Different Biological Activities of Histidine-Rich Peptides Are Favored by Variations in Their Design
Abstract
1. Introduction
2. Results
2.1. Design of the Peptides
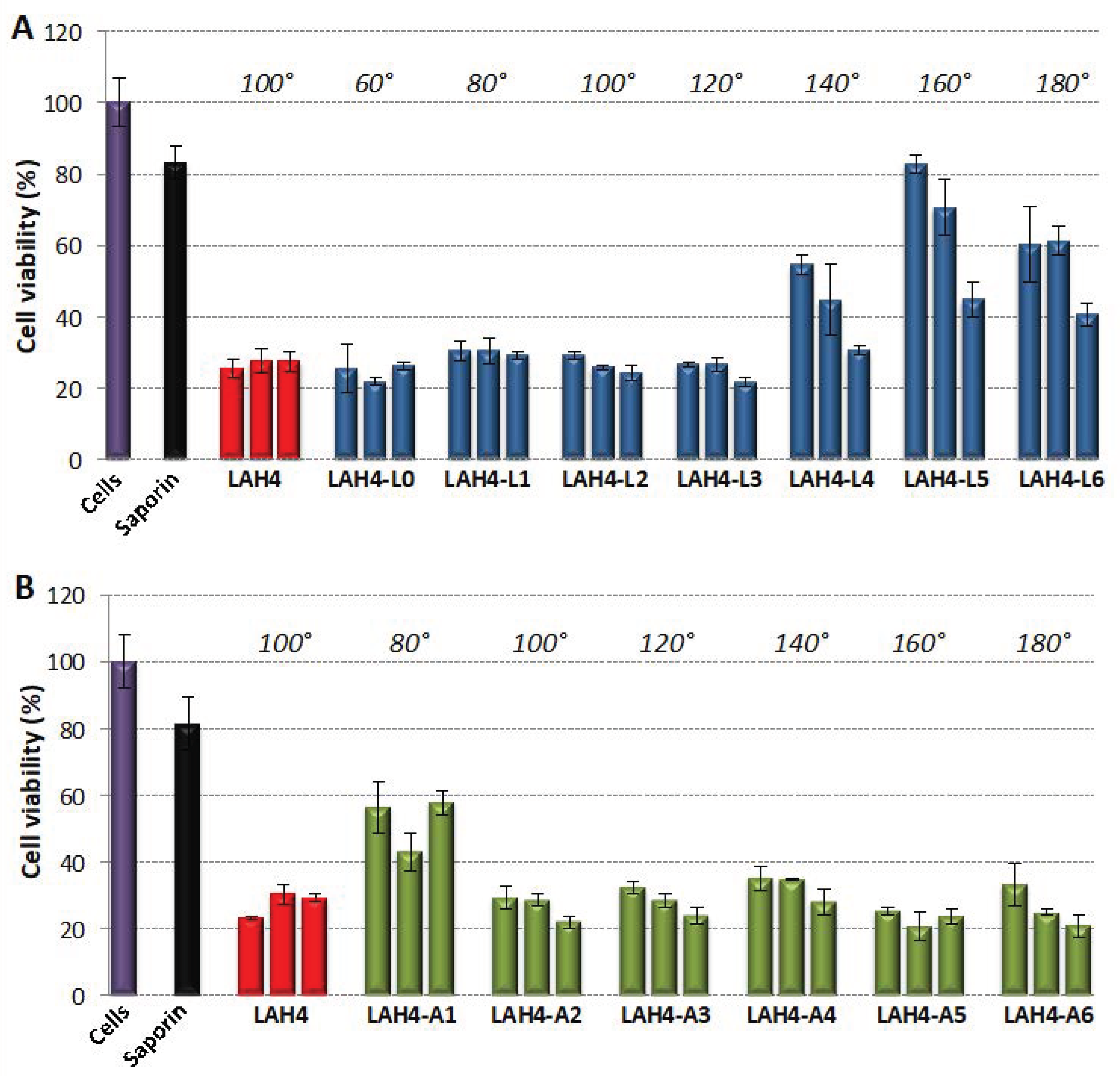
2.2. Protein Transduction Activity
2.3. Antibacterial Activity
3. Discussion
3.1. DNA Transfection
3.2. Antimicrobial Activities
3.3. Transfer of Proteins and Other Cargo
3.4. Lentiviral Transduction
4. Conclusions
5. Materials and Methods
5.1. Materials
5.2. Cell Culture
5.3. DNA Transfection Experiments
5.4. Luciferase Expression
5.5. Luciferase Transduction Experiments
5.6. Saporin Delivery
5.7. Cytotoxicity Assay
5.8. Antibacterial Activity
Supplementary Materials
Author Contributions
Funding
Institutional Review Board Statement
Informed Consent Statement
Data Availability Statement
Conflicts of Interest
References
- McMillan, K.A.M.; Coombs, M.R.P. Review: Examining the Natural Role of Amphibian Antimicrobial Peptide Magainin. Molecules 2020, 25, 5436. [Google Scholar] [CrossRef] [PubMed]
- Zasloff, M. Antimicrobial Peptides of Multicellular Organisms: My Perspective. Adv. Exp. Med. Biol. 2019, 1117, 3–6. [Google Scholar] [CrossRef]
- Alford, M.A.; Baquir, B.; Santana, F.L.; Haney, E.F.; Hancock, R.E.W. Cathelicidin Host Defense Peptides and Inflammatory Signaling: Striking a Balance. Front. Microbiol. 2020, 11, 1902. [Google Scholar] [CrossRef]
- Hecht, S.; Huc, I. Foldamers: Structure, Properties and Applications; Wiley-VCH: Weinheim, Germany, 2007. [Google Scholar]
- Ghosh, C.; Harmouche, N.; Bechinger, B.; Haldar, J. Aryl-alkyl-lysines Interact with Anionic Lipid Components of Bacterial Cell Envelope Eliciting Anti-inflammatory and Anti-biofilm Properties. ACS Omega 2018, 3, 9182–9190. [Google Scholar] [CrossRef] [PubMed]
- Douat, C.; Bornerie, M.; Antunes, S.; Guichard, G.; Kichler, A. Hybrid Cell-Penetrating Foldamer with Superior Intracellular Delivery Properties and Serum Stability. Bioconj. Chem. 2019, 30, 1133–1139. [Google Scholar] [CrossRef]
- Lakshmaiah Narayana, J.; Mishra, B.; Lushnikova, T.; Wu, Q.; Chhonker, Y.S.; Zhang, Y.; Zarena, D.; Salnikov, E.S.; Dang, X.; Wang, F.; et al. Two Distinct Amphipathic Peptide Antibiotics with Systemic Efficacy. Proc. Natl. Acad. Sci. USA 2020, 117, 19446–19454. [Google Scholar] [CrossRef] [PubMed]
- Zasloff, M. Magainins, a Class of Antimicrobial Peptides from Xenopus Skin: Isolation, Characterization of Two Active Forms, and Partial cDNA Sequence of a Precursor. Proc. Natl. Acad. Sci. USA 1987, 84, 5449–5453. [Google Scholar] [CrossRef] [PubMed]
