Evaluation of the Latest MODIS GPP Products across Multiple Biomes Using Global Eddy Covariance Flux Data
Abstract
:1. Introduction
2. Materials and Methods
2.1. Materials
2.1.1. MOD17A2H GPP Algorithm
2.1.2. GMAO Meteorological Reanalysis Data
2.1.3. GLASS LAI Data
2.1.4. EC Flux Data
2.2. Methods
2.2.1. Experimental Design
2.2.2. Analytical Methods
3. Results
3.1. GPP Validation
3.1.1. Eight-Day GPP
3.1.2. Annual GPP
3.2. Meteorology
3.3. FPAR
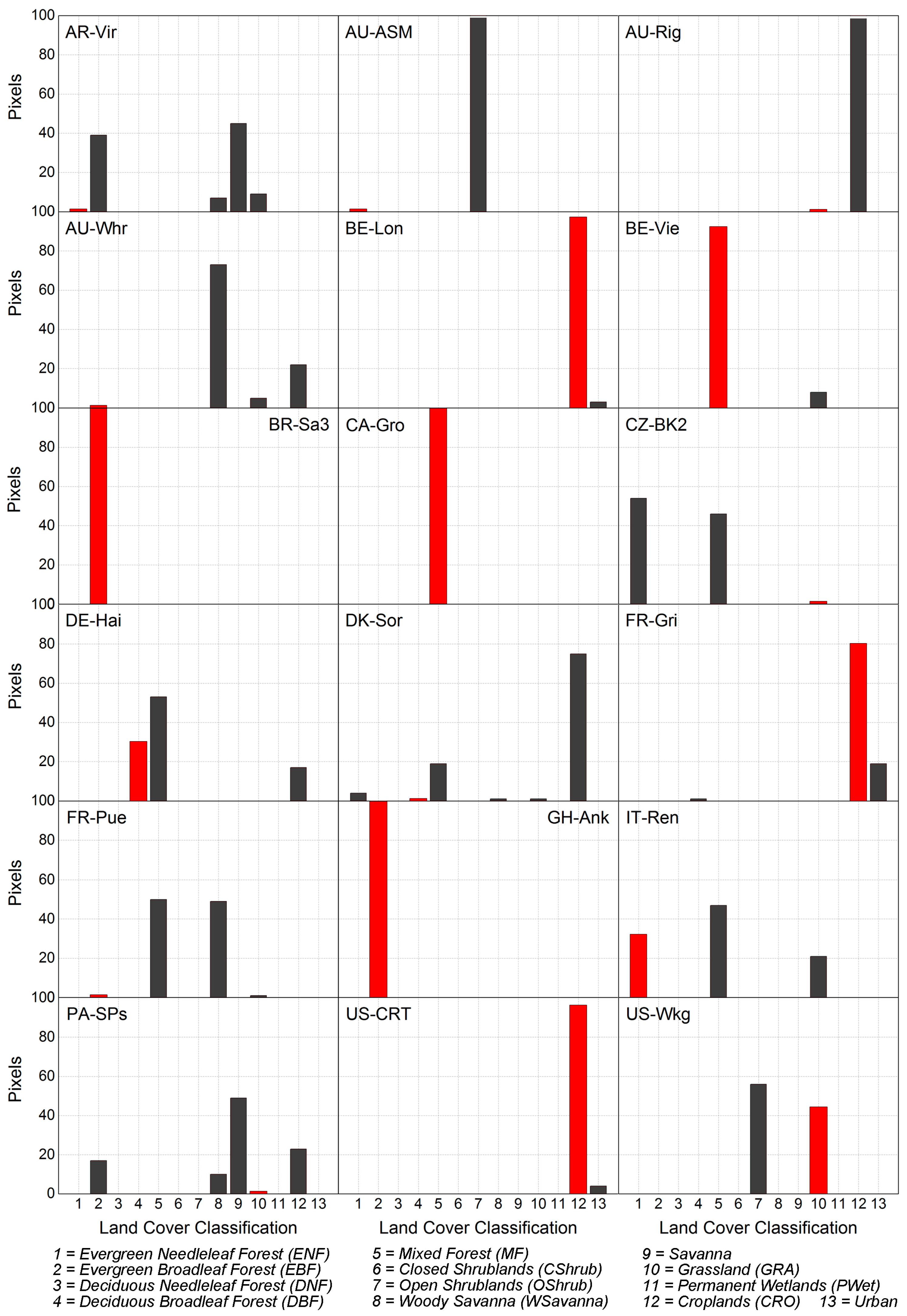
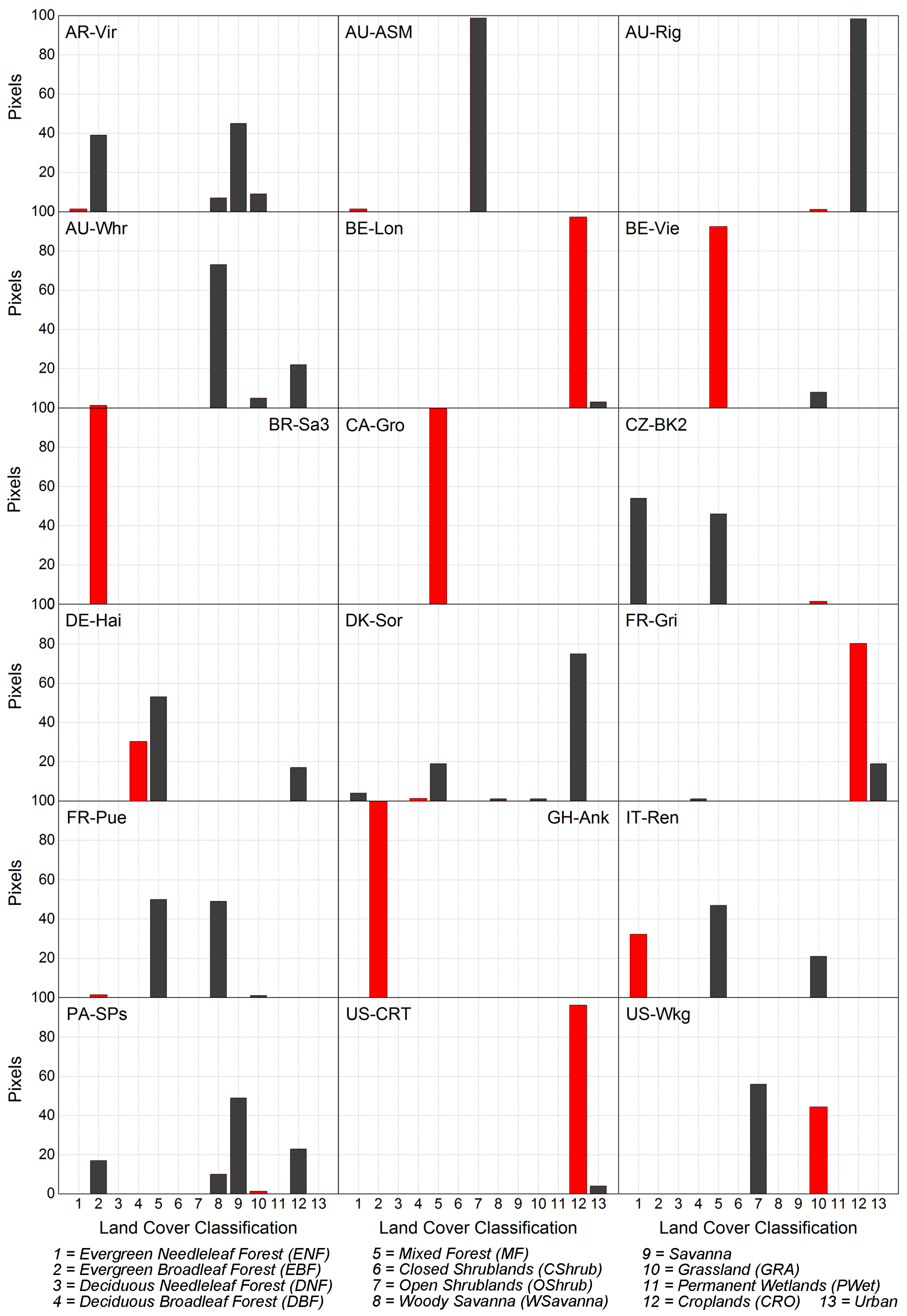
3.4. Land Cover Classification
3.5. Light Use Efficiency
4. Discussion
4.1. Impact of Meteorological Data on MODIS GPP
4.2. Impact of FPAR Product on MODIS GPP
4.3. Impact of Land Cover Classification Result on MODIS GPP
4.4. Impact of LUE Value on MODIS GPP
4.5. Uncertainties, Errors and Accuracies
5. Conclusions
- (1)
- The effectiveness of the standard MOD17A2H product (i.e., MOD_GMAO GPP) for estimating annual GPP was poor (R2 = 0.62) and even worse over eight days (R2 = 0.52). Replacing the GMAO meteorology reanalysis dataset with the site-based meteorological observations (i.e., MOD_Tower GPP) failed to improve the correlations with the flux-derived eight-day GPP (R2 = 0.52) and annual GPP (R2 = 0.56). However, great improvements in estimating the flux-derived annual GPP (R2 = 0.79) were gained by replacing MODIS FPAR with GLASS FPAR (i.e., GMAO_GLASS GPP). This may indicate that in the current version of the MODIS GPP product, the error from FPAR was larger than that from the meteorological data. When the meteorological dataset and FPAR product were replaced by upgraded data simultaneously (i.e., Tower_GLASS GPP), the accuracy in estimating the flux-derived eight-day GPP (R2 = 0.65) was significantly improved.
- (2)
- There are four possible sources of error related to the input data of MOD17A2H algorithm: meteorological reanalysis dataset, FPAR product, land cover classification result and the εmax value. The GMAO meteorology reanalysis dataset commonly overestimated the site-measured PAR, and MODIS FPAR underestimated the upgraded FPAR in most flux tower sites. In addition, MCD12Q1 exhibited frequent misclassification errors, and the MOD17A2H εmax values were much smaller than the inferred εmax values for all six ecosystems discussed in our study.
