Validation of an Automated Wearable Camera-Based Image-Assisted Recall Method and the 24-h Recall Method for Assessing Women’s Time Allocation in a Nutritionally Vulnerable Population: The Case of Rural Uganda
Abstract
1. Introduction
2. Materials and Methods
2.1. Study Design
2.2. Participants and Sampling
2.3. Instruments and Protocol
2.4. Data Processing
2.5. Data Analysis
3. Results
3.1. Characteristics of the Sample
3.2. Time Allocation
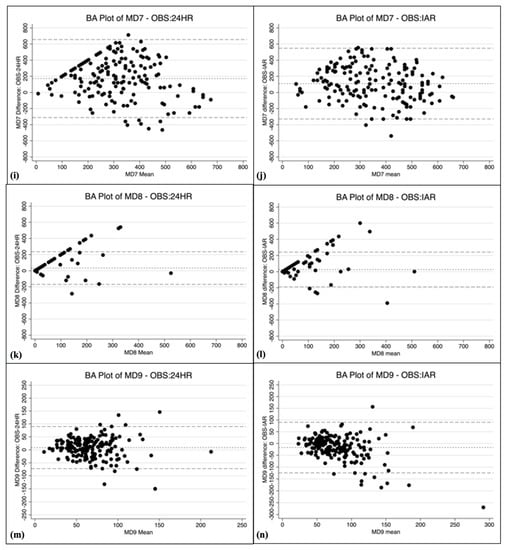
3.3. Measures of Agreement
4. Discussion
Strengths and Limitations
5. Conclusions
Supplementary Materials
Author Contributions
Funding
Institutional Review Board Statement
Informed Consent Statement
Data Availability Statement
Acknowledgments
Conflicts of Interest
References
- Engle, P.L.; Menon, P.; Haddad, L. Care and Nutrition: Concepts and Measurement; International Food Policy Research Institute: Washington, DC, USA, 1997. [Google Scholar]
- Blackden, C.M.; Wodon, Q. Gender, Time Use, and Poverty in Sub-Saharan Africa; World Bank Working Papers; The World Bank: Washington, DC, USA, 2006. [Google Scholar]
- OECD. Enabling Women’s Economic Empowerment: New Approaches to Unpaid Care Work in Developing Countries; OECD Publishing: Paris, France, 2019. [Google Scholar]
- International Labour Office. Women at Work: Trends 2016; International Labour Office: Geneva, Switzerland, 2016. [Google Scholar]
- Verick, S. Female labor force participation in developing countries. IZA World Labor 2014, 2014, 87. [Google Scholar] [CrossRef]
- Marini, M.; Shelton, B. Measuring Household Work: Recent Experience in the United States. Soc. Sci. Res. 1993, 22, 361–382. [Google Scholar] [CrossRef]
- Kadiyala, S.; Harris, J.; Headey, D.; Yosef, S.; Gillespie, S. Agriculture and nutrition in India: Mapping evidence to pathways. Ann. N. Y. Acad. Sci. 2014, 1331, 43–56. [Google Scholar] [CrossRef] [PubMed]
- Komatsu, H.; Malapit, H.J.L.; Theis, S. Does women’s time in domestic work and agriculture affect women’s and children’s dietary diversity? Evidence from Bangladesh, Nepal, Cambodia, Ghana, and Mozambique. Food Policy 2018, 79, 256–270. [Google Scholar] [CrossRef]
- Molyneux, M. Mothers at the Service of the New Poverty Agenda: Progresa/Oportunidades, Mexico’s Conditional Transfer Programme. Soc. Policy Adm. 2006, 40, 425–449. [Google Scholar] [CrossRef]
- Senauer, B. The Impact of the Value of Women’s Time on Food and Nutrition in Developing Countries; University of Minnesota: Minneapolis, MN, USA, 1988. [Google Scholar]
- Jones, A.D.; Agudo, Y.C.; Galway, L.; Bentley, J.; Pinstrup-Andersen, P. Heavy agricultural workloads and low crop diversity are strong barriers to improving child feeding practices in the Bolivian Andes. Soc. Sci. Med. 2012, 75, 1673–1684. [Google Scholar] [CrossRef]
- Van den Bold, M.; Bliznashka, L.; Ramani, G.; Olney, D.; Quisumbing, A.; Pedehombga, A.; Ouedraogo, M. Nutrition-sensitive agriculture programme impacts on time use and associations with nutrition outcomes. Matern. Child Nutr. 2021, 17, 16. [Google Scholar]
- Ricci, J.A.; Jerome, N.W.; Sirageldin, I.; Aly, H.; Moussa, W.; Galal, O.; Harrison, G.G.; Kirksey, A. The significance of children’s age in estimating the effect of maternal time use on children’s well-being. Soc. Sci. Med. 1996, 42, 651–659. [Google Scholar] [CrossRef]
- Popkin, B.M. Time allocation of the mother and child nutrition. Ecol. Food Nutr. 1980, 9, 1–13. [Google Scholar] [CrossRef]
- Gryboski, K.L. Maternal and Non-maternal Time Allocation to Infant Care, and Care during Infant Illness in Rural Java, Indonesia. Soc. Sci. Med. 1996, 43, 209–219. [Google Scholar] [CrossRef]
- Hawkes, K.; O’Connell, J.F.; Jones, N.G.B. Hadza Women’s Time Allocation, Offspring Provisioning, and the Evolution of Long Postmenopausal Life Spans. Curr. Anthr. 1997, 38, 551–577. [Google Scholar] [CrossRef]
- Nordang, S.; Shoo, T.; Holmboe-Ottesen, G.; Kinabo, J.; Wandel, M. Women’s work in farming, child feeding practices and nutritional status among under-five children in rural Rukwa, Tanzania. Br. J. Nutr. 2015, 114, 1594–1603. [Google Scholar] [CrossRef] [PubMed]
- Bamji, M.S.; Thimayamma, B. Impact of women’s work on maternal and child nutrition. Ecol. Food Nutr. 2000, 39, 13–31. [Google Scholar] [CrossRef]
- Hirway, I.; Jose, S. Understanding Women’s Work Using Time-Use Statistics: The Case of India. Fem. Econ. 2011, 17, 67–92. [Google Scholar] [CrossRef]
- Fedick, C.B.; Pacholok, S.; Gauthier, A.H. Methodological issues in the estimation of parental time–Analysis of measures in a Canadian time-use survey. Electron. Int. J. Time Use Res. 2005, 2, 67–87. [Google Scholar] [CrossRef]
- Buvinić, M.; King, E.M. Invisible No More? A Methodology and Policy Review of How Time Use Surveys Measure Unpaid Work. United Nations Foundation, Data2X. Available online: https://data2x.org/resource-center/invisible-no-more-a-methodology-and-policy-review-of-how-time-use-surveys-measure-unpaid-work-volume-1/ (accessed on 30 March 2022).