- Bechinger, B.; Kim, Y.; Chirlian, L.E.; Gesell, J.; Neumann, J.M.; Montal, M.; Tomich, J.; Zasloff, M.; Opella, S.J. Orientations of Amphipathic Helical Peptides in Membrane Bilayers Determined by Solid-state NMR Spectroscopy. J. Biomol. NMR 1991, 1, 167–173. [Google Scholar] [CrossRef] [PubMed]
- Bechinger, B.; Juhl, D.W.; Glattard, E.; Aisenbrey, C. Revealing the Mechanisms of Synergistic Action of Two Magainin Antimicrobial Peptides. Front. Med. Technol. 2020, 2. [Google Scholar] [CrossRef]
- Bechinger, B. Towards Membrane Protein Design: pH-sensitive Topology of Histidine-containing Polypeptides. J. Mol. Biol. 1996, 263, 768–775. [Google Scholar] [CrossRef] [PubMed]
- Georgescu, J.; Verly, R.M.; Bechinger, B. NMR Structures of the Histidine-rich Peptide LAH4 in Micellar Environments: Membrane Insertion, pH-dependent Mode of Antimicrobial Action and DNA Transfection. Biophys. J. 2010, 99, 2507–2515. [Google Scholar] [CrossRef] [PubMed]
- Perrone, B.; Miles, A.J.; Salnikov, E.S.; Wallace, B.; Bechinger, B. Lipid-interactions of the LAH4, a Peptide with Antimicrobial and Nucleic Transfection Activities. Eur. Biophys. J. 2014, 43, 499–507. [Google Scholar] [CrossRef] [PubMed]
- Aisenbrey, C.; Bechinger, B. Molecular Packing of Amphipathic Peptides on the Surface of Lipid Membranes. Langmuir 2014, 30, 10374–10383. [Google Scholar] [CrossRef] [PubMed]
- Salnikov, E.S.; Mason, A.J.; Bechinger, B. Membrane Order Perturbation in the Presence of Antimicrobial Peptides by 2 H Solid-State NMR Spectroscopy. Biochimie 2009, 91, 743. [Google Scholar] [CrossRef] [PubMed]
- Marquette, A.; Mason, A.J.; Bechinger, B. Aggregation and Membrane Permeabilizing Properties of Designed Histidine-Containing Cationic Linear Peptide Antibiotics. J. Pept. Sci. 2008, 14, 488–495. [Google Scholar] [CrossRef] [PubMed]
- Wolf, J.; Aisenbrey, C.; Harmouche, N.; Raya, J.; Bertani, P.; Voievoda, N.; Süss, R.; Bechinger, B. pH-dependent Membrane Interactions of the Histidine-rich Cell Penetrating Peptide LAH4-L1. Biophys. J. 2017, 113, 1290–1300. [Google Scholar] [CrossRef] [PubMed]
- Vogt, T.C.B.; Bechinger, B. The Interactions of Histidine-containing Amphipathic Helical Peptide Antibiotics with Lipid Bilayers: The Effects of Charges and pH. J. Biol. Chem. 1999, 274, 29115–29121. [Google Scholar] [CrossRef]
