Effects of a Hypocaloric Diet Plus Resistance Training with and Without Amino Acids in Older Participants with Dynapenic Obesity: A Randomized Clinical Trial
Highlights
- In a population with dynapenic obesity, a hypocaloric diet of 1 g of proteins per kg spread over three mean meals combined with resistance training (RT) with and without amino acid supplementation showed similar improvements in body composition, muscle strength and physical performance.
- EAA supplementation does not seem to provide additional benefits when combined with a hypocaloric diet of 1 g of proteins per kg spread over three mean meals along with RT. Future research may focus on optimizing exercise protocols rather than supplementation in participants with dynapenic obesity.
Abstract
1. Introduction
2. Materials and Methods
2.1. Study Design and Population
2.2. Anthropometric and Body Composition Assessment
2.3. 1-RM Assessment
2.4. Handgrip Strength and Physical Performance Assessments
2.5. Knee Extensor Muscle Torque Measurements and Analysis
2.6. Nutritional Intervention
2.7. Supplements (Amino Acids or Placebo)
2.8. Progressive Resistance Training Protocol
2.9. Statistical Analysis
3. Results
3.1. Characteristics of Participants and Training Compliance
3.2. Changes in Anthropometric, Body Composition, and Functional Tests
3.3. Changes in 1-RM in the Isotonic Machines
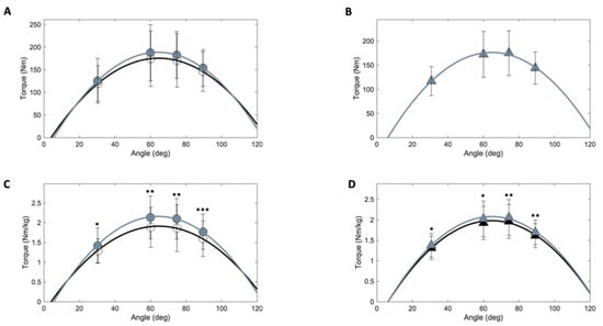
3.4. Changes in Knee Extensor Isometric Torque at Different Angles
4. Discussion
5. Conclusions
Author Contributions
Funding
Institutional Review Board Statement
Informed Consent Statement
Data Availability Statement
Acknowledgments
Conflicts of Interest
Abbreviations
| RT | resistance training |
| EAA | essential amino acid |
| DO | dynapenic obesity |
| DXA | dual X-ray absorptiometry |
| 1-RM | one-repetition maximum |
| SPPB | short physical performance battery |
| HGS | handgrip strength |
| ALM | appendicular lean mass |
| BMI | body mass index |
| T-max | maximal torque |
| ANCOVA | analysis of covariance |
| ANOVA | analysis of variance |
References
- Clark, B.C.; Manini, T.M. Functional consequences of sarcopenia and dynapenia in the elderly. Curr. Opin. Clin. Nutr. Metab. Care 2010, 13, 271–276. [Google Scholar] [CrossRef] [PubMed]
- Scott, D.; Sanders, K.M.; Aitken, D.; Hayes, A.; Ebeling, P.R.; Jones, G. Sarcopenic obesity and dynapenic obesity: 5-year associations with falls risk in middle-aged and older adults. Obesity 2014, 22, 1568–1574. [Google Scholar] [CrossRef] [PubMed]
- Donini, L.M.; Busetto, L.; Bauer, J.M.; Bischoff, S.; Boirie, Y.; Cederholm, T.; Cruz-Jentoft, A.J.; Dicker, D.; Frühbeck, G.; Giustina, A.; et al. Critical appraisal of definitions and diagnostic criteria for sarcopenic obesity based on a systematic review. Clin. Nutr. 2020, 39, 2368–2388. [Google Scholar] [CrossRef]
- Donini, L.M.; Busetto, L.; Bischoff, S.C.; Cederholm, T.; Ballesteros-Pomar, M.D.; Batsis, J.A.; Bauer, J.M.; Boirie, Y.; Cruz-Jentoft, A.J.; Dicker, D.; et al. Definition and diagnostic criteria for sarcopenic obesity: ESPEN and EASO consensus statement. Obes. Facts 2022, 15, 321–335. [Google Scholar] [CrossRef]