- Bério, A.-J. The analysis of time allocation and activity patterns in nutrition and rural development planning. Food Nutr. Bull. 1984, 6, 1–16. [Google Scholar] [CrossRef]
- Walthery, P.; Gershuny, J. Improving Stylised Working Time Estimates with Time Diary Data: A Multi Study Assessment for the UK. Soc. Indic. Res. 2019, 144, 1303–1321. [Google Scholar] [CrossRef] [PubMed]
- Kanwar, P.; Yadav, D.; Sharma, N. Time use pattern of hill farm women: A study in Himachal Pradesh. Himachal. J. Agric. Res. 2003, 29, 84–88. [Google Scholar]
- Szalai, A. Women’s time: Women in the light of contemporary time-budget research. Futures 1975, 7, 385–399. [Google Scholar] [CrossRef]
- Engle, P.; Lhotská, L.; Armstrong, H. The Care Initiative: Assessment, Analysis and Action to Improve Care for Nutrition; UNICEF: New York, NY, USA, 1997; p. 35. [Google Scholar]
- Floro, M.S.; King, E.M. The present and future of time-use analysis in developing countries. Asia-Pac. Popul. J. 2016, 31, 5–42. [Google Scholar] [CrossRef]
- Johnston, D.; Stevano, S.; Malapit, H.J.L.; Hull, E.; Kadiyala, S. Agriculture, Gendered Time Use, and Nutritional Outcomes: A Systematic Review; Report No.: 01456; IFPRI Discussion Paper; The International Food Policy Research Institute (IFPRI): Washington, DC, USA, 2015. [Google Scholar]
- Mcguire, J.S.; Popkin, B.M. Helping Women Improve Nutrition in the Developing World; The International Bank for Reconstruction and Development: Washington, DC, USA; The World Bank: Washington, DC, USA, 1990. [Google Scholar]
- Floro, M.S. Economic restructuring, gender and the allocation of time. World Dev. 1995, 23, 1913–1929. [Google Scholar] [CrossRef]
- Nti, C.A.; Inkumsah, D.; Fleischer, G. Influence of women’s workload on their nutritional status in selected communities in Ghana. J. Consum. Stud. Home Econ. 1999, 23, 165–170. [Google Scholar] [CrossRef]
- Leslie, J. Women’s time: A factor in the use of child survival technologies? Health Policy Plan 1989, 4, 1–16. [Google Scholar] [CrossRef]
- Leslie, J.; Paolisso, M.J. Women, Work, and Child Welfare in the Third World; AAAS Selected Symposia Series; Westview Press for the American Association for the Advancement of Science: Washington, DC, USA, 1989; p. 265. [Google Scholar]
- Ironmonger, D. There are only 24 Hours in a Day! Solving the problematic of simultaneous time. In Proceedings of the 25th IATUR Conference on Time Use Research, Lisbon, Portugal, 16–18 October 2005; p. 8. [Google Scholar]
- Irani, L.; Vemireddy, V. Getting the measurement right! Quantifying time poverty and multitasking from childcare among mothers with children across different age groups in rural north India. Asian Popul. Stud. 2020, 17, 94–116. [Google Scholar] [CrossRef]
- Peterman, A.; Ng, S.W.; Palermo, T.; Lee, I.-H.E. Managing the Double Burden: Pregnancy and Labor-Intensive Time Use in Rural China, Mexico, and Tanzania. Stud. Fam. Plan. 2013, 44, 411–430. [Google Scholar] [CrossRef] [PubMed]
- Mattingly, M.J.; Blanchi, S.M. Gender Differences in the Quantity and Quality of Free Time: The, U.S. Experience. Soc. Forces 2003, 81, 999–1030. [Google Scholar] [CrossRef]
- Zick, C.D.; Bryant, W. A New Look at Parents’ Time Spent in Child Care: Primary and Secondary Time Use. Soc. Sci. Res. 1996, 25, 260–280. [Google Scholar] [CrossRef]
- Floro, M.S. Women’s well-being, poverty, and work intensity. Fem. Econ. 1995, 1, 1–25. [Google Scholar] [CrossRef]
- Ilahi, N. The Intra-household Allocation of Time and Tasks: What Have We Learnt from the Empirical Literature? Policy Research Report on Gender and Development Working Paper; The World Bank: Washington, DC, USA, 2000. [Google Scholar]
- Acharya, M.; Bennett, L. Women and the Subsistence Sector: Economic Participation and Household Decisionmaking in Nepal; Report No.: 526; World Bank Staff Working Papers; World Bank: Washington, DC, USA, 1982. [Google Scholar]
- As, D. Studies of Time-Use: Problems and Prospects. Acta Sociol. 1978, 21, 125–141. [Google Scholar] [CrossRef]
- Budlender, D. A Critical Review of Selected Time Use Surveys; Report No.: 2; Gender and Development Programme Paper; United Nations Research Institute for Social Development: Geneva, Switzerland, 2007. [Google Scholar]
- Budlender, D. The Statistical Evidence on Care and Non-Care Work across Six Countries; Report No.: 4; Gender and Development Programme Paper; United Nations Research Institute for Social Development: Geneva, Switzerland, 2008. [Google Scholar]
- ILO Department of Statistics. Survey Methods to Improve Measurement of Paid and Unpaid Work: Country Practices in Time-Use Measurement; ILO Department of Statistics: Geneva, Switzerland, 2018; p. 40. [Google Scholar]