Acknowledgments
Author Contributions
Conflicts of Interest
References
- Gebremichael, M.; Barros, A. Evaluation of MODIS Gross Primary Productivity (GPP) in tropical monsoon regions. Remote Sens. Environ. 2006, 100, 150–166. [Google Scholar] [CrossRef]
- Beer, C.; Reichstein, M.; Tomelleri, E.; Ciais, P.; Jung, M.; Carvalhais, N.; Rodenbeck, C.; Arain, M.A.; Baldocchi, D.; Bonan, G.B.; et al. Terrestrial gross carbon dioxide uptake: Global distribution and covariation with climate. Science 2010, 329, 834–838. [Google Scholar] [CrossRef] [PubMed]
- Kotchenova, S.Y.; Song, X.; Shabanov, N.V.; Potter, C.S.; Knyazikhin, Y.; Myneni, R.B. Lidar remote sensing for modeling gross primary production of deciduous forests. Remote Sens. Environ. 2004, 92, 158–172. [Google Scholar] [CrossRef]
- Gitelson, A.A.; Viña, A.; Verma, S.B.; Rundquist, D.C.; Arkebauer, T.J.; Keydan, G.; Leavitt, B.; Ciganda, V.; Burba, G.G.; Suyker, A.E. Relationship between gross primary production and chlorophyll content in crops: Implications for the synoptic monitoring of vegetation productivity. J. Geophys. Res. 2006. [Google Scholar] [CrossRef]
- Sims, D.; Rahman, A.; Cordova, V.; Elmasri, B.; Baldocchi, D.; Bolstad, P.; Flanagan, L.; Goldstein, A.; Hollinger, D.; Misson, L. A new model of gross primary productivity for North American ecosystems based solely on the enhanced vegetation index and land surface temperature from MODIS. Remote Sens. Environ. 2008, 112, 1633–1646. [Google Scholar] [CrossRef]
- Yang, Y.; Shang, S.; Guan, H.; Jiang, L. A novel algorithm to assess gross primary production for terrestrial ecosystems from MODIS imagery. J. Geophys. Res. 2013, 118, 590–605. [Google Scholar] [CrossRef]
- Wu, C.; Chen, J.M.; Huang, N. Predicting gross primary production from the enhanced vegetation index and photosynthetically active radiation: Evaluation and calibration. Remote Sens. Environ. 2011, 115, 3424–3435. [Google Scholar] [CrossRef]
- Peng, Y.; Gitelson, A.A.; Sakamoto, T. Remote estimation of gross primary productivity in crops using MODIS 250m data. Remote Sens. Environ. 2013, 128, 186–196. [Google Scholar] [CrossRef]
- Machwitz, M.; Gessner, U.; Conrad, C.; Falk, U.; Richters, J.; Dech, S. Modelling the Gross Primary Productivity of West Africa with the Regional Biomass Model RBM+, using optimized 250m MODIS FPAR and fractional vegetation cover information. Int. J. Appl. Earth. Obs. 2015, 43, 177–194. [Google Scholar] [CrossRef]
- Running, S.W.; Nemani, R.R.; Heinsch, F.A.; Zhao, M.; Reeves, M.; Hashimoto, H. A continuous satellite-derived measure of global terrestrial primary production. BioScience 2004, 54, 547–560. [Google Scholar] [CrossRef]
- Lin, A.; Zhu, H.; Wang, L.; Gong, W.; Zou, L. Characteristics of long-term climate change and the ecological responses in central China. Earth Interact. 2016, 20, 1–24. [Google Scholar] [CrossRef]
- Zhao, M.; Heinsch, F.A.; Nemani, R.R.; Running, S.W. Improvements of the MODIS terrestrial gross and net primary production global data set. Remote Sens. Environ. 2005, 95, 164–176. [Google Scholar] [CrossRef]
- Gao, Y.; Yu, G.; Yan, H.; Zhu, X.; Li, S.; Wang, Q.; Zhang, J.; Wang, Y.; Li, Y.; Zhao, L.; et al. A MODIS-based Photosynthetic Capacity Model to estimate gross primary production in Northern China and the Tibetan Plateau. Remote Sens. Environ. 2014, 148, 108–118. [Google Scholar] [CrossRef]
- Chen, J.M.; Mo, G.; Pisek, J.; Liu, J.; Deng, F.; Ishizawa, M.; Chan, D. Effects of foliage clumping on the estimation of global terrestrial gross primary productivity. Glob. Biogeochem. Cycle 2012. [Google Scholar] [CrossRef]
- Garbulsky, M.F.; Peñuelas, J.; Papale, D.; Ardö, J.; Goulden, M.L.; Kiely, G.; Richardson, A.D.; Rotenberg, E.; Veenendaal, E.M.; Filella, I. Patterns and controls of the variability of radiation use efficiency and primary productivity across terrestrial ecosystems. Glob. Ecol. Biogeogr. 2010, 19, 253–267. [Google Scholar] [CrossRef]
- Turner, D.P.; Ritts, W.D.; Cohen, W.B.; Gower, S.T.; Zhao, M.; Running, S.W.; Wofsy, S.C.; Urbanski, S.; Dunn, A.L.; Munger, J.W. Scaling Gross Primary Production (GPP) over boreal and deciduous forest landscapes in support of MODIS GPP product validation. Remote Sens. Environ. 2003, 88, 256–270. [Google Scholar] [CrossRef]
- Zhu, H.; Lin, A.; Wang, L.; Xia, Y.; Zou, L. Evaluation of MODIS gross primary production across multiple biomes in China using eddy covariance flux data. Remote Sens. 2016. [Google Scholar] [CrossRef]
- Yuan, W.; Liu, S.; Zhou, G.; Zhou, G.; Tieszen, L.L.; Baldocchi, D.; Bernhofer, C.; Gholz, H.; Goldstein, A.H.; Goulden, M.L.; et al. Deriving a light use efficiency model from eddy covariance flux data for predicting daily gross primary production across biomes. Agric. For. Meteorol. 2007, 143, 189–207. [Google Scholar] [CrossRef]
- Propastin, P.; Ibrom, A.; Knohl, A.; Erasmi, S. Effects of canopy photosynthesis saturation on the estimation of gross primary productivity from MODIS data in a tropical forest. Remote Sens. Environ. 2012, 121, 252–260. [Google Scholar] [CrossRef]
