The Impact of Meal Dietary Inflammatory Index on Exercise-Induced Changes in Airway Inflammation in Adults with Asthma
Abstract
1. Introduction
2. Materials and Methods
2.1. Participants
2.2. Experimental Protocol
2.3. Participant Characterisation
2.4. Calculation of the E-DII of Meals
2.5. Sputum Inflammatory Markers
2.6. Statistics
3. Results
3.1. Participant Demographics
3.2. Impact of the Inflammatory Potential of a Meal Consumed Two Hours Post-Exercise
3.3. Impact of the Inflammatory Potential of a Meal Consumed Two Hours Pre-Exercise
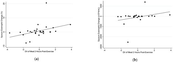
3.4. Correlations between Meal E-DII and Changes in Eosinophilic Airway Inflammation
3.5. Effect of Nutrient Intake Two Hours Post-Intervention on Change in Eosinophilic Airway Inflammation
4. Discussion
5. Conclusions
Supplementary Materials
Author Contributions
Funding
Institutional Review Board Statement
Informed Consent Statement
Data Availability Statement
Acknowledgments
Conflicts of Interest
References
- Global Initiative for Asthma. Global Strategy for Asthma Management and Prevention. 2022. Available online: www.ginasthma.org (accessed on 18 October 2022).
- Scott, H.A.; Latham, J.R.; Callister, R.; Pretto, J.J.; Baines, K.; Saltos, N.; Upham, J.W.; Wood, L.G. Acute exercise is associated with reduced exhaled nitric oxide in physically inactive adults with asthma. Ann. Allergy Asthma Immunol. 2015, 114, 470–479. [Google Scholar] [CrossRef] [PubMed]
- Scott, H.A.; Gibson, P.G.; Garg, M.L.; Pretto, J.J.; Morgan, P.J.; Callister, R.; Wood, L.G. Dietary restriction and exercise improve airway inflammation and clinical outcomes in overweight and obese patients. Clin. Exp. Allergy 2013, 43, 36–49. [Google Scholar] [CrossRef] [PubMed]
- Wood, L.G.; Li, Q.; Scott, H.A.; Rutting, S.; Berthon, B.S.; Gibson, P.G.; Hansbro, P.M.; Williams, E.; Horvat, J.; Simpson, J.L.; et al. Saturated fatty acids, obesity, and the nucleotide oligomerization domain–like receptor protein 3 (NLRP3) inflammasome in asthmatic patients. J. Allergy Clin. Immunol. 2019, 143, 305–315. [Google Scholar] [CrossRef] [PubMed]
- Wood, L.G.; Garg, M.L.; Smart, J.M.; Scott, H.A.; Barker, D.; Gibson, P. Manipulating antioxidant intake in asthma: A randomized controlled trial. Am. J. Clin. Nutr. 2012, 96, 534. [Google Scholar] [CrossRef]
- Rafaar, A.; Gawish, M. Effect of physical training on health-related quality of life with moderate and severe asthma. Egypt J. Chest Dis. Tuberc. 2015, 64, 761–766. [Google Scholar]
- Mendes, F.A.R.; Almeida, F.M.; Cukier, A.; Stelmach, R.; Jacob-Filho, W.; Martins, M.A.; Carvalho, C.R. Effects of aerobic training on airway inflammation in asthmatic patients. Med. Sci. Sports Exerc. 2011, 43, 197–203. [Google Scholar] [CrossRef]
- Hewitt, M.; Creel, A.; Estell, K.; Davis, I.; Schwiebert, L. Acute exercise decreases airway inflammation, but not responsiveness, in an allergic asthma model. Am. J. Respir. Cell Mol. Biol. 2009, 40, 83–89. [Google Scholar] [CrossRef]