- Mason, A.J.; Gasnier, C.; Kichler, A.; Prevost, G.; Aunis, D.; Metz-Boutigue, M.H.; Bechinger, B. Enhanced Membrane Disruption and Antibiotic Action Against Pathogenic Bacteria by Designed Histidine-rich Peptides at Acidic pH. Antimicrob. Agents Chemother. 2006, 50, 3305–3311. [Google Scholar] [CrossRef]
- Mason, A.J.; Moussaoui, W.; Abdelrhaman, T.; Boukhari, A.; Bertani, P.; Marquette, A.; Shooshtarizaheh, P.; Moulay, G.; Boehm, N.; Guerold, B.; et al. Structural Determinants of Antimicrobial and Antiplasmodial Activity and Selectivity in Histidine Rich Amphipathic Cationic Peptides. J. Biol. Chem. 2009, 284, 119–133. [Google Scholar] [CrossRef]
- Kichler, A.; Leborgne, C.; März, J.; Danos, O.; Bechinger, B. Histidine-rich Amphipathic Peptide Antibiotics Promote Efficient Delivery of DNA into Mammalian Cells. Proc. Natl. Acad. Sci. USA 2003, 100, 1564–1568. [Google Scholar] [CrossRef]
- Mason, A.J.; Martinez, A.; Glaubitz, C.; Danos, O.; Kichler, A.; Bechinger, B. The Antibiotic and DNA-transfecting Peptide LAH4 Selectively Associates with, and Disorders, Anionic Lipids in Mixed Membranes. FASEB J. 2006, 20, 320–322. [Google Scholar] [CrossRef] [PubMed][Green Version]
- Langlet-Bertin, B.; Leborgne, C.; Scherman, D.; Bechinger, B.; Mason, A.J.; Kichler, A. Design and Evaluation of Histidine-rich Amphipathic Peptides for siRNA Delivery. Pharm. Res. 2010, 27, 1426–1436. [Google Scholar] [CrossRef]
- Kichler, A.; Leborgne, C.; Danos, O.; Bechinger, B. Characterization of the Gene Transfer Process Mediated by Histidine-rich Peptides. J. Mol. Med. 2007, 85, 191–201. [Google Scholar] [CrossRef]
- Prongidi-Fix, L.; Sugewara, M.; Bertani, P.; Raya, J.; Leborgne, C.; Kichler, A.; Bechinger, B. Self-promoted Uptake of Peptide/DNA Transfection Complexes. Biochemistry 2007, 46, 11253–11262. [Google Scholar] [CrossRef] [PubMed]
- Bechinger, B.; Vidovic, V.; Bertani, P.; Kichler, A. A New Family of Peptide-nucleic Acid Nanostructures with Potent Transfection Activities. J. Pept. Sci. 2011, 17, 88–93. [Google Scholar] [CrossRef] [PubMed]
- Gemmill, K.B.; Muttenthaler, M.; Delehanty, J.B.; Stewart, M.H.; Susumu, K.; Dawson, P.E.; Medintz, I.L. Evaluation of Diverse Peptidyl Motifs for Cellular Delivery of Semiconductor Quantum Dots. Anal. Bioanal. Chem. 2013, 405, 6145–6154. [Google Scholar] [CrossRef] [PubMed]
- Zhang, T.T.; Khang, T.H.; Ma, B.; Xu, Y.; Hung, C.F.; Wu, T.C. LAH4 Enhances CD8+ T Cell Immunity of Protein/Peptide-based Vaccines. Vaccine 2011, 30, 784–793. [Google Scholar] [CrossRef] [PubMed]
