A Study of Combined Onabotulinumtoxin A and Hyaluronic Acid Filler for the Treatment of Enlarged Facial Pores
Abstract
1. Introduction
2. Results
2.1. Skin Roughness Measurement by Antera 3D®
2.2. Pore Volume Measurement by Antera 3D®
2.3. Visual Assessment Criteria for Pores Evaluated by Physician
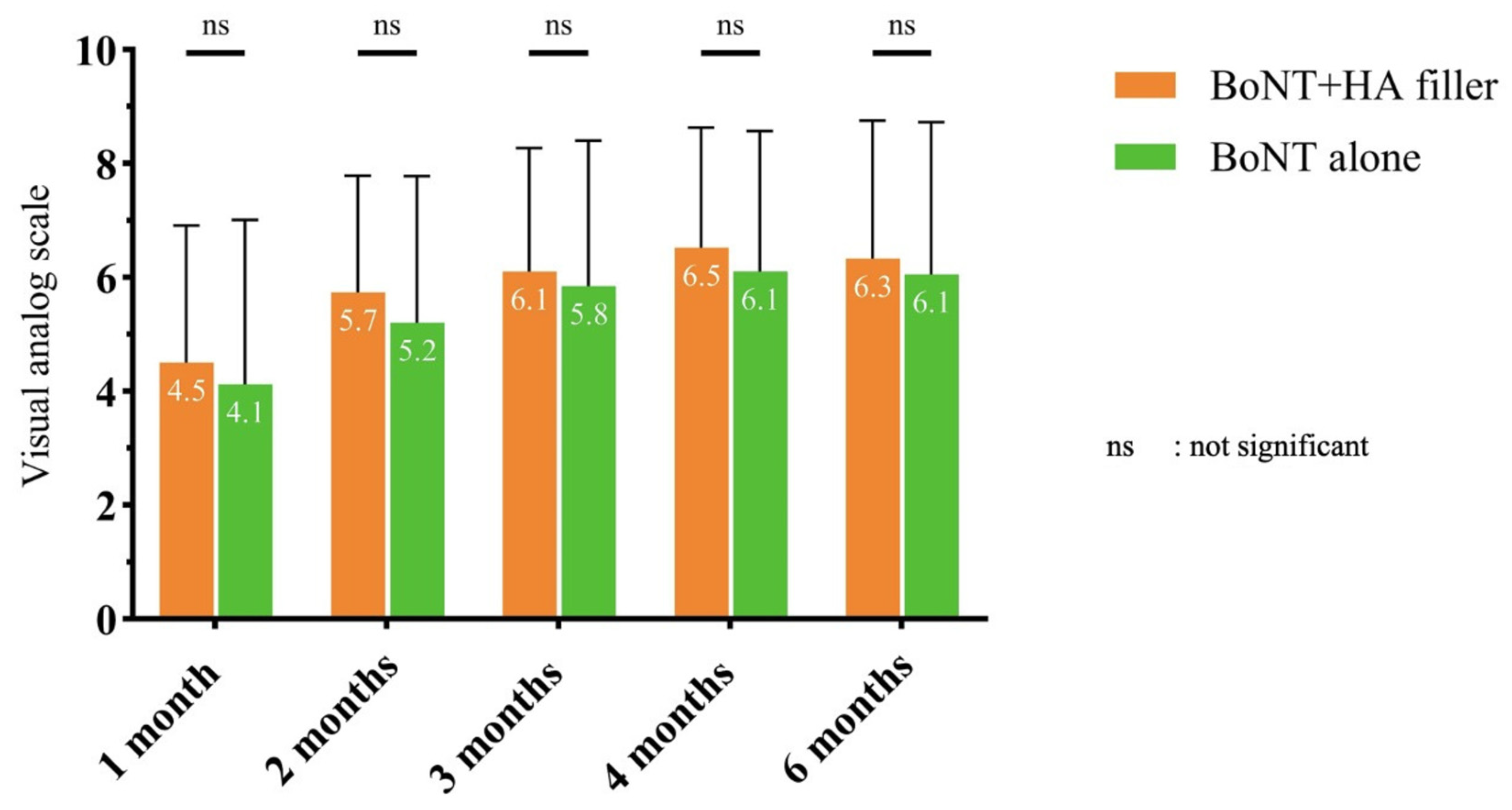
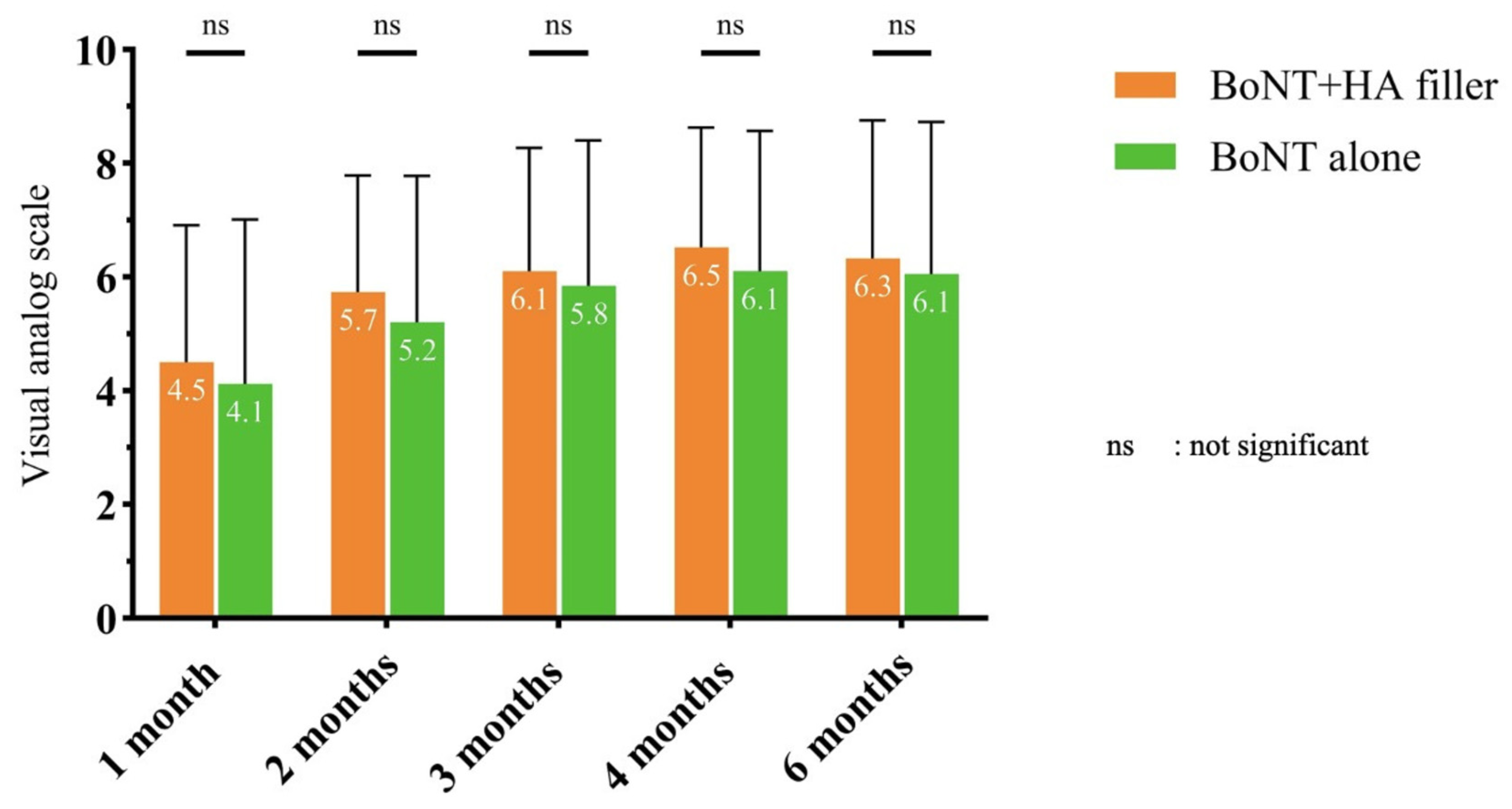
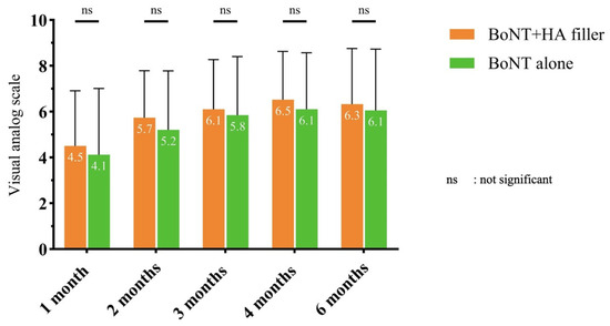
2.4. Improvement Score Evaluated by Subjects
2.5. Adverse Events
3. Discussion
4. Conclusions
5. Materials and Methods
5.1. Study Subjects
5.2. Randomization and Blinding
5.3. Treatment Protocol
5.4. Outcome Measurement
5.5. Statistical Analyses
Author Contributions
Funding
Institutional Review Board Statement
Informed Consent Statement
Data Availability Statement
Conflicts of Interest
References
- Lee, S.J.; Seok, J.; Jeong, S.Y.; Park, K.Y.; Li, K.; Seo, S.J. Facial Pores: Definition, Causes, and Treatment Options. Dermatol. Surg. 2016, 42, 277–285. [Google Scholar] [CrossRef] [PubMed]
- Uhoda, E.; Piérard-Franchimont, C.; Petit, L.; Piérard, G.E. The conundrum of skin pores in dermocosmetology. Dermatology 2005, 210, 3–7. [Google Scholar] [CrossRef] [PubMed]
- De Tollenaere, M.; Meunier, M.; Durduret, A.; Chapuis, E.; Auriol, P.; Auriol, D.; Scandolera, A.; Reynaud, R. Facial pore refining by targeting dermal and epidermal functions: Assessment across age and gender. J. Cosmet. Dermatol. 2024, 23, 3395–3408. [Google Scholar] [CrossRef]
- Scott, A.B.; Honeychurch, D.; Brin, M.F. Early development history of Botox (onabotulinumtoxinA). Medicine 2023, 102, e32371. [Google Scholar] [CrossRef]
- Meretsky, C.R.; Umali, J.P.; Schiuma, A.T. A Systematic Review and Comparative Analysis of Botox Treatment in Aesthetic and Therapeutic Applications: Advantages, Disadvantages, and Patient Outcomes. Cureus 2024, 16, e67961. [Google Scholar] [CrossRef]