- Andorka, R. Time budgets and their uses. Annu. Rev. Sociol. 1987, 13, 149–164. [Google Scholar] [CrossRef]
- European Union. Harmonised European Time Use Surveys (HETUS) 2018 Guidelines; Publications Office of the European Union: Luxembourg, 2019. [Google Scholar]
- Michelson, W. Time Budgets and Social Activity. In Meeting of the Working Group on Time-Budgets and Social Activity; Major Report No. 4; University of Toronto: Toronto, ON, Canada, 1975; Volume 1, p. 213. [Google Scholar]
- Hirway, I. Time-Use Surveys in Developing Countries: An Assessment. In Unpaid Work and the Economy; Palgrave Macmillan: London, UK, 2010; pp. 252–324. [Google Scholar]
- Ricci, J.; Jerome, N.; Megally, N.; Galal, O.; Harrison, G.; Kirksey, A. Assessing the Validity of Informant Recall: Results of a Time Use Pilot Study in Peri-Urban Egypt. Hum. Organ. 1995, 54, 304–308. [Google Scholar] [CrossRef]
- Robinson, J.P. The time-diary method: Structure and uses. In Time Use in the Social Sciences; Pentland, W.E., Harvey, A.S., Lawton, M.P., McColl, M.A., Eds.; Kluwer Academic Publishers: New York, NY, USA, 1999; pp. 47–89. [Google Scholar]
- Gross, D.R. Time allocation: A tool for the study of cultural behavior. Annu. Rev. Anthropol. 1984, 13, 519–558. [Google Scholar] [CrossRef]
- Kes, A.; Swaminathan, H. Gender and Time Poverty in Sub-Saharan Africa. In Time Use, and Poverty in Sub-Saharan Africa; Blackden, C.M., Wodon, Q., Eds.; The International Bank for Reconstruction and Development: Washington, DC, USA; The World Bank: Washington, DC, USA, 2006; pp. 13–38. [Google Scholar]
- Kalton, G. Sample Design Issues in Time Diary Studies. In Time, Goods, and Well-Being; Juster, F.T., Stafford, F.P., Eds.; University of Michigan: Ann Arbor, MI, USA, 1985; pp. 93–112. [Google Scholar]
- Robinson, J.P. The Validity and Reliability of Diaries Versus Alternative Time Use Measures. In Time, Goods, and Well-Being; Juster, F.T., Stafford, F.P., Eds.; The University of Michigan: Ann Arbor, MI, USA, 1985; pp. 33–62. [Google Scholar]
- Wagenbuur, H.T.M. An Analysis of the Time-Budget and of the Production and Productivity of Lime Farmers in Southern Ghana; I.S.S. Ocassional Papers; Institute of Social Studies: The Hague, The Netherlands, 1972. [Google Scholar]
- Gardner, F. Methodological Issues in the Direct Observation of Parent–Child Interaction: Do Observational Findings Reflect the Natural Behavior of Participants? Clin. Child Fam. Psychol. Rev. 2000, 3, 185–198. [Google Scholar] [CrossRef]
- Repp, A.C.; Nieminen, G.S.; Olinger, E.; Brusca, R. Direct Observation: Factors Affecting the Accuracy of Observers. Counc. Rev. 1988, 55, 29–36. [Google Scholar] [CrossRef]
- Richer, J. Direct Observation: Impediments and Approaches. Hum. Ethol. 2017, 32, 6–14. [Google Scholar] [CrossRef]
- Seymour, G.; Malapit, H.; Quisumbing, A. Measuring Time Use in Development Settings; International Food Policy Research Institute (IFPRI): Washington, DC, USA, 2016. [Google Scholar]
- Juster, F.T.; Ono, H.; Stafford, F.P. An Assessment of Alternative Measures of Time Use. Sociol. Methodol. 2003, 33, 19–54. [Google Scholar] [CrossRef]
- Brunnich, B.; Druce, P.; Ghissassi, M.; Johnson, M.; Majidi, N.; Radas, A.L.; Riccheri, P.R.; Camille de Sentenac, C.; Vacarr, D. Three Case Studies of Time Use Survey Application in Lower and Middle-Income Countries; The Gender Unit in the Bureau for Development Policy at The United Nations Development Programme: Paris, France, 2005. [Google Scholar]
- Belli, R.F.; Schwarz, N.; Singer, E.; Talarico, J. Decomposition can harm the accuracy of behavioural frequency reports. Appl. Cogn. Psychol. 2000, 14, 295–308. [Google Scholar] [CrossRef]
- Seymour, G.; Malapit, H.; Quisumbing, A. Measuring Time Use in Developing Country Agriculture: Evidence from Bangladesh and Uganda. Fem. Econ. 2020, 26, 169–199. [Google Scholar] [CrossRef]
- Alkire, S.; Meinzen-Dick, R.; Peterman, A.; Quisumbing, A.R.; Seymour, G. The Women’s Empowerment in Agriculture Index; OPHI Working Paper; Report No.: 58; Oxford Poverty & Human Development Initiative: Oxford, UK, 2013. [Google Scholar]
- Rubin, D.C.; Baddeley, A.D. Telescoping is not time compression: A model. Mem. Cogn. 1989, 17, 653–661. [Google Scholar] [CrossRef]
- Tourangeau, R. Cognitive Sciences and Survey Methods. In Cognitive Aspects of Survey Methodology: Building a Bridge between Disciplines; Jabine, T., Straf, M., Tanur, J., Tourangeau, R., Eds.; National Academy Press: Washington, DC, USA, 1984; pp. 73–100. [Google Scholar]
