Comparative Venomics of the Vipera ammodytes transcaucasiana and Vipera ammodytes montandoni from Turkey Provides Insights into Kinship
Abstract
1. Introduction
2. Results and Discussion
2.1. The Venom Proteome
2.1.1. Intact Mass Profiling
2.1.2. Bottom-Up Venomics
2.2. Comparative Venomics of Vipera ammodytes
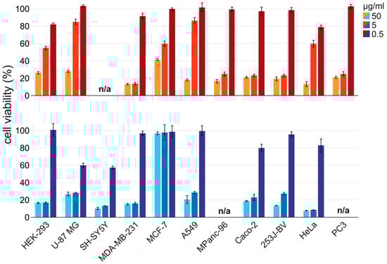
2.3. Cytotoxicity Screening
3. Conclusions
4. Materials and Methods
4.1. Collection and Preparation of Venom Samples
4.2. Determination of Protein Content
4.3. Cell Culture and In Vitro Cytotoxicity Assay
4.4. Determination of Half Maximal Inhibitory Concentration (IC50)
4.5. Preparation of Venom Samples for Intact Mass Profiling
4.6. Intact Mass Profiling
4.7. Bottom-Up Venomics
4.8. Data Accessibility
4.9. Relative Toxin Quantification
Supplementary Materials
Acknowledgments
Author Contributions
Conflicts of Interest
References
- King, G.F. Venoms as a platform for human drugs: Translating toxins into therapeutics. Expert Opin. Biol. Ther. 2011, 11, 1469–1484. [Google Scholar] [CrossRef] [PubMed]
- Oldrati, V.; Bianchi, E.; Stöcklin, R. Spider Venom Components as Drug Candidates. In Spider Ecophysiology; Nentwig, W., Ed.; Springer: Berlin/Heidelberg, Germany, 2013; pp. 491–503. [Google Scholar]
- Oldrati, V.; Arrell, M.; Violette, A.; Perret, F.; Sprüngli, X.; Wolfender, J.-L.; Stöcklin, R. Advances in venomics. Mol. Biosyst. 2016, 12, 3530–3543. [Google Scholar] [CrossRef] [PubMed]
- Koh, D.C.I.; Armugam, A.; Jeyaseelan, K. Snake venom components and their applications in biomedicine. Cell. Mol. Life Sci. 2006, 63, 3030–3041. [Google Scholar] [CrossRef] [PubMed]
- Vetter, I.; Davis, J.L.; Rash, L.D.; Anangi, R.; Mobli, M.; Alewood, P.F.; Lewis, R.J.; King, G.F. Venomics: A new paradigm for natural products-based drug discovery. Amino Acids 2011, 40, 15–28. [Google Scholar] [CrossRef] [PubMed]
- Calvete, J.J. Venomics: Integrative venom proteomics and beyond. Biochem. J. 2017, 474, 611–634. [Google Scholar] [CrossRef] [PubMed]
- Xie, B.; Huang, Y.; Baumann, K.; Fry, B.G.; Shi, Q. From Marine Venoms to Drugs: Efficiently Supported by a Combination of Transcriptomics and Proteomics. Mar. Drugs 2017, 15, 103. [Google Scholar] [CrossRef] [PubMed]
- Ménez, A. Perspectives in Molecular Toxinology; John Wiley & Sons: New York, NY, USA, 2002; ISBN 978-0471495031. [Google Scholar]
- Prashanth, J.R.; Lewis, R.J.; Dutertre, S. Towards an integrated venomics approach for accelerated conopeptide discovery. Toxicon 2012, 60, 470–477. [Google Scholar] [CrossRef] [PubMed]
- Heather, J.M.; Chain, B. The sequence of sequencers: The history of sequencing DNA. Genomics 2016, 107, 1–8. [Google Scholar] [CrossRef] [PubMed]
- Lomonte, B.; Calvete, J.J. Strategies in ‘snake venomics’ aiming at an integrative view of compositional, functional, and immunological characteristics of venoms. J. Venom. Anim. Toxins Incl. Trop. Dis. 2017, 23, 26. [Google Scholar] [CrossRef] [PubMed]
- Fox, J.W.; Ma, L.; Nelson, K.; Sherman, N.E.; Serrano, S.M.T. Comparison of indirect and direct approaches using ion-trap and Fourier transform ion cyclotron resonance mass spectrometry for exploring viperid venom proteomes. Toxicon 2006, 47, 700–714. [Google Scholar] [CrossRef] [PubMed]