- Rasetti-Escargueil, C.; Palea, S. Embracing the Versatility of Botulinum Neurotoxins in Conventional and New Therapeutic Applications. Toxins 2024, 16, 261. [Google Scholar] [CrossRef]
- Brin, M.F.; Nelson, M.; Ashourian, N.; Brideau-Andersen, A.; Maltman, J. Update on Non-Interchangeability of Botulinum Neurotoxin Products. Toxins 2024, 16, 266. [Google Scholar] [CrossRef]
- Xie, Y.; Liu, Q.; Li, L.; Wang, B.; Sun, J.; Zhao, H.; Guo, Q.; Su, J.; Fan, X.; Wang, H.; et al. DaxibotulinumtoxinA for injection to treat moderate or severe glabellar lines: A randomized, multicenter, Phase III, double-blind, placebo-controlled trial in China. J. Plast. Reconstr. Aesthet. Surg. 2024, 99, 67–75. [Google Scholar] [CrossRef]
- Gupta, A.K.; Mann, A.; Vincent, K.; Abramovits, W. DAXXIFY(TM) (DaxibotulinumtoxinA-Lanm) for Injection, for Intramuscular Use. Skinmed 2024, 22, 290–294. [Google Scholar]
- Martin, M.U.; Frevert, J.; Tay, C.M. Complexing Protein-Free Botulinum Neurotoxin A Formulations: Implications of Excipients for Immunogenicity. Toxins 2024, 16, 101. [Google Scholar] [CrossRef]
- Kerscher, M.; Wanitphakdeedecha, R.; Trindade de Almeida, A.; Maas, C.; Frevert, J. IncobotulinumtoxinA: A Highly Purified and Precisely Manufactured Botulinum Neurotoxin Type A. J. Drugs Dermatol. 2019, 18, 52–57. [Google Scholar] [PubMed]
- Li, Z.J.; Park, S.B.; Sohn, K.C.; Lee, Y.; Seo, Y.J.; Kim, C.D.; Kim, Y.S.; Lee, J.H.; Im, M. Regulation of lipid production by acetylcholine signalling in human sebaceous glands. J. Dermatol. Sci. 2013, 72, 116–122. [Google Scholar] [CrossRef] [PubMed]
- Park, J.Y.; Cho, S.I.; Hur, K.; Lee, D.H. Intradermal Microdroplet Injection of Diluted Incobotulinumtoxin-A for Sebum Control, Face Lifting, and Pore Size Improvement. J. Drugs Dermatol. 2021, 20, 49–54. [Google Scholar] [CrossRef] [PubMed]
