Toxic Effects of Fumonisins, Deoxynivalenol and Zearalenone Alone and in Combination in Ducks Fed the Maximum EUTolerated Level
Abstract
1. Introduction
2. Results
2.1. Performances and Organ Weight
2.2. Biochemistry and Histopathology
2.3. Oxidative Markers and Testis Function
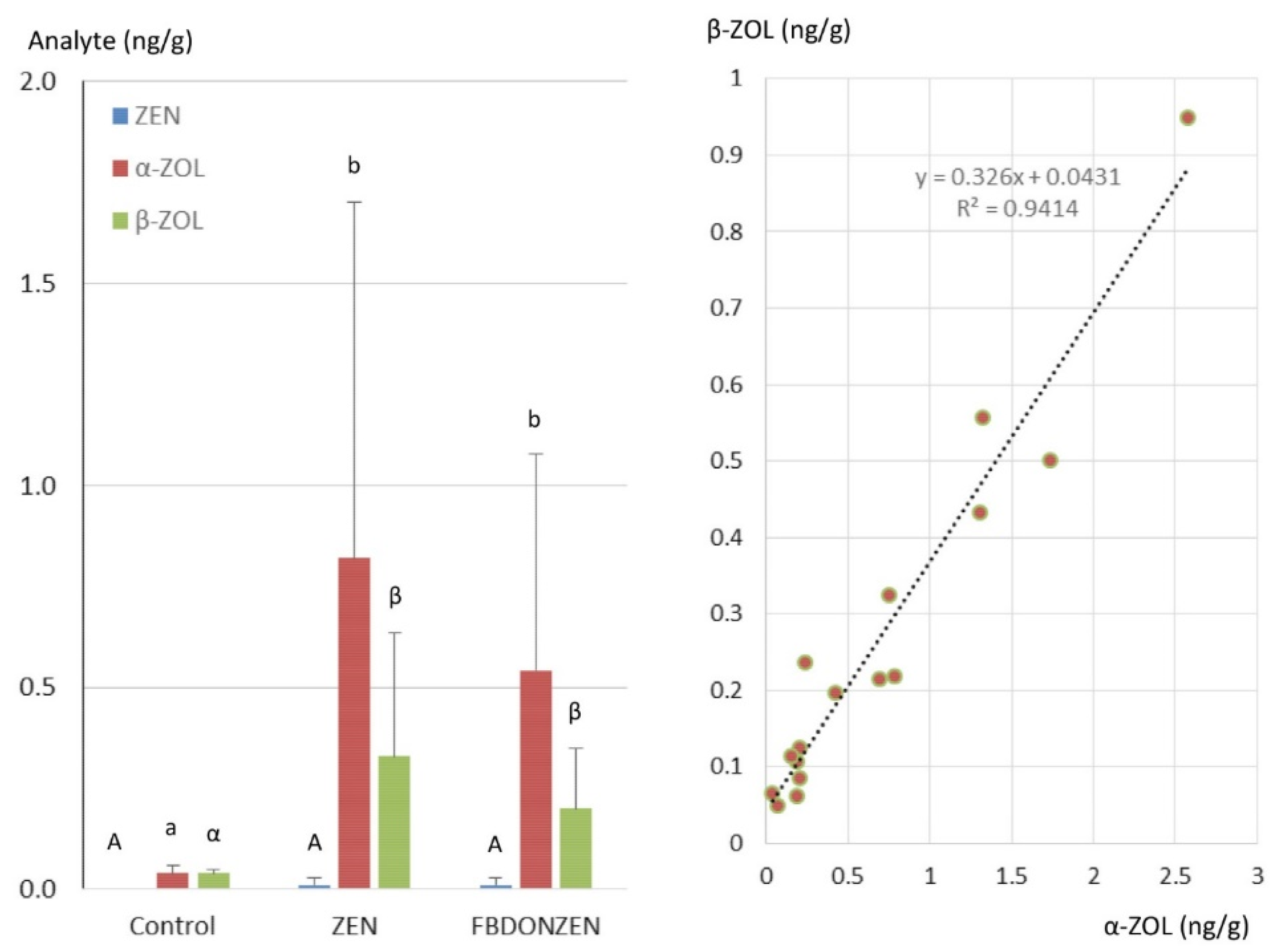
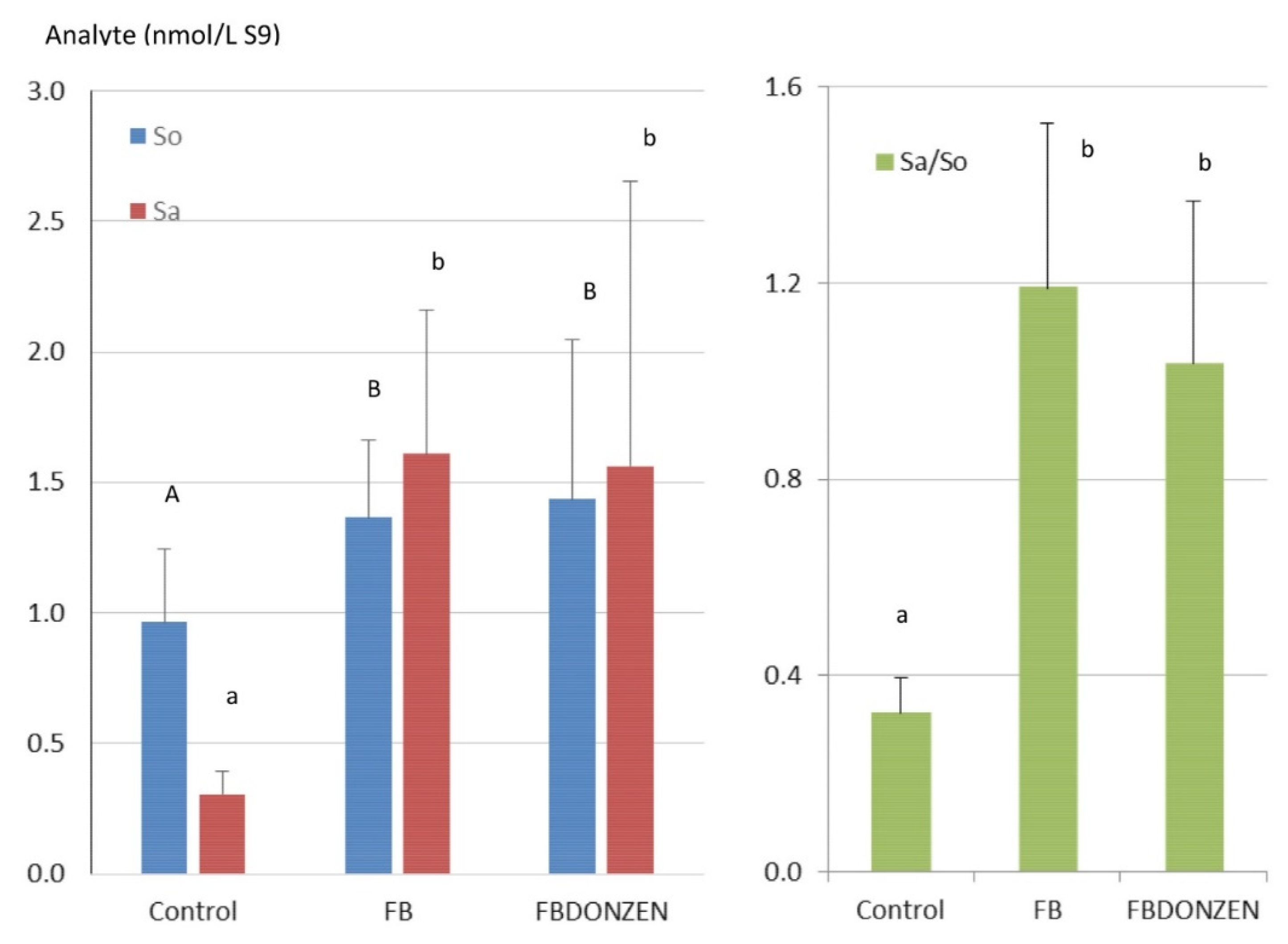
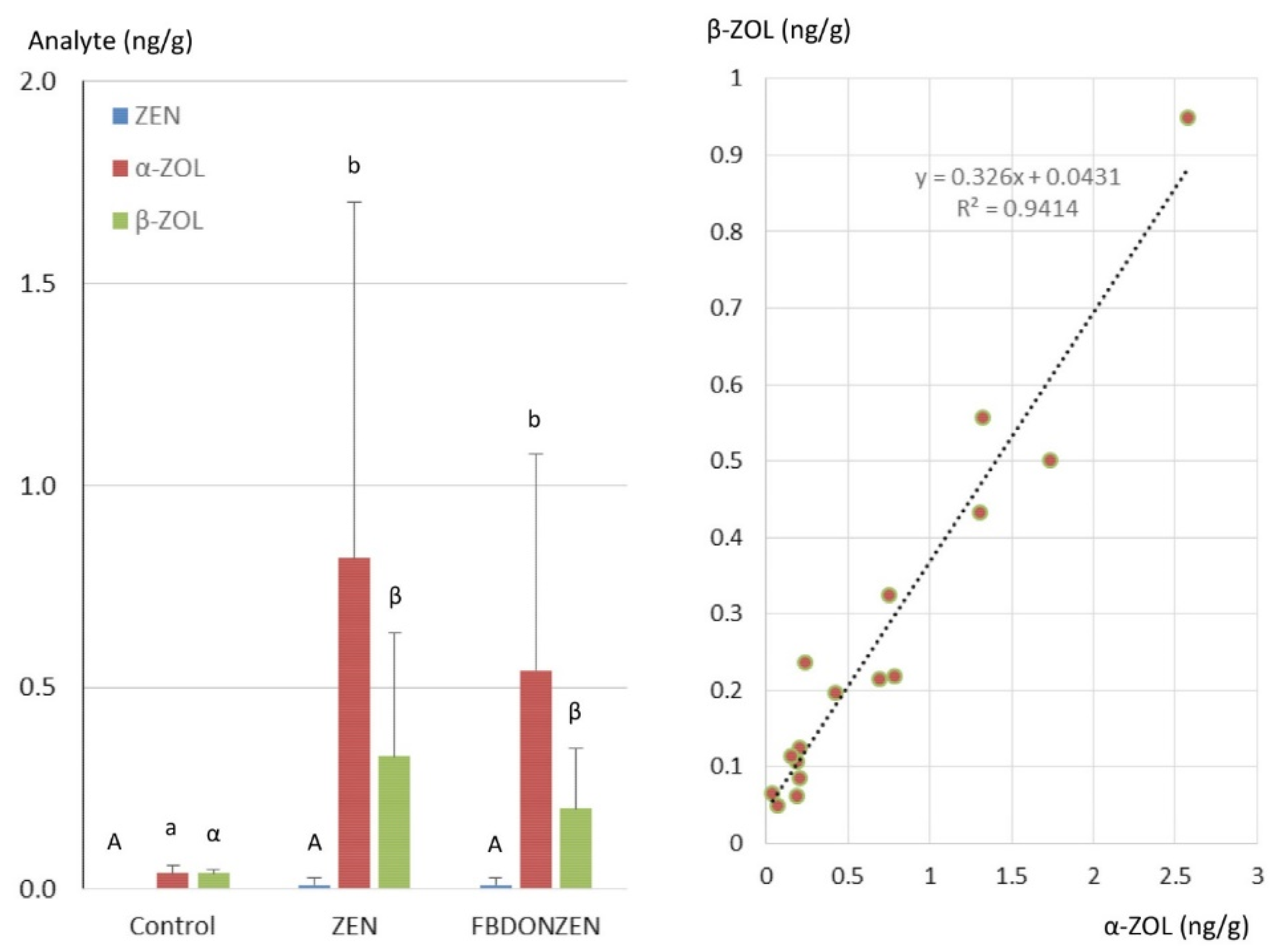
2.4. Sphingolipids and Mycotoxins in Liver
3. Discussion
3.1. Performances, Organs Weight, Biochemistry and Histopathology
3.2. Oxidative Markers and Testis Function
3.3. Sphingolipids and Mycotoxins
4. Materials and Methods
4.1. Chemicals and Reagents
4.2. Production of Mycotoxins
4.3. Mycotoxins in Culture Material and Corn
4.4. Animal Exposure
4.5. Sample Collection
4.6. Biochemistry, Hematology, Histopathology and Tissue Fractions
4.7. Markers of Oxidative Damage and Analysis of Testis Extracts
4.8. Sphingosine and Sphinganine in Liver
4.9. Mycotoxins in Liver
4.10. Statistical Analysis
Supplementary Materials
Author Contributions
Funding
Institutional Review Board Statement
Informed Consent Statement