- Georgieva, D.; Arni, R.K.; Betzel, C. Proteome analysis of snake venom toxins: Pharmacological insights. Expert Rev. Proteom. 2008, 5, 787–797. [Google Scholar] [CrossRef] [PubMed]
- Göçmen, B.; Heiss, P.; Petras, D.; Nalbantsoy, A.; Süssmuth, R.D. Mass spectrometry guided venom profiling and bioactivity screening of the Anatolian Meadow Viper, Vipera anatolica. Toxicon 2015, 107, 163–174. [Google Scholar]
- Nalbantsoy, A.; Hempel, B.-F.; Petras, D.; Heiss, P.; Göçmen, B.; Iğci, N.; Yildiz, M.Z.; Süssmuth, R.D. Combined venom profiling and cytotoxicity screening of the Radde’s mountain viper (Montivipera raddei) and Mount Bulgar Viper (Montivipera bulgardaghica) with potent cytotoxicity against human A549 lung carcinoma cells. Toxicon 2017, 135, 71–83. [Google Scholar] [CrossRef] [PubMed]
- Calvete, J.J.; Juárez, P.; Sanz, L. Snake venomics. Strategy and applications. J. Mass Spectrom. 2007, 42, 1405–1414. [Google Scholar] [CrossRef] [PubMed]
- Calvete, J.J.; Petras, D.; Calderón-Celis, F.; Lomonte, B.; Encinar, J.R.; Sanz-Medel, A. Protein-species quantitative venomics: Looking through a crystal ball. J. Venom. Anim. Toxins Incl. Trop. Dis. 2017, 23. [Google Scholar] [CrossRef] [PubMed]
- Calvete, J.J. Proteomic tools against the neglected pathology of snake bite envenoming. Expert Rev. Proteom. 2011, 8, 739–758. [Google Scholar] [CrossRef] [PubMed]
- Petras, D.; Heiss, P.; Süssmuth, R.D.; Calvete, J.J. Venom Proteomics of Indonesian King Cobra, Ophiophagus hannah: Integrating Top-Down and Bottom-Up Approaches. J. Proteome Res. 2015, 14, 2539–2556. [Google Scholar] [CrossRef] [PubMed]
- Petras, D.; Heiss, P.; Harrison, R.A.; Süssmuth, R.D.; Calvete, J.J. Top-down venomics of the East African green mamba, Dendroaspis angusticeps, and the black mamba, Dendroaspis polylepis, highlight the complexity of their toxin arsenals. J. Proteom. 2016, 146, 148–164. [Google Scholar] [CrossRef] [PubMed]
- Melani, R.D.; Skinner, O.S.; Fornelli, L.; Domont, G.B.; Compton, P.D.; Kelleher, N.L. Mapping Proteoforms and Protein Complexes From King Cobra Venom Using Both Denaturing and Native Top-down Proteomics. Mol. Cell Proteom. 2016, 15, 2423–2434. [Google Scholar] [CrossRef] [PubMed]
- Calderón-Celis, F.; Diez-Fernández, S.; Costa-Fernández, J.M.; Encinar, J.R.; Calvete, J.J.; Sanz-Medel, A. Elemental Mass Spectrometry for Absolute Intact Protein Quantification without Protein-Specific Standards: Application to Snake Venomics. Anal. Chem. 2016, 88, 9699–9706. [Google Scholar] [CrossRef] [PubMed]
- Calvete, J.J. Next-generation snake venomics: Protein-locus resolution through venom proteome decomplexation. Expert Rev. Proteom. 2014, 11, 315–329. [Google Scholar] [CrossRef] [PubMed]
- Cox, N.; Chanson, J.; Stuart, S. The Status and Distribution of Reptiles and Amphibians of the Mediterranean Basin; The World Conservation Union (IUCN): Gland, Swizerland, 2006. [Google Scholar]