- Steck, S.E.S.N.; Shivappa, N.; Tabung, F.K.; Harmon, B.E.; Wirth, M.D.; Hurley, T.G.; Hebert, J.R. The Dietary Inflammatory Index: A New Tool for Assessing Diet Quality Based on Inflammatory Potential. Digest 2014, 49, 1–9. [Google Scholar]
- Wirth, M.D.; Shivappa, N.; Davis, L.; Hurley, T.G.; Ortaglia, A.; Drayton, R.; Blair, S.N.; Hébert, J.R. Construct Validation of the Dietary Inflammatory Index among African Americans. J. Nutr. Health Aging 2017, 21, 487–491. [Google Scholar] [CrossRef]
- Wood, L.; Shivappa, N.; Berthon, B.; Gibson, P.; Hebert, J. Dietary Inflammatory Index is related to asthma function and systemic inflammation in asthma. Clin. Exp. Allergy 2015, 45, 177–183. [Google Scholar] [CrossRef]
- Barros, R.; Moreira, A.; Padrão, P.; Teixeira, V.; Carvalho, P.; Delgado, L.; Lopes, C.; Severo, M. Dietary patterns and asthma prevalence, incidence and control. Clin. Exp. Allergy 2015, 45, 1673–1680. [Google Scholar] [CrossRef] [PubMed]
- Scott, H.; Jensen, M.; Wood, L. Dietary interventions in asthma. Curr. Pharm. Des. 2014, 20, 1003–1010. [Google Scholar] [CrossRef] [PubMed]
- Halnes, I.; Baines, K.J.; Berthon, B.S.; MacDonald-Wicks, L.K.; Gibson, P.G.; Wood, L.G. Soluble Fibre Meal Challenge Reduces Airway Inflammation and Expression of GPR43 and GPR41 in Asthma. Nutrients 2017, 9, 57. [Google Scholar] [CrossRef] [PubMed]
- Wood, L.; Garg, M.; Powell, H.; Gibson, P. Lycopene-rich treatments modify noneosinophilic airway inflammation in asthma: Proof of concept. Free Radic Res. 2008, 42, 94–102. [Google Scholar] [CrossRef] [PubMed]
- Scott, H.A.; Wood, L.G.; Williams, E.J.; Weaver, N.; Upham, J.W. Comparing the effect of acute moderate and vigorous exercise on inflammation in adults with asthma: A randomized controlled trial. Ann. Am. Thorac. Soc. 2022. [Google Scholar] [CrossRef]
- Borg, G. Psychophysical bases of perceived exertion. Med. Sci. Sports Exerc. 1982, 14, 377–381. [Google Scholar] [CrossRef]
- Juniper, E.; Bousquet, J.; Abetz, L.; Bateman, E. The GOAL Committee,. Identifying ‘well-controlled’ and ‘not well-controlled’ asthma using the Asthma Control Questionnaire. Respir. Med. 2006, 100, 616–621. [Google Scholar] [CrossRef]
- Quoltech. Asthma Quality of Life Questionnaire [Updated 31/05/2018]. Available online: https://www.qoltech.co.uk/aqlq.html (accessed on 18 October 2022).
- National Health and Medical Research Council. Clinical Practice Guidelines for the Management of Overweight and Obesity in Adults, Adolescents and Children in Australia Canberra: NHMRC; 2013 [31/05/2018]. Available online: https://www.nhmrc.gov.au/about-us/publications/clinical-practice-guidelines-management-overweight-and-obesity (accessed on 18 October 2022).
- Guidelines for Data Processing and Analysis of the International Physical Activity Questionnaire (IPAQ)—Short and Long Forms 2005. Available online: https://docs.google.com/viewer?a=v&pid=sites&srcid=ZGVmYXVsdGRvbWFpbnx0aGVpcGFxfGd4OjE0NDgxMDk3NDU1YWRlZTM (accessed on 18 October 2022).