- Rho, N.-K.; Gil, Y.-C. Botulinum Neurotoxin Type A in the Treatment of Facial Seborrhea and Acne: Evidence and a Proposed Mechanism. Toxins 2021, 13, 817. [Google Scholar] [CrossRef] [PubMed]
- Rose, A.E.; Goldberg, D.J. Safety and efficacy of intradermal injection of botulinum toxin for the treatment of oily skin. Dermatol. Surg. 2013, 39, 443–448. [Google Scholar] [CrossRef]
- Iranmanesh, B.; Khalili, M.; Mohammadi, S.; Amiri, R.; Aflatoonian, M. Employing microbotox technique for facial rejuvenation and face-lift. J. Cosmet. Dermatol. 2022, 21, 4160–4170. [Google Scholar] [CrossRef]
- Qian, W.; Zhang, Y.K.; Hou, Y.; Lyu, W.; Cao, Q.; Li, Y.Q.; Fan, J.F. Effect analysis of intradermal hyaluronic acid injection to treat enlarged facial pores. J. Cosmet. Dermatol. 2018, 17, 596–599. [Google Scholar] [CrossRef]
- Vachiramon, V.; Namasondhi, A.; Anuntrangsee, T.; Kositkuljorn, C.; Jurairattanaporn, N. A study of combined microfocused ultrasound and hyaluronic acid dermal filler in the treatment of enlarged facial pores in Asians. J. Cosmet. Dermatol. 2021, 20, 3467–3474. [Google Scholar] [CrossRef]
- Suh, D.H.; Jeong, J.Y.; Lee, S.J.; Song, K.Y.; Ryu, H.J. Can a radiofrequency device reduce the pore size? Lasers Med. Sci. 2022, 37, 1203–1208. [Google Scholar] [CrossRef]
- Parvar, S.Y.; Amani, M.; Shafiei, M.; Rastaghi, F.; Hosseini, S.A.; Ahramiyanpour, N. The efficacy and adverse effects of treatment options for facial pores: A review article. J. Cosmet. Dermatol. 2023, 22, 763–775. [Google Scholar] [CrossRef]
- Dong, J.; Lanoue, J.; Goldenberg, G. Enlarged facial pores: An update on treatments. Cutis 2016, 98, 33–36. [Google Scholar] [PubMed]