- Mallow, D.; Ludwig, D.; Nilson, G. True Vipers: Natural History and Toxinology of Old World Vipers; Krieger Publishing: Malabar, FL, USA, 2003. [Google Scholar]
- O’Shea, M. Venomous Snakes of the World, 2nd ed.; New Holland: London, UK, 2008. [Google Scholar]
- Fox, J.W.; Serrano, S.M.T. Exploring snake venom proteomes: Multifaceted analyses for complex toxin mixtures. Proteomics 2008, 8, 909–920. [Google Scholar] [CrossRef] [PubMed]
- Mackessy, S.P. Handbook of Venoms and Toxins of Reptiles; CRC Press: Boca Raton, FL, USA, 2010. [Google Scholar]
- Stoyanova, V.; Aleksandrov, R.; Lukarska, M.; Duhalov, D.; Atanasov, V.; Petrova, S. Recognition of Vipera ammodytes meridionalis neurotoxin vipoxin and its components using phage-displayed scFv and polyclonal antivenom sera. Toxicon 2012, 60, 802–809. [Google Scholar] [CrossRef] [PubMed]
- Lamb, T.; de Haro, L.; Lonati, D.; Brvar, M.; Eddleston, M. Antivenom for European Vipera species envenoming. Clin. Toxicol. 2017, 55, 557–568. [Google Scholar] [CrossRef] [PubMed]
- Boulenger, G.A. On the Geographical Variations of the Sand-Viper, Vipera ammodytes. Proc. Zool. Soc. Lond. 1903, 73, 185–186. [Google Scholar] [CrossRef]
- Boulenger, G.A. On the sand viper of Romania (Vipera ammodytes, var. montandoni). Ann. Mag. Nat. Hist. 1904, 7, 134–135. [Google Scholar]
- Boulenger, G.A. On the geographical races of Vipera ammodytes. Ann. Mag. Nat. Hist. 1913, 8, 283–287. [Google Scholar] [CrossRef]
- Bruno, S. Sulla Vipera ammodytes (Linnaeus, 1758) in Italia. Mem. Mus. Civ. Stor. Nat. 1968, 15, 289–336. [Google Scholar]
- Sochurek, E. Vipera ammodytes gregorwallneri n. spp. Herpet. Blatt. 1974, 1, 1–4. [Google Scholar]
- Nilson, G.; Tuniyev, B.; Andrén, C.; Orlov, N.L. Vipers of Caucasus: Taxomonic Considerations; Joger, U., Ed.; Kaupia: Darmstadt, Germany, 1999. [Google Scholar]
- Tomović, L. Systematics of the Nose-horned Viper (Vipera ammodytes, Linnaeus, 1758). Herpetol. J. 2006, 16, 191–201. [Google Scholar]
- Heckes, U.; Gruber, H.-J.; Stumpel, N. Schlangen (Serpentes) III: Viperidae. In Handbuch der Reptilien und Amphibien Europas.: Schlangen (Serpentes) III, Viperidae; Joger, U., Stümpel, N., Böhme, W., Eds.; AULA: Graz, Austria, 2006; pp. 81–151. [Google Scholar]
- Ursenbacher, S.; Schweiger, S.; Tomović, L.; Crnobrnja-Isailović, J.; Fumagalli, L.; Mayer, W. Molecular phylogeography of the nose-horned viper (Vipera ammodytes, Linnaeus (1758)): Evidence for high genetic diversity and multiple refugia in the Balkan peninsula. Mol. Phylogenetics Evol. 2008, 46, 1116–1128. [Google Scholar] [CrossRef] [PubMed]
- Göçmen, B.; Mulder, J.; Karis, M.; Mebert, K. New Locality Records of Vipera ammodytes transcaucasiana (Boulenger, 1913) in Turkey. South-West. J. Hortic. Biol. Environ. 2015, 2, 91–98. [Google Scholar]
- Georgieva, D.; Risch, M.; Kardas, A.; Buck, F.; von Bergen, M.; Betzel, C. Comparative analysis of the venom proteomes of Vipera ammodytes ammodytes and Vipera ammodytes meridionalis. J. Proteome Res. 2008, 7, 866–886. [Google Scholar] [CrossRef] [PubMed]