- Rossi, A.P.; Fantin, F.; Caliari, C.; Zoico, E.; Mazzali, G.; Zanardo, M.; Bertassello, P.; Zanandrea, V.; Micciolo, R.; Zamboni, M. Dynapenic abdominal obesity as predictor of mortality and disability worsening in older adults: A 10-year prospective study. Clin. Nutr. 2016, 35, 199–204. [Google Scholar] [CrossRef]
- Rossi, A.P.; Bianchi, L.; Volpato, S.; Bandinelli, S.; Guralnik, J.; Zamboni, M.; Ferrucci, L. Dynapenic Abdominal Obesity as a Predictor of Worsening Disability, Hospitalization, and Mortality in Older Adults: Results from the InCHIANTI Study. J. Gerontol. A Biol. Sci. Med. Sci. 2017, 72, 1098–1104. [Google Scholar] [CrossRef]
- Rossi, A.P.; Urbani, S.; Fantin, F.; Nori, N.; Brandimarte, P.; Martini, A.; Zoico, E.; Mazzali, G.; Babbanini, A.; Muollo, V.; et al. Worsening Disability and Hospitalization Risk in Sarcopenic Obese and Dynapenic Abdominal Obese: A 5.5 Years Follow-Up Study in Elderly Men and Women. Front. Endocrinol. 2020, 11, 314. [Google Scholar] [CrossRef]
- Sénéchal, M.; Bouchard, D.R.; Dionne, I.J.; Brochu, M. The effects of lifestyle interventions in dynapenic-obese postmenopausal women. Menopause 2012, 19, 1015–1021. [Google Scholar] [CrossRef]
- Vasconcelos, K.S.S.; Dias, J.M.D.; Araújo, M.C.; Pinheiro, A.C.; Moreira, B.S.; Dias, R.C. Effects of a progressive resistance exercise program with high-speed component on the physical function of older women with sarcopenic obesity: A randomized controlled trial. Braz. J. Phys. Ther. 2016, 20, 432–440. [Google Scholar] [CrossRef]
- Normandin, E.; Sénéchal, M.; Prud’homme, D.; Rabasa-Lhoret, R.; Brochu, M. Effects of Caloric Restriction with or without Resistance Training in Dynapenic-Overweight and Obese Menopausal Women: A MONET Study. J. Frailty Aging 2015, 4, 155–162. [Google Scholar] [CrossRef]
- Carvalho, L.P.; Pion, C.H.; El Hajj Boutros, G.; Gaudreau, P.; Chevalier, S.; Bélanger, M.; Morais, J.A.; Aubertin-Leheudre, M. Effect of a 12-week mixed power training on physical function in dynapenic-obese older men: Does severity of dynapenia matter? Aging Clin. Exp. Res. 2019, 31, 977–984. [Google Scholar] [CrossRef] [PubMed]
- Narici, M.V.; Maffulli, N. Sarcopenia: Characteristics, mechanisms and functional significance. Br. Med. Bull. 2010, 95, 139–159. [Google Scholar] [CrossRef] [PubMed]
- Prado, C.M.; Batsis, J.A.; Donini, L.M.; Gonzalez, M.C.; Siervo, M. Sarcopenic obesity in older adults: A clinical overview. Nat. Rev. Endocrinol. 2024, 20, 261–277. [Google Scholar] [CrossRef] [PubMed]
- Boirie, Y.; Gachon, P.; Beaufrère, B. Splanchnic and whole-body leucine kinetics in young and elderly men. Am. J. Clin. Nutr. 1997, 65, 489–495. [Google Scholar] [CrossRef] [PubMed]
- Katzmarzyk, P.T.; Bray, G.A.; Greenway, F.L.; Johnson, W.D.; Newton, R.L., Jr.; Ravussin, E.; Ryan, D.H.; Bouchard, C. Ethnic-Specific BMI and Waist Circumference Thresholds. Obesity 2011, 19, 1272–1278. [Google Scholar] [CrossRef]