- Shivappa, N.; Steck, S.; Hurley, T.; Hussey, J.; Hebert, J. Designing and developing a literature-derived, population-based dietary inflammatory index. Public Health Nutr. 2014, 17, 1689–1696. [Google Scholar] [CrossRef]
- Hébert, J.R.; Shivappa, N.; Wirth, M.D.; Hussey, J.R.; Hurley, T.G. Perspective: The Dietary Inflammatory Index (DII)-Lessons Learned, Improvements Made, and Future Directions. Adv. Nutr. 2019, 10, 185–195. [Google Scholar] [CrossRef]
- Gibson, P.G.; Wlodarczyk, J.W.; Hensley, M.J.; Gleeson, M.; Henry, R.L.; Cripps, A.W.; Clancy, R.L. Epidemiological association of airway inflammation with asthma symptoms and airway hyperresponsiveness in childhood. Am. J. Respir. Crit. Care Med. 1998, 158, 36–41. [Google Scholar] [CrossRef]
- Han, Y.; Forno, E.; Shivappa, N.; Wirth, M.; Hébert, J.; Celedón, J. The Dietary Inflammatory Index and Current Wheeze among Children and Adults in the United States. J. Allergy Clin. Immunol. Pract. 2018, 6, 834–841. [Google Scholar] [CrossRef] [PubMed]
- Papamichael, M.M.; Katsardis, C.; Lambert, K.; Tsoukalas, D.; Koutsilieris, M.; Erbas, B.; Itsiopoulos, C. Efficacy of a Mediterranean diet supplemented with fatty fish in ameliorating inflammation in paediatric asthma: A randomised controlled trial. J. Hum. Nutr. Diet. 2018, 32, 185–197. [Google Scholar] [CrossRef] [PubMed]
- Han, Y.; Blatter, J.; Brehm, J.; Forno, E.; Litonjua, A.; Celedón, J. Diet and asthma: Vitamins and methyl donors. Lancet Respir. Med. 2013, 1, 813–822. [Google Scholar] [CrossRef]
- Park, C.-S.; Kim, T.-B.; Lee, K.-Y.; Moon, K.-A.; Bae, Y.-J.; Jang, M.K.; Cho, Y.S.; Moon, H.-B. Increased oxidative stress in the airway and development of allergic inflammation in a mouse model of asthma. Ann. Allergy Asthma Immunol. 2009, 103, 238–247. [Google Scholar] [CrossRef]
- Sanders, S.; Zweier, J.; Harrison, S.; Trush, M.; Rembish, S.; Liu, M. Spontaneous oxygen radical production at sites of antigen challenge in allergic subjects. Am. J. Respir. Crit. Care Med. 1995, 151, 1725–1733. [Google Scholar] [CrossRef]
- Toennesen, L.; Meteran, H.; Hostrup, M.; Wium Geiker, N.; Jensen, C.; Porsbjerg, C. Effects of Exercise and Diet in Nonobese Asthma Patients—A Randomized Controlled Trial. J. Allergy Clin. Immunol. Pract. 2018, 6, 803–811. [Google Scholar] [CrossRef]
- Freitas, P.D.; Ferreira, P.G.; Silva, A.G.; Stelmach, R.; Carvalho-Pinto, R.M.; Fernandes, F.L.A.; Mancini, M.C.; Sato, M.N.; Martins, M.A.; Carvalho, C.R.F. The role of exercise in a weight-loss program on clinical control in obese adults with asthma: A randomized controlled trial. Am. J. Respir. Crit. Care Med. 2017, 195, 32–42. [Google Scholar] [CrossRef]
- Gao, J.; Gao, X.; Li, W.; Zhu, Y.; Thompson, P.J. Observational studies on the effect of dietary antioxidants on asthma: A meta-analysis. Respirology 2008, 13, 528–536. [Google Scholar] [CrossRef]