- Jacobs, J.A. Measuring time at work: Are self-reports accurate? Mon. Lab. Rev. 1998, 121, 42–53. [Google Scholar]
- Bernard, H.R.; Killworth, P.; Kronenfeld, D.; Sailer, L. The Problem of Informant Accuracy: The Validity of Retrospective Data. Annu. Rev. Anthropol. 1984, 13, 495–517. [Google Scholar] [CrossRef]
- United Nations Statistics Division. International Classification of Activities for Time-Use Statistics 2016 (ICATUS 2016); United Nations Statistics Division: New York, NY, USA, 2019. [Google Scholar]
- Arab, L.; Winter, A. Automated Camera-Phone Experience with the Frequency of Imaging Necessary to Capture Diet. J. Am. Diet. Assoc. 2010, 110, 1238–1241. [Google Scholar] [CrossRef] [PubMed]
- Arab, L.; Estrin, D.; Kim, D.H.; Burke, J.; Goldman, J. Feasibility testing of an automated image-capture method to aid dietary recall. Eur. J. Clin. Nutr. 2011, 65, 1156–1162. [Google Scholar] [CrossRef] [PubMed]
- Beltran, A.; Dadabhoy, H.; Ryan, C.; Dholakia, R.; Jia, W.; Baranowski, J.; Sun, M.; Baranowski, T. Dietary Assessment with a Wearable Camera among Children: Feasibility and Intercoder Reliability. J. Acad. Nutr. Diet. 2018, 118, 2144–2153. [Google Scholar] [CrossRef]
- Kamar, M.; Evans, C.; Hugh-Jones, S. Factors Influencing British Adolescents’ Intake of Whole Grains: A Pilot Feasibility Study Using SenseCam Assisted Interviews. Nutrients 2019, 11, 2620. [Google Scholar] [CrossRef]
- Chan, V.; Davies, A.; Wellard-Cole, L.; Lu, S.; Ng, H.; Tsoi, L.; Tiscia, A.; Signal, L.; Rangan, A.; Gemming, L.; et al. Using Wearable Cameras to Assess Foods and Beverages Omitted in 24 Hour Dietary Recalls and a Text Entry Food Record App. Nutrients 2021, 13, 1806. [Google Scholar] [CrossRef]
- Gemming, L.; Doherty, A.; Kelly, P.; Utter, J.; Ni Mhurchu, C. Feasibility of a SenseCam-assisted 24-h recall to reduce under-reporting of energy intake. Eur. J. Clin. Nutr. 2013, 67, 1095–1099. [Google Scholar] [CrossRef]
- O’Loughlin, G.; Cullen, S.J.; McGoldrick, A.; Connor, S.; Blain, R.; O’Malley, S.; Warrington, G. Using a Wearable Camera to Increase the Accuracy of Dietary Analysis. Am. J. Prev. Med. 2013, 44, 297–301. [Google Scholar] [CrossRef]
- Jia, W.; Chen, H.-C.; Yue, Y.; Li, Z.; Fernstrom, J.; Bai, Y.; Li, C.; Sun, M. Accuracy of food portion size estimation from digital pictures acquired by a chest-worn camera. Public Health Nutr. 2013, 17, 1671–1681. [Google Scholar] [CrossRef]
- Gemming, L. Image-Assisted Dietary Assessment: Evaluating the Potential of Wearable Cameras to Enhance Self-Report in the 24-Hour Dietary Recall Method; The University of Auckland: Auckland, New Zealand, 2015. [Google Scholar]
- Gemming, L.; Doherty, A.; Utter, J.; Shields, E.; Ni Mhurchu, C. The use of a wearable camera to capture and categorise the environmental and social context of self-identified eating episodes. Appetite 2015, 92, 118–125. [Google Scholar] [CrossRef] [PubMed]
- Gemming, L.; Rush, E.; Maddison, R.; Doherty, A.R.; Gant, N.; Utter, J.; Ni Mhurchu, C. Wearable cameras can reduce dietary under-reporting: Doubly labelled water validation of a camera-assisted 24 h recall. Br. J. Nutr. 2014, 113, 284–291. [Google Scholar] [CrossRef]
- Gemming, L.; Ni Mhurchu, C. Dietary under-reporting: What foods and which meals are typically under-reported? Eur. J. Clin. Nutr. 2016, 70, 640–641. [Google Scholar] [CrossRef]
- Pettitt, C.; Liu, J.; Kwasnicki, R.M.; Yang, G.-Z.; Preston, T.; Frost, G. A pilot study to determine whether using a lightweight, wearable micro-camera improves dietary assessment accuracy and offers information on macronutrients and eating rate. Br. J. Nutr. 2015, 115, 160–167. [Google Scholar] [CrossRef]
- Kelly, P.; Doherty, A.; Berry, E.; Hodges, S.; Batterham, A.M.; Foster, C. Can we use digital life-log images to investigate active and sedentary travel behaviour? Results from a pilot study. Int. J. Behav. Nutr. Phys. Act. 2011, 8, 44. [Google Scholar] [CrossRef]
- Kelly, P.; Doherty, A.R.; Hamilton, A.; Matthews, A.; Batterham, A.M.; Nelson, M.; Foster, C.; Cowburn, G. Evaluating the Feasibility of Measuring Travel to School Using a Wearable Camera. Am. J. Prev. Med. 2012, 43, 546–550. [Google Scholar] [CrossRef]
- Kelly, P. Assessing the Utility of Wearable Cameras in the Measurement of Walking and Cycling. Ph.D. Thesis, Oxford University, Oxford, UK, 2013. [Google Scholar]
- Kerr, J.; Marshall, S.J.; Godbole, S.; Chen, J.; Legge, A.; Doherty, A.R.; Kelly, P.; Oliver, M.; Badland, H.M.; Foster, C. Using the SenseCam to Improve Classifications of Sedentary Behavior in Free-Living Settings. Am. J. Prev. Med. 2013, 44, 290–296. [Google Scholar] [CrossRef]