- Flament, F.; Francois, G.; Qiu, H.; Ye, C.; Hanaya, T.; Batisse, D.; Cointereau-Chardon, S.; Seixas, M.D.; Dal Belo, S.E.; Bazin, R. Facial skin pores: A multiethnic study. Clin. Cosmet. Investig. Dermatol. 2015, 8, 85–93. [Google Scholar] [CrossRef] [PubMed]
- Fabi, S.G.; Park, J.Y.; Goldie, K.; Wu, W. Microtoxin for Improving Pore Size, Skin Laxity, Sebum Control, and Scars: A Roundtable on Integrating Intradermal Botulinum Toxin Type A Microdoses Into Clinical Practice. Aesthet. Surg. J. 2023, 43, 1015–1024. [Google Scholar] [CrossRef] [PubMed]
- Li, X.; Sui, C.; Xia, X.; Chen, X. Efficacy and Safety of Botulinum Toxin Type A for Treatment of Glabellar Lines: A Network Meta-Analysis of Randomized Controlled Trials. Aesthetic Plast. Surg. 2023, 47, 365–377. [Google Scholar] [CrossRef]
- Yoelin, S.; Hooper, D. New and Future Developments in Neurotoxins. Dermatol. Surg. 2024, 50, S112–S116. [Google Scholar] [CrossRef]
- Rajanala, S.; Salame, N.; Dover, J.S. Using Neuromodulators for Salivary, Eccrine, and Apocrine Gland Disorders. Dermatol. Surg. 2024, 50, S103–S111. [Google Scholar] [CrossRef]
- Brami-Cherrier, K.; Chernavsky, A.; You, H.; Grando, S.A.; Brideau-Andersen, A.; Sondergaard, B. Botulinum Neurotoxin Type A Directly Affects Sebocytes and Modulates Oleic Acid-Induced Lipogenesis. Toxins 2022, 14, 708. [Google Scholar] [CrossRef]
- Dayel, S.B.; Hussein, R.S.; Gafar, H.H. The role of botulinum neurotoxin BoNT-A in the management of oily skin and acne vulgaris: A comprehensive review. Medicine 2024, 103, e37208. [Google Scholar] [CrossRef]
- Niforos, F.; Ogilvie, P.; Cavallini, M.; Leys, C.; Chantrey, J.; Safa, M.; Abrams, S.; Hopfinger, R.; Marx, A. VYC-12 Injectable Gel Is Safe And Effective For Improvement Of Facial Skin Topography: A Prospective Study. Clin. Cosmet. Investig. Dermatol. 2019, 12, 791–798. [Google Scholar] [CrossRef]
