Plant-Based Dietary Indices in Relation to Nutrient and Food Group Intakes in Preschool-Aged Children
Abstract
:1. Introduction
2. Materials and Methods
2.1. Study Design and Participant Screening
2.2. Anthropometric Measurements
2.3. Dietary Assessment
2.4. Plant-Based Dietary Index (PDI) Scoring
2.5. Data and Statistical Analysis
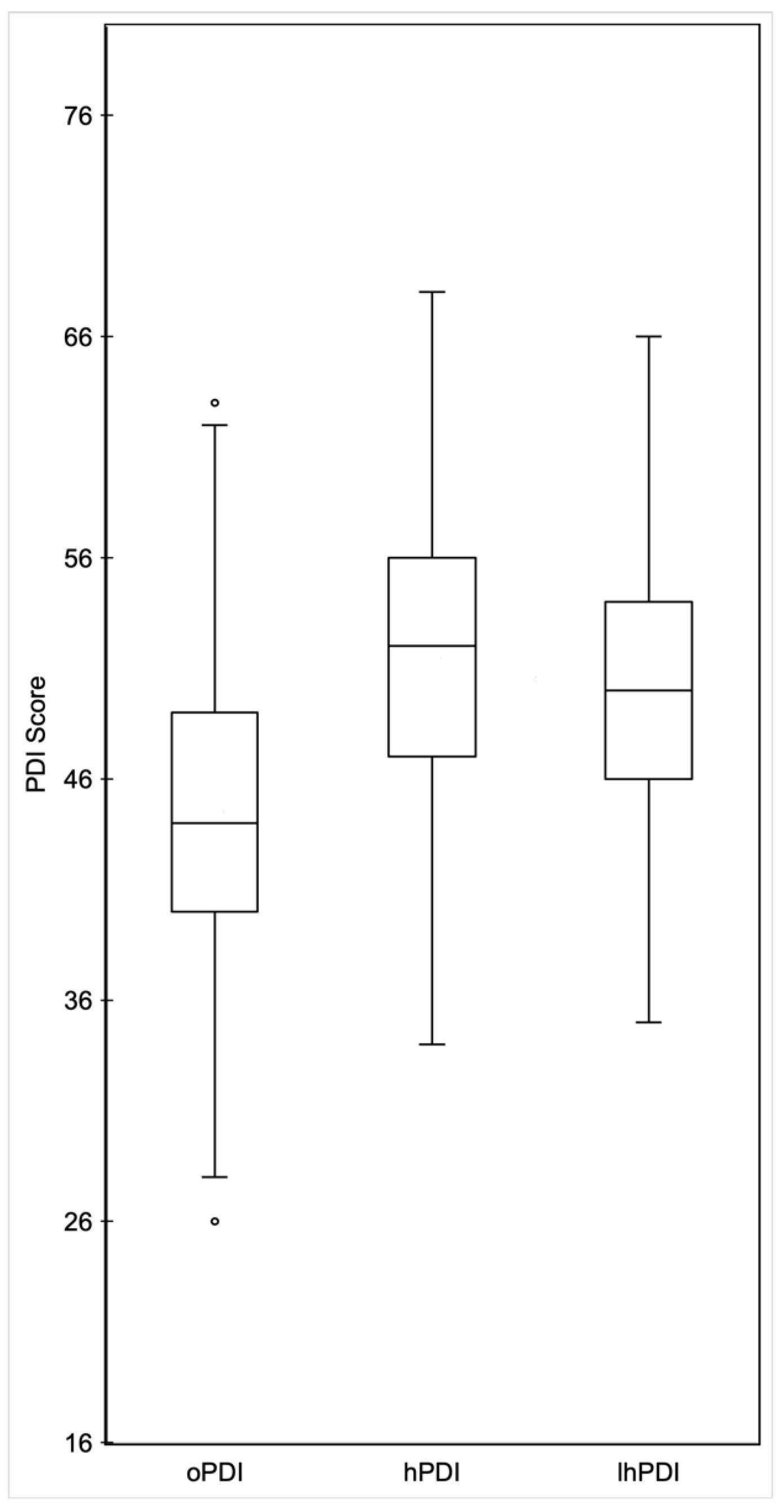
3. Results
3.1. Participant Characteristics
3.2. oPDI Scores in Relation to Nutrient and Food Group Intakes
3.3. hPDI Scores in Relation to Nutrient and Food Group Intakes
3.4. lhPDI Scores in Relation to Nutrient and Food Group Intakes
4. Discussion
5. Conclusions
Supplementary Materials
Author Contributions
Funding
Institutional Review Board Statement
Informed Consent Statement
Data Availability Statement
Acknowledgments
Conflicts of Interest
References
- U.S. Department of Agriculture; U.S. Department of Health and Human Services. Dietary Guidelines for Americans, 2020–2025; 9th ed.; December 2020. Available online: https://www.dietaryguidelines.gov/sites/default/files/2020-12/Dietary_Guidelines_for_Americans_2020-2025.pdf (accessed on 10 May 2023).