- Frangides, C.Y.; Koulouras, V.; Kouni, S.N.; Tzortzatos, G.V.; Nikolaou, A.; Pneumaticos, J.; Pierrakeas, C.; Niarchos, C.; Kounis, N.G.; Koutsojannis, C.M. Snake venom poisoning in Greece. Experiences with 147 cases. Eur. J. Intern. Med. 2006, 17, 24–27. [Google Scholar] [CrossRef] [PubMed]
- Brvar, M.; Kurtović, T.; Grenc, D.; Lang Balija, M.; Križaj, I.; Halassy, B. Vipera ammodytes bites treated with antivenom ViperaTAb: A case series with pharmacokinetic evaluation. Clin. Toxicol. 2017, 55, 241–248. [Google Scholar] [CrossRef] [PubMed]
- Archundia, I.G.; de Roodt, A.R.; Ramos-Cerrillo, B.; Chippaux, J.-P.; Olguín-Pérez, L.; Alagón, A.; Stock, R.P. Neutralization of Vipera and Macrovipera venoms by two experimental polyvalent antisera: A study of paraspecificity. Toxicon 2011, 57, 1049–1056. [Google Scholar] [CrossRef] [PubMed]
- Kato, H.; Iwanaga, S.; Suzuki, T. The isolation and amino acid sequences of new pyroglutamylpeptides from snake venoms. Experientia 1966, 22, 49–50. [Google Scholar] [CrossRef] [PubMed]
- Francis, B.; Kaiser, I.I. Inhibition of metalloproteinases in Bothrops asper venom by endogenous peptides. Toxicon 1993, 31, 889–899. [Google Scholar] [CrossRef]
- Huang, K.F.; Hung, C.C.; Wu, S.H.; Chiou, S.H. Characterization of three endogenous peptide inhibitors for multiple metalloproteinases with fibrinogenolytic activity from the venom of Taiwan habu (Trimeresurus mucrosquamatus). Biochem. Biophys. Res. Commun. 1998, 248, 562–568. [Google Scholar] [CrossRef] [PubMed]
- Munekiyo, S.M.; Mackessy, S.P. Presence of peptide inhibitors in rattlesnake venoms and their effects on endogenous metalloproteases. Toxicon 2005, 45, 255–263. [Google Scholar] [CrossRef] [PubMed]
- Yee, K.T.; Pitts, M.; Tongyoo, P.; Rojnuckarin, P.; Wilkinson, M.C. Snake Venom Metalloproteinases and Their Peptide Inhibitors from Myanmar Russell’s Viper Venom. Toxins 2016, 9, 15. [Google Scholar] [CrossRef] [PubMed]
- Wagstaff, S.C.; Favreau, P.; Cheneval, O.; Laing, G.D.; Wilkinson, M.C.; Miller, R.L.; Stöcklin, R.; Harrison, R.A. Molecular characterisation of endogenous snake venom metalloproteinase inhibitors. Biochem. Biophys. Res. Commun. 2008, 365, 650–656. [Google Scholar] [CrossRef] [PubMed]
- Latinović, Z.; Leonardi, A.; Šribar, J.; Sajevic, T.; Žužek, M.C.; Frangež, R.; Halassy, B.; Trampuš-Bakija, A.; Pungerčar, J.; Križaj, I. Venomics of Vipera berus berus to explain differences in pathology elicited by Vipera ammodytes ammodytes envenomation: Therapeutic implications. J. Proteom. 2016, 146, 34–47. [Google Scholar] [CrossRef] [PubMed]
- Tu, A.T. Venoms: Chemistry and Molecular Biology, 1st ed.; John Wiley & Sons: New York, NY, USA, 1977. [Google Scholar]
- Tu, A.T. Handbook of Natural Toxins; Dekker: New York, NY, USA, 1991. [Google Scholar]
- Mackessy, S.P. Evolutionary trends in venom composition in the western rattlesnakes (Crotalus viridis sensu lato): Toxicity vs. tenderizers. Toxicon 2010, 55, 1463–1474. [Google Scholar] [CrossRef] [PubMed]
- Angulo, Y.; Escolano, J.; Lomonte, B.; Gutiérrez, J.M.; Sanz, L.; Calvete, J.J. Snake venomics of Central American pitvipers: Clues for rationalizing the distinct envenomation profiles of Atropoides nummifer and Atropoides picadoi. J. Proteome Res. 2008, 7, 708–719. [Google Scholar] [CrossRef] [PubMed]
