Electromagnetohydrodynamic Electroosmotic Flow and Entropy Generation of Third-Grade Fluids in a Parallel Microchannel
Abstract
1. Introduction
2. Formulation of the Problem
2.1. Physical Model and Explanation of the Problem
2.2. Electrical Potential Distribution
2.3. Flow Analysis and Mathematical Formulation
2.4. Thermal Transport for Thermally Fully Developed Flow
2.5. Entropy Generation Rate
3. Numerical Solution
4. Results and Discussion
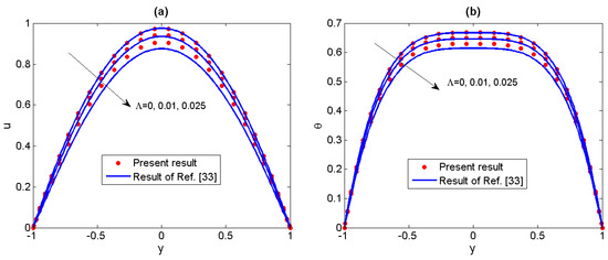
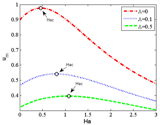
4.1. Velocity Analysis
4.2. Temperature Analysis
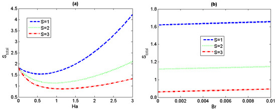
4.3. Entropy Generation Analysis
5. Conclusions
Author Contributions
Funding
Acknowledgments
Conflicts of Interest
Appendix A. Brief Steps to Obtain Equation (13)
References
- Stone, H.A.; Stroock, A.D.; Ajdari, A. Engineering flows in small devices microfluidics toward a lab-on-a-chip. Ann. Rev. Fluid Mech. 2004, 36, 381–411. [Google Scholar] [CrossRef]
- Laser, D.J.; Santiago, J.G. A review of micropumps. J. Micromech. Microeng. 2004, 14, R35–R64. [Google Scholar] [CrossRef]
- Karniadakis, G.; Beskok, A.; Aluru, N. Micorflows and Nanoflows: Fundamentals and Simulation; Springer: New York, NY, USA, 2005. [Google Scholar]
- Dasgupta, P.K.; Liu, S. Electroosmosis: A Reliable Fluid Propulsion System for Flow Injection Analysis. Anal. Chem. 1994, 66, 1792–1798. [Google Scholar] [CrossRef]
- Wang, C.-Y.; Liu, Y.-H.; Chang, C.C. Analytical solution of electro-osmotic flow in a semicircular microchannel. Phys. Fluids 2008, 20, 063105. [Google Scholar] [CrossRef]
- Jian, Y.; Yang, L.; Liu, Q.-S. Time periodic electro-osmotic flow through a microannulus. Phys. Fluids 2010, 22, 42001. [Google Scholar] [CrossRef]
- Jian, Y.; Su, J.; Chang, L.; Liu, Q.; He, G. Transient electroosmotic flow of general Maxwell fluids through a slit microchannel. Z. Angew. Math. Phys. 2013, 65, 435–447. [Google Scholar] [CrossRef]
- Jian, Y.; Liu, Q.-S.; Yang, L. AC electroosmotic flow of generalized Maxwell fluids in a rectangular microchannel. J. Non-Newton. Fluid Mech. 2011, 166, 1304–1314. [Google Scholar] [CrossRef]
- Liu, Q.-S.; Jian, Y.; Yang, L. Alternating current electroosmotic flow of the Jeffreys fluids through a slit microchannel. Phys. Fluids 2011, 23, 102001. [Google Scholar] [CrossRef]
- Liu, Q.-S.; Jian, Y.; Yang, L. Time periodic electroosmotic flow of the generalized Maxwell fluids between two micro-parallel plates. J. Non-Newton. Fluid Mech. 2011, 166, 478–486. [Google Scholar] [CrossRef]
- Li, X.-X.; Yin, Z.; Jian, Y.; Chang, L.; Su, J.; Liu, Q.-S. Transient electro-osmotic flow of generalized Maxwell fluids through a microchannel. J. Non-Newton. Fluid Mech. 2012, 187, 43–47. [Google Scholar] [CrossRef]
- Vargas, C.; Arcos, J.; Bautista, O.; Mendez, F. Hydrodynamic dispersion in a combined magnetohydrodynamic-electroosmotic-driven flow through a microchannel with slowly varying wall zeta potentials. Phys. Fluids 2017, 29, 092002. [Google Scholar] [CrossRef]
- Maynes, D.; Webb, B.W. Fully-Developed Thermal Transport in Combined Pressure and Electro-Osmotically Driven Flow in Microchannels. J. Heat Transf. 2003, 125, 889–895. [Google Scholar] [CrossRef]
- Maynes, D.; Webb, B.W. The effect of viscous dissipation in thermally fully-developed electro-osmotic heat transfer in microchannels. Int. J. Heat Mass Transf. 2004, 47, 987–999. [Google Scholar] [CrossRef]
- Chakraborty, S. Analytical solutions of Nusselt number for thermally fully developed flow in microtubes under a combined action of electroosmotic forces and imposed pressure gradients. Int. J. Heat Mass Transf. 2006, 49, 810–813. [Google Scholar] [CrossRef]