- Camhi, S.M.; Bray, G.A.; Bouchard, C.; Greenway, F.L.; Johnson, W.D.; Newton, R.L.; Ravussin, E.; Ryan, D.H.; Smith, S.R.; Katzmarzyk, P.T. The Relationship of Waist Circumference and BMI to Visceral, Subcutaneous, and Total Body Fat: Sex and Race Differences. Obesity 2011, 19, 402–408. [Google Scholar] [CrossRef]
- Peterson, M.D.; Krishnan, C. Growth Charts for Muscular Strength Capacity With Quantile Regression. Am. J. Prev. Med. 2015, 49, 935–938. [Google Scholar] [CrossRef]
- Villareal, D.T.; Aguirre, L.; Gurney, A.B.; Waters, D.L.; Sinacore, D.R.; Colombo, E.; Armamento-Villareal, R.; Qualls, C. Aerobic or Resistance Exercise, or Both, in Dieting Obese Older Adults. N. Engl. J. Med. 2017, 376, 1943–1955. [Google Scholar] [CrossRef]
- Rossi, A.P.; Fantin, F.; Zamboni, G.A.; Mazzali, G.; Rinaldi, C.A.; Del Giglio, M.; Di Francesco, V.; Barillari, M.; Pozzi-Mucelli, R.; Zamboni, M. Predictors of ectopic fat accumulation in liver and pancreas in obese men and women. Obesity 2011, 19, 1747–1754. [Google Scholar] [CrossRef]
- Visser, M.; Fuerst, T.; Lang, T.; Salamone, L.; Harris, T.B.; For The Health; Aging, Body Composition Study Dual-Energy X-Ray Absorptiometry; Body Composition Working Group. Validity of fan-beam dual-energy X-ray absorptiometry for measuring fat-free mass and leg muscle mass. J. Appl. Physiol. 1999, 87, 1513–1520. [Google Scholar] [CrossRef]
- Cruz-Jentoft, A.J.; Bahat, G.; Bauer, J.; Boirie, Y.; Bruyère, O.; Cederholm, T.; Cooper, C.; Landi, F.; Rolland, Y.; Sayer, A.A.; et al. Sarcopenia: Revised European consensus on definition and diagnosis. Age Ageing 2019, 48, 16–31. [Google Scholar] [CrossRef] [PubMed]
- Reeves, N.D.; Narici, M.V.; Maganaris, C.N. Effect of resistance training on skeletal muscle-specific force in elderly humans. J. Appl. Physiol. 2004, 96, 885–892. [Google Scholar] [CrossRef] [PubMed]
- Moro, T.; Tinsley, G.; Bianco, A.; Gottardi, A.; Gottardi, G.B.; Faggian, D.; Plebani, M.; Marcolin, G.; Paoli, A. High intensity interval resistance training (HIIRT) in older adults: Effects on body composition, strength, anabolic hormones and blood lipids. Exp. Gerontol. 2017, 98, 91–98. [Google Scholar] [CrossRef] [PubMed]
- Günther, C.M.; Bürger, A.; Rickert, M.; Crispin, A.; Schulz, C.U. Grip strength in healthy caucasian adults: Reference values. J. Hand Surg. 2008, 33, 558–565. [Google Scholar] [CrossRef]
- Guralnik, J.M.; Simonsick, E.M.; Ferrucci, L.; Glynn, R.J.; Berkman, L.F.; Blazer, D.G.; Scherr, P.A.; Wallace, R.B. A short physical performance battery assessing lower extremity function: Association with self-reported disability and prediction of mortality and nursing home admission. J. Gerontol. 1994, 49, M85–M94. [Google Scholar] [CrossRef]
- Veronese, N.; Bolzetta, F.; Toffanello, E.D.; Zambon, S.; De Rui, M.; Perissinotto, E.; Coin, A.; Corti, M.C.; Baggio, G.; Crepaldi, G.; et al. Association between short physical performance battery and falls in older people: The Progetto Veneto Anziani Study. Rejuvenation Res. 2014, 17, 276–284. [Google Scholar] [CrossRef]
- Muollo, V.; Rossi, A.P.; Zignoli, A.; Teso, M.; Milanese, C.; Cavedon, V.; Zamboni, M.; Schena, F.; Capelli, C.; Pogliaghi, S. Full characterisation of knee extensors’ function in ageing: Effect of sex and obesity. Int. J. Obes. 2021, 45, 895–905. [Google Scholar] [CrossRef]