- Oliver, M.; Doherty, A.R.; Kelly, P.; Badland, H.M.; Mavoa, S.; Shepherd, J.; Kerr, J.; Marshall, S.; Hamilton, A.; Foster, C. Utility of passive photography to objectively audit built environment features of active transport journeys: An observational study. Int. J. Health Geogr. 2013, 12, 20. [Google Scholar] [CrossRef]
- Kelly, P.; Doherty, A.; Mizdrak, A.; Marshall, S.; Kerr, J.; Legge, A.; Godbole, S.; Badland, H.; Oliver, M.; Foster, C. High group level validity but high random error of a self-report travel diary, as assessed by wearable cameras. J. Transp. Health 2014, 1, 190–201. [Google Scholar] [CrossRef]
- Barr, M.; Signal, L.; Jenkin, G.; Smith, M. Capturing exposures: Using automated cameras to document environmental determinants of obesity. Health Promot. Int. 2014, 30, 56–63. [Google Scholar] [CrossRef]
- Cowburn, G.; Matthews, A.; Doherty, A.; Hamilton, A.; Kelly, P.; Williams, J.; Foster, C.; Nelson, M. Exploring the opportunities for food and drink purchasing and consumption by teenagers during their journeys between home and school: A feasibility study using a novel method. Public Health Nutr. 2015, 19, 93–103. [Google Scholar] [CrossRef]
- Signal, L.; Stanley, J.; Smith, M.; Barr, M.; Chambers, T.; Zhou, J.; Duane, A.; Gurrin, C.; Smeaton, A.; McKerchar, C. Children’s everyday exposure to food marketing: An objective analysis using wearable cameras. Int. J. Behav. Nutr. Phys. Act. 2017, 14, 137. [Google Scholar] [CrossRef] [PubMed]
- Liu, W.; Barr, M.; Pearson, A.L.; Chambers, T.; Pfeiffer, K.; Smith, M.; Signal, L. Space-time analysis of unhealthy food advertising: New Zealand children’s exposure and health policy options. Health Promot. Int. 2019, 35, 812–820. [Google Scholar] [CrossRef]
- McKerchar, C.; Smith, M.; Stanley, J.; Barr, M.; Chambers, T.; Abel, G.; Lacey, C.; Gage, R.; Ni Mhurchu, C.; Signal, L. Food store environment examination–FoodSee: A new method to study the food store environment using wearable cameras. Glob. Health Promot. 2019, 27, 73–81. [Google Scholar] [CrossRef] [PubMed]
- Smith, M.; Stanley, J.; Signal, L.; Barr, M.; Chambers, T.; Balina, A.; Mhurchu, C.N.; Wilson, N. Children’s healthy and unhealthy beverage availability, purchase and consumption: A wearable camera study. Appetite 2019, 133, 240–251. [Google Scholar] [CrossRef]
- Veatupu, L.; Puloka, V.; Smith, M.; McKerchar, C.; Signal, L. Me’akai in Tonga: Exploring the Nature and Context of the Food Tongan Children Eat in Ha’apai Using Wearable Cameras. Int. J. Environ. Res. Public Health 2019, 16, 1681. [Google Scholar] [CrossRef]
- Zhou, Q.; Wang, D.; Ni Mhurchu, C.; Gurrin, C.; Zhou, J.; Cheng, Y.; Wang, H. The use of wearable cameras in assessing children’s dietary intake and behaviours in China. Appetite 2019, 139, 1–7. [Google Scholar] [CrossRef]
- Bulungu, A.L.S.; Palla, L.; Priebe, J.; Forsythe, L.; Katic, P.; Varley, G.; Galinda, B.D.; Sarah, N.; Nambooze, J.; Wellard, K.; et al. Validation of a life-logging wearable camera method and the 24-h diet recall method for assessing maternal and child dietary diversity. Br. J. Nutr. 2020, 125, 1299–1309. [Google Scholar] [CrossRef]
- Kohrt, B.; Rai, S.; Vilakazi, K.; Thapa, K.; Bhardwaj, A.; Van Heerden, A. Procedures to Select Digital Sensing Technologies for Passive Data Collection With Children and Their Caregivers: Qualitative Cultural Assessment in South Africa and Nepal. JMIR Pediatr. Parent. 2019, 2, e12366. [Google Scholar] [CrossRef]
- Chow, T.E.; Rissman, J. Neurocognitive mechanisms of real-world autobiographical memory retrieval: Insights from studies using wearable camera technology. Ann. N. Y. Acad. Sci. 2017, 1396, 202–221. [Google Scholar] [CrossRef]
- Hodges, S.; Williams, L.; Berry, E.; Izadi, S.; Srinivasan, J.; Butler, A.; Smyth, G.; Kapur, N.; Wood, K. SenseCam: A Retrospective Memory Aid. In Proceedings of the International conference on ubiquitous computing, Orange County, CA, USA, 17–21 September 2006; pp. 177–193. [Google Scholar]
- Kelly, P.; Thomas, E.; Doherty, A.; Harms, T.; Burke, Ó.; Gershuny, J.; Foster, C. Developing a Method to Test the Validity of 24 Hour Time Use Diaries Using Wearable Cameras: A Feasibility Pilot. PLoS ONE 2015, 10, e0142198. [Google Scholar] [CrossRef]
- Small, L.; Sidora-Arcoleo, K.; Vaughan, L.; Creed-Capsel, J.; Chung, K.-Y.; Stevens, C. Validity and Reliability of Photographic Diet Diaries for Assessing Dietary Intake Among Young Children. ICAN Infant Child Adolesc. Nutr. 2009, 1, 27–36. [Google Scholar] [CrossRef]
- Gershuny, J.; Harms, T.; Doherty, A.; Thomas, E.; Milton, K.; Kelly, P.; Foster, C. CAPTURE24: Testing Self-Report Time-Use Diaries Against Objective Instruments in Real Time; Centre for Time Use Research Working Paper: London, UK, 2017. [Google Scholar]