- Fernández, J.; Lomonte, B.; Sanz, L.; Angulo, Y.; Gutiérrez, J.M.; Calvete, J.J. Snake venomics of Bothriechis nigroviridis reveals extreme variability among palm pitviper venoms: Different evolutionary solutions for the same trophic purpose. J. Proteome Res. 2010, 9, 4234–4241. [Google Scholar] [CrossRef] [PubMed]
- Gibbs, H.L.; Sanz, L.; Sovic, M.G.; Calvete, J.J. Phylogeny-based comparative analysis of venom proteome variation in a clade of rattlesnakes (Sistrurus sp.). PLoS ONE 2013, 8, e67220. [Google Scholar] [CrossRef] [PubMed]
- Chijiwa, T.; Deshimaru, M.; Nobuhisa, I.; Nakai, M.; Ogawa, T.; Oda, N.; Nakashima, K.; Fukumaki, Y.; Shimohigashi, Y.; Hattori, S.; et al. Regional evolution of venom-gland phospholipase A2 isoenzymes of Trimeresurus flavoviridis snakes in the southwestern islands of Japan. Biochem. J. 2000, 347, 491–499. [Google Scholar] [CrossRef] [PubMed]
- Daltry, J.C.; Wüster, W.; Thorpe, R.S. Diet and snake venom evolution. Nature 1996, 379, 537–540. [Google Scholar] [CrossRef] [PubMed]
- Gibbs, H.L.; Mackessy, S.P. Functional basis of a molecular adaptation: Prey-specific toxic effects of venom from Sistrurus rattlesnakes. Toxicon 2009, 53, 672–679. [Google Scholar] [CrossRef] [PubMed]
- Mackessy, S.P. Venom Ontogeny in the Pacific Rattlesnakes Crotalus viridis helleri and C. v. oreganus. Copeia 1988, 1988, 92–101. [Google Scholar] [CrossRef]
- Pimenta, D.C.; Prezoto, B.C.; Konno, K.; Melo, R.L.; Furtado, M.F.; Camargo, A.C.M.; Serrano, S.M.T. Mass spectrometric analysis of the individual variability of Bothrops jararaca venom peptide fraction. Evidence for sex-based variation among the bradykinin-potentiating peptides. Rapid Commun. Mass Spectrom. 2007, 21, 1034–1042. [Google Scholar] [CrossRef] [PubMed]
- Tashima, A.K.; Sanz, L.; Camargo, A.C.M.; Serrano, S.M.T.; Calvete, J.J. Snake venomics of the Brazilian pitvipers Bothrops cotiara and Bothrops fonsecai. Identification of taxonomy markers. J. Proteom. 2008, 71, 473–485. [Google Scholar] [CrossRef] [PubMed]
- Mancheva, I.; Kleinschmidt, T.; Aleksiev, B.; Braunitzer, G. Sequence homology between phospholipase and its inhibitor in snake venom. The primary structure of the inhibitor of vipoxin from the venom of the Bulgarian viper (Vipera ammodytes ammodytes, Serpentes). Hoppe-Seyler’s Z. Physiol. Chem. 1984, 365, 885–894. [Google Scholar] [CrossRef] [PubMed]
- Krizaj, I.; Liang, N.S.; Pungercar, J.; Strukelj, B.; Ritonja, A.; Gubensek, F. Amino acid and cDNA sequences of a neutral phospholipase A2 from the long-nosed viper (Vipera ammodytes ammodytes) venom. Eur. J. Biochem. 1992, 204, 1057–1062. [Google Scholar] [CrossRef] [PubMed]
- Almeida, L.M.; Resende, J.R.; Watanabe, R.K.; Corassola, V.C.; Huancahuire-Vega, S.; da S Caldeira, C.A.; Coutinho-Neto, A.; Soares, A.M.; Vale, N.; de C Gomes, P.A.; et al. Snake venom peptides and low mass proteins: Molecular tools and therapeutic agents. Curr. Med. Chem. 2017, 24, 3254–3282. [Google Scholar] [CrossRef] [PubMed]