- Sharma, A.; Chakraborty, S. Semi-analytical solution of the extended Graetz problem for combined electroosmotically and pressure-driven microchannel flows with step-change in wall temperature. Int. J. Heat Mass Transf. 2008, 51, 4875–4885. [Google Scholar] [CrossRef]
- Sadeghi, A.; Veisi, H.; Saidi, M.H.; Chakraborty, S. Graetz problem extended to mixed electroosmotically and pressure driven flow. AIAA J. Thermophys. Heat Transf. 2012, 26, 123–133. [Google Scholar] [CrossRef]
- West, J.J.; Karamata, B.; Lillis, B.; Gleeson, J.P.; Alderman, J.; Collins, J.K.; Lane, W.; Mathewson, A.; Berney, H. Application of magnetohydrodynamic actuation to continuous flow chemistryElectronic supplementary information (ESI) available: Figures depicting a silicon MHD microreactor, finite element solution for velocity profile in the silicon microreactor annulus, and the effect of MHD actuation conditions on the PCR product previously generated by conventional amplification methods and on the PCR reagents prior to thermocycling by conventional methods. Lab Chip 2002, 2, 224–230. [Google Scholar] [CrossRef]
- Yi, M.; Qian, S.; Bau, H.H. A magnetohydrodynamic chaotic stirrer. J. Fluid Mech. 2002, 468, 153–177. [Google Scholar] [CrossRef]
- Weston, M.C.; Gerner, M.D.; Fritsch, I. Magnetic Fields for Fluid Motion. Anal. Chem. 2010, 82, 3411–3418. [Google Scholar] [CrossRef]
- Jang, J.; Lee, S.S. Theoretical and experimental study of MHD (magnetohydrodynamic) micropump. Sens. Actuators A: Phys. 2000, 80, 84–89. [Google Scholar] [CrossRef]
- Lemoff, A.V.; Lee, A.P. An AC magnetohydrodynamic micropump. Sens. Actuators B Chem. 2000, 63, 178–185. [Google Scholar] [CrossRef]
- Jian, Y.; Chang, L. Electromagnetohydrodynamic (EMHD) micropumps under a spatially non-uniform magnetic field. AIP Adv. 2015, 5, 57121. [Google Scholar] [CrossRef]
- Chakraborty, R.; Dey, R.; Chakraborty, S. Thermal characteristics of electromagnetohy-drodynamic flows in narrow channels with viscous dissipation and Joule heating under constant wall heat flux. Int. J. Heat Mass Transf. 2013, 67, 1151–1162. [Google Scholar] [CrossRef]
- Sarkar, S.; Ganguly, S.; Chakraborty, S. Influence of combined electromagnetohydrodynamics on microchannel flow with electrokinetic effect and interfacial slip. Microfluid. Nanofluidics 2017, 21, 186102. [Google Scholar] [CrossRef]
- Si, D.; Jian, Y. Electromagnetohydrodynamic (EMHD) micropump of Jeffrey fluids through two parallel microchannels with corrugated walls. J. Phys. D Appl. Phys. 2015, 48, 85501. [Google Scholar] [CrossRef]
- Suwa, M.; Watarai, H. Magnetoanalysis of micro/nanoparticles: A review. Anal. Chim. Acta 2011, 690, 137–147. [Google Scholar] [CrossRef] [PubMed]
- Sheikholeslami, M.; Ganji, D. Entropy generation of nanofluid in presence of magnetic field using Lattice Boltzmann Method. Phys. A Stat. Mech. Its Appl. 2015, 417, 273–286. [Google Scholar] [CrossRef]
- Martinson, L.K.; Pavlov, K.B. Magnetohydrodynamics of non-newtonian liquids. Magnetohydrodynamics 1975, 11, 47–53. [Google Scholar]
- Zhao, C.; Zholkovskij, E.; Masliyah, J.H.; Yang, C. Analysis of electroosmotic flow of power-law fluids in a slit microchannel. J. Colloid Interface Sci. 2008, 326, 503–510. [Google Scholar] [CrossRef]
- Tang, G.; Li, X.; He, Y.; Tao, W. Electroosmotic flow of non-Newtonian fluid in microchannels. J. Non-Newton. Fluid Mech. 2009, 157, 133–137. [Google Scholar] [CrossRef]
- Wang, L.; Jian, Y.; Liu, Q.; Li, F.; Chang, L. Electromagnetohydrodynamic flow and heat transfer of third grade fluids between two micro-parallel plates. Colloids Surf. A Physicochem. Eng. Asp. 2016, 494, 87–94. [Google Scholar] [CrossRef]