- Fu, Y.; Yu, G.; Sun, X.; Li, Y.; Wen, X.; Zhang, L.; Li, Z.; Zhao, L.; Hao, Y. Depression of net ecosystem CO2 exchange in semi-arid Leymus chinensis steppe and alpine shrub. Agric. For. Meteorol. 2006, 137, 234–244. [Google Scholar] [CrossRef]
- Coops, N.; Black, T.; Jassal, R.; Trofymow, J.; Morgenstern, K. Comparison of MODIS, eddy covariance determined and physiologically modelled gross primary production (GPP) in a Douglas-fir forest stand. Remote Sens. Environ. 2007, 107, 385–401. [Google Scholar] [CrossRef]
- Groenendijk, M.; Dolman, A.J.; van der Molen, M.K.; Leuning, R.; Arneth, A.; Delpierre, N.; Gash, J.H.C.; Lindroth, A.; Richardson, A.D.; Verbeeck, H.; et al. Assessing parameter variability in a photosynthesis model within and between plant functional types using global Fluxnet eddy covariance data. Agric. For. Meteorol. 2011, 151, 22–38. [Google Scholar] [CrossRef]
- Xiao, J.; Zhuang, Q.; Law, B.E.; Chen, J.; Baldocchi, D.D.; Cook, D.R.; Oren, R.; Richardson, A.D.; Wharton, S.; Ma, S. A continuous measure of gross primary production for the conterminous United States derived from MODIS and AmeriFlux data. Remote Sens. Environ. 2010, 114, 576–591. [Google Scholar] [CrossRef]
- John, R.; Chen, J.; Noormets, A.; Xiao, X.; Xu, J.; Lu, N.; Chen, S. Modelling gross primary production in semi-arid Inner Mongolia using MODIS imagery and eddy covariance data. Int. J. Remote Sens. 2013, 34, 2829–2857. [Google Scholar] [CrossRef]
- Heinsch, F.A.; Zhao, M.; Running, S.W.; Kimball, J.S.; Nemani, R.R.; Davis, K.J.; Bolstad, P.V.; Cook, B.D.; Desai, A.R.; Ricciuto, D.M.; et al. Evaluation of remote sensing based terrestrial productivity from MODIS using regional tower eddy flux network observations. IEEE Trans. Geosci. Remote Sens. 2006, 7, 1908–1925. [Google Scholar] [CrossRef]
- Sjöström, M.; Zhao, M.; Archibald, S.; Arneth, A.; Cappelaere, B.; Falk, U.; de Grandcourt, A.; Hanan, N.; Kergoat, L.; Kutsch, W.; et al. Evaluation of MODIS gross primary productivity for Africa using eddy covariance data. Remote Sens. Environ. 2013, 131, 275–286. [Google Scholar] [CrossRef]
- Kanniah, K.D.; Beringer, J.; Hutley, L.B.; Tapper, N.J.; Zhu, X. Evaluation of Collections 4 and 5 of the MODIS Gross Primary Productivity product and algorithm improvement at a tropical savanna site in northern Australia. Remote Sens. Environ. 2009, 113, 1808–1822. [Google Scholar] [CrossRef]
- Running, S.W.; M., Q.; Zhao, M. MOD17A2H MODIS/Terra Gross Primary Productivity 8-Day L4 Global 500m SIN Grid V006; USGS: Reston, VA, USA, 2015. [Google Scholar]
- Vuichard, N.; Papale, D. Filling the gaps in meteorological continuous data measured at FLUXNET sites with ERA-Interim reanalysis. Earth. Syst. Sci. Data 2015, 7, 157–171. [Google Scholar] [CrossRef]
- Monteith, J.L. Solar radiation and production in tropical ecosystems. J. Appl. Ecol. 1972, 9, 747–766. [Google Scholar] [CrossRef]
- Running, S.W.; Thornton, P.E.; Nemani, R.R.; Glassy, J.M. Global terrestrial gross and net primary productivity from the Earth observing system. In Methods in Ecosystem Science; Sala, O., Jackson, R., Mooney, H., Eds.; Springer: New York, NY, USA, 2000; pp. 44–57. [Google Scholar]
- Heinsch, F.A.; Reeves, M.; Votava, P.; Kang, S.; Milesi, C.; Zhao, M.; Glassy, J.; Jolly, W.M.; Loehman, R.; Bowker, C.F.; et al. User's Guide: GPP and NPP (MOD17A2/A3) Products NASA MODIS Land Algorithm; University of Montana: Missoula, MT, USA, 2003; p. 57. [Google Scholar]
- Zhao, M.; Running, S.W. Drought-induced reduction in global terrestrial net primary production from 2000 through 2009. Science 2010, 329, 940–943. [Google Scholar] [CrossRef] [PubMed]
- Land Processes Distributed Active Archive Center (LP DAAC). Available online: https://lpdaac.usgs.gov/dataset_discovery/modis (accessed on 13 June 2016).
- NASA Goddard Space Flight Center. Available online: https://gmao.gsfc.nasa.gov/GMAO_products (accessed on 23 June 2016).
- Zhao, M.; Running, S.W.; Nemani, R.R. Sensitivity of Moderate Resolution Imaging Spectroradiometer (MODIS) terrestrial primary production to the accuracy of meteorological reanalyses. J. Geophys. Res. 2006. [Google Scholar] [CrossRef]
- Zhao, X.; Liang, S.; Liu, S.; Yuan, W.; Xiao, Z.; Liu, Q.; Cheng, J.; Zhang, X.; Tang, H.; Zhang, X.; et al. The Global Land Surface Satellite (GLASS) remote sensing data processing system and products. Remote Sens. 2013, 5, 2436–2450. [Google Scholar] [CrossRef]
- Liang, S.; Zhao, X.; Liu, S.; Yuan, W.; Cheng, X.; Xiao, Z.; Zhang, X.; Liu, Q.; Cheng, J.; Tang, H.; et al. A long-term Global LAnd Surface Satellite (GLASS) data-set for environmental studies. Int. J. Digit. Earth 2013, 6, 5–33. [Google Scholar] [CrossRef]
- Xiao, Z.; Liang, S.; Wang, J.; Chen, P.; Yin, X.; Zhang, L.; Song, J. Use of general regression neural networks for generating the GLASS leaf area index product from time-series MODIS surface reflectance. IEEE Trans. Geosci. Remote Sens. 2014, 52, 209–223. [Google Scholar] [CrossRef]
- Generation and Applications of Global Products of Essential Land Variables. Available online: http://glass-product.bnu.edu.cn (accessed on 15 June 2016).