Data Availability Statement
Conflicts of Interest
Abbreviations
| EU | European Union |
| FUS | Fusariotoxins |
| FB | Fumonisins B |
| FB1 | Fumonisin B1 |
| FB2 | Fumonisin B2 |
| ZEN | Zearalenone |
| ZAN | Zearalanone |
| α-ZOL | Alpha-zearalenol |
| α-ZAL | Alpha-zearalanol |
| β-ZAL | Beta-zearalanol |
| β-ZOL | Beta-zearalenol |
| DON | Deoxynivalenol |
| SSE | Signal suppression and enhancement |
| Sa | Sphinganine |
| So | Sphingosine |
| BW | Body weight |
| DWG | Daily weight gain |
| FC | Feed consumption |
| FCR | Feed conversion ratio |
| LDH | Lactate dehydrogenase |
| ALP | Alkaline phosphatase |
| ALT | Alanine aminotransferase |
| MDA | Malondialdehyde |
| TGs | Total glutathione |
| GSSG | Oxidized glutathione |
| SOD | Oxidized glutathione |
| CAT | Catalase |
| GPx | Glutathione peroxidase |
| GRed | Glutathione reductase |
| IS | Internal standard |
| LOQ | Limit of quantitation |
References
- Gruber-Dorninger, C.; Jenkins, T.; Schatzmayr, G. Global Mycotoxin Occurrence in Feed: A Ten-Year Survey. Toxins 2019, 11, 375. [Google Scholar] [CrossRef]