- National Health and Medical Research Council. Australian Dietary Guidelines; National Health and Medical Research Council: Canberra, Australia, 2013. [Google Scholar]
- High Council for Public Health, Paris, Île-de-France, France. French Nutrition and Health Programme’s Dietary Guidelines for Adults. 2017. Available online: https://www.fao.org/nutrition/education-nutritionnelle/food-dietary-guidelines/regions/france/previous-versions/fr/ (accessed on 14 May 2023).
- Ministry of Food, Agriculture and Fisheries of Denmark. The Official Dietary Guidelines Good for Health and Climate. Available online: https://foedevarestyrelsen.dk/publikationer/2021/the-official-dietary-guidelines-good-for-health-and-climate-booklet (accessed on 16 May 2023).
- Health Canada. Canada’s Dietary Guidelines For Health Professionals and Policy Makers. 2019. Available online: https://food-guide.canada.ca/sites/default/files/artifact-pdf/CDG-EN-2018.pdf (accessed on 25 May 2023).
- Neufingerl, N.; Eilander, A. Nutrient Intake and Status in Adults Consuming Plant-Based Diets Compared to Meat-Eaters: A Systematic Review. Nutrients 2021, 14, 29. [Google Scholar] [CrossRef] [PubMed]
- Parker, H.W.; Vadiveloo, M.K. Diet quality of vegetarian diets compared with nonvegetarian diets: A systematic review. Nutr. Rev. 2019, 77, 144–160. [Google Scholar] [CrossRef]
- Satija, A.; Bhupathiraju, S.N.; Spiegelman, D.; Chiuve, S.E.; Manson, J.E.; Willett, W.; Rexrode, K.M.; Rimm, E.B.; Hu, F.B. Healthful and unhealthful plant-based diets and the risk of coronary heart disease in U.S. adults. J. Am. Coll. Cardiol. 2017, 70, 411–422. [Google Scholar] [CrossRef] [PubMed]
- Heianza, Y.; Zhou, T.; Sun, D.; Hu, F.B.; Qi, L. Healthful plant-based dietary patterns, genetic risk of obesity, and cardiovascular risk in the UK biobank study. Clin. Nutr. 2021, 40, 4694–4701. [Google Scholar] [CrossRef] [PubMed]
- Song, S.; Lee, K.; Park, S.; Shin, N.; Kim, H.; Kim, J. Association between Unhealthful Plant-Based Diets and Possible Risk of Dyslipidemia. Nutrients 2021, 13, 4334. [Google Scholar] [CrossRef]
- Kouvari, M.; Tsiampalis, T.; Chrysohoou, C.; Georgousopoulou, E.; Skoumas, J.; Mantzoros, C.S.; Pitsavos, C.S.; Panagiotakos, D.B. Quality of plant-based diets in relation to 10-year cardiovascular disease risk: The ATTICA cohort study. Eur. J. Nutr. 2022, 61, 2639–2649. [Google Scholar] [CrossRef]
- Satija, A.; Bhupathiraju, S.N.; Rimm, E.B.; Spiegelman, D.; Chiuve, S.E.; Borgi, L.; Willett, W.C.; Manson, J.E.; Sun, Q.; Hu, F.B. Plant-based dietary patterns and incidence of type 2 diabetes in US men and women: Results from three prospective cohort studies. PLoS Med. 2016, 13, e1002039. [Google Scholar] [CrossRef] [PubMed]
- Wang, F.; Baden, M.Y.; Guasch-Ferré, M.; Wittenbecher, C.; Li, J.; Li, Y.; Wan, Y.; Bhupathiraju, S.N.; Tobias, D.K.; Clish, C.B.; et al. Plasma metabolite profiles related to plant-based diets and the risk of type 2 diabetes. Diabetologia 2022, 65, 1119–1132. [Google Scholar] [CrossRef]
- Sasanfar, B.; Toorang, F.; Booyani, Z.; Vassalami, F.; Mohebbi, E.; Azadbakht, L.; Zendehdel, K. Adherence to plant-based dietary pattern and risk of breast cancer among Iranian women. Eur. J. Clin. Nutr. 2021, 75, 1578–1587. [Google Scholar] [CrossRef] [PubMed]