- Safa, M.; Natalizio, A.; Hee, C.K. A Prospective, Open-Label Study to Evaluate the Impact of VYC-12L Injection on Skin Quality Attributes in Healthy Volunteers. Clin. Cosmet. Investig. Dermatol. 2022, 15, 411–426. [Google Scholar] [CrossRef]
- Eo, J.; Seo, Y.K.; Baek, J.H.; Choi, A.R.; Shin, M.K.; Koh, J.S. Facial skin physiology recovery kinetics during 180 min post-washing with a cleanser. Skin. Res. Technol. 2016, 22, 148–151. [Google Scholar] [CrossRef]









| Characteristics | n (%) |
|---|---|
| Sex (n, %) | |
| Male | 4 (12.50) |
| Female | 28 (87.50) |
| Age (year, Mean ± SD) | 35.0 ± 9.0 |
| History of facial oiliness (n, %) | 15 (46.88) |
| Fitzpatrick skin type (n, %) | |
| Type II | 8 (25.00) |
| Type III | 16 (50.00) |
| Type IV | 8 (25.00) |
| Comorbidity (n, %) | |
| Allergic rhinitis | 2 (6.25) |
| Hypertension | 1 (3.13) |
| Dyslipidemia | 1 (3.13) |
| Hypothyroidism | 1 (3.13) |
| Characteristics | Responders (n = 14) | Non-Responders (n = 18) | p Value |
|---|---|---|---|
| Age (mean ± SD) | 34.0 ± 8.3 | 35.8 ± 10.0 | 0.5014 * |
| Male gender, n (%) | 1 (7.14%) | 3 (16.67%) | 0.6128 ** |
| History of facial oiliness, n (%) | 11 (78.57%) | 4 (22.22%) | <0.05 ** |
| Fitzpatrick skin type, n (%) | |||
| Type II | 4 (28.57) | 4 (22.22%) | 0.7035 ** |
| Type III | 7 (50.00%) | 9 (50.00%) | >0.9999 *** |
| Type IV | 3 (21.43%) | 5 (27.78%) | >0.9999 ** |
| Characteristics | Responders (n = 6) | Non-Responders (n = 26) | p Value |
|---|---|---|---|
| Age (mean ± SD) | 36.3 ± 9.5 | 34.7 ± 9.3 | 0.8288 * |
| Male gender, n (%) | 0 (0.00%) | 4 (15.38%) | 0.5662 ** |
| History of facial oiliness, n (%) | 1 (16.67%) | 14 (53.84%) | <0.05 ** |
| Fitzpatrick skin type, n (%) | |||
| Type II | 1 (16.67%) | 7 (26.92%) | >0.9999 ** |
| Type III | 4 (66.67%) | 12 (46.15%) | 0.6539 ** |