- Moretti, A.; Pascale, M.; Logrieco, A.F. Mycotoxin Risks under a Climate Change Scenario in Europe. Trends Food Sci. Technol. 2019, 84, 38–40. [Google Scholar] [CrossRef]
- Guerre, P. Worldwide Mycotoxins Exposure in Pig and Poultry Feed Formulations. Toxins 2016, 8, 350. [Google Scholar] [CrossRef]
- Murugesan, G.R.; Ledoux, D.R.; Naehrer, K.; Berthiller, F.; Applegate, T.J.; Grenier, B.; Phillips, T.D.; Schatzmayr, G. Prevalence and Effects of Mycotoxins on Poultry Health and Performance, and Recent Development in Mycotoxin Counteracting Strategies. Poult. Sci. 2015, 94, 1298–1315. [Google Scholar] [CrossRef]
- COMMISSION RECOMMENDATION of 17 August 2006 on the Presence of Deoxynivalenol, Zearalenone, Ochratoxin A, T-2 and HT-2 and Fumonisins in Products Intended for Animal Feeding. Available online: http://eur-lex.europa.eu/legal-content/EN/TXT/PDF/?uri=CELEX:32006H0576&from=EN (accessed on 11 August 2016).
- Commission Recommendation of 27 March 2013 on the Presence of T-2 and HT-2 Toxin in Cereals and Cereal Products. Available online: http://eur-lex.europa.eu/legal-content/EN/TXT/PDF/?uri=CELEX:32013H0165&from=EN (accessed on 11 August 2016).