- Rigi, S.; Mousavi, S.M.; Benisi-Kohansal, S.; Azadbakht, L.; Esmaillzadeh, A. The association between plant-based dietary patterns and risk of breast cancer: A case-control study. Sci. Rep. 2021, 11, 3391. [Google Scholar] [CrossRef]
- Romanos-Nanclares, A.; Willett, W.C.; Rosner, B.A.; Collins, L.C.; Hu, F.B.; Toledo, E.; Eliassen, A.H. Healthful and unhealthful plant-based diets and risk of breast cancer in U.S. women: Results from the Nurses' Health Studies. Cancer Epidemiol. Biomark. Prev. 2021, 30, 1921–1931. [Google Scholar] [CrossRef]
- Martínez-González, M.A.; Sánchez-Tainta, A.; Corella, D.; Salas-Salvadó, J.; Ros, E.; Arós, F.; Gómez-Gracia, E.; Fiol, M.; Lamuela-Raventós, R.M.; Schröder, H.; et al. A provegetarian food pattern and reduction in total mortality in the Prevención con Dieta Mediterránea (PREDIMED) study. Am. J. Clin. Nutr. 2014, 100, 320S–3208S. [Google Scholar] [CrossRef] [PubMed]
- Kim, J.; Kim, H.; Giovannucci, E.L. Plant-based diet quality and the risk of total and disease-specific mortality: A population-based prospective study. Clin. Nutr. 2021, 40, 5718–5725. [Google Scholar] [CrossRef] [PubMed]
- Weston, L.J.; Kim, H.; Talegawkar, S.A.; Tucker, K.L.; Correa, A.; Rebholz, C.M. Plant-based diets and incident cardiovascular disease and all-cause mortality in African Americans: A cohort study. PLoS Med. 2022, 19, e1003863. [Google Scholar] [CrossRef]
- Heidemann, C.; Schulze, M.B.; Franco, O.H.; van Dam, R.M.; Mantzoros, C.S.; Hu, F.B. Dietary patterns and risk of mortality from cardiovascular disease, cancer, and all causes in a prospective cohort of women. Circulation 2008, 118, 230–237. [Google Scholar] [CrossRef]
- Kim, H.; Rebholz, C.M.; Garcia-Larsen, V.; Steffen, L.M.; Coresh, J.; Caulfield, L.E. Operational differences in plant-based diet indices affect the ability to detect associations with incident hypertension in middle-aged US adults. J. Nutr. 2020, 150, 842–850. [Google Scholar] [CrossRef] [PubMed]
- Chen, Z.; Drouin-Chartier, J.P.; Li, Y.; Baden, M.Y.; Manson, J.E.; Willett, W.C.; Voortman, T.; Hu, F.B.; Bhupathiraju, S.N. Changes in plant-based diet indices and subsequent risk of type 2 diabetes in women and men: Three U.S. prospective cohorts. Diabetes Care 2021, 44, 663–671. [Google Scholar] [CrossRef]
- Laouali, N.; Shah, S.; MacDonald, C.J.; Mahamat-Saleh, Y.; El Fatouhi, D.; Mancini, F.; Fagherazzi, G.; Boutron-Ruault, M.C. BMI in the associations of plant-based diets with type 2 diabetes and hypertension risks in women: The E3N prospective cohort study. J. Nutr. 2021, 151, 2731–2740. [Google Scholar] [CrossRef]
- Thompson, A.S.; Tresserra-Rimbau, A.; Karavasiloglou, N.; Jennings, A.; Cantwell, M.; Hill, C.; Perez-Cornago, A.; Bondonno, N.P.; Murphy, N.; Rohrmann, S.; et al. Association of healthful plant-based diet adherence with risk of mortality and major chronic diseases among adults in the UK. JAMA Netw. Open 2023, 6, e234714. [Google Scholar] [CrossRef]
- Lee, K.; Kim, H.; Rebholz, C.; Kim, J. Association between different types of plant-based diets and risk of dyslipidemia: A prospective cohort study. Nutrients 2021, 13, 220. [Google Scholar] [CrossRef]