- Siripornpanich, S.; Chongviriyaphan, N.; Manuyakorn, W.; Matangkasombut, P. Zinc and vitamin C deficiencies associate with poor pulmonary function in children with persistent asthma. Asian Pac. J. Allergy Immunol. 2022, 40, 103–110. [Google Scholar]



| Exercise | Control | |
|---|---|---|
| N | 38 | 18 |
| Sex (n, %female) | 26 (68.4) | 16 (88.9) |
| Age (years) | 32.8 (8.9) | 34.8 (11.8) |
| BMI (kg/m2) | 26.6 (4.7) | 27.3 (5.4) |
| Waist circumference (cm) | 88.7 (13.9) | 86.8 (14.3) |
| Dietary Inflammatory Index | ||
| Baseline | −0.11 (2.19) | −0.04 (1.94) |
| 2 h pre-intervention | 0.36 (1.70) | 0.22 (1.40) |
| 2 h post-intervention | −0.17 (1.40) | −0.75 (1.49) |
| Pre-BD FEV1 (% predicted) | 87.4 (17.0) | 81.6 (13.2) |
| Pre-BD FVC (% predicted) | 93.3 (10.6) | 91.3 (11.1) |
| Pre-BD FEV1/FVC (%) | 77.2 (11.0) | 74.4 (10.8) |
| Post-BD FEV1 (% predicted) | 95.3 (13.3) | 91.0 (10.6) |
| Post-BD FVC (% predicted) | 96.4 (9.7) | 95.5 (11.9) |
| Post-BD FEV1/FVC (%) | 81.8 (8.7) | 79.6 (8.8) |
| Atopy (n, %) | 30 (78.9) | 15 (83.3) |
| Former smokers (n, %) | 6 (15.8) | 2 (11.1) |
| Pack-years of former smokers * | 2.6 (0.5, 6.7) | 8.5 (6.8, 10.1) |
| Age at asthma diagnosis (years) * | 5 (2, 11) | 5 (3, 20) |
| ACQ score * | 0.57 (0.29, 1.00) | 0.64 (0.29, 1.00) |
| AQLQ score * | 6.5 (5.8, 6.7) | 6.4 (5.3, 6.8) |
| Total PA (METS) * | 2631 (798, 7977) | 3469 (2106, 7178) |
| Vigorous PA (METS) * | 0 (0, 360) | 43 (0, 401) |
| Moderate PA (METS) * | 1080 (180, 5040) | 1140 (720, 3535) |
| Walking (METS) * | 677 (347, 2376) | 1461 (693, 3432) |
| Airway Inflammation | ||
| Total cell count (×106/mL) | 2.70 (1.62, 4.05) | 2.34 (1.35, 4.14) |
| Eosinophils (%) | 0.8 (0.0, 4.0) | 1.1 (0, 2.5) |
| Eosinophils (×104/mL) | 19 (0, 186) | 20 (6, 132) |
| Neutrophils (%) | 14.9 (5.0, 28.0) | 22.0 (4.0, 37.3) |
| Neutrophils (×104/mL) | 356 (144, 1389) | 368 (97, 1780) |
| Macrophages (%) | 66.6 (52.2, 78.8) | 61.9 (46.8, 77.0) |
| Macrophages (×104/mL) | 1756 (1296, 2160) | 1465 (827, 2071) |
| Lymphocytes (%) | 2.0 (1.0, 4.8) | 2.0 (0.5, 2.8) |
| Lymphocytes (×104/mL) | 62 (14, 115) | 49 (17, 94) |
| Exercise | Control | p-Value (Group Effect) | |||
|---|---|---|---|---|---|
| Anti-Inflammatory Meal | Pro-Inflammatory Meal | Anti-Inflammatory Meal | Pro-Inflammatory Meal | ||
| N | 11 | 19 | 11 | 6 | |
| Eosinophils (%) | −0.5 (−2.0, 0.3) | 0.5 (0.0, 3.0) * | 0.5 (0.0, 2.5) * | 1.4 (−1.0, 2.5) | 0.044 |
| Eosinophils (×104/mL) | −26 (−89, −4) | 5 (−1, 40) | 8 (4, 22) | 78 (−24, 510) | 0.049 |
| Neutrophils (%) | 7.3 (−1.3, 15.8) | 8.3 (−3.5, 29.0) | 21.3 (11.0, 35.5) | −1.3 (−10.5, 6.5) | 0.115 |
| Neutrophil (×104/mL) | 375 (71, 903) | 320 (−9, 527) | 256 (78, 742) | 63 (−843, 857) | 0.919 |
| Macrophages (%) | −4.0 (−15.0, 6.0) | −5.3 (−25.0, 6.0) | −20.8 (−33.0, −2.5) | −0.8 (−5.8, 35.0) | 0.284 |