- Grenier, B.; Oswald, I. Mycotoxin Co-Contamination of Food and Feed: Meta-Analysis of Publications Describing Toxicological Interactions. World Mycotoxin J. 2011, 4, 285–313. [Google Scholar] [CrossRef]
- EFSA Panel on Contaminants in the Food Chain (CONTAM); Knutsen, H.; Alexander, J.; Barregård, L.; Bignami, M.; Brüschweiler, B.; Ceccatelli, S.; Cottrill, B.; Dinovi, M.; Edler, L.; et al. Risks for Animal Health Related to the Presence of Fumonisins, Their Modified Forms and Hidden Forms in Feed. EFSA J. 2018, 16. [Google Scholar] [CrossRef]
- Tardieu, D.; Bailly, J.D.; Benard, G.; Tran, T.S.; Guerre, P. Toxicity of Maize Containing Known Levels of Fumonisin B1 during Force-Feeding of Ducks. Poult. Sci. 2004, 83, 1287–1293. [Google Scholar] [CrossRef]
- Tardieu, D.; Bailly, J.-D.; Benlashehr, I.; Auby, A.; Jouglar, J.-Y.; Guerre, P. Tissue Persistence of Fumonisin B1 in Ducks and after Exposure to a Diet Containing the Maximum European Tolerance for Fumonisins in Avian Feeds. Chem. Biol. Interact. 2009, 182, 239–244. [Google Scholar] [CrossRef] [PubMed]
- Metayer, J.-P.; Travel, A.; Mika, A.; Bailly, J.-D.; Cleva, D.; Boissieu, C.; Guennec, J.L.; Froment, P.; Albaric, O.; Labrut, S.; et al. Lack of Toxic Interaction Between Fusariotoxins in Broiler Chickens Fed throughout Their Life at the Highest Level Tolerated in the European Union. Toxins 2019, 11, 455. [Google Scholar] [CrossRef] [PubMed]
- Travel, A.; Metayer, J.-P.; Mika, A.; Bailly, J.-D.; Cleva, D.; Boissieu, C.; Guennec, J.L.; Albaric, O.; Labrut, S.; Lepivert, G.; et al. Toxicity of Fumonisins, Deoxynivalenol, and Zearalenone Alone and in Combination in Turkeys Fed with the Maximum European Union–Tolerated Level. Avian Dis. 2019, 63, 703–712. [Google Scholar] [CrossRef] [PubMed]
- Antonissen, G.; Croubels, S.; Pasmans, F.; Ducatelle, R.; Eeckhaut, V.; Devreese, M.; Verlinden, M.; Haesebrouck, F.; Eeckhout, M.; De Saeger, S.; et al. Fumonisins Affect the Intestinal Microbial Homeostasis in Broiler Chickens, Predisposing to Necrotic Enteritis. Vet. Res. 2015, 46, 98. [Google Scholar] [CrossRef] [PubMed]
- Awad, W.A.; Böhm, J.; Razzazi-Fazeli, E.; Zentek, J. Effects of Feeding Deoxynivalenol Contaminated Wheat on Growth Performance, Organ Weights and Histological Parameters of the Intestine of Broiler Chickens. J. Anim. Physiol. Anim. Nutr. 2006, 90, 32–37. [Google Scholar] [CrossRef]
- Awad, W.A.; Ghareeb, K.; Dadak, A.; Gille, L.; Staniek, K.; Hess, M.; Böhm, J. Genotoxic Effects of Deoxynivalenol in Broiler Chickens Fed Low-Protein Feeds. Poult. Sci. 2012, 91, 550–555. [Google Scholar] [CrossRef]
- Awad, W.A.; Hess, M.; Twarużek, M.; Grajewski, J.; Kosicki, R.; Böhm, J.; Zentek, J. The Impact of the Fusarium Mycotoxin Deoxynivalenol on the Health and Performance of Broiler Chickens. Int. J. Mol. Sci. 2011, 12, 7996–8012. [Google Scholar] [CrossRef] [PubMed]
- Awad, W.; Ghareeb, K.; Böhm, J.; Zentek, J. The Toxicological Impacts of the Fusarium Mycotoxin, Deoxynivalenol, in Poultry Flocks with Special Reference to Immunotoxicity. Toxins 2013, 5, 912–925. [Google Scholar] [CrossRef]
- Brown, T.P.; Rottinghaus, G.E.; Williams, M.E. Fumonisin Mycotoxicosis in Broilers: Performance and Pathology. Avian Dis. 1992, 36, 450–454. [Google Scholar] [CrossRef]
- Espada, Y.; de Gopegui, R.R.; Cuadradas, C.; Cabañes, F.J. Fumonisin Mycotoxicosis in Broilers: Plasma Proteins and Coagulation Modifications. Avian Dis. 1997, 41, 73–79. [Google Scholar] [CrossRef]