- Harms, T.; Gershuny, J.; Doherty, A.; Thomas, E.; Milton, K.; Foster, C. A validation study of the Eurostat harmonised European time use study (HETUS) diary using wearable technology. BMC Public Health 2019, 19, 455. [Google Scholar] [CrossRef]
- Bland, J.M.; Altman, D.G. Statistical Methods for Assessing Agreement Between Two Methods of Clinical Measurement. Lancet 1986, 327, 307–310. [Google Scholar] [CrossRef]
- Giavarina, D. Understanding Bland Altman analysis. Biochem. Med. 2015, 25, 141–151. [Google Scholar] [CrossRef] [PubMed]
- De Vet, H.C.W.; Terwee, C.B.; Mokkink, L.B.; Knol, D.L. Measurement in Medicine: A Practical Guide; Practical Guides to Biostatistics and Epidemiology; Cambridge University Press: Cambridge, NY, USA, 2011; p. 338. [Google Scholar]
- Lesotho, B.S. Household Budget Survey Report, Lesotho; HBS: Maseru, Lesotho, 2003. [Google Scholar]
- Willis, G.B. Cognitive Interviewing: A “How To” Guide; Research Triangle Institute: Research Triangle Park, NC, USA, 1999. [Google Scholar]
- Ericsson, K.A.; Simon, H.A. Verbal reports as data. Psychol. Rev. 1980, 87, 215–251. [Google Scholar] [CrossRef]
- Kelly, P.; Marshall, S.J.; Badland, H.; Kerr, J.; Oliver, M.; Doherty, A.R.; Foster, C. An Ethical Framework for Automated, Wearable Cameras in Health Behavior Research. Am. J. Prev. Med. 2013, 44, 314–319. [Google Scholar] [CrossRef] [PubMed]
- Schreiner, M. Uganda 2012 Poverty Probability Index (PPI); Innovations for Poverty Action (IPA): New Haven, CT, USA, 2016. [Google Scholar]
- Peterson, R.A. A Meta-Analysis of Cronbach’s Coefficient Alpha. J. Consum. Res. 1994, 21, 381–391. [Google Scholar] [CrossRef]
- Landis, J.R.; Koch, G.G. The Measurement of Observer Agreement for Categorical Data. Biometrics 1977, 33, 159. [Google Scholar] [CrossRef]
- Farooq, M.; Doulah, A.; Parton, J.; McCrory, M.A.; Higgins, J.A.; Sazonov, E. Validation of Sensor-Based Food Intake Detection by Multicamera Video Observation in an Unconstrained Environment. Nutrients 2019, 11, 609. [Google Scholar] [CrossRef]
- White, B. Measuring time allocation, decision-making and agrarian changes affecting rural women: Examples from recent research in Indonesia. IDS Bull. 1984, 15, 18–33. [Google Scholar] [CrossRef][Green Version]
- Wilson, G.; Aitken, D.; Hodgson, P.; Bailey, C. The hidden impact of home adaptations: Using a wearable camera to explore lived experiences and taken-for-granted behaviours. Health Soc. Care Community 2019, 27, 1469–1480. [Google Scholar] [CrossRef] [PubMed]
- Floro, M.S.; Miles, M. Time use, work and overlapping activities: Evidence from Australia. Camb. J. Econ. 2003, 27, 881–904. [Google Scholar] [CrossRef]
- Rost, L.; Bates, K.; Dellepiane, L. Women’s Economic Empowerment and Care: Evidence for Influencing; Oxfam GB: Oxford, UK, 2015. [Google Scholar]
- Mueller, C. Time Use Data: Sources and Applications of Data on Paid and Unpaid Labour; International Labour Organization: Geneva, Switzerland, 2018. [Google Scholar]
- Lentz, E.; Kerr, R.B.; Patel, R.; Dakishoni, L.; Lupafya, E. The Invisible Hand that Rocks the Cradle: On the Limits of Time Use Surveys. Dev. Chang. 2018, 50, 301–328. [Google Scholar] [CrossRef]
- Kan, M.Y.; Pudney, S. Measurement Error in Stylized and Diary Data on Time Use. Sociol. Methodol. 2008, 38, 101–132. [Google Scholar] [CrossRef]
- Raber, M.; Patterson, M.; Jia, W.; Sun, M.; Baranowski, T. Utility of eButton images for identifying food preparation behaviors and meal-related tasks in adolescents. Nutr. J. 2018, 17, 32. [Google Scholar] [CrossRef]
- Lee, R.; Skinner, A.; Bornstein, M.H.; Radford, A.N.; Campbell, A.; Graham, K.; Pearson, R.M. Through babies’ eyes: Practical and theoretical considerations of using wearable technology to measure parent–infant behaviour from the mothers’ and infants’ view points. Infant. Behav. Dev. 2017, 47, 62–71. [Google Scholar] [CrossRef]
- Raber, M.; Baranowski, T.; Crawford, K.; Sharma, S.V.; Schick, V.; Markham, C.; Jia, W.; Sun, M.; Steinman, E.; Chandra, J. The Healthy Cooking Index: Nutrition Optimizing Home Food Preparation Practices across Multiple Data Collection Methods. J. Acad. Nutr. Diet. 2020, 120, 1119–1132. [Google Scholar] [CrossRef]
- Tucker, K.; Sanjur, D. Maternal employment and child nutrition in Panama. Soc. Sci. Med. 1988, 26, 605–612. [Google Scholar] [CrossRef]
- Wandel, M.; Holmboe-Ottesen, G. Women’s Work in Agriculture and Child Nutrition in Tanzania. J. Trop. Pediatr. 1992, 38, 252–255. [Google Scholar] [CrossRef]