- Turner, D.P.; Ritts, W.D.; Cohen, W.B.; Gower, S.T.; Running, S.W.; Zhao, M.; Costa, M.H.; Kirschbaum, A.A.; Ham, J.M.; Saleska, S.R.; et al. Evaluation of MODIS NPP and GPP products across multiple biomes. Remote Sens. Environ. 2006, 102, 282–292. [Google Scholar] [CrossRef]
- FLUXNET-Fluxdata. Available online: http://fluxnet.fluxdata.org/about (accessed on 4 July 2016).
- Schubert, P.; Lagergren, F.; Aurela, M.; Christensen, T.; Grelle, A.; Heliasz, M.; Klemedtsson, L.; Lindroth, A.; Pilegaard, K.; Vesala, T.; et al. Modeling GPP in the Nordic forest landscape with MODIS time series data—Comparison with the MODIS GPP product. Remote Sens. Environ. 2012, 126, 136–147. [Google Scholar] [CrossRef]
- Chen, J.; Zhang, H.; Liu, Z.; Che, M.; Chen, B. Evaluating parameter adjustment in the MODIS gross primary production algorithm based on eddy covariance tower measurements. Remote Sens. 2014, 6, 3321–3348. [Google Scholar] [CrossRef]
- Wen, X.; Yu, G.; Sun, X.; Li, Q.; Liu, Y.; Zhang, L.; Ren, C.; Fu, Y.; Li, Z. Soil moisture effect on the temperature dependence of ecosystem respiration in a subtropical Pinus plantation of southeastern China. Agric. For. Meteorol. 2006, 137, 166–175. [Google Scholar] [CrossRef]
- Mu, Q.; Zhao, M.; Heinsch, F.A.; Liu, M.; Tian, H.; Running, S.W. Evaluating water stress controls on primary production in biogeochemical and remote sensing based models. J. Geophys. Res. 2007. [Google Scholar] [CrossRef]
- Liu, Z.; Wang, L.; Wang, S. Comparison of different GPP models in China using MODIS image and ChinaFLUX data. Remote Sens. 2014, 6, 10215–10231. [Google Scholar] [CrossRef]
- Moffat, A.M.; Papale, D.; Reichstein, M.; Hollinger, D.Y.; Richardson, A.D.; Barr, A.G.; Beckstein, C.; Braswell, B.H.; Churkina, G.; Desai, A.R.; et al. Comprehensive comparison of gap-filling techniques for eddy covariance net carbon fluxes. Agric. For. Meteorol. 2007, 147, 209–232. [Google Scholar] [CrossRef]
- Nightingale, J.M.; Coops, N.C.; Waring, R.H.; Hargrove, W.W. Comparison of MODIS gross primary production estimates for forests across the U.S.A. with those generated by a simple process model, 3-PGS. Remote Sens. Environ. 2007, 109, 500–509. [Google Scholar] [CrossRef]
- He, M.; Ju, W.; Zhou, Y.; Chen, J.; He, H.; Wang, S.; Wang, H.; Guan, D.; Yan, J.; Li, Y.; et al. Development of a two-leaf light use efficiency model for improving the calculation of terrestrial gross primary productivity. Agric. For. Meteorol. 2013, 173, 28–39. [Google Scholar] [CrossRef]
- Hashimoto, H.; Wang, W.; Milesi, C.; Xiong, J.; Ganguly, S.; Zhu, Z.; Nemani, R. Structural uncertainty in model-simulated trends of global gross primary production. Remote Sens. 2013, 5, 1258–1273. [Google Scholar] [CrossRef]
- Zhang, F.; Chen, J.M.; Chen, J.; Gough, C.M.; Martin, T.A.; Dragoni, D. Evaluating spatial and temporal patterns of MODIS GPP over the conterminous U.S. against flux measurements and a process model. Remote Sens. Environ. 2012, 124, 717–729. [Google Scholar] [CrossRef]







| Site Name | Country | Lat. | Lon. | Biome Type | MAT | MAP | Data Period |
|---|---|---|---|---|---|---|---|
| Virasoro(AR-Vir) | Argentina | −28.24 | −56.19 | ENF | 21.6 | 1433 | 2010–2012 |
| Alice Springs(AU-ASM) | Australia | −22.28 | 133.25 | ENF | 22.2 | 390 | 2010–2013 |
| Riggs Creek(AU-Rig) | Australia | −36.65 | 145.58 | GRA | 15.4 | 418 | 2011–2013 |
| Whroo(AU-Whr) | Australia | −36.67 | 145.03 | EBF | 15.7 | 411 | 2011–2013 |
| Lonzee(BE-Lon) | Belgium | 50.55 | 4.75 | CRO | 10.0 | 800 | 2004–2014 |