- Espada, Y.; de Ruiz, R.G.; Cuadradas, C.; Cabañes, F.J. Fumonisin Mycotoxicosis in Broilers. Weights and Serum Chemistry Modifications. Avian Dis. 1994, 38, 454–460. [Google Scholar] [CrossRef]
- Henry, M.H.; Wyatt, R.D.; Fletchert, O.J. The Toxicity of Purified Fumonisin B1 in Broiler Chicks. Poult. Sci. 2000, 79, 1378–1384. [Google Scholar] [CrossRef]
- Kubena, L.F.; Edrington, T.S.; Harvey, R.B.; Buckley, S.A.; Phillips, T.D.; Rottinghaus, G.E.; Casper, H.H. Individual and Combined Effects of Fumonisin B1 Present in Fusarium Moniliforme Culture Material and T-2 Toxin or Deoxynivalenol in Broiler Chicks. Poult. Sci. 1997, 76, 1239–1247. [Google Scholar] [CrossRef] [PubMed]
- Kubena, L.F.; Harvey, R.B.; Buckley, S.A.; Bailey, R.H.; Rottinghaus, G.E. Effects of Long-Term Feeding of Diets Containing Moniliformin, Supplied by Fusarium Fujikuroi Culture Material, and Fumonisin, Supplied by Fusarium Moniliforme Culture Material, to Laying Hens. Poult. Sci. 1999, 78, 1499–1505. [Google Scholar] [CrossRef]
- Ledoux, D.R.; Brown, T.P.; Weibking, T.S.; Rottinghaus, G.E. Fumonisin Toxicity in Broiler Chicks. J. Vet. Diagn. Investig. Off. Publ. Am. Assoc. Vet. Lab. Diagn. Inc. 1992, 4, 330–333. [Google Scholar] [CrossRef]
- Weibking, T.; Ledoux, D.R.; Bermudez, A.J.; Turk, J.R.; Rottinghaus, G.E. Effects on Turkey Poults of Feeding Fusarium Moniliforme M-1325 Culture Material Grown under Different Environmental Conditions. Avian Dis. 1995, 39, 32–38. [Google Scholar] [CrossRef] [PubMed]
- Weibking, T.S.; Ledoux, D.R.; Brown, T.P.; Rottinghaus, G.E. Fumonisin Toxicity in Turkey Poults. J. Vet. Diagn. Investig. Off. Publ. Am. Assoc. Vet. Lab. Diagn. Inc 1993, 5, 75–83. [Google Scholar] [CrossRef]
- Yunus, A.W.; Blajet-Kosicka, A.; Kosicki, R.; Khan, M.Z.; Rehman, H.; Böhm, J. Deoxynivalenol as a Contaminant of Broiler Feed: Intestinal Development, Absorptive Functionality, and Metabolism of the Mycotoxin. Poult. Sci. 2012, 91, 852–861. [Google Scholar] [CrossRef]
- Yunus, A.W.; Ghareeb, K.; Twaruzek, M.; Grajewski, J.; Böhm, J. Deoxynivalenol as a Contaminant of Broiler Feed: Effects on Bird Performance and Response to Common Vaccines. Poult. Sci. 2012, 91, 844–851. [Google Scholar] [CrossRef]
- Tardieu, D.; Travel, A.; Metayer, J.-P.; Le Bourhis, C.; Guerre, P. Fumonisin B1, B2 and B3 in Muscle and Liver of Broiler Chickens and Turkey Poults Fed with Diets Containing Fusariotoxins at the EU Maximum Tolerable Level. Toxins 2019, 11, 590. [Google Scholar] [CrossRef] [PubMed]
- Tardieu, D.; Travel, A.; Metayer, J.-P.; Le Bourhis, C.; Guerre, P. Zearalenone and Metabolites in Livers of Turkey Poults and Broiler Chickens Fed with Diets Containing Fusariotoxins. Toxins 2020, 12, 525. [Google Scholar] [CrossRef] [PubMed]
- Bermudez, A.J.; Ledoux, D.R.; Rottinghaus, G.E. Effects of Fusarium Moniliforme Culture Material Containing Known Levels of Fumonisin B1 in Ducklings. Avian Dis. 1995, 39, 879–886. [Google Scholar] [CrossRef]
- Bailly, J.D.; Benard, G.; Jouglar, J.Y.; Durand, S.; Guerre, P. Toxicity of Fusarium Moniliforme Culture Material Containing Known Levels of Fumonisin B1 in Ducks. Toxicology 2001, 163, 11–22. [Google Scholar] [CrossRef]
- Tran, S.T.; Auvergne, A.; Benard, G.; Bailly, J.D.; Tardieu, D.; Babilé, R.; Guerre, P. Chronic Effects of Fumonisin B1 on Ducks. Poult. Sci. 2005, 84, 22–28. [Google Scholar] [CrossRef] [PubMed]