- Moulay, G.; Leborgne, C.; Mason, A.J.; Aisenbrey, C.; Kichler, A.; Bechinger, B. Histidine-rich Designer Peptides of the LAH4 Family Promote Cell Delivery of a Multitude of Cargo. J. Pept. Sci. 2017, 23, 320–328. [Google Scholar] [CrossRef]
- Liu, Y.; Kim, Y.J.; Ji, M.; Fang, J.; Siriwon, N.; Zhang, L.; Wang, P. Enhancing Gene Delivery of Adeno-associated Viruses by Cell-permeable Peptides. Mol. Ther. Methods Clin. Dev. 2014, 1. [Google Scholar] [CrossRef]
- Liu, N.; Bechinger, B.; Suss, R. The Histidine-rich Peptide LAH4-L1 Strongly Promotes PAMAM-mediated Transfection at Low Nitrogen to Phosphorus Ratios in the Presence of Serum. Sci. Rep. 2017, 7, 9585. [Google Scholar] [CrossRef]
- Majdoul, S.; Seye, A.K.; Kichler, A.; Holic, N.; Galy, A.; Bechinger, B.; Fenard, D. Molecular Determinants of Vectofusin-1 and Its Derivatives for the Enhancement of Lentivirally Mediated Gene Transfer into Hematopoietic Stem/Progenitor Cells. J. Biol. Chem. 2016, 291, 2161–2169. [Google Scholar] [CrossRef]
- Vermeer, L.S.; Hamon, L.; Schirer, A.; Schoup, M.; Cosette, J.; Majdoul, S.; Pastré, D.; Stockholm, D.; Holic, N.; Hellwig, P.; et al. The Transduction Enhancing Peptide Vectofusin-1 forms pH-dependent α-Helical Coiled-coil Nanofibrils, Trapping Viral Particles. Acta Biomater. 2017, 64, 259–268. [Google Scholar] [CrossRef] [PubMed]
- Lee, Y.W.; Luther, D.C.; Goswami, R.; Jeon, T.; Clark, V.; Elia, J.; Gopalakrishnan, S.; Rotello, V.M. Direct Cytosolic Delivery of Proteins through Coengineering of Proteins and Polymeric Delivery Vehicles. J. Am. Chem. Soc. 2020, 142, 4349–4355. [Google Scholar] [CrossRef] [PubMed]
- Lee, Y.W.; Luther, D.C.; Kretzmann, J.A.; Burden, A.; Jeon, T.; Zhai, S.; Rotello, V.M. Protein Delivery into the Cell Cytosol Using Non-Viral Nanocarriers. Theranostics 2019, 9, 3280–3292. [Google Scholar] [CrossRef] [PubMed]
- Lee, Y.; Ishii, T.; Kim, H.J.; Nishiyama, N.; Hayakawa, Y.; Itaka, K.; Kataoka, K. Efficient Delivery of Bioactive Antibodies into the Cytoplasm of Living Cells by Charge-conversional Polyion Complex Micelles. Angew. Chem. Int. Ed. 2010, 49, 2552–2555. [Google Scholar] [CrossRef] [PubMed]
- Eltoukhy, A.A.; Chen, D.; Veiseh, O.; Pelet, J.M.; Yin, H.; Dong, Y.; Anderson, D.G. Nucleic Acid-mediated Intracellular Protein Delivery by Lipid-like Nanoparticles. Biomaterials 2014, 35, 6454–6461. [Google Scholar] [CrossRef]