- Laskaris, Z.; Milando, C.; Batterman, S.; Mukherjee, B.; Basu, N.; O’Neill, M.S.; Robins, T.G.; Fobil, J.N. Derivation of Time-Activity Data Using Wearable Cameras and Measures of Personal Inhalation Exposure among Workers at an Informal Electronic-Waste Recovery Site in Ghana. Ann. Work Expo. Health 2019, 63, 829–841. [Google Scholar] [CrossRef] [PubMed]
- Alharbi, R.; Stump, T.; Vafaie, N.; Pfammatter, A.; Spring, B.; Alshurafa, N. I Can’t Be Myself. Proc. ACM Interact. Mob. Wearable Ubiquitous Technol. 2018, 2, 1–40. [Google Scholar] [CrossRef] [PubMed]
- Chambers, T.; Pearson, A.; Kawachi, I.; Rzotkiewicz, Z.; Stanley, J.; Smith, M.; Barr, M.; Ni Mhurchu, C.; Signal, L. Kids in space: Measuring children’s residential neighborhoods and other destinations using activity space GPS and wearable camera data. Soc. Sci. Med. 2017, 193, 41–50. [Google Scholar] [CrossRef] [PubMed]
- Gelonch, O.; Ribera, M.; Codern-Bové, N.; Ramos, S.; Quintana, M.; Chico, G.; Cerulla, N.; Lafarga, P.; Radeva, P.; Garolera, M. Acceptability of a lifelogging wearable camera in older adults with mild cognitive impairment: A mixed-method study. BMC Geriatr. 2019, 19, 110. [Google Scholar] [CrossRef] [PubMed]
- Sellen, A.J.; Fogg, A.; Aitken, M.; Hodges, S.; Rother, C.; Wood, K. Do Life-Logging Technologies Support Memory for the Past? In Proceedings of the SIGCHI Conference on Human Factors in Computing Systems, New York, NY, USA, 30 April–6 May 2007; pp. 81–90. [Google Scholar]
- Wilson, G.; Jones, D.; Schofield, P.; Martin, D.J. Experiences of using a wearable camera to record activity, participation and health-related behaviours: Qualitative reflections of using the Sensecam. Digit. Health 2016, 2, 205520761668262. [Google Scholar] [CrossRef] [PubMed]
- Grosh, M.; Glewwe, P. Designing Household Survey Questionnaires for Developing Countries: Lessons from 15 Years of the Living Standards Measurement Study; Report No.: 20731; The World Bank: Washington, DC, USA, 2000; Volume 3. [Google Scholar]
- Malapit, H.; Quisumbing, A.; Meinzen-Dick, R.; Seymour, G.; Martinez, E.M.; Heckert, J.; Rubin, D.; Vaz, A.; Yount, K.M. Development of the project-level Women’s Empowerment in Agriculture Index (pro-WEAI). World Dev. 2019, 122, 675–692. [Google Scholar] [CrossRef]
- International Food Policy Research Institute. Project-Level Women’s Empowerment in Agriculture Index (Pro-WEAI) Pilot Version; International Food Policy Research Institute: Washington, DC, USA, 2020. [Google Scholar]





| Participating | Participants Excluded from Analyses | p | |||||||
|---|---|---|---|---|---|---|---|---|---|
| n | % | Median | 25th, 75th | n | % | Median | 25th, 75th | ||
| Households | |||||||||
| Number of household members | 6 | 5, 8 | 5 | 4, 7 | 0.1017 | ||||
| Living below USD 1.25/day (2005 PPP) | 140 | 24.1 | 23 | 21.2 | 0.086 | ||||
| Mothers | |||||||||
| Age (years) | 26 | 22, 30 | 23 | 20, 28 | 0.0449 | ||||
| 15–19 | 18 | 10.3 | 6 | 16.7 | 0.521 | ||||
| 20–29 | 105 | 60 | 23 | 63.9 | |||||
| 30–39 | 44 | 25.1 | 6 | 16.7 | |||||
| 40–49 | 8 | 4.6 | 1 | 2.8 | |||||
| Marital status | |||||||||
| Single | 19 | 10.9 | 2 | 6.1 | 0.833 | ||||
| Married or co-habiting | 147 | 84.5 | 30 | 90.9 | |||||
| Level of education | |||||||||
| None or primary incomplete | 106 | 60.1 | 18 | 54.6 | 0.378 | ||||
| Primary complete | 62 | 35.4 | 12 | 36.4 | |||||
| Secondary complete | 5 | 2.9 | 2 | 6.1 | |||||
| Can read and write | 82 | 48 | 20 | 60.6 | 0.127 | ||||
| Maternity status | |||||||||
| Pregnant | 25 | 14.9 | 8 | 23.5 | 0.16 | ||||
| Breastfeeding | 110 | 62.9 | 17 | 47.2 | 0.061 | ||||
| Pregnant or breastfeeding | 129 | 73.7 | 23 | 63.9 | 0.16 | ||||
| Children | |||||||||
| Age (months) | 16.7 | 14.8, 20.0 | 17.7 | 14.8, 19.6 | 0.9001 | ||||
| 12–17 | 104 | 59.8 | 19 | 54.3 | 0.338 | ||||
| 18–23 | 70 | 40.2 | 16 | 45.7 | |||||
| Sex | |||||||||
| Female | 78 | 44.6 | 20 | 57.1 | 0.12 | ||||
| Male | 97 | 55.4 | 15 | 42.9 | |||||
| Ever breastfed | 172 | 99.4 | 31 | 96.9 | 0.288 | ||||
| Currently breastfeeding | 103 | 59.5 | 13 | 40.6 | 0.037 | ||||
| Child caregivers | 3 | 2, 4 | 3 | 2, 4 | 0.2597 | ||||
| No alternative caregivers | 16 | 9.1 | 3 | 8.3 | 0.588 | ||||
| All child caregivers > 13 years | 68 | 38.9 | 23 | 63.9 | 0.005 | ||||
| ICATUS Activity Group | N | Non-Participation | OBS | 24HR | IAR | |||
|---|---|---|---|---|---|---|---|---|
| n (%) | Median (min) | 25th, 75th | Median (min) | 25th, 75th | Median (min) | 25th, 75th | ||
| Employment and related activities (MD1) | 175 | 98 (56.0) | 0 | 0, 5 | 0 | 0, 0 | 0 | 0, 35 |
| Production of goods for own final use (MD2) | 175 | 16 (9.1) | 45 | 10, 79 | 49 † | 15, 90 | 43 | 18, 81 |