- Mifflin, M.D.; St Jeor, S.T.; Hill, L.A.; Scott, B.J.; Daugherty, S.A.; Koh, Y.O. A new predictive equation for resting energy expenditure in healthy individuals. Am. J. Clin. Nutr. 1990, 51, 241–247. [Google Scholar] [CrossRef]
- Dhar, D.; Packer, J.; Michalopoulou, S.; Cruz, J.; Stansfield, C.; Viner, R.M.; Mytton, O.T.; Russell, S.J. Assessing the evidence for health benefits of low-level weight loss: A systematic review. Int. J. Obes. 2024, 1–15. [Google Scholar] [CrossRef]
- Aquilani, R.; Zuccarelli, G.C.; Dioguardi, F.S.; Baiardi, P.; Frustaglia, A.; Rutili, C.; Comi, E.; Catani, M.; Iadarola, P.; Viglio, S.; et al. Effects of oral amino acid supplementation on long-term-care-acquired infections in elderly patients. Arch. Gerontol. Geriatr. 2011, 52, e123–e128. [Google Scholar] [CrossRef]
- Gonzalez-Bautista, E.; de Souto Barreto, P.; Salinas-Rodriguez, A.; Manrique-Espinoza, B.; Rolland, Y.; Andrieu, S.; Vellas, B.; MAPT/DSA Group. Clinically meaningful change for the chair stand test: Monitoring mobility in integrated care for older people. J. Cachexia Sarcopenia Muscle 2022, 13, 2331–2339. [Google Scholar] [CrossRef] [PubMed]
- Kim, H.; Kim, M.; Kojima, N.; Fujino, K.; Hosoi, E.; Kobayashi, H.; Somekawa, S.; Niki, Y.; Yamashiro, Y.; Yoshida, H. Exercise and nutritional supplementation on community-dwelling elderly Japanese women with sarcopenic obesity: A randomized controlled trial. J. Am. Med. Dir. Assoc. 2016, 17, 1011–1019. [Google Scholar] [CrossRef] [PubMed]
- Maltais, M.L.; Perreault, K.; Courchesne-Loyer, A.; Lagacé, J.C.; Barsalani, R.; Dionne, I.J. Effect of resistance training and various sources of protein supplementation on body fat mass and metabolic profile in sarcopenic overweight older adult men: A pilot study. Int. J. Sport. Nutr. Exerc. Metab. 2016, 26, 71–77. [Google Scholar] [CrossRef]
- Nabuco, H.C.; Tomeleri, C.M.; Fernandes, R.R.; Junior, P.S.; Cavalcante, E.F.; Cunha, P.M.; Antunes, M.; Nunes, J.P.; Venturini, D.; Barbosa, D.S.; et al. Effect of whey protein supplementation combined with resistance training on body composition, muscular strength, functional capacity, and plasma-metabolism biomarkers in older women with sarcopenic obesity: A randomized, double-blind, placebo-controlled trial. Clin. Nutr. ESPEN 2019, 32, 88–95. [Google Scholar] [CrossRef]
- Villareal, D.T.; Apovian, C.M.; Kushner, R.F.; Klein, S. Obesity in older adults: Technical review and position statement of the American Society for Nutrition and NAASO, The Obesity Society. Am. J. Clin. Nutr. 2005, 82, 923–934. [Google Scholar] [CrossRef]
- Hita-Contreras, F.; Bueno-Notivol, J.; Martínez-Amat, A.; Cruz-Díaz, D.; Hernandez, A.V.; Pérez-López, F.R. Effect of exercise alone or combined with dietary supplements on anthropometric and physical performance measures in community-dwelling elderly people with sarcopenic obesity: A meta-analysis of randomized controlled trials. Maturitas 2018, 116, 24–35. [Google Scholar] [CrossRef]