| Type IV | 1 (16.67%) | 7 (26.92%) | >0.9999 ** |
Disclaimer/Publisher’s Note: The statements, opinions and data contained in all publications are solely those of the individual author(s) and contributor(s) and not of MDPI and/or the editor(s). MDPI and/or the editor(s) disclaim responsibility for any injury to people or property resulting from any ideas, methods, instructions or products referred to in the content. |
© 2025 by the authors. Licensee MDPI, Basel, Switzerland. This article is an open access article distributed under the terms and conditions of the Creative Commons Attribution (CC BY) license (https://creativecommons.org/licenses/by/4.0/).
Share and Cite
Vachiramon, V.; Chirasuthat, S.; Boonpethkaew, S.; Sakpuwadol, N.; Yongpisarn, T.; Jurairattanaporn, N. A Study of Combined Onabotulinumtoxin A and Hyaluronic Acid Filler for the Treatment of Enlarged Facial Pores. Toxins 2025, 17, 38. https://doi.org/10.3390/toxins17010038
Vachiramon V, Chirasuthat S, Boonpethkaew S, Sakpuwadol N, Yongpisarn T, Jurairattanaporn N. A Study of Combined Onabotulinumtoxin A and Hyaluronic Acid Filler for the Treatment of Enlarged Facial Pores. Toxins. 2025; 17(1):38. https://doi.org/10.3390/toxins17010038
Chicago/Turabian StyleVachiramon, Vasanop, Sonphet Chirasuthat, Suphagan Boonpethkaew, Nawara Sakpuwadol, Tanat Yongpisarn, and Natthachat Jurairattanaporn. 2025. "A Study of Combined Onabotulinumtoxin A and Hyaluronic Acid Filler for the Treatment of Enlarged Facial Pores" Toxins 17, no. 1: 38. https://doi.org/10.3390/toxins17010038
APA StyleVachiramon, V., Chirasuthat, S., Boonpethkaew, S., Sakpuwadol, N., Yongpisarn, T., & Jurairattanaporn, N. (2025). A Study of Combined Onabotulinumtoxin A and Hyaluronic Acid Filler for the Treatment of Enlarged Facial Pores. Toxins, 17(1), 38. https://doi.org/10.3390/toxins17010038