- Schwarze, S.R.; Ho, A.; Vocero-Akbani, A.; Dowdy, S.F. In Vivo Protein Transduction: Delivery of a Biologically Active Protein into the Mouse. Science 1999, 285, 1569–1572. [Google Scholar] [CrossRef]
- Postupalenko, V.; Desplancq, D.; Orlov, I.; Arntz, Y.; Spehner, D.; Mely, Y.; Klaholz, B.P.; Schultz, P.; Weiss, E.; Zuber, G. Protein Delivery System Containing a Nickel-Immobilized Polymer for Multimerization of Affinity-Purified His-Tagged Proteins Enhances Cytosolic Transfer. Angew. Chem. Int. Ed. 2015, 54, 10583–10586. [Google Scholar] [CrossRef] [PubMed]
- Nischan, N.; Herce, H.D.; Natale, F.; Bohlke, N.; Budisa, N.; Cardoso, M.C.; Hackenberger, C.P. Covalent Attachment of Cyclic TAT Peptides to GFP Results in Protein Delivery into Live Cells with Immediate Bioavailability. Angew. Chem. Int. Ed. 2015, 54, 1950–1953. [Google Scholar] [CrossRef]
- Kurrikoff, K.; Vunk, B.; Langel, Ü. Status Update in the Use of Cell-penetrating Peptides for the Delivery of Macromolecular Therapeutics. Expert Opin. Biol. Ther. 2020, 1–10. [Google Scholar] [CrossRef]
- Jauset, T.; Beaulieu, M.E. Bioactive Cell Penetrating Peptides and Proteins in Cancer: A Bright Future Ahead. Curr. Opin. Pharmacol. 2019, 47, 133–140. [Google Scholar] [CrossRef]
- Polito, L.; Bortolotti, M.; Pedrazzi, M.; Bolognesi, A. Immunotoxins and Other Conjugates Containing Saporin-s6 for Cancer Therapy. Toxins 2011, 3, 697–720. [Google Scholar] [CrossRef] [PubMed]
- French, R.J.; Prusak-Sochaczewski, E.; Zamponi, G.W.; Becker, S.; Kularatna, A.S.; Horn, R. Interactions between a Pore-blocking Peptide and the Voltage Sensor of the Sodium Channel: An Electrostatic Approach to Channel Geometry. Neuron 1996, 16, 407–413. [Google Scholar] [CrossRef]
- Martínez-Jothar, L.; Beztsinna, N.; van Nostrum, C.F.; Hennink, W.E.; Oliveira, S. Selective Cytotoxicity to HER2 Positive Breast Cancer Cells by Saporin-Loaded Nanobody-Targeted Polymeric Nanoparticles in Combination with Photochemical Internalization. Mol. Pharm. 2019, 16, 1633–1647. [Google Scholar] [CrossRef] [PubMed]
- Fenard, D.; Ingrao, D.; Seye, A.; Buisset, J.; Genries, S.; Martin, S.; Kichler, A.; Galy, A. Vectofusin-1, a New Viral Entry Enhancer, Strongly Promotes Lentiviral Transduction of Human Hematopoietic Stem Cells. Mol. Ther. Nucleic Acids 2013, 2, e90. [Google Scholar] [CrossRef]
- Lointier, M.; Aisenbrey, C.; Marquette, A.; Tan, J.H.; Kichler, A.; Bechinger, B. Membrane Pore-formation Correlates with the Hydrophilic Angle of Histidine-rich Amphipathic Peptides with Multiple Biological Activities. Biochim. Biophys. Acta Biomembr. 2020, 1862, 183212. [Google Scholar] [CrossRef] [PubMed]