- Yin, Y.H.; Liu, J.Y.W.; Välimäki, M. Effectiveness of non-pharmacological interventions on the management of sarcopenic obesity: A systematic review and meta-analysis. Exp. Gerontol. 2020, 135, 110937. [Google Scholar] [CrossRef]
- Lee, S.Y. Handgrip Strength: An Irreplaceable Indicator of Muscle Function. Ann. Rehabil. Med. 2021, 45, 167–169. [Google Scholar] [CrossRef]
- Hsu, K.J.; Liao, C.D.; Tsai, M.W.; Chen, C.N. Effects of Exercise and Nutritional Intervention on Body Composition, Metabolic Health, and Physical Performance in Adults with Sarcopenic Obesity: A Meta-Analysis. Nutrients 2019, 11, 2163. [Google Scholar] [CrossRef]
- Liao, C.D.; Tsauo, J.Y.; Wu, Y.T.; Cheng, C.P.; Chen, H.C.; Huang, Y.C.; Chen, H.C.; Liou, T.H. Effects of protein supplementation combined with resistance exercise on body composition and physical function in older adults: A systematic review and meta-analysis. Am. J. Clin. Nutr. 2017, 106, 1078–1091. [Google Scholar] [CrossRef]
- Strasser, B.; Schobersberger, W. Evidence for resistance training as a treatment therapy in obesity. J. Obes. 2011, 2011, 482564. [Google Scholar] [CrossRef]
- Nicklas, B.J.; Chmelo, E.; Delbono, O.; Carr, J.J.; Lyles, M.F.; Marsh, A.P. Effects of resistance training with and without caloric restriction on physical function and mobility in overweight and obese older adults: A randomized controlled trial. Am. J. Clin. Nutr. 2015, 101, 991–999. [Google Scholar] [CrossRef] [PubMed]
- Guo, Y.; Fu, X.; Hu, Q.; Chen, L.; Zuo, H. The effect of leucine supplementation on sarcopenia-related measures in older adults: A systematic review and meta-analysis of 17 randomized controlled trials. Front. Nutr. 2022, 9, 929891. [Google Scholar] [CrossRef] [PubMed]
- Colleluori, G.; Villareal, D.T. Aging, obesity, sarcopenia and the effect of diet and exercise intervention. Exp. Gerontol. 2021, 155, 111561. [Google Scholar] [CrossRef]
- Ely, I.A.; Phillips, B.E.; Smith, K.; Wilkinson, D.J.; Piasecki, M.; Breen, L.; Larsen, M.S.; Atherton, P.J. A focus on leucine in the nutritional regulation of human skeletal muscle metabolism in ageing, exercise and unloading states. Clin. Nutr. 2023, 42, 1849–1865. [Google Scholar] [CrossRef]



| Outcomes | RT (n = 16) | RT+EAAs (n = 18) | p Value |
|---|---|---|---|
| Men (n, %) | 8 (50.0%) | 9 (50.0%) | 1.000 |
| Overweight (n, %) | 4 (25.0%) | 5 (27.7%) | 1.000 |
| Age (years) | 65.75 ± 3.94 | 66.67 ± 3.85 | 0.932 |
| Height (m) | 1.67 ± 0.08 | 1.66 ± 0.07 | 0.983 |
| BMI (kg/m2) | 33.09 ± 4.07 | 32.37 ± 3.72 | 0.441 |
| Waist circumference (cm) | 109.5 ± 11.04 | 105.83 ± 9.45 | 0.305 |
| Comorbidities | |||
| Diabetes mellitus (n, %) | 2 (12.5%) | 2 (11.1%) | 1.000 |
| Hypertension (n, %) | 11 (68.8%) | 9 (50.0%) | 0.315 |
| Myocardial infarction (n, %) | 1 (6.3%) | 1 (5.6%) | 1.000 |
| Hypercholesterolemia (n, %) | 9 (56.3%) | 6 (33.3%) | 0.300 |
| Sarcopenia | |||
| Prevalence (n, %) | 5 (31.3%) | 10 (55.6%) | 0.185 |
| All Groups | RT (n = 16) | Within-Group PRE vs. POST | RT+EAAs (n = 18) | Within-Group PRE vs. POST | Between-Group PRE | Between-Group PRE vs. POST | ||
|---|---|---|---|---|---|---|---|---|