- Benlasher, E.; Geng, X.; Nguyen, N.T.X.; Tardieu, D.; Bailly, J.-D.; Auvergne, A.; Guerre, P. Comparative Effects of Fumonisins on Sphingolipid Metabolism and Toxicity in Ducks and Turkeys. Avian Dis. 2012, 56, 120–127. [Google Scholar] [CrossRef] [PubMed]
- Masarone, M.; Rosato, V.; Dallio, M.; Gravina, A.G.; Aglitti, A.; Loguercio, C.; Federico, A.; Persico, M. Role of Oxidative Stress in Pathophysiology of Nonalcoholic Fatty Liver Disease. Oxid. Med. Cell. Longev. 2018, 2018. [Google Scholar] [CrossRef]
- Visscher, C.; Middendorf, L.; Günther, R.; Engels, A.; Leibfacher, C.; Möhle, H.; Düngelhoef, K.; Weier, S.; Haider, W.; Radko, D. Fat Content, Fatty Acid Pattern and Iron Content in Livers of Turkeys with Hepatic Lipidosis. Lipids Health Dis. 2017, 16. [Google Scholar] [CrossRef] [PubMed]
- Araújo, P.M.; Viegas, I.; Rocha, A.D.; Villegas, A.; Jones, J.G.; Mendonça, L.; Ramos, J.A.; Masero, J.A.; Alves, J.A. Understanding How Birds Rebuild Fat Stores during Migration: Insights from an Experimental Study. Sci. Rep. 2019, 9. [Google Scholar] [CrossRef]
- Cortinovis, C.; Pizzo, F.; Spicer, L.J.; Caloni, F. Fusarium Mycotoxins: Effects on Reproductive Function in Domestic Animals—A Review. Theriogenology 2013, 80, 557–564. [Google Scholar] [CrossRef]
- Tran, S.T.; Bailly, J.D.; Tardieu, D.; Durand, S.; Benard, G.; Guerre, P. Sphinganine to Sphingosine Ratio and Predictive Biochemical Markers of Fumonisin B1 Exposure in Ducks. Chem. Biol. Interact. 2003, 146, 61–72. [Google Scholar] [CrossRef]
- Tran, S.T.; Tardieu, D.; Auvergne, A.; Bailly, J.D.; Babilé, R.; Durand, S.; Benard, G.; Guerre, P. Serum Sphinganine and the Sphinganine to Sphingosine Ratio as a Biomarker of Dietary Fumonisins during Chronic Exposure in Ducks. Chem. Biol. Interact. 2006, 160, 41–50. [Google Scholar] [CrossRef]
- Tardieu, D.; Tran, S.T.; Auvergne, A.; Babilé, R.; Benard, G.; Bailly, J.D.; Guerre, P. Effects of Fumonisins on Liver and Kidney Sphinganine and the Sphinganine to Sphingosine Ratio during Chronic Exposure in Ducks. Chem. Biol. Interact. 2006, 160, 51–60. [Google Scholar] [CrossRef]
- Tardieu, D.; Bailly, J.-D.; Skiba, F.; Grosjean, F.; Guerre, P. Toxicokinetics of Fumonisin B1 in Turkey Poults and Tissue Persistence after Exposure to a Diet Containing the Maximum European Tolerance for Fumonisins in Avian Feeds. Food Chem. Toxicol. Int. J. Publ. Br. Ind. Biol. Res. Assoc. 2008, 46, 3213–3218. [Google Scholar] [CrossRef] [PubMed]
- Hort, V.; Nicolas, M.; Travel, A.; Jondreville, C.; Maleix, C.; Baéza, E.; Engel, E.; Guérin, T. Carry-over Assessment of Fumonisins and Zearalenone to Poultry Tissues after Exposure of Chickens to a Contaminated Diet—A Study Implementing Stable-Isotope Dilution Assay and UHPLC-MS/MS. Food Control. 2020, 107, 106789. [Google Scholar] [CrossRef]
- Tardieu, D.; Travel, A.; Le Bourhis, C.; Metayer, J.-P.; Mika, A.; Cleva, D.; Boissieu, C.; Guerre, P. Fumonisins and Zearalenone Fed at Low Levels Can Persist Several Days in the Liver of Turkeys and Broiler Chickens after Exposure to the Contaminated Diet Was Stopped. Food Chem. Toxicol. 2021, 148, 111968. [Google Scholar] [CrossRef] [PubMed]
- Liu, J.; Applegate, T. Zearalenone (ZEN) in Livestock and Poultry: Dose, Toxicokinetics, Toxicity and Estrogenicity. Toxins 2020, 12, 377. [Google Scholar] [CrossRef] [PubMed]