- Brenton, J.D.; Carey, L.A.; Ahmed, A.A.; Caldas, C. Molecular classification and molecular forecasting of breast cancer: Ready for clinical application? J. Clin. Oncol. 2005, 23, 7350–7360. [Google Scholar] [CrossRef] [PubMed]
- Subik, K.; Lee, J.-F.; Baxter, L.; Strzepek, T.; Costello, D.; Crowley, P.; Xing, L.; Hung, M.-C.; Bonfiglio, T.; Hicks, D.G.; et al. The Expression Patterns of ER, PR, HER2, CK5/6, EGFR, Ki-67 and AR by Immunohistochemical Analysis in Breast Cancer Cell Lines. Breast Cancer 2010, 4, 35–41. [Google Scholar] [CrossRef] [PubMed]
- Khunsap, S.; Khow, O.; Buranapraditkun, S.; Suntrarachun, S.; Puthong, S.; Boonchang, S. Anticancer properties of phospholipase A2 from Daboia siamensis venom on human skin melanoma cells. J. Venom. Anim. Toxins Incl. Trop. Dis. 2016, 22. [Google Scholar] [CrossRef] [PubMed]
- Yamazaki, Y.; Morita, T. Structure and function of snake venom cysteine-rich secretory proteins. Toxicon 2004, 44, 227–231. [Google Scholar] [CrossRef] [PubMed]
- Wang, Y.-L.; Kuo, J.-H.; Lee, S.-C.; Liu, J.-S.; Hsieh, Y.-C.; Shih, Y.-T.; Chen, C.-J.; Chiu, J.-J.; Wu, W.-G. Cobra CRISP functions as an inflammatory modulator via a novel Zn2+- and heparan sulfate-dependent transcriptional regulation of endothelial cell adhesion molecules. J. Biol. Chem. 2010, 285, 37872–37883. [Google Scholar] [CrossRef] [PubMed]
- Alape-Girón, A.; Sanz, L.; Escolano, J.; Flores-Díaz, M.; Madrigal, M.; Sasa, M.; Calvete, J.J. Snake venomics of the lancehead pitviper Bothrops asper: Geographic, individual, and ontogenetic variations. J. Proteome Res. 2008, 7, 3556–3571. [Google Scholar] [CrossRef] [PubMed]
- Muth, T.; Weilnböck, L.; Rapp, E.; Huber, C.G.; Martens, L.; Vaudel, M.; Barsnes, H. DeNovoGUI: An open source graphical user interface for de novo sequencing of tandem mass spectra. J. Proteome Res. 2014, 13, 1143–1146. [Google Scholar] [CrossRef] [PubMed]
- Altschul, S.F.; Gish, W.; Miller, W.; Myers, E.W.; Lipman, D.J. Basic local alignment search tool. J. Mol. Biol. 1990, 215, 403–410. [Google Scholar] [CrossRef]
- Vizcaíno, J.A.; Deutsch, E.W.; Wang, R.; Csordas, A.; Reisinger, F.; Ríos, D.; Dianes, J.A.; Sun, Z.; Farrah, T.; Bandeira, N.; et al. ProteomeXchange provides globally coordinated proteomics data submission and dissemination. Nat. Biotechnol. 2014, 32, 223–226. [Google Scholar] [CrossRef] [PubMed]
- Juárez, P.; Sanz, L.; Calvete, J.J. Snake venomics: Characterization of protein families in Sistrurus barbouri venom by cysteine mapping, N-terminal sequencing, and tandem mass spectrometry analysis. Proteomics 2004, 4, 327–338. [Google Scholar] [CrossRef] [PubMed]










| V. a. transcaucasiana | V. a. montandoni | ||||||||
|---|---|---|---|---|---|---|---|---|---|
| RT (min) | Fraction No. | Protein Species | SDS PAGE Mav (kDa) | Most Abundant IMP (m/z) | RT (min) | Fraction No. | Protein Species | SDS PAGE Mav (kDa) | Most Abundant IMP (m/z) |
| 2.14 | 1 | unknown | - | 571.25 * | - | - | - | - | - |
| 3.45 | 2 | unknown | - | 484.20 * | 3.46 | 1 | unknown | - | 484.21 * |
| - | - | - | - | - | 6.45 | 2 | svMP-i, unknown | - | 1234.65 * |