| Outcome | Baseline | Mean Change (95% CI) | p Value | Baseline | Mean Change (95% CI) | p Value | p Value | p Value |
| BW (kg) | 91.98 ± 13.6 | −4.66 (−6.06 to −3.25) | <0.001 | 88.89 ± 12.57 | −4.01 (−5.69 to −2.43) | <0.001 | 0.824 | 0.748 |
| BMI (kg/m2) | 33.09 ± 4.07 | −1.71 (−2.25 to −1.16) | <0.001 | 32.37 ± 3.72 | −1.48 (−2–04 to −0.92) | <0.001 | 0.441 | 0.699 |
| WC (cm) | 109.5 ± 11.04 | −4.62 (−6.93 to −2.31) | 0.001 | 105.83 ± 9.45 | −2.25 (−4.36 to −0.13) | 0.039 | 0.305 | 0.117 |
| Arm fat (kg) | 4.63 ± 1.78 | −0.30 (−0.53 to 0.06) | 0.017 | 4.83 ± 1.63 | −0.57 (−0.83 to −0.31) | <0.001 | 0.914 | 0.126 |
| Leg fat (kg) | 10.10 ± 2.46 | −0.93 (−1.1 to −0.1) | <0.001 | 10.68 ± 3.73 | −0.18 (−1.66 to −0.71) | <0.001 | 0.148 | 0.515 |
| Arm lean mass (kg) | 4.60 ± 1.59 | −0.06 (0.12 to 0.23) | 0.480 | 5.28 ± 1.65 | 0,03 (0.09 to 0.15) | 0.631 | 0.596 | 0.144 |
| Leg lean mass (kg) | 16.28 ± 3.12 | −0.07 (−0.57 to 0.43) | 0.770 | 15.48 ± 3.51 | 0.19 (−0.65 to 0.28) | 0.406 | 0.181 | 0.601 |
| Tot lean mass (kg) | 52.15 ± 9.77 | −0.49 (−1.33 to 0.35) | 0.236 | 48.54 ± 9.53 | −0.02 (−1.11 to 1.07) | 0.972 | 0.545 | 0.611 |
| Tot fat mass (kg) | 36.11 ± 8.40 | −3.81 (−4.80 to −2.82.8) | <0.001 | 37.05 ± 9.02 | −3.72 (−5.23 to −2.20) | <0.001 | 0.770 | 0.820 |
| Fat mass (%) | 39.74 ± 7.50 | −2.54 (−3.47 to −1.62) | <0.001 | 42.14 ± 7.98 | −2.46 (−3.45 to −1.47) | <0.001 | 0.563 | 0.854 |
| ALM (kg) | 21.88 ± 4.64 | 0.01 (−0.59 to 0.56) | 0.970 | 20.76 ± 5.10 | 0.16 (−0.68 to 0.36) | 0.528 | 0.267 | 0.570 |
| ALM/BMI | 0.67 ± 0.15 | 0.14 (0.09 to 0.19) | <0.001 | 0.65 ± 0.17 | 0.03 (0.01 to 0.04) | 0.008 | 0.531 | 0.382 |
| Gait speed (s) | 3.80 ± 1.13 | −0.26 (−0.61 to 0.10) | 0.141 | 3.60 ± 0.88 | −0.12 (−0.56 to 0.31) | 0.554 | 0.377 | 0.908 |
| Chair stand (s) | 12.50 ± 3.03 | −3.24 (−4.56 to −1.93) | <0.001 | 10.32 ± 1.96 | −1.46 (−2.10 to 0.82) | <0.001 | 0.173 | 0.270 |
| SPPB (score) | 10.94 ± 1.00 | 0.75 (0.29 to 1.21) | 0.003 | 11.39 ± 0.78 | 0.39 (0.16 to 1.04) | 0.030 | 0.321 | 0.528 |
| Peak HGS (kg) | 32.46 ± 8.20 | 2.67 (1.13 to 4.21) | 0.002 | 33.66 ± 8.35 | 2.85 (0.16 to 5.54) | 0.039 | 0.697 | 0.993 |
| Peak HGS/BW (kg/kg) | 0.35 ± 0.08 | 0.14 (0.04 to 0.24) | <0.001 | 0.38 ± 0.07 | 0.38 (0.04 to 0.24) | 0.004 | 0.882 | 0.953 |
| All Groups | RT (n = 16) | Within-Group PRE vs. POST | RT+EAAs (n = 18) | Within-Group PRE vs. POST | Between-Group PRE | Between-Group PRE vs. POST | ||
|---|---|---|---|---|---|---|---|---|
| Outcome | Baseline | Mean Change (95% CI) | p Value | Baseline | Mean Change (95% CI) | p Value | p Value | p Value |
| Optimal angle (°) | 67.06 ± 7.13 | −1.13 | 0.712 | 64.71 ± 8.59 | 1.62 | 0.435 | 0.472 | 0.741 |
| (−7.57 to 5.31) | (−2.66 to 5.91) | |||||||
| Tmax (Nm) | 178.14 ± 59.52 | 15.22 | 0.007 | 166.82 ± 44.00 | 10.41 | 0.171 | 0.530 | 0.532 |
| (4.87 to 25.57) | (−4.96 to 25.79) | |||||||
| Tmax/kg (Nm/kg) | 1.93 ± 0.54 | 0.28 | <0.001 | 1.88 ± 0.43 | 0.20 | 0.027 | 0.752 | 0.420 |
| (0.16 to 0.40) | (0.03 to 0.38) | |||||||
| 30 MVC (Nm) | 114.5 ± 34.72 | 11.06 | 0.173 | 108.78 ± 24.04 | 8.33 | 0.090 | 0.577 | 0.790 |