- Luque, V.; Closa-Monasterolo, R.; Grote, V.; Ambrosini, G.L.; Zaragoza-Jordana, M.; Ferré, N.; Theurich, M.; Koletzko, B.; Verduci, E.; Gruszfeld, D.; et al. Dietary patterns acquired in early life are associated with cardiometabolic markers at school age. Clin. Nutr. 2021, 40, 4606–4614. [Google Scholar] [CrossRef] [PubMed]
- Mikkilä, V.; Räsänen, L.; Raitakari, O.T.; Pietinen, P.; Viikari, J. Consistent dietary patterns identified from childhood to adulthood: The Cardiovascular Risk in Young Finns Study. Br. J. Nutr. 2005, 93, 923–931. [Google Scholar] [CrossRef] [PubMed]
- Wallace, A.; Kirkpatrick, S.I.; Darlington, G.; Haines, J. Accuracy of parental reporting of preschoolers' dietary intake using an online self-administered 24-h recall. Nutrients 2018, 10, 987. [Google Scholar] [CrossRef] [PubMed]
- Health Canada. Nutrition Labelling: Table of Reference Amounts for Food. 2016. Available online: https://www.canada.ca/content/dam/hc-sc/healthy-canadians/migration/eating-nutrition/label-etiquetage/regulatory-guidance-directives-reglementaires/reference-amounts-food-quantites-reference-aliments/alt/reference-amounts-food-quantites-reference-aliments-eng.pdf (accessed on 14 June 2023).
- Roberts, M.; Tolar-Peterson, T.; Reynolds, A.; Wall, C.; Reeder, N.; Rico Mendez, G. The effects of nutritional interventions on the cognitive development of preschool-age children: A systematic review. Nutrients 2022, 14, 532. [Google Scholar] [CrossRef] [PubMed]
- Chen, G.; Su, M.; Chu, X.; Wei, Y.; Chen, S.; Zhou, Y.; Liu, Z.; Zhang, Z. Plant-based diets and body composition in Chinese omnivorous children aged 6–9 years old: A cross-sectional study. Front Nutr. 2022, 9, 918944. [Google Scholar] [CrossRef]
- Asoudeh, F.; Mousavi, S.M.; Keshteli, A.H.; Hasani-Ranjbar, S.; Larijani, B.; Esmaillzadeh, A.; Adibi, P. The association of plant-based dietary pattern with general and abdominal obesity: A large cross-sectional study. J. Diabetes Met. Disord. 2023, 22, 469–477. [Google Scholar] [CrossRef]
- Zamani, B.; Daneshzad, E.; Siassi, F.; Guilani, B.; Bellissimo, N.; Azadbakht, L. Association of plant-based dietary patterns with psychological profile and obesity in Iranian women. Clin Nutr. 2020, 39, 1799–1808. [Google Scholar] [CrossRef]
- Shirzadi, Z.; Daneshzad, E.; Dorosty, A.; Surkan, P.J.; Azadbakht, L. Associations of plant-based dietary patterns with cardiovascular risk factors in women. J. Cardiovasc. Thorac. Res. 2022, 14, 1–10. [Google Scholar] [CrossRef]
- Bolori, P.; Setaysh, L.; Rasaei, N.; Jarrahi, F.; Yekaninejad, M.S.; Mirzaei, K. Adherence to a healthy plant diet may reduce inflammatory factors in obese and overweight women—A cross-sectional study. Diabetes Metab. Syndr. 2019, 13, 2795–2802. [Google Scholar] [CrossRef]
- Ma, Y.; Tan, J.; Tan, Z.; Shang, L. Validity and reliability of semiquantitative food frequency questionnaires for assessing nutrient intake among preschool children in northwest China. J. Healthc. Eng. 2022, 2022, 1677252. [Google Scholar] [CrossRef]
- Fox, M.K.; Condon, E.; Briefel, R.R.; Reidy, K.C.; Deming, D.M. Food consumption patterns of young preschoolers: Are they starting off on the right path? J. Am. Diet. Assoc. 2010, 110, S52–S59. [Google Scholar] [CrossRef] [PubMed]