- Arroyo, J.; Fortun-Lamothe, L.; Dubois, J.P.; Lavigne, F.; Bijja, M.; Molette, C. The Influence of Choice Feeding and Cereal Type (Corn or Triticale) during the Finishing Period on Performance of Mule Ducks. Poult. Sci. 2014, 93, 2220–2226. [Google Scholar] [CrossRef]
- Massimino, W.; Davail, S.; Bernadet, M.-D.; Pioche, T.; Tavernier, A.; Ricaud, K.; Gontier, K.; Bonnefont, C.; Manse, H.; Morisson, M.; et al. Positive Impact of Thermal Manipulation During Embryogenesis on Foie Gras Production in Mule Ducks. Front. Physiol. 2019, 10. [Google Scholar] [CrossRef] [PubMed]



| Variable 3 | Control 2 | FB 2 | DON 2 | ZEN 2 | FBDONZEN 2 |
|---|---|---|---|---|---|
| D84 BW (g) | 4696 ± 89 | 4691 ± 84 | 4690 ± 86 | 4699 ± 85 | 4693 ± 87 |
| D96 BW (g) * | 6656 ± 293 a | 6620 ± 402 a | 6545 ± 362 a | 6648 ± 289 a | 6289 ± 278 b |
| DWG (g) * | 163 ± 20 a | 161 ± 28 a | 155 ± 24 a | 162 ± 20 a | 133 ± 21 b |
| FC | 9115 ± 297 | 9210 ± 244 | 9236 ± 257 | 9129 ± 401 | 9165 ± 350 |
| FCR * | 4.71 ± 0.56 a | 4.90 ± 0.77 a | 5.07 ± 0.67 a | 4.74 ± 0.56 a | 5.90 ± 1.08 b |
| Liver (g) | 697 ± 125 | 646 ± 136 | 640 ± 140 | 672 ± 126 | 567 ± 125 |
| Melt rate (%) | 0.41 ± 0.07 | 0.35 ± 0.15 | 0.37 ± 0.10 | 0.35 ± 0.16 | 0.30 ± 0.15 |
| Kidney (g) * | 28.4 ± 2.4 a | 27.9 ± 2.8 ab | 28.5 ± 3.5 a | 27.4 ± 1.7 ab | 25.6 ± 2.9 b |
| Heart (g) | 34.4 ± 4.4 | 33.3 ± 4.1 | 36.1 ± 4.4 | 33.9 ± 4 | 33.5 ± 4 |
| Spleen (g) | 2.73 ± 0.64 | 2.51 ± 0.56 | 2.79 ± 0.48 | 2.62 ± 0.55 | 2.56 ± 0.51 |
| Pancreas (g) | 9.75 ± 1.13 | 9.42 ± 1.70 | 9.87 ± 1.17 | 9.60 ± 1.55 | 9.93 ± 1.74 |
| F. bursa (g) | 1.77 ± 0.55 | 1.83 ± 0.51 | 1.63 ± 0.34 | 1.74 ± 0.53 | 1.75 ± 0.61 |
| Gizzard (g) | 72.9 ± 8.6 | 73.1 ± 8.2 | 73.1 ± 6.9 | 72.8 ± 8.6 | 72 ± 7.8 |
| Intestine (g) | 119 ± 17 | 120 ± 23 | 118 ± 26 | 112 ± 20 | 105 ± 20 |
| Intestine (cm) | 277 ± 5 | 289 ± 18 | 282 ± 22 | 274 ± 20 | 269 ± 21 |
| Duodenum (g) * | 25.4 ± 4.2 ab | 22.9 ± 3.9 ab | 25.9 ± 5 a | 24 ± 4 ab | 21.3 ± 4 b |
| Duodenum (cm) | 47.1 ± 4.3 | 45.4 ± 3.8 | 47.8 ± 4 | 45.6 ± 2.4 | 46.1 ± 6 |
| Jejunum (g) | 51.7 ± 9.4 | 54.3 ± 12 | 52 ± 12.5 | 48.8 ± 9.5 | 45.4 ± 10.4 |
| Jejunum (cm) * | 116 ± 8 ab | 123 ± 9 a | 120 ± 9 ab | 117 ± 11 ab | 113 ± 9 b |
| Ileum (g) | 42.1 ± 7.7 | 42.9 ± 8.7 | 39.9 ± 10 | 39.4 ± 7.3 | 38.7 ± 8.2 |
| Ileum (cm) * | 114 ± 8 | 121 ± 10 | 115 ± 12 | 113 ± 10 | 110 ± 9 |
| Caecum (g) | 3.27 ± 0.69 | 3.63 ± 1.25 | 3.46 ± 0.67 | 3.25 ± 0.51 | 3.41 ± 0.67 |
| Variables 3 | Control 2 | FB 2 | DON 2 | ZEN 2 | FBDONZEN 2 |
|---|---|---|---|---|---|
| Proteins 3 | 41.4 ± 10.8 | 42.7 ± 6.7 | 43.4 ± 10.9 | 42.7 ± 12.2 | 48.6 ± 14.4 |
| Cholesterol 3 | 3.41 ± 1.11 | 3.44 ± 0.83 | 3.57 ± 0.87 | 3.5 ± 0.74 | 3.79 ± 0.99 |
| Uric acid 3 | 82.8 ± 28.8 | 83.8 ± 27.9 | 84 ± 19.4 | 88.6 ± 25.2 | 80.9 ± 20.8 |
| LDH 3 | 7474 ± 3085 | 6060 ± 1986 | 6786 ± 2844 | 7310 ± 1905 | 7025 ± 3329 |
| ALP 3 | 4.91 ± 1.45 | 5.64 ± 1.55 | 5.64 ± 1.34 | 6.00 ± 2.63 | 5.71 ± 1.86 |
| ALT 3 | 168 ± 91 | 145 ± 69 | 133 ± 83 | 120 ± 42 | 123 ± 43 |
| Heterocytes 4 | 59.9 ± 14.6 | 44.1 ± 7.8 | 47.1 ± 13.6 | 47.9 ± 11.8 | 49.6 ± 10.7 |
| Lymphocytes 4 | 49.6 ± 11.6 | 55.4 ± 7.8 | 51.9 ± 13.4 | 51.6 ± 11.7 | 49.9 ± 10.8 |
| Monocytes 4 | 0.29 ± 0.61 | 0.57 ± 0.65 | 0.86 ± 1.10 | 0.50 ± 0.76 | 0.57 ± 0.65 |
| Liver 5 | 0.4 ± 0.5 | 0.4 ± 0.5 | 0.4 ± 0.5 | 0.4 ± 0.5 | 0.7 ± 0.5 |
| Kidney 5 | 0 | 0 | 0.1 ± 0.3 | 0.3 ± 0.6 | 0.1 ± 0.4 |
| Spleen 5 | 1.5 ± 0.5 | 1.5 ± 0.5 | 1.5 ± 0.6 | 1.4 ± 0.5 | 1.4 ± 0.5 |