| 12.86 | 3 | unknown | - | 600.32 * | - | - | - | - | - |
| 15.48 | 4 | svMP-i, svMP unknown | - | 547.22 * | 15.43 | 3 | svMP-i, unknown | - | 444.22 * |
| 19.47 | 5 | svMP, unknown | - | 814.35 * | 19.19 | 4 | svMP-i, unknown | - | 444.23 * |
| 21.08 | 6 | svMP-i, unknown | - | 444.22 * | 20.48 | 5 | svMP-i, unknown | - | 444.22 * |
| 24.49 | 7 | svMP-i, unknown | - | 430.17 * | 24.52 | 6 | svMP-i, unknown | - | 430.17 * |
| 27.85 | 8 | unknown | - | 569.28 * | 26.99 | 7 | unknown | - | 1072.60 * |
| - | - | - | - | - | 31.95 | 8 | svMP-i, unknown | - | 3930.96 * |
| 33.07 | 9 | svMP-i, unknown | - | 5775.64 * | 33.02 | 9 | unknown | - | 3761.72 * |
| 33.86 | 10 | unknown | - | 4176.85 * | 33.91 | 10 | unknown | - | 3796.72 * |
| 34.95 | 11 | BPP, unknown | - | 3769.75 * | 35.20 | 11 | unknown | - | 3796.73 * |
| 36.97 | 12 | unknown | - | 1143.64 * | 36.44 | 12 | unknown | - | 1144.62 * |
| - | - | - | - | - | 39.50 | 13 | unknown | - | 1314.73 * |
| 40.43 | 13 | unknown | - | 1143.64 * | 40.75 | 14 | unknown | - | 1144.62 * |
| 42.44 | 14 | svMP-i, unknown | - | 1143.64 * | 42.94 | 15 | unknown | - | - |
| 46.90 | 15 | VEGF-F | 15 * | - | 47.16 | 16 | VEGF-F | 14 * | 1159.59 * |
| - | - | - | - | - | 48.69 | 17 | VEGF-F | 14 * | 1159.59 * |
| 54.79 | 16 | VEGF-F, svMP, unknown | 15, 27 *, 50 | 10,676.97, 21,311.88 * | 55.03 | 18 | unknown | 14, 25 * | 21,199.58 *, 21,298.85 |
| - | - | - | - | - | 58.69 | 19 | unknown | - | 13,553.82 *, 13,590.75 |
| 61.54 | 17 | PLA2, unknown | 13 *, 25, 40 | 13,553.83 *, 13,590.76, 13,814.21, 13,842.19, 13,911.15 | 62.75 | 20 | PLA2 | 13 * | 13,553.82 *, 13,890.28, 13,988.22 |
| 63.85 | 18 | PLA2 | 13 *, 25, 40 | 13,918.28 *, 14,016.22 | - | - | - | - | - |
| 66.42 | 19 | PLA2, CRISP | 13, 25 *, 50 | 12,346.55, 24,653.41 *, 24,752.38, 24,848.30 | 66.68 | 21 | PLA2, CRISP | 13.23 * | 24,654.40 *, 24,750.41 |
| - | - | - | - | 69.08 | 22 | CRISP | 23 * | 24,547.04 * | |
| 71.28 | 20 | PLA2, svMP, CRISP | 13, 22.5 *, 27.5, 60 | 13,624.69, 13,625.73, 13,676.78, 24,515.96 * | 71.38 | 23 | PLA2 | 13, 21 * | 13,624.69 |
| - | - | - | - | - | 74.21 | 24 | PLA2 | 13 *, 21 | 13,676.81 * |
| - | - | - | - | - | 76.93 | 25 | PLA2, svSP, unknown | 15, 23, 37 * | - |
| 78.24 | 21 | svSP | 35 * | - | - | - | - | - | - |
| 78.90 | 22 | unknown | 35 * | - | - | - | - | - | - |
| 79.43 | 23 | svSP | 35 *, 85 | - | 79.74 | 26 | svSP, unknown | 15, 37 *, 60, >200 | 32,026.88 *, 32,899.08 |
| 80.23 | 24 | svSP | 35 *, 85 | - | 80.39 | 27 | svSP | 37 * | 32,686.16 *, 35,124.93 |
| 80.95 | 25 | svSP | 35 *, 85 | - | 81.17 | 28 | CRISP, svSP, unknown | 15, 25, 37 * | 32,686.34 *, 33,342.02 |
| 81.59 | 26 | svSP | 40 *, 100 | - | - | - | - | - | - |
| 84.01 | 27 | svMP | 70 * | - | - | - | - | - | - |
| 85.34 | 28 | svSP | 35 * | - | 84.65 | 29 | svMP, trypsin-like, unknown | 15, 25, 37, 60 * | 24,547.96, 27,654.98 |
| 87.17 | 29 | CTL, svSP, PDE | 13 *, 35, 65 | 16,108.34 *, 16,208.30 | 87.19 | 30 | CTL, svSP, svMP | 13 *, 30, 37, 55 | 13,890.25 * |
| - | - | - | - | - | 88.14 | 31 | svSP, unknown | 30, 37 *, 55 | - |