| Vielsalm(BE-Vie) | Belgium | 50.31 | 6.00 | MF | 7.8 | 1062 | 2001–2014 |
| Santarem-Km83-Logged Forest(BR-Sa3) | Brazil | −3.02 | −54.97 | EBF | 26.1 | 2044 | 2001–2004 |
| Ontario-Groundhog River(CA-Gro) | Canada | 48.22 | −82.16 | MF | 1.3 | 831 | 2003–2014 |
| Bily Kriz-grassland(CZ-BK2) | Czech Republic | 49.49 | 18.54 | GRA | 6.7 | 1316 | 2006–2011 |
| Hainich(DE-Hai) | Germany | 51.08 | 10.45 | DBF | 8.3 | 720 | 2001–2012 |
| Soroe-LilleBogeskov(DK-Sor) | Denmark | 55.49 | 11.64 | DBF | 8.2 | 660 | 2001–2012 |
| Grignon(FR-Gri) | France | 48.84 | 1.95 | CRO | 12.0 | 650 | 2004–2014 |
| Puechabon(FR-Pue) | France | 43.74 | 3.60 | EBF | 13.5 | 883 | 2001–2013 |
| Ankasa(GH-Ank) | Ghana | 5.27 | −2.69 | EBF | 26.0 | 1900 | 2011–2012, 2014 |
| Renon/Ritten(IT-Ren) | Italy | 46.59 | 11.43 | ENF | 4.7 | 809 | 2001–2013 |
| Sardinilla Pasture(PA-SPs) | Panama | 9.31 | −79.63 | GRA | 26.5 | 2350 | 2007–2009 |
| Curtice Walter-Berger cropland(US-CRT) | USA | 41.63 | −83.35 | CRO | 10.1 | 849 | 2011–2013 |
| Walnut Gulch Kendall Grasslands(US-Wkg) | USA | 31.74 | −109.94 | GRA | 15.6 | 407 | 2004–2014 |
| Biome Type | Comparison | R2 | Mean (SD) (gC·m−2·8-d−1) | Bias (gC·m−2·8-d−1) | RMSE (%) | n |
|---|---|---|---|---|---|---|
| ENF | MOD_GMAO vs. Flux_Tower | 0.71 ** | 19 (20) vs. 30 (27) | −11 | 52 | 920 |
| MOD_Tower vs. Flux_Tower | 0.72 ** | 19 (19) vs. 30 (27) | −11 | 52 | ||
| GMAO_GLASS vs. Flux_Tower | 0.75 ** | 21 (22) vs. 30 (27) | −9 | 47 | ||
| Tower_GLASS vs. Flux_Tower | 0.76 ** | 20 (21) vs. 30 (27) | −10 | 47 | ||
| EBF | MOD_GMAO vs. Flux_Tower | 0.14 ** | 29 (20) vs. 40 (24) | −11 | 54 | 1058 |
| MOD_Tower vs. Flux_Tower | 0.21 ** | 26 (17) vs. 40 (24) | −14 | 51 | ||
| GMAO_GLASS vs. Flux_Tower | 0.52 ** | 35 (24) vs. 40 (24) | −5 | 39 | ||
| Tower_GLASS vs. Flux_Tower | 0.73 ** | 31 (19) vs. 40 (24) | −9 | 33 | ||
| DBF | MOD_GMAO vs. Flux_Tower | 0.75 ** | 23 (25) vs. 39 (42) | −16 | 63 | 1104 |
| MOD_Tower vs. Flux_Tower | 0.77 ** | 19 (20) vs. 39 (42) | −20 | 68 | ||
| GMAO_GLASS vs. Flux_Tower | 0.86 ** | 27 (28) vs. 39 (42) | −12 | 49 | ||
| Tower_GLASS vs. Flux_Tower | 0.89 ** | 23 (23) vs. 39 (42) | −16 | 55 | ||
| MF | MOD_GMAO vs. Flux_Tower | 0.73 ** | 22 (24) vs. 33 (30) | −11 | 53 | 1196 |
| MOD_Tower vs. Flux_Tower | 0.73 ** | 17 (18) vs. 33 (30) | −16 | 65 | ||
| GMAO_GLASS vs. Flux_Tower | 0.81 ** | 24 (25) vs. 33 (30) | −9 | 45 | ||
| Tower_GLASS vs. Flux_Tower | 0.81 ** | 18 (18) vs. 33 (30) | −15 | 59 | ||
| GRA | MOD_GMAO vs. Flux_Tower | 0.41 ** | 14 (14) vs. 19 (24) | −5 | 98 | 1058 |
| MOD_Tower vs. Flux_Tower | 0.43 ** | 14 (12) vs. 19 (24) | −5 | 98 | ||
| GMAO_GLASS vs. Flux_Tower | 0.56 ** | 15 (17) vs. 19 (24) | −4 | 83 | ||
| Tower_GLASS vs. Flux_Tower | 0.64 ** | 14 (15) vs. 19 (24) | −5 | 80 | ||
| CRO | MOD_GMAO vs. Flux_Tower | 0.34 ** | 20 (20) vs. 30 (40) | −10 | 94 | 1150 |
| MOD_Tower vs. Flux_Tower | 0.32 ** | 18 (19) vs. 30 (40) | −12 | 98 | ||
| GMAO_GLASS vs. Flux_Tower | 0.35 ** | 25 (23) vs. 30 (40) | −5 | 89 | ||
| Tower_GLASS vs. Flux_Tower | 0.34 ** | 22 (21) vs. 30 (40) | −8 | 92 | ||
| All | MOD_GMAO vs. Flux_Tower | 0.52 ** | 21 (21) vs. 32 (33) | −11 | 24 | 6486 |
| MOD_Tower vs. Flux_Tower | 0.52 ** | 19 (18) vs. 32 (33) | −13 | 24 | ||
| GMAO_GLASS vs. Flux_Tower | 0.63 ** | 24 (24) vs. 32 (33) | −8 | 23 | ||
| Tower_GLASS vs. Flux_Tower | 0.65 ** | 21 (20) vs. 32 (33) | −11 | 23 |
| Biome Type | Comparison | R2 | Mean (SD) (gC·m−2·y−1) | Bias (gC·m−2·y−1) | RMSE (%) | n |
|---|---|---|---|---|---|---|