| Macrophages (×104/mL) | −508 (−1263, 40) | −315 (−821, 5) | 2 (−1017, 405) | 408 (−832, 909) | 0.607 |
| Lymphocytes (%) | −1.0 (−4.0, 2.0) | 0.0 (−1.8, 0.8) | −0.3 (−1.5, 0.8) | 0.5 (−0.3, 2.5) | 0.702 |
| Lymphocytes (×104/mL) | 19 (−58, 73) | 8 (−15, 60) | 4 (−81, 21) | 23 (−16, 52) | 0.884 |
| Exercise | Control | p-Value (Group Effect) | |||
|---|---|---|---|---|---|
| Anti-Inflammatory Meal | Pro-Inflammatory Meal | Anti-Inflammatory Meal | Pro-Inflammatory Meal | ||
| N | 12 | 15 | 8 | 7 | |
| Eosinophils (%) | 0.3 (−1.3, 3.3) | 0.0 (−1.0, 0.8) | 0.3 (−10.5, 1.6) | 1.3 (0.3, 6.5) | 0.184 |
| Eosinophils (×104/mL) | −2 (−89, 54) | 5 (−12, 32) | 15 (3, 142) | 9 (4, 483) | 0.320 |
| Neutrophils (%) | 7.0 (−1.8, 10.6) | 10.0 (−2.5, 30.5) | 9.9 (−6.3, 28.0) | 19.3 (8.0, 35.5) | 0.259 |
| Neutrophil (×104/mL) | 251 (71, 457) | 320 (−9, 903) | 222 (146, 742) | 78 (−843, 918) | 0.909 |
| Macrophages (%) | −4.3 (−11.0, 3.1) | −4.0 (−24.8, 7.0) | −7.9 (−25.8, 6.3) | −20.8 (−24.0, −5.5) | 0.650 |
| Macrophages (×104/mL) | −129 (−502, 88) | −315 (−601, −70) | 413 (109, 641) * | −1017 (−2195, 885) | 0.049 |
| Lymphocytes (%) | 0.0 (−1.9, 0.6) | 0.0 (−2.6, 1.8) | 0.4 (−1.5, 1.0) | −0.3 (−0.5, −0.3) | 0.717 |
| Lymphocytes (×104/mL) | 9 (−16, 60) | 8 (−58, 61) | 31 (−16, 63) | −81 (−128, 21) | 0.247 |
Publisher’s Note: MDPI stays neutral with regard to jurisdictional claims in published maps and institutional affiliations. |
© 2022 by the authors. Licensee MDPI, Basel, Switzerland. This article is an open access article distributed under the terms and conditions of the Creative Commons Attribution (CC BY) license (https://creativecommons.org/licenses/by/4.0/).
Share and Cite
McDiarmid, K.P.; Wood, L.G.; Upham, J.W.; MacDonald-Wicks, L.K.; Shivappa, N.; Hebert, J.R.; Scott, H.A. The Impact of Meal Dietary Inflammatory Index on Exercise-Induced Changes in Airway Inflammation in Adults with Asthma. Nutrients 2022, 14, 4392. https://doi.org/10.3390/nu14204392
McDiarmid KP, Wood LG, Upham JW, MacDonald-Wicks LK, Shivappa N, Hebert JR, Scott HA. The Impact of Meal Dietary Inflammatory Index on Exercise-Induced Changes in Airway Inflammation in Adults with Asthma. Nutrients. 2022; 14(20):4392. https://doi.org/10.3390/nu14204392
Chicago/Turabian StyleMcDiarmid, Katrina P., Lisa G. Wood, John W. Upham, Lesley K. MacDonald-Wicks, Nitin Shivappa, James R. Hebert, and Hayley A. Scott. 2022. "The Impact of Meal Dietary Inflammatory Index on Exercise-Induced Changes in Airway Inflammation in Adults with Asthma" Nutrients 14, no. 20: 4392. https://doi.org/10.3390/nu14204392
APA StyleMcDiarmid, K. P., Wood, L. G., Upham, J. W., MacDonald-Wicks, L. K., Shivappa, N., Hebert, J. R., & Scott, H. A. (2022). The Impact of Meal Dietary Inflammatory Index on Exercise-Induced Changes in Airway Inflammation in Adults with Asthma. Nutrients, 14(20), 4392. https://doi.org/10.3390/nu14204392