| - | - | - | - | - | 89.12 | 32 | svSP, unknown | 30 *, 37 | - |
| 92.85 | 30 | CTL, LAAO | 13, 20, 40, 60 * | - | 93.23 | 33 | CTL, svSP, LAAO | 11, 20, 30, 37, 50, 55 * | - |
| 93.88 | 31 | CTL, LAAO | 20, 60 * | - | 94.64 | 34 | LAAO | 30, 37, 55 * | - |
| 101.76 | 32 | CTL, DI, svMP, unknown | 20, 35, 60 * | - | - | - | - | - | - |
| 103.42 | 33 | svSP, svMP, unknown | 20, 35, 60 * | - | 103.23 | 35 | CTL, svSP, LAAO | 11, 20, 30, 37, 50 * | - |
| 104.82 | 34 | svMP, LAAO, svSP | 20, 35, 65 * | - | 104.83 | 36 | aminopeptidase, svMP, LAAO, unknown | 30, 50 *, 70 | - |
| 105.70 | 35 | svMP | 65 * | - | 106.47 | 37 | svMP, LAAO | 30, 50 * | - |
| 108.84 | 36 | svSP, LAAO, svMP | 35, 60 * | - | 108.82 | 38 | unknown | 30, 37, 50 * | - |
| Cell Line | V. ammodytes transcaucasiana IC50 (µg/mL) | V. ammodytes montandoni IC50 (µg/mL) | Parthenolide IC50 (µg/mL) |
|---|---|---|---|
| HEK293 | 1.34 ± 0.72 | 3.55 ± 0.61 | 1.23 ± 0.24 |
| U87MG | 6.02 ± 1.38 | 1.02 ± 0.20 | 3.33 ± 0.59 |
| SHSY5Y | - | 0.06 ± 0.01 | 0.15 ± 0.01 |
| MDA-MB-231 | 1.84 ± 0.76 | 2.36 ± 0.20 | 4.80 ± 1.10 |
| MCF-7 | 21.75 ± 2.45 | >50.00 | 6.01 ± 1.15 |
| A549 | 18.03 ± 2.09 | 4.40 ± 0.03 | 4.42 ± 0.87 |
| MPanc-96 | 22.75 ± 2.25 | - | 4.70 ± 0.87 |
| CaCo-2 | 4.21 ± 0.96 | 1.82 ± 0.14 | 4.90 ± 1.10 |
| 253J-BV | 4.22 ± 1.41 | 3.00 ± 1.98 | 5.45 ± 1.16 |
| HeLa | 6.14 ± 1.12 | 1.27 ± 0.20 | 5.75 ± 1.07 |
| PC3 | 6.95 ± 1.19 | - | 3.33 ± 0.96 |
| Samples ID | V. ammodytes transcaucasiana Fraction | Doxorubicin | |||
|---|---|---|---|---|---|
| 1 | 17 | 18 | 19 | ||
| IC50 (µg/mL) | 5.92 ± 0.14 | 3.98 ± 0.85 | 2.96 ± 0.38 | 9.22 ± 0.62 | >20.00 |
© 2018 by the authors. Licensee MDPI, Basel, Switzerland. This article is an open access article distributed under the terms and conditions of the Creative Commons Attribution (CC BY) license (http://creativecommons.org/licenses/by/4.0/).
Share and Cite
Hempel, B.-F.; Damm, M.; Göçmen, B.; Karis, M.; Oguz, M.A.; Nalbantsoy, A.; Süssmuth, R.D. Comparative Venomics of the Vipera ammodytes transcaucasiana and Vipera ammodytes montandoni from Turkey Provides Insights into Kinship. Toxins 2018, 10, 23. https://doi.org/10.3390/toxins10010023
Hempel B-F, Damm M, Göçmen B, Karis M, Oguz MA, Nalbantsoy A, Süssmuth RD. Comparative Venomics of the Vipera ammodytes transcaucasiana and Vipera ammodytes montandoni from Turkey Provides Insights into Kinship. Toxins. 2018; 10(1):23. https://doi.org/10.3390/toxins10010023
Chicago/Turabian StyleHempel, Benjamin-Florian, Maik Damm, Bayram Göçmen, Mert Karis, Mehmet Anıl Oguz, Ayse Nalbantsoy, and Roderich D. Süssmuth. 2018. "Comparative Venomics of the Vipera ammodytes transcaucasiana and Vipera ammodytes montandoni from Turkey Provides Insights into Kinship" Toxins 10, no. 1: 23. https://doi.org/10.3390/toxins10010023
APA StyleHempel, B.-F., Damm, M., Göçmen, B., Karis, M., Oguz, M. A., Nalbantsoy, A., & Süssmuth, R. D. (2018). Comparative Venomics of the Vipera ammodytes transcaucasiana and Vipera ammodytes montandoni from Turkey Provides Insights into Kinship. Toxins, 10(1), 23. https://doi.org/10.3390/toxins10010023

