 2018, 612, 339–346. [Google Scholar] [CrossRef]
- Piglione, M.C.; Fontana, D.; Vanni, M. Simulation of particle deposition in human central airways. Eur. J. Mech. B/Fluids 2012, 31, 91–101. [Google Scholar] [CrossRef]
- Tsuda, A.; Butler, J.P.; Fredberg, J.J. Effects of alveolated duct structure on aerosol kinetics. I. Diffusional deposition in the absence of gravity. J. Appl. Physiol. 1994, 76, 2497–2509. [Google Scholar] [CrossRef] [PubMed]
- Darquenne, C.; Paiva, N. Two- and three-dimensional simulations of aerosol transport and deposition in alveolar zone of human lung. J. Appl. Physiol. 1996, 80, 1401–1414. [Google Scholar] [CrossRef]
- Sznitman, J.; Heimsch, F.; Heimsch, T.; Rusch, D.; Rösgen, T. Three-Dimensional Convective Alveolar Flow Induced by Rhythmic Breathing Motion of the Pulmonary Acinus. J. Biomech. Eng. 2007, 129, 658–665. [Google Scholar] [CrossRef] [PubMed]
- Ma, B.; Darquenne, C. Aerosol deposition characteristics in distal acinar airways under cyclic breathing conditions. J. Appl. Physiol. 2011, 110, 1271–1282. [Google Scholar] [CrossRef] [PubMed]
- Koullapis, P.; Hofemeier, P.; Sznitman, J.; Kassinos, S. An efficient computational fluid-particle dynamics method to predict deposition in a simplified approximation of the deep lung. Eur. J. Pharm. Sci. 2018, 113, 132–144. [Google Scholar] [CrossRef]
- Xi, J.; Talaat, M. Nanoparticle Deposition in Rhythmically Moving Acinar Models with Interalveolar Septal Apertures. Nanomaterials 2019, 9, 1126. [Google Scholar] [CrossRef]
- Shachar-Berman, L.; Ostrovski, Y.; Koshiyama, K.; Wada, S.; Kassinos, S.C.; Sznitman, J. Targeting inhaled fibers to the pulmonary acinus: Opportunities for augmented delivery from in silico simulations. Eur. J. Pharm. Sci. 2019, 137, 105003. [Google Scholar] [CrossRef] [PubMed]
- Hofemeier, P.; Sznitman, J. Revisiting pulmonary acinar particle transport: Convection, sedimentation, diffusion, and their interplay. J. Appl. Physiol. 2015, 118, 1375–1385. [Google Scholar] [CrossRef]
- Hofemeier, P.; Fishler, R.; Sznitman, J. The role of respiratory flow asynchrony on convective mixing in the pulmonary acinus. Fluid Dyn. Res. 2014, 46, 041407. [Google Scholar] [CrossRef]
- Cinkotai, F.F. Fluid flow in a model alveolar sac. J. Appl. Physiol. 1974, 37, 249–251. [Google Scholar] [CrossRef]
- Tippe, A.; Tsuda, A. Recirculating flow in an expanding alveolar model: Experimental evidence of flow-induced mixing of aerosols in the pulmonary acinus. J. Aerosol Sci. 2000, 31, 979–986. [Google Scholar] [CrossRef]
- Van Ertbruggen, C.; Corieri, P.; Theunissen, R.; Riethmuller, M.; Darquenne, C. Validation of CFD predictions of flow in a 3D alveolated bend with experimental data. J. Biomech. 2008, 41, 399–405. [Google Scholar] [CrossRef] [PubMed]
- Ma, B.; Ruwet, V.; Corieri, P.; Theunissen, R.; Riethmuller, M.; Darquenne, C. CFD simulation and experimental validation of fluid flow and particle transport in a model of alveolated airways. J. Aerosol Sci. 2009, 40, 403–414. [Google Scholar] [CrossRef] [PubMed]
- Berg, E.J.; Weisman, J.L.; Oldham, M.J.; Robinson, R.J. Flow field analysis in a compliant acinus replica model using particle image velocimetry (PIV). J. Biomech. 2010, 43, 1039–1047. [Google Scholar] [CrossRef]
- Chhabra, S.; Prasad, A.K. Flow and Particle Dispersion in Lung Acini: Effect of Geometric and Dynamic Parameters During Synchronous Ventilation. J. Fluids Eng. 2011, 133, 071001. [Google Scholar] [CrossRef] [PubMed]
- Chhabra, S.; Prasad, A.K. Flow and Particle Dispersion in a Pulmonary Alveolus—Part I: Velocity Measurements and Convective Particle Transport. J. Biomech. Eng. 2010, 132, 051009. [Google Scholar] [CrossRef]
- Chhabra, S.; Prasad, A.K. Flow and Particle Dispersion in a Pulmonary Alveolus—Part II: Effect of Gravity on Particle Transport. J. Biomech. Eng. 2010, 132, 051010. [Google Scholar] [CrossRef]
- Hofemeier, P.; Sznitman, J. Role of Alveolar Topology on Acinar Flows and Convective Mixing. J. Biomech. Eng. 2014, 136, 061007. [Google Scholar] [CrossRef] [PubMed]
- Fishler, R.; Mulligan, M.K.; Sznitman, J. Acinus-on-a-chip: A microfluidic platform for pulmonary acinar flows. J. Biomech. 2013, 46, 2817–2823. [Google Scholar] [CrossRef] [PubMed]
- Fishler, R.; Hofemeier, P.; Etzion, Y.; Dubowski, Y.; Sznitman, J. Particle dynamics and deposition in true-scale pulmonary acinar models. Sci. Rep. 2015, 5, 14071. [Google Scholar] [CrossRef] [PubMed]