- Akgül, M.; Pakdemirli, M. Analytical and numerical solutions of electro-osmotically driven flow of a third grade fluid between micro-parallel plates. Int. J. Non-linear Mech. 2008, 43, 985–992. [Google Scholar] [CrossRef]
- Danish, M.; Kumar, S.; Kumar, S. Exact analytical solutions for the Poiseuille and Couette–Poiseuille flow of third grade fluid between parallel plates. Commun. Nonlinear Sci. Numer. Simul. 2012, 17, 1089–1097. [Google Scholar] [CrossRef]
- Fosdick, R.L.; Rajagopal, K.R. Thermodynamics and stability of fluids of third grade. Proc. R. Soc. London. Ser. A. Math. Phys. Sci. 1980, 369, 351–377. [Google Scholar] [CrossRef]
- Szeri, A.; Rajagopal, K.R. Flow of a non-Newtonian fluid between heated parallel plates. Int. J. Non-linear Mech. 1985, 20, 91–101. [Google Scholar] [CrossRef]
- Ellahi, R.; Hayat, T.; Mahomed, F.; Asghar, S. Effects of slip on the non-linear flows of a third grade fluid. Nonlinear Anal. Real World Appl. 2010, 11, 139–146. [Google Scholar] [CrossRef]
- Li, S.-X.; Jian, Y.; Xie, Z.-Y.; Liu, Q.-S.; Li, F.-Q. Rotating electro-osmotic flow of third grade fluids between two microparallel plates. Colloids Surf. A Physicochem. Eng. Asp. 2015, 470, 240–247. [Google Scholar] [CrossRef]
- Hayat, T.; Shafiq, A.; Alsaedi, A. MHD axisymmetric flow of third grade fluid by a stretching cylinder. Alex. Eng. J. 2015, 54, 205–212. [Google Scholar] [CrossRef]
- Escandón, J.; Bautista, O.; Mendez, F.; Bautista, E. Theoretical conjugate heat transfer analysis in a parallel flat plate microchannel under electro-osmotic and pressure forces with a Phan-Thien-Tanner fluid. Int. J. Therm. Sci. 2011, 50, 1022–1030. [Google Scholar] [CrossRef]
- Ferrás, L.L.; Afonso, A.M.; Alves, M.; Nobrega, J.; Pinho, F.T. Electro-osmotic and pressure-driven flow of viscoelastic fluids in microchannels: Analytical and semi-analytical solutions. Phys. Fluids 2016, 28, 093102. [Google Scholar] [CrossRef]
- Martínez, L.; Bautista, O.; Escandón, J.; Mendez, F. Electroosmotic flow of a Phan-Thien–Tanner fluid in a wavy-wall microchannel. Colloids Surf. A Physicochem. Eng. Asp. 2016, 498, 7–19. [Google Scholar] [CrossRef]
- Zhao, G.; Jian, Y.; Chang, L.; Buren, M. Magnetohydrodynamic flow of generalized Maxwell fluids in a rectangular micropump under an AC electric field. J. Magn. Magn. Mater. 2015, 387, 111–117. [Google Scholar] [CrossRef]
- Ganguly, S.; Sarkar, S.; Hota, T.K.; Mishra, M. Thermally developing combined electroosmotic and pressure-driven flow of nanofluids in a microchannel under the effect of magnetic field. Chem. Eng. Sci. 2015, 126, 10–21. [Google Scholar] [CrossRef]
- Sarkar, S.; Ganguly, S. Fully developed thermal transport in combined pressure and electroosmotically driven flow of nanofluid in a microchannel under the effect of a magnetic field. Microfluid. Nanofluidics 2014, 18, 623–636. [Google Scholar] [CrossRef]
- Bejan, A. Entropy generation minimization: The new thermodynamics of finite-size devices and finite-time processes. J. Appl. Phys. 1996, 79, 1191–1218. [Google Scholar] [CrossRef]
- Liu, Y.B.; Jian, Y.J. Entropy generation of electromagnetohydrodynamic (EMHD) flow in a curv-ed rectangular microchannel. Int. J. Heat Mass Transfer 2018, 127, 901. [Google Scholar] [CrossRef]
- Ibáñez, G.; Cuevas, S. Entropy generation minimization of a MHD (magnetohydrodynamic) flow in a microchannel. Energy 2010, 35, 4149–4155. [Google Scholar] [CrossRef]
- Ibáñez, G.; López, A.; Pantoja, J.; Moreira, J.; Reyes, J.A. Optimum slip flow based on the minimization of entropy generation in parallel plate microchannels. Energy 2013, 50, 143–149. [Google Scholar] [CrossRef]