| ENF | MOD_GMAO vs. Flux_Tower | 0.87 ** | 894 (335) vs. 1400 (708) | −506 | 46 | 20 |
| MOD_Tower vs. Flux_Tower | 0.92 ** | 883 (318) vs. 1400 (708) | −517 | 47 | ||
| GMAO_GLASS vs. Flux_Tower | 0.89 ** | 953 (394) vs. 1400 (708) | −447 | 41 | ||
| Tower_GLASS vs. Flux_Tower | 0.91 ** | 942 (383) vs. 1400 (708) | −458 | 41 | ||
| EBF | MOD_GMAO vs. Flux_Tower | 0.50 ** | 1312 (300) vs. 1826 (974) | −514 | 51 | 23 |
| MOD_Tower vs. Flux_Tower | 0.50 ** | 1211 (288) vs. 1826 (974) | −615 | 54 | ||
| GMAO_GLASS vs. Flux_Tower | 0.91 ** | 1604 (826) vs. 1826 (974) | −222 | 21 | ||
| Tower_GLASS vs. Flux_Tower | 0.92 ** | 1437 (711) vs. 1826 (974) | −389 | 28 | ||
| DBF | MOD_GMAO vs. Flux_Tower | 0.55 ** | 1038 (157) vs. 1773 (192) | −735 | 42 | 24 |
| MOD_Tower vs. Flux_Tower | 0.34 ** | 875 (93) vs. 1773 (192) | −898 | 51 | ||
| GMAO_GLASS vs. Flux_Tower | 0.56 ** | 1243 (206) vs. 1773 (192) | −530 | 31 | ||
| Tower_GLASS vs. Flux_Tower | 0.41 ** | 1037 (127) vs. 1773 (192) | −736 | 42 | ||
| MF | MOD_GMAO vs. Flux_Tower | 0.48 ** | 1006 (108) vs. 1509 (444) | −503 | 41 | 26 |
| MOD_Tower vs. Flux_Tower | 0.43 ** | 782 (87) vs. 1509 (444) | −727 | 54 | ||
| GMAO_GLASS vs. Flux_Tower | 0.61 ** | 1098 (95) vs. 1509 (444) | −411 | 36 | ||
| Tower_GLASS vs. Flux_Tower | 0.51 ** | 848 (71) vs. 1509 (444) | −661 | 51 | ||
| GRA | MOD_GMAO vs. Flux_Tower | 0.75 ** | 652 (276) vs. 869 (721) | −217 | 61 | 23 |
| MOD_Tower vs. Flux_Tower | 0.83 ** | 629 (202) vs. 869 (721) | −240 | 67 | ||
| GMAO_GLASS vs. Flux_Tower | 0.95 ** | 696 (532) vs. 869 (721) | −173 | 33 | ||
| Tower_GLASS vs. Flux_Tower | 0.96 ** | 651 (476) vs. 869 (721) | −218 | 40 | ||
| CRO | MOD_GMAO vs. Flux_Tower | 0.06 | 938 (150) vs. 1363 (327) | −425 | 39 | 25 |
| MOD_Tower vs. Flux_Tower | 0.08 | 847 (161) vs. 1363 (327) | −516 | 44 | ||
| GMAO_GLASS vs. Flux_Tower | 0.15 * | 1135 (129) vs. 1363 (327) | −228 | 27 | ||
| Tower_GLASS vs. Flux_Tower | 0.14 * | 1012 (146) vs. 1363 (327) | −351 | 34 | ||
| All | MOD_GMAO vs. Flux_Tower | 0.62 ** | 976 (299) vs. 1460 (676) | −484 | 47 | 141 |
| MOD_Tower vs. Flux_Tower | 0.56 ** | 869 (266) vs. 1460 (676) | −591 | 53 | ||
| GMAO_GLASS vs. Flux_Tower | 0.79 ** | 1126 (509) vs. 1460 (676) | −334 | 32 | ||
| Tower_GLASS vs. Flux_Tower | 0.76 ** | 987 (445) vs. 1460 (676) | −473 | 41 |
| Biome (Site) | Comparison | R2 | Mean (SD) | Bias | RMSE (%) | n |
|---|---|---|---|---|---|---|
| ENF | GLASS FPAR vs. MODIS FPAR | 0.72 ** | 0.511 (0.242) vs. 0.463 (0.239) | 0.048 | 26 | 917 |
| (AR-Vir) | GLASS FPAR vs. MODIS FPAR | 0.61 ** | 0.653 (0.155) vs. 0.615 (0.179) | 0.038 | 19 | 138 |
| (AU-ASM) | GLASS FPAR vs. MODIS FPAR | 0.44 ** | 0.169 (0.046) vs. 0.236 (0.067) | −0.067 | 36 | 184 |
| (IT-Ren) | GLASS FPAR vs. MODIS FPAR | 0.69 ** | 0.584 (0.195) vs. 0.497 (0.239) | 0.087 | 32 | 595 |
| EBF | GLASS FPAR vs. MODIS FPAR | 0.02 ** | 0.583 (0.237) vs. 0.499 (0.21) | 0.084 | 39 | 1099 |
| (AU-Whr) | GLASS FPAR vs. MODIS FPAR | 0.67 ** | 0.386 (0.204) vs. 0.476 (0.2) | −0.09 | 32 | 138 |
| (BR-Sa3) | GLASS FPAR vs. MODIS FPAR | 0.09 ** | 0.925 (0.008) vs. 0.633 (0.315) | 0.292 | 67 | 182 |
| (FR-Pue) | GLASS FPAR vs. MODIS FPAR | 0.03 ** | 0.437 (0.055) vs. 0.499 (0.083) | −0.062 | 22 | 595 |
| (GH-Ank) | GLASS FPAR vs. MODIS FPAR | - | 0.864 (0.028) vs. 0.385 (0.288) | 0.479 | 145 | 184 |
| DBF | GLASS FPAR vs. MODIS FPAR | 0.55 ** | 0.588 (0.213) vs. 0.472 (0.268) | 0.116 | 39 | 1100 |
| (DE-Hai) | GLASS FPAR vs. MODIS FPAR | 0.49 ** | 0.598 (0.19) vs. 0.498 (0.269) | 0.1 | 43 | 550 |