| (−5.42 to 27.54) | (−1.45 to 18.11) | |||||||
| 30 MVC/kg (Nm/kg) | 1.24 ± 0.30 | 0.18 | 0.044 | 1.23 ± 0.26 | 0.15 | 0.017 | 0.922 | 0.713 |
| (0.01 to 0.36) | (0.03 to 0.26) | |||||||
| 60 MVC (Nm) | 173.44 ± 56.73 | 14.13 | 0.065 | 161.94 ± 39.68 | 10.56 | 0.211 | 0.495 | 0.694 |
| (−0.96 to 29.21) | (−6.57 to 27.68) | |||||||
| 60 MVC/kg (Nm/kg) | 1.88 ± 0.49 | 0.26 | 0.007 | 1.82 ± 0.38 | 0.20 | 0.046 | 0.713 | 0.581 |
| (0.08 to 0.43) | (0.00 to 0.40) | |||||||
| 75 MVC (Nm) | 173.94 ± 61.70 | 8.88 | 0.123 | 162.83 ± 50.87 | 12,44 | 0.096 | 0.569 | 0.903 |
| (−2.70 to 20.45) | (−2.48 to 27.36) | |||||||
| 75 MVC/kg (Nm/kg) | 1.89 ± 0.60 | 0.21 | 0.006 | 1.83 ± 0.52 | 0.23 | 0.011 | 0.770 | 0.988 |
| (0.07 to 0.35) | (0.06 to 0.40) | |||||||
| 90 MVC (Nm) | 148.31 ± 48.25 | 5.56 | 0.185 | 134.44 ± 37.24 | 9.67 | 0.143 | 0.352 | 0.950 |
| (−2.96 to 14.09) | (−3.60 to 22.93) | |||||||
| 90 MVC/kg (Nm/kg) | 1.61 ± 0.45 | 0.16 | 0.001 | 1.51 ± 0.37 | 0.18 | 0.014 | 0.503 | 0.957 |
| (0.98 to 0.25) | (0.04 to 0.32) | |||||||
Disclaimer/Publisher’s Note: The statements, opinions and data contained in all publications are solely those of the individual author(s) and contributor(s) and not of MDPI and/or the editor(s). MDPI and/or the editor(s) disclaim responsibility for any injury to people or property resulting from any ideas, methods, instructions or products referred to in the content. |
© 2025 by the authors. Licensee MDPI, Basel, Switzerland. This article is an open access article distributed under the terms and conditions of the Creative Commons Attribution (CC BY) license (https://creativecommons.org/licenses/by/4.0/).
Share and Cite
Muollo, V.; Rossi, A.P.; Milanese, C.; Cavedon, V.; Schena, F.; Giani, A.; Urbani, S.; Mazzali, G.; Zamboni, M.; Zoico, E. Effects of a Hypocaloric Diet Plus Resistance Training with and Without Amino Acids in Older Participants with Dynapenic Obesity: A Randomized Clinical Trial. Nutrients 2025, 17, 418. https://doi.org/10.3390/nu17030418
Muollo V, Rossi AP, Milanese C, Cavedon V, Schena F, Giani A, Urbani S, Mazzali G, Zamboni M, Zoico E. Effects of a Hypocaloric Diet Plus Resistance Training with and Without Amino Acids in Older Participants with Dynapenic Obesity: A Randomized Clinical Trial. Nutrients. 2025; 17(3):418. https://doi.org/10.3390/nu17030418
Chicago/Turabian StyleMuollo, Valentina, Andrea P. Rossi, Chiara Milanese, Valentina Cavedon, Federico Schena, Anna Giani, Silvia Urbani, Gloria Mazzali, Mauro Zamboni, and Elena Zoico. 2025. "Effects of a Hypocaloric Diet Plus Resistance Training with and Without Amino Acids in Older Participants with Dynapenic Obesity: A Randomized Clinical Trial" Nutrients 17, no. 3: 418. https://doi.org/10.3390/nu17030418
APA StyleMuollo, V., Rossi, A. P., Milanese, C., Cavedon, V., Schena, F., Giani, A., Urbani, S., Mazzali, G., Zamboni, M., & Zoico, E. (2025). Effects of a Hypocaloric Diet Plus Resistance Training with and Without Amino Acids in Older Participants with Dynapenic Obesity: A Randomized Clinical Trial. Nutrients, 17(3), 418. https://doi.org/10.3390/nu17030418