- Pakdemirli, M.; Yilbas, B.S. Entropy generation for pipe low of a third grade fluid with Vogel model viscosity. Int. J. Non-Linear Mech. 2006, 41, 432–437. [Google Scholar] [CrossRef]
- Zhao, L.; Liu, L.H. Entropy generation analysis of electro-osmotic flow in open-end and closed-end micro-channels. Int. J. Therm. Sci. 2010, 49, 418–427. [Google Scholar] [CrossRef]
- Jian, Y. Transient MHD heat transfer and entropy generation in a microparallel channel combined with pressure and electroosmotic effects. Int. J. Heat Mass Transf. 2015, 89, 193–205. [Google Scholar] [CrossRef]
- Fersadou, I.; Kahalerras, H.; El Ganaoui, M. MHD mixed convection and entropy generation of a nanofluid in a vertical porous channel. Comput. Fluids 2015, 121, 164–179. [Google Scholar] [CrossRef]
- Krastan, K.; Michael, S. A multigrid pseudo-spectral method for incompressible Navier-Stokes flows. Comptes Rendus Mec. 2005, 333, 59–64. [Google Scholar]
- Tandiroglu, A.; Teoman, A. Energy dissipation analysis of transient heat transfer for turbulent flow in acireular tube with baffle inserts. Appl. Therm. Eng. 2005, 26, 178–185. [Google Scholar] [CrossRef]
- Tadmor, E.; Canuto, C.; Hussaini, M.Y.; Quarteroni, A.; Zang, T. Spectral Methods in Fluid Dynamics. Math. Comput. 1991, 57, 876. [Google Scholar] [CrossRef]
- Sadeghi, A.; Saidi, M.H. Viscous dissipation effects on thermal transport characteristics of combined pressure and electroosmotically driven flow in microchannels. Int. J. Heat Mass Transf. 2010, 53, 3782–3791. [Google Scholar] [CrossRef]
- Zhao, G.; Jian, Y.; Li, F. Streaming potential and heat transfer of nanofluids in microchannels in the presence of magnetic field. J. Magn. Magn. Mater. 2016, 407, 75–82. [Google Scholar] [CrossRef]
- Bejan, A. Second law analysis in heat transfer. Energy 1980, 5, 720–732. [Google Scholar] [CrossRef]
- Qian, S.; Bau, H.H. Magneto-hydrodynamics based microfluidics. Mech. Res. Commun. 2009, 36, 10–21. [Google Scholar] [CrossRef]
- Xie, Z.; Jian, Y. Entropy generation of magnetohydrodynamic electroosmotic flow in two-layer systems with a layer of non-conducting viscoelastic fluid. Int. J. Heat Mass Transf. 2018, 127, 600–615. [Google Scholar] [CrossRef]
- Hooman, K.; Ejlali, A.; Hooman, F. Entropy generation analysis of thermally developing forced convection in fluid-saturated porous medium. Appl. Math. Mech. 2008, 29, 229–237. [Google Scholar] [CrossRef]










© 2020 by the authors. Licensee MDPI, Basel, Switzerland. This article is an open access article distributed under the terms and conditions of the Creative Commons Attribution (CC BY) license (http://creativecommons.org/licenses/by/4.0/).
Share and Cite
Yang, C.; Jian, Y.; Xie, Z.; Li, F. Electromagnetohydrodynamic Electroosmotic Flow and Entropy Generation of Third-Grade Fluids in a Parallel Microchannel. Micromachines 2020, 11, 418. https://doi.org/10.3390/mi11040418
Yang C, Jian Y, Xie Z, Li F. Electromagnetohydrodynamic Electroosmotic Flow and Entropy Generation of Third-Grade Fluids in a Parallel Microchannel. Micromachines. 2020; 11(4):418. https://doi.org/10.3390/mi11040418
Chicago/Turabian StyleYang, Chunhong, Yongjun Jian, Zhiyong Xie, and Fengqin Li. 2020. "Electromagnetohydrodynamic Electroosmotic Flow and Entropy Generation of Third-Grade Fluids in a Parallel Microchannel" Micromachines 11, no. 4: 418. https://doi.org/10.3390/mi11040418
APA StyleYang, C., Jian, Y., Xie, Z., & Li, F. (2020). Electromagnetohydrodynamic Electroosmotic Flow and Entropy Generation of Third-Grade Fluids in a Parallel Microchannel. Micromachines, 11(4), 418. https://doi.org/10.3390/mi11040418