| (DK-Sor) | GLASS FPAR vs. MODIS FPAR | 0.61 ** | 0.578 (0.234) vs. 0.445 (0.264) | 0.133 | 48 | 550 |
| MF | GLASS FPAR vs. MODIS FPAR | 0.46 ** | 0.608 (0.167) vs. 0.512 (0.271) | 0.096 | 37 | 1193 |
| (BE-Vie) | GLASS FPAR vs. MODIS FPAR | 0.35 ** | 0.606 (0.154) vs. 0.52 (0.282) | 0.086 | 47 | 641 |
| (CA-Gro) | GLASS FPAR vs. MODIS FPAR | 0.62 ** | 0.611 (0.181) vs. 0.503 (0.256) | 0.108 | 38 | 552 |
| GRA | GLASS FPAR vs. MODIS FPAR | 0.49 ** | 0.393 (0.308) vs. 0.368 (0.245) | 0.025 | 57 | 1054 |
| (AU-Rig) | GLASS FPAR vs. MODIS FPAR | 0.56 ** | 0.419 (0.223) vs. 0.514 (0.228) | −0.095 | 36 | 138 |
| (CZ-BK2) | GLASS FPAR vs. MODIS FPAR | 0.57 ** | 0.619 (0.23) vs. 0.497 (0.312) | 0.122 | 48 | 276 |
| (PA-SPs) | GLASS FPAR vs. MODIS FPAR | - | 0.835 (0.027) vs. 0.46 (0.183) | 0.375 | 91 | 138 |
| (US-Wkg) | GLASS FPAR vs. MODIS FPAR | 0.46 ** | 0.141 (0.1) vs. 0.231 (0.117) | −0.09 | 55 | 502 |
| CRO | GLASS FPAR vs. MODIS FPAR | 0.58 ** | 0.552 (0.198) vs. 0.456 (0.219) | 0.096 | 31 | 1148 |
| (BE-Lon) | GLASS FPAR vs. MODIS FPAR | 0.46 ** | 0.537 (0.165) vs. 0.42 (0.194) | 0.117 | 45 | 505 |
| (FR-Gri) | GLASS FPAR vs. MODIS FPAR | 0.50 ** | 0.614 (0.184) vs. 0.53 (0.211) | 0.084 | 33 | 505 |
| (US-CRT) | GLASS FPAR vs. MODIS FPAR | 0.84 ** | 0.378 (0.242) vs. 0.314 (0.231) | 0.064 | 37 | 138 |
| Biome (Site) | MOD17A2H εmax (gC·m−2·d−1·MJ−1) | Inferred εmax (gC·m−2·d−1·MJ−1) | Bias (gC·m−2·d−1·MJ−1) |
|---|---|---|---|
| ENF | 0.962 | 1.256 | −0.294 |
| (AR-Vir) | 0.962 | 1.521 | −0.559 |
| (AU-ASM) | 0.962 | 1.225 | −0.263 |
| (IT-Ren) | 0.962 | 1.183 | −0.221 |
| EBF | 1.268 | 1.539 | −0.271 |
| (AU-Whr) | 1.268 | 1.175 | 0.093 |
| (BR-Sa3) | 1.268 | 1.695 | −0.427 |
| (FR-Pue) | 1.268 | 1.418 | −0.150 |
| (GH-Ank) | 1.268 | 1.496 | −0.228 |
| DBF | 1.165 | 2.008 | −0.843 |
| (DE-Hai) | 1.165 | 2.037 | −0.872 |
| (DK-Sor) | 1.165 | 1.988 | −0.823 |
| MF | 1.051 | 1.692 | −0.641 |
| (BE-Vie) | 1.051 | 1.968 | −0.917 |
| (CA-Gro) | 1.051 | 1.371 | −0.320 |
| GRA | 0.860 | 1.125 | −0.265 |
| (AU-Rig) | 0.860 | 1.292 | −0.432 |
| (CZ-BK2) | 0.860 | 1.118 | −0.258 |
| (PA-SPs) | 0.860 | 1.141 | −0.281 |
| (US-Wkg) | 0.860 | 0.869 | −0.009 |
| CRO | 1.044 | 1.303 | −0.259 |
| (BE-Lon) | 1.044 | 1.655 | −0.611 |
| (FR-Gri) | 1.044 | 1.086 | −0.042 |
| (US-CRT) | 1.044 | 1.234 | −0.190 |
© 2017 by the authors. Licensee MDPI, Basel, Switzerland. This article is an open access article distributed under the terms and conditions of the Creative Commons Attribution (CC BY) license (http://creativecommons.org/licenses/by/4.0/).
Share and Cite
Wang, L.; Zhu, H.; Lin, A.; Zou, L.; Qin, W.; Du, Q. Evaluation of the Latest MODIS GPP Products across Multiple Biomes Using Global Eddy Covariance Flux Data. Remote Sens. 2017, 9, 418. https://doi.org/10.3390/rs9050418
Wang L, Zhu H, Lin A, Zou L, Qin W, Du Q. Evaluation of the Latest MODIS GPP Products across Multiple Biomes Using Global Eddy Covariance Flux Data. Remote Sensing. 2017; 9(5):418. https://doi.org/10.3390/rs9050418
Chicago/Turabian StyleWang, Lunche, Hongji Zhu, Aiwen Lin, Ling Zou, Wenmin Qin, and Qiyong Du. 2017. "Evaluation of the Latest MODIS GPP Products across Multiple Biomes Using Global Eddy Covariance Flux Data" Remote Sensing 9, no. 5: 418. https://doi.org/10.3390/rs9050418
APA StyleWang, L., Zhu, H., Lin, A., Zou, L., Qin, W., & Du, Q. (2017). Evaluation of the Latest MODIS GPP Products across Multiple Biomes Using Global Eddy Covariance Flux Data. Remote Sensing, 9(5), 418. https://doi.org/10.3390/rs9050418