- ESCMID. Determination of Minimum Inhibitory Concentrations (MICs) of Antibacterial Agents by Broth Dilution. Clin. Microbiol. Infect. 2003, 9, ix–xv. [Google Scholar] [CrossRef]
- Lointier, M. Structural and Functional Investigations of Designed Histidine-rich Peptides. Ph.D. Thesis, University of Strasbourg, Strasbourg, France, 2020. [Google Scholar]
- Voievoda, N.; Schulthess, T.; Bechinger, B.; Seelig, J. Thermodynamic and Biophysical Analysis of the Membrane-Association of a Histidine-Rich Peptide with Efficient Antimicrobial and Transfection Activities. J. Phys. Chem. B 2015, 119, 9678–9687. [Google Scholar] [CrossRef]
- Mason, A.J.; Marquette, A.; Bechinger, B. Zwitterionic Phospholipids and Sterols Modulate Antimicrobial Peptide-induced Membrane Destabilization. Biophys. J. 2007, 93, 4289–4299. [Google Scholar] [CrossRef]
- Mason, A.J.; Bechinger, B.; Kichler, A. Rational Design of Vector and Antibiotic Peptides Using Solid-state NMR. Mini. Rev. Med. Chem. 2007, 7, 491–497. [Google Scholar] [CrossRef]
- Fenard, D.; Genries, S.; Scherman, D.; Galy, A.; Martin, S.; Kichler, A. Infectivity Enhancement of Different HIV-1-based Lentiviral Pseudotypes in Presence of the Cationic Amphipathic Peptide LAH4-L1. J. Virol. Methods 2013, 189, 375–378. [Google Scholar] [CrossRef] [PubMed][Green Version]
- Voievoda, N. Biophysical Investigations of the Membrane and Nucleic Acids Interactions of the Transfection Peptide LAH4-L1. Ph.D. Thesis, University of Strasbourg, Strasbourg, France, 2014. [Google Scholar]
- Westerhoff, H.V.; Juretic, D.; Hendler, R.W.; Zasloff, M. Magainins and the Disruption of Membrane-linked Free-energy Transduction. Proc. Natl. Acad. Sci. USA 1989, 86, 6597–6601. [Google Scholar] [CrossRef]
- Wieprecht, T.; Dathe, M.; Epand, R.M.; Beyermann, M.; Krause, E.; Maloy, W.L.; MacDonald, D.L.; Bienert, M. Influence of the Angle Subtended by the Positively Charged Helix Face on the Membrane Activity of Amphipathi, Antibacterial Peptides. Biochemistry 1997, 36, 12869–12880. [Google Scholar] [CrossRef] [PubMed]
- Bechinger, B. Structure and Functions of Channel-Forming Polypeptides: Magainins, Cecropins, Melittin and Alamethicin. J. Membr. Biol. 1997, 156, 197–211. [Google Scholar] [CrossRef]
- Marquette, A.; Lorber, B.; Bechinger, B. Reversible Liposome Association Induced by LAH4: A Peptide with Potent Antimicrobial and Nucleic Acid Transfection Activities. Biophys. J. 2010, 98, 2544–2553. [Google Scholar] [CrossRef]