| Unpaid domestic services for household and family members (MD3) | 175 | 0 (0.0) | 318 | 263, 370 | 320 | 245, 396 | 311 | 251, 374 |
| Unpaid caregiving services for household and family member (MD4) * | 175 | 0 (0.0) | 491 | 388, 608 | 180 † | 96, 390 | 418 † | 324, 541 |
| Socializing and communication, community participation and religious practice (MD7) * | 175 | 0 (0.0) | 405 | 270, 525 | 195 † | 75, 330 | 285 † | 105, 465 |
| Culture, leisure, mass media and sports practices (MD8) * | 175 | 102 (58.3) | 0 | 0, 30 | 0 † | 0, 0 | 0 † | 0, 0 |
| Self-care and maintenance (MD9) | 175 | 0 (0.0) | 68 | 50, 88 | 58 † | 39, 80 | 79 † | 53, 111 |
| Bias † (min) | LOA ‡ min (h) | ||
|---|---|---|---|
| Employment and related activities (MD1) | |||
| 24HR | −3 | −130 (−2) | 124 (2) |
| IAR | −12 | −117 (−2) | 94 (2) |
| Production of goods for own final use (MD2) | |||
| 24HR | −12 | −109 (−2) | 84 (1) |
| IAR | −1 | −81 (−1) | 80 (1) |
| Unpaid domestic services for household and family members (MD3) | |||
| 24HR | −1 | −217 (−4) | 215 (3) |
| IAR | 8 | −151 (−2) | 167 (3) |
| Unpaid caregiving services for household and family members (MD4) * | |||
| 24HR | 226 | −223 (−4) | 675 (11) |
| IAR | 62 | −267 (−4) | 390 (7) |
| Socializing and communication, community participation, and religious practice (MD7) * | |||
| 24HR | 172 | −312 (−5) | 656 (11) |
| IAR | 109 | −329 (−5) | 548 (9) |
| Culture, leisure, mass media, and sports practices (MD8) * | |||
| 24HR | 33 | −169 (−3) | 236 (4) |
| IAR | 26 | −189 (−3) | 241 (4) |
| Self-care and maintenance (MD9) | |||
| 24HR | 9 | −73 (−1) | 90 (2) |
| IAR | −17 | −124 (−2) | 90 (2) |
| ICATUS Activity Group | 24HR | IAR | ||
|---|---|---|---|---|
| alpha | Score † | alpha | Score † | |
| Employment and related activities (MD1) | 0.7347 | acceptable | 0.7847 | acceptable |
| Production of goods for own final use (MD2) | 0.8056 | moderate | 0.7938 | acceptable |
| Unpaid domestic services for household and family members (MD3) | 0.6014 | unacceptable | 0.7618 | acceptable |
| Unpaid caregiving services for household and family members (MD4) * | 0.2901 | unacceptable | 0.4273 | unacceptable |
| Socializing and communication, community participation, and religious practice (MD7) * | 0.1728 | unacceptable | 0.2270 | unacceptable |
| Culture, leisure, mass media, and sports practices (MD8) * | 0.5107 | unacceptable | 0.3881 | unacceptable |
| Self-care and maintenance (MD9) | 0.4455 | unacceptable | 0.3792 | unacceptable |
Publisher’s Note: MDPI stays neutral with regard to jurisdictional claims in published maps and institutional affiliations. |
© 2022 by the authors. Licensee MDPI, Basel, Switzerland. This article is an open access article distributed under the terms and conditions of the Creative Commons Attribution (CC BY) license (https://creativecommons.org/licenses/by/4.0/).
Share and Cite
Bulungu, A.L.S.; Palla, L.; Priebe, J.; Forsythe, L.; Katic, P.; Varley, G.; Galinda, B.D.; Sarah, N.; Nambooze, J.; Wellard, K.; et al. Validation of an Automated Wearable Camera-Based Image-Assisted Recall Method and the 24-h Recall Method for Assessing Women’s Time Allocation in a Nutritionally Vulnerable Population: The Case of Rural Uganda. Nutrients 2022, 14, 1833. https://doi.org/10.3390/nu14091833
Bulungu ALS, Palla L, Priebe J, Forsythe L, Katic P, Varley G, Galinda BD, Sarah N, Nambooze J, Wellard K, et al. Validation of an Automated Wearable Camera-Based Image-Assisted Recall Method and the 24-h Recall Method for Assessing Women’s Time Allocation in a Nutritionally Vulnerable Population: The Case of Rural Uganda. Nutrients. 2022; 14(9):1833. https://doi.org/10.3390/nu14091833
Chicago/Turabian StyleBulungu, Andrea L. S., Luigi Palla, Jan Priebe, Lora Forsythe, Pamela Katic, Gwen Varley, Bernice D. Galinda, Nakimuli Sarah, Joweria Nambooze, Kate Wellard, and et al. 2022. "Validation of an Automated Wearable Camera-Based Image-Assisted Recall Method and the 24-h Recall Method for Assessing Women’s Time Allocation in a Nutritionally Vulnerable Population: The Case of Rural Uganda" Nutrients 14, no. 9: 1833. https://doi.org/10.3390/nu14091833
APA StyleBulungu, A. L. S., Palla, L., Priebe, J., Forsythe, L., Katic, P., Varley, G., Galinda, B. D., Sarah, N., Nambooze, J., Wellard, K., & Ferguson, E. L. (2022). Validation of an Automated Wearable Camera-Based Image-Assisted Recall Method and the 24-h Recall Method for Assessing Women’s Time Allocation in a Nutritionally Vulnerable Population: The Case of Rural Uganda. Nutrients, 14(9), 1833. https://doi.org/10.3390/nu14091833