- Dror, D.K.; Allen, L.H. Dairy product intake in children and adolescents in developed countries: Trends, nutritional contribution, and a review of association with health outcomes. Nutr. Rev. 2014, 72, 68–81. [Google Scholar] [CrossRef] [PubMed]
- Liu, R.H. Health-promoting components of fruits and vegetables in the diet. Adv. Nutr. 2013, 4, 384S–392S. [Google Scholar] [CrossRef]
- Papanikolaou, Y.; Slavin, J.L.; Clemens, R.; Brenna, J.T.; Hayes, D.; Gaesser, G.A.; Fulgoni, V.L. III. Do refined grains have a place in a healthy dietary pattern: Perspectives from an expert panel consensus meeting. Curr. Dev. Nutr. 2020, 4, nzaa125. [Google Scholar] [CrossRef] [PubMed]
- Fulton, S.L.; McKinley, M.C.; Young, I.S.; Cardwell, C.R.; Woodside, J.V. The effect of increasing fruit and vegetable consumption on overall diet: A systematic review and meta-analysis. Crit. Rev. Food Sci. Nutr. 2016, 56, 802–816. [Google Scholar] [CrossRef] [PubMed]
- Mead, L.C.; Hill, A.M.; Carter, S.; Coates, A.M. The effect of nut consumption on diet quality, cardiometabolic and gastrointestinal health in children: A systematic review of randomized controlled trials. Int. J. Environ. Res. Public Health 2021, 18, 454. [Google Scholar] [CrossRef]






Disclaimer/Publisher’s Note: The statements, opinions and data contained in all publications are solely those of the individual author(s) and contributor(s) and not of MDPI and/or the editor(s). MDPI and/or the editor(s) disclaim responsibility for any injury to people or property resulting from any ideas, methods, instructions or products referred to in the content. |
© 2023 by the authors. Licensee MDPI, Basel, Switzerland. This article is an open access article distributed under the terms and conditions of the Creative Commons Attribution (CC BY) license (https://creativecommons.org/licenses/by/4.0/).
Share and Cite
Acosta, P.F.C.; Landon, O.A.; Ribau, Z.J.; Haines, J.; Ma, D.W.L.; Duncan, A.M.; on behalf of the Guelph Family Health Study. Plant-Based Dietary Indices in Relation to Nutrient and Food Group Intakes in Preschool-Aged Children. Nutrients 2023, 15, 4617. https://doi.org/10.3390/nu15214617
Acosta PFC, Landon OA, Ribau ZJ, Haines J, Ma DWL, Duncan AM, on behalf of the Guelph Family Health Study. Plant-Based Dietary Indices in Relation to Nutrient and Food Group Intakes in Preschool-Aged Children. Nutrients. 2023; 15(21):4617. https://doi.org/10.3390/nu15214617
Chicago/Turabian StyleAcosta, Patricia F. C., Olivia A. Landon, Zachary J. Ribau, Jess Haines, David W. L. Ma, Alison M. Duncan, and on behalf of the Guelph Family Health Study. 2023. "Plant-Based Dietary Indices in Relation to Nutrient and Food Group Intakes in Preschool-Aged Children" Nutrients 15, no. 21: 4617. https://doi.org/10.3390/nu15214617
APA StyleAcosta, P. F. C., Landon, O. A., Ribau, Z. J., Haines, J., Ma, D. W. L., Duncan, A. M., & on behalf of the Guelph Family Health Study. (2023). Plant-Based Dietary Indices in Relation to Nutrient and Food Group Intakes in Preschool-Aged Children. Nutrients, 15(21), 4617. https://doi.org/10.3390/nu15214617