- Marquette, A.; Bechinger, B. Biophysical Investigations Elucidating the Mechanisms of Action of Antimicrobial Peptides and Their Synergism. Biomolecules 2018, 8, 18. [Google Scholar] [CrossRef] [PubMed]
- Tytler, E.M.; Segrest, J.P.; Epand, R.M.; Nie, S.Q.; Epand, R.F.; Mishna, V.K.; Venkatachalapathi, Y.V.; Anantharamaiah, G.M. Reciprocal Effects of Apolipoprotein and Lytic Peptide Analogs on Membranes. J. Biol. Chem. 1993, 268, 22112–22118. [Google Scholar] [CrossRef]
- Malanovic, N.; Lohner, K. Gram-positive Bacterial Cell Envelopes: The Impact on the Activity of Antimicrobial Peptides. Biochim. Biophys. Acta 2016, 1858, 936–946. [Google Scholar] [CrossRef] [PubMed]
- Matsuzaki, K.; Murase, O.; Fujii, N.; Miyajima, K. Translocation of a Channel-Forming Antimicrobial Peptide, Magainin2, Across Lipid Bilayers by Forming a Pore. Biochemistry 1995, 34, 6521–6526. [Google Scholar] [CrossRef]
- Chongsiriwatana, N.P.; Lin, J.S.; Kapoor, R.; Wetzler, M.; Rea, J.A.C.; Didwania, M.K.; Contag, C.H.; Barron, A.E. Intracellular Biomass Flocculation as a Key Mechanism of Rapid Bacterial Killing by Cationic, Amphipathic Antimicrobial Peptides and Peptoids. Sci. Rep. 2017, 7, 16718. [Google Scholar] [CrossRef]
- Bechinger, B. Insights into the Mechanisms of Action of Host Defence Peptides from Biophysical and Structural Investigations. J. Pept. Sci. 2011, 17, 306–314. [Google Scholar] [CrossRef] [PubMed]
- Ingrao, D.; Majdoul, S.; Seye, A.K.; Galy, A.; Fenard, D. Concurrent Measures of Fusion and Transduction Efficiency of Primary CD34+ Cells with Human Immunodeficiency Virus 1-based Lentiviral Vectors Reveal Different Effects of Transduction Enhancers. Hum. Gene Ther. Methods 2014, 25, 48–56. [Google Scholar] [CrossRef] [PubMed]
- Yolamanova, M.; Meier, C.; Shaytan, A.K.; Vas, V.; Bertoncini, C.W.; Arnold, F.; Zirafi, O.; Usmani, S.M.; Muller, J.A.; Sauter, D.; et al. Peptide Nanofibrils Boost Retroviral Gene Transfer and Provide a Rapid Means for Concentrating Viruses. Nat. Nanotechnol. 2013, 8, 130–136. [Google Scholar] [CrossRef] [PubMed]





| Name | Sequences | Hydrophilic Angle |
|---|---|---|
| LAH4 | NH2-KKALLALALHHLAHLALHLALALKKA-Amide | 100° |
| LAH4-L0 | NH2-KKALLAHALAHLALLALHLALHLKKA-Amide | 60° |
| LAH4-L1 | NH2-KKALLAHALHLLALLALHLAHALKKA-Amide | 80° |
| LAH4-L2 | NH2-KKALLALALHHLALLALHLAHALKKA-Amide | 100° |
| LAH4-L3 | NH2-KKALLALALHHLALLAHHLALALKKA-Amide | 120° |