| F. bursa 5 | 0.6 ± 0.9 | 0.4 ± 0.7 | 0.5 ± 0.9 | 1 ± 1 | 0.9 ± 0.9 |
| G. hypertrophy 6 | 0.3 ± 0.5 | 0 | 0.3 ± 0.5 | 0.4 ± 0.5 | 0.5 ± 0.5 |
| Inflammation 6,* | 1.2 ± 0.8 | 1.7 ± 0.5 | 2 ± 0.1 | 1.9 ± 0.4 | 1.9 ± 0.3 |
| L. hyperplasia 6 | 1.2 ± 0.4 | 1.6 ± 0.9 | 2 ± 0.6 | 1.9 ± 0.8 | 1.8 ± 0.4 |
| C.T. infiltration 6,* | 0.8 ± 0.4 | 0.5 ± 0.5 | 0.9 ± 0.6 | 1 ± 0.4 | 0.9 ± 0.3 |
| Control 2 | FB 2 | DON 2 | ZEN 2 | FBDONZEN 2 | |
|---|---|---|---|---|---|
| Plasma 3 | |||||
| MDA | 983 ± 248 | 1105 ± 177 | 995 ± 209 | 1070 ± 181 | 1111 ± 293 |
| TG | 13.9 ± 1.8 | 11.7 ± 3.9 | 10.9 ± 3.9 | 10.6 ± 2.5 | 8.7 ± 2.7 |
| GPx | 493 ± 48 | 509 ± 33 | 515 ± 44 | 496 ± 44 | 509 ± 36 |
| GRed | 10.6 ± 4.4 | 16.7 ± 3.2 | 16 ± 3.5 | 15.8 ± 4 | 16.4 ± 4.1 |
| Liver 3 | |||||
| MDA | 2.5 ± 1.7 | 3.6 ± 1.9 | 3.1 ± 1.7 | 3.6 ± 1.9 | 3.4 ± 1.9 |
| TGs | 22.2 ± 2.9 | 22.9 ± 4.4 | 21.6 ± 4.3 | 19.9 ± 2.6 | 20.2 ± 3.5 |
| GSSG | 1.7 ± 0.4 | 1.2 ± 0.4 | 1.1 ± 0.3 | 1.2 ± 0.5 | 1.5 ± 0.4 |
| SOD | 2.09 ± 1.04 | 1.95 ± 0.58 | 1.75 ± 0.7 | 1.69 ± 0.36 | 1.92 ± 0.59 |
| CAT | 23.4 ± 11.4 | 26.2 ± 13.7 | 24.3 ± 14.5 | 26.7 ± 11.1 | 27.7 ± 17.2 |
| GPx | 31.3 ± 6.1 | 30.4 ± 7.6 | 26.2 ± 6.3 | 31.4 ± 7.5 | 31 ± 5 |
| GRed | 12.7 ± 2.2 | 16 ± 2.1 | 14.2 ± 3.2 | 14.8 ± 4.3 | 15.7 ± 4.4 |
| Testis 4 | |||||
| Weight | 2.08 ± 0.27 | 2.2 ± 0.33 | 1.87 ± 0.19 | 2.18 ± 0.26 | 2.07 ± 0.32 |
| Caspase 3 | 0.9 ± 0.14 | 0.79 ± 0.13 | 1.15 ± 0.33 | 1.04 ± 0.21 | 0.76 ± 0.14 |
| cAMP | 164 ± 31 | 204 ± 21 | 195 ± 21 | 174 ± 29 | 167 ± 18 |
| Testosterone | 0.22 ± 0.05 | 0.29 ± 0.07 | 0.25 ± 0.08 | 0.31 ± 0.06 | 0.23 ± 0.06 |
Publisher’s Note: MDPI stays neutral with regard to jurisdictional claims in published maps and institutional affiliations. |
© 2021 by the authors. Licensee MDPI, Basel, Switzerland. This article is an open access article distributed under the terms and conditions of the Creative Commons Attribution (CC BY) license (http://creativecommons.org/licenses/by/4.0/).
Share and Cite
Peillod, C.; Laborde, M.; Travel, A.; Mika, A.; Bailly, J.D.; Cleva, D.; Boissieu, C.; Le Guennec, J.; Albaric, O.; Labrut, S.; et al. Toxic Effects of Fumonisins, Deoxynivalenol and Zearalenone Alone and in Combination in Ducks Fed the Maximum EUTolerated Level. Toxins 2021, 13, 152. https://doi.org/10.3390/toxins13020152
Peillod C, Laborde M, Travel A, Mika A, Bailly JD, Cleva D, Boissieu C, Le Guennec J, Albaric O, Labrut S, et al. Toxic Effects of Fumonisins, Deoxynivalenol and Zearalenone Alone and in Combination in Ducks Fed the Maximum EUTolerated Level. Toxins. 2021; 13(2):152. https://doi.org/10.3390/toxins13020152
Chicago/Turabian StylePeillod, Céline, Marie Laborde, Angélique Travel, Amandine Mika, Jean Denis Bailly, Didier Cleva, Cyril Boissieu, Jean Le Guennec, Olivier Albaric, Sophie Labrut, and et al. 2021. "Toxic Effects of Fumonisins, Deoxynivalenol and Zearalenone Alone and in Combination in Ducks Fed the Maximum EUTolerated Level" Toxins 13, no. 2: 152. https://doi.org/10.3390/toxins13020152
APA StylePeillod, C., Laborde, M., Travel, A., Mika, A., Bailly, J. D., Cleva, D., Boissieu, C., Le Guennec, J., Albaric, O., Labrut, S., Froment, P., Tardieu, D., & Guerre, P. (2021). Toxic Effects of Fumonisins, Deoxynivalenol and Zearalenone Alone and in Combination in Ducks Fed the Maximum EUTolerated Level. Toxins, 13(2), 152. https://doi.org/10.3390/toxins13020152