- Fishler, R.; Sznitman, J. A Microfluidic Model of Biomimetically Breathing Pulmonary Acinar Airways. J. Vis. Exp. 2016, 10, 1–9. [Google Scholar] [CrossRef] [PubMed]
- Fishler, R.; Ostrovski, Y.; Lu, C.-Y.; Sznitman, J. Streamline crossing: An essential mechanism for aerosol dispersion in the pulmonary acinus. J. Biomech. 2017, 50, 222–227. [Google Scholar] [CrossRef]
- Deng, Q.; Deng, L.; Miao, Y.; Guo, X.; Li, Y. Particle deposition in the human lung: Health implications of particulate matter from different sources. Environ. Res. 2019, 169, 237–245. [Google Scholar] [CrossRef]
- Chen, R.; Chunying, C.; Liu, Y.; Xu, J.; Yang, G.; Xu, D.; Chen, C. Beyond PM2.5: The role of ultrafine particles on adverse health effects of air pollution. Biochim. Biophys. Acta (BBA) Gen. Subj. 2016, 1860, 2844–2855. [Google Scholar] [CrossRef] [PubMed]
- Haefeli-Bleuer, B.; Weibel, E.R. Morphometry of the human pulmonary acinus. Anat. Rec. Adv. Integr. Anat. Evol. Biol. 1988, 220, 401–414. [Google Scholar] [CrossRef]
- Weibel, E.R.; Sapoval, B.; Filoche, M. Design of peripheral airways for efficient gas exchange. Respir. Physiol. Neurobiol. 2005, 148, 3–21. [Google Scholar] [CrossRef]
- Lv, H.; Dong, J.; Qiu, Y.; Yang, Y.; Zhu, Y. Microflow in a rhythmically expanding alveolar chip with dynamic similarity. Lab Chip 2020, 20, 2394–2402. [Google Scholar] [CrossRef] [PubMed]
- Dong, J.; Yang, Y.; Zhu, Y. New insight into air flow distribution in alveoli based on air- and saline-filled lungs. Microfluid. Nanofluidics 2020, 24, 1–13. [Google Scholar] [CrossRef]
- Barrett, K.E.; Boitano, S.; Barman, S.M.; Brooks, H.L. Ganong’s Review of Medical Physiology, 25th ed.; McGraw-Hill Education: New York, NY, USA, 2016. [Google Scholar]
- Sznitman, J. Respiratory microflows in the pulmonary acinus. J. Biomech. 2013, 46, 284–298. [Google Scholar] [CrossRef]
- Tsuda, A.; Henry, F.S.; Butler, J.P. Chaotic mixing of alveolated duct flow in rhythmically expanding pulmonary acinus. J. Appl. Physiol. 1995, 79, 1055–1063. [Google Scholar] [CrossRef] [PubMed]
- Meng, X.; Ma, Y.; Chen, R.; Zhou, Z.; Chen, B.; Kan, H. Size-Fractionated Particle Number Concentrations and Daily Mortality in a Chinese City. Environ. Heal. Perspect. 2013, 121, 1174–1178. [Google Scholar] [CrossRef] [PubMed]
- Sznitman, J.; Heimsch, T.; Wildhaber, J.H.; Tsuda, A.; Rösgen, T. Respiratory Flow Phenomena and Gravitational Deposition in a Three-Dimensional Space-Filling Model of the Pulmonary Acinar Tree. J. Biomech. Eng. 2009, 131, 031010. [Google Scholar] [CrossRef] [PubMed]
- Finlay, W.H. The Mechanics of Inhaled Pharmaceutical Aerosols, 2nd ed.; Academic Press: London, UK, 2001; pp. 21–23. [Google Scholar]







| ith Gen. | Alveolar Chip with 5 μm Particles | Real Acinus with 0.5 μm Particles | ||
|---|---|---|---|---|
| Stk1 | H1 | Stk2 | H2 | |
| 21 | 1.29 × 10−6 | 0.043 | 1.63 × 10−6 | 0.046 |
| 23 | 1.29 × 10−6 | 0.043 | 1.63 × 10−6 | 0.054 |
Publisher’s Note: MDPI stays neutral with regard to jurisdictional claims in published maps and institutional affiliations. |
© 2021 by the authors. Licensee MDPI, Basel, Switzerland. This article is an open access article distributed under the terms and conditions of the Creative Commons Attribution (CC BY) license (http://creativecommons.org/licenses/by/4.0/).
Share and Cite
Dong, J.; Qiu, Y.; Lv, H.; Yang, Y.; Zhu, Y. Investigation on Microparticle Transport and Deposition Mechanics in Rhythmically Expanding Alveolar Chip. Micromachines 2021, 12, 184. https://doi.org/10.3390/mi12020184
Dong J, Qiu Y, Lv H, Yang Y, Zhu Y. Investigation on Microparticle Transport and Deposition Mechanics in Rhythmically Expanding Alveolar Chip. Micromachines. 2021; 12(2):184. https://doi.org/10.3390/mi12020184
Chicago/Turabian StyleDong, Jun, Yan Qiu, Huimin Lv, Yue Yang, and Yonggang Zhu. 2021. "Investigation on Microparticle Transport and Deposition Mechanics in Rhythmically Expanding Alveolar Chip" Micromachines 12, no. 2: 184. https://doi.org/10.3390/mi12020184
APA StyleDong, J., Qiu, Y., Lv, H., Yang, Y., & Zhu, Y. (2021). Investigation on Microparticle Transport and Deposition Mechanics in Rhythmically Expanding Alveolar Chip. Micromachines, 12(2), 184. https://doi.org/10.3390/mi12020184