| LAH4-L4 | NH2-KKALLHLALLHAALLAHHLALALKKA-Amide | 140° |
| LAH4-L5 | NH2-KKALLHLALLHAALLAHLAALHLKKA-Amide | 160° |
| LAH4-L6 | NH2-KKALLHLALLLAALHAHLAALHLKKA-Amide | 180° |
| LAH4-A1 | NH2-KKALLAHALHLLAALALHLAHLLKKA-Amide | 80° |
| LAH4-A2 | NH2-KKALLLAALHHLAALALHLAHLLKKA-Amide | 100° |
| LAH4-A3 | NH2-KKALLLAALHHLLALAHHLAALLKKA-Amide | 120° |
| LAH4-A4 | NH2-KKALLHAALAHLLALAHHLLALLKKA-Amide | 140° |
| LAH4-A5 | NH2-KKALLHALLAHLAALLHALLAHLKKA-Amide | 160° |
| LAH4-A6 | NH2-KKALLHALLAALLAHLHALLAHLKKA-Amide | 180° |
| Peptide | Calcein Release (pH 5) 1 | Antimicrobial Activity (pH 5) | DNA Transfection | Virus Delivery 2 | ||||
|---|---|---|---|---|---|---|---|---|
| + | − | + | − | + | − | + | − | |
| LAH4-An | 80° | 160° | 180° | 80° | 80° | 140° | 140° | 100°/180° |
| LAH4-Ln | 60° | 160° | 140° | 80° | 80° | 180° | 120°/140° | 80°/180° |
| Peptide | Luciferase Transduction | Saporin Delivery | ||
|---|---|---|---|---|
| + | − | + | − | |
| LAH4-An | 100°/160° * | 80° | 100–180° | 80° |
| LAH4-Ln | 100°/160° * | 80° | 60–120° | 160–180° |
Publisher’s Note: MDPI stays neutral with regard to jurisdictional claims in published maps and institutional affiliations. |
© 2021 by the authors. Licensee MDPI, Basel, Switzerland. This article is an open access article distributed under the terms and conditions of the Creative Commons Attribution (CC BY) license (https://creativecommons.org/licenses/by/4.0/).
Share and Cite
Lointier, M.; Dussouillez, C.; Glattard, E.; Kichler, A.; Bechinger, B. Different Biological Activities of Histidine-Rich Peptides Are Favored by Variations in Their Design. Toxins 2021, 13, 363. https://doi.org/10.3390/toxins13050363
Lointier M, Dussouillez C, Glattard E, Kichler A, Bechinger B. Different Biological Activities of Histidine-Rich Peptides Are Favored by Variations in Their Design. Toxins. 2021; 13(5):363. https://doi.org/10.3390/toxins13050363
Chicago/Turabian StyleLointier, Morane, Candice Dussouillez, Elise Glattard, Antoine Kichler, and Burkhard Bechinger. 2021. "Different Biological Activities of Histidine-Rich Peptides Are Favored by Variations in Their Design" Toxins 13, no. 5: 363. https://doi.org/10.3390/toxins13050363
APA StyleLointier, M., Dussouillez, C., Glattard, E., Kichler, A., & Bechinger, B. (2021). Different Biological Activities of Histidine-Rich Peptides Are Favored by Variations in Their Design. Toxins, 13(5), 363. https://doi.org/10.3390/toxins13050363

