Satellite-Derived Spatiotemporal Variations in Evapotranspiration over Northeast China during 1982–2010
Abstract
:1. Introduction
2. Materials and Methods
2.1. Study Area
2.2. Data
2.2.1. Remote Sensing Data
2.2.2. Meteorological Reanalysis Data
2.2.3. Ground-Based Observations
2.3. Methods
2.3.1. MS–PT Algorithm
2.3.2. Potential ET Estimation
2.3.3. Statistical Analysis
3. Results
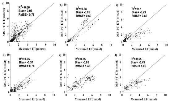
3.1. Evaluation of MS–PT Performance in Estimating ET
3.2. Mean Spatial Pattern of ET in Northeast China
3.2.1. Annual
3.2.2. Seasonal
3.3. Characteristics of ET Trends
3.3.1. Annual
3.3.2. Seasonal
3.4. Spatial Patterns of ET Trend Changes in Northeast China
3.4.1. Annual
3.4.2. Seasonal
4. Discussion
4.1. The Performance of the MS–PT Algorithm in Estimating ET
4.2. Climate Change Controls on Land ET Trends in Northeast China
5. Conclusions
Acknowledgments
Author Contributions
Conflicts of Interest
References
- Sun, F.H.; Yang, X.Q.; Lu, S.; Yang, S.Y. The contrast analysis on the average and extreme temperature trend in northeast china. Sci. Meteorol. Sin. 2006, 26, 157–163. [Google Scholar]
- Mao, D.; Wang, Z.; Luo, L.; Yang, G. Correlation analysis between ndvi and climate in northeast china based on avhrr and gimms data sources. Remote Sens. Technol. Appl. 2012, 27, 81–89. [Google Scholar]
- Wang, K.; Dickinson, R.E. A review of global terrestrial evapotranspiration: Observation, modeling, climatology, and climatic variability. Rev. Geophys. 2012, 50. [Google Scholar] [CrossRef]
- Yao, Y.; Liang, S.; Li, X.; Chen, J.; Wang, K.; Jia, K.; Cheng, J.; Jiang, B.; Fisher, J.B.; Mu, Q. A satellite-based hybrid algorithm to determine the priestley-taylor parameter for global terrestrial latent heat flux estimation across multiple biomes. Remote Sens. Environ. 2015, 165, 216–233. [Google Scholar] [CrossRef]
- Yao, Y.; Liang, S.; Yu, J.; Chen, J.; Liu, S.; Lin, Y.; Fisher, J.B.; Mcvicar, T.R.; Cheng, J.; Jia, K. A simple temperature domain two-source model for estimating agricultural field surface energy fluxes from Landsat images. J. Geophys. Res. Atmos. 2017. [Google Scholar] [CrossRef]
- Sun, F.; Wu, Z.; Yang, S. Temporal and spatial variations of extreme precipitation and dryness events in northeast china in last 50 years. Chin. J. Ecol. 2006, 25, 779–784. [Google Scholar]
- Gao, G.; Chen, D.; Xu, C.Y.; Simelton, E. Trend of estimated actual evapotranspiration over china during 1960–2002. J. Geophys. Res. Atmos. 2007, 112, 71–81. [Google Scholar] [CrossRef]
- Zhang, S.J.; Zhang, Y.S.; Sui, D.; Cai, F.; Fu, C.; Wu, J.-W.; Chen, P.S.; Liu, Q.W. Changes in reference evapotranspiration and its causes in northeast china. J. Nat. Resour. 2010, 25, 1750–1761. [Google Scholar]
- Jung, M.; Reichstein, M.; Ciais, P.; Seneviratne, S.I.; Sheffield, J.; Goulden, M.L.; Bonan, G.; Cescatti, A.; Chen, J.; De, J.R. Recent decline in the global land evapotranspiration trend due to limited moisture supply. Nature 2010, 467, 951–954. [Google Scholar] [CrossRef] [PubMed]
- Wang, K.; Dickinson, R.E.; Wild, M.; Liang, S. Evidence for decadal variation in global terrestrial evapotranspiration between 1982 and 2002. J. Geophys. Res. Atmos. 2010, 115, 898–907. [Google Scholar] [CrossRef]
- Shukla, J.; Mintz, Y. Influence of land-surface evapotranspiration on the earth’s climate. Science 1982, 215, 1498–1501. [Google Scholar] [CrossRef] [PubMed]
- Zeng, L.H.; Song, K.S.; Zhang, B.; Wang, Z.M.; Du, J. Spatiotemporal variability of reference evapotranspiration over the northeast region of china in the last 60 years. Adv. Water Sci. 2010, 21, 194–200. [Google Scholar]
- Zhang, B.; Kang, S.; Li, F.; Zhang, L. Comparison of three evapotranspiration models to bowen ratio-energy balance method for a vineyard in an arid desert region of northwest china. Agric. For. Meteorol. 2008, 148, 1629–1640. [Google Scholar] [CrossRef]
- Liu, S.M.; Xu, Z.W.; Wang, W.Z.; Jia, Z.Z.; Zhu, M.J.; Bai, J.; Wang, J.M. A comparison of eddy-covariance and large aperture scintillometer measurements with respect to the energy balance closure problem. Hydrol. Earth Syst. Sci. 2011, 15, 1291–1306. [Google Scholar] [CrossRef]
- Allen, R.G.; Pereira, L.S.; Raes, D.; Smith, M. Crop Evapotranspiration-Guidelines for Computing Crop Water Requirements. Available online: https://appgeodb.nancy.inra.fr/biljou/pdf/Allen_FAO1998.pdf (accessed on 1 November 2017).
- Yang, Y. Remote sensing temporal and spatial patterns of evapotranspiration and the responses to water management in a large irrigation district of north china. Agric. For. Meteorol. 2012, 164, 112–122. [Google Scholar] [CrossRef]
- Zhang, K.; Kimball, J.S.; Nemani, R.R.; Running, S.W. A continuous satellite-derived global record of land surface evapotranspiration from 1983 to 2006. Water Resour. Res. 2010, 46, 109–118. [Google Scholar] [CrossRef]
- Mueller, B.; Hirschi, M.; Jimenez, C.; Ciais, P. Benchmark products for land evapotranspiration: Landflux-eval multi-dataset synthesis. Hydrol. Earth Syst. Sci. 2013, 17, 3707–3720. [Google Scholar] [CrossRef]
- Tian, J.; Hongbo, S.U.; Chen, S.; Sun, X.; Chen, Q. Spatial-temporal variations of evapotranspiration in china mainland in recent 20 years. Resour. Sci. 2012, 34, 1277–1286. [Google Scholar]
- Tian, H.E.; Shao, Q. Spatial-temporal variation of terrestrial evapotranspiration in china from 2001 to 2010 using mod16 products. J. Geo-Inf. Sci. 2014, 16, 979–988. [Google Scholar]
- Yang, X.; Wang, G.; Pan, X.; Zhang, Y. Spatio-temporal variability of terrestrial evapotranspiration in china from 1980 to 2011 based on gleam data. Trans. Chin. Soc. Agric. Eng. 2015, 31, 132–141. [Google Scholar]
- Chen, Y.; Xia, J.; Liang, S.; Feng, J.; Fisher, J.B.; Li, X.; Li, X.; Liu, S.; Ma, Z.; Miyata, A. Comparison of satellite-based evapotranspiration models over terrestrial ecosystems in china. Remote Sens. Environ. 2014, 140, 279–293. [Google Scholar] [CrossRef]
- Yao, Y.; Liang, S.; Cheng, J.; Liu, S.; Fisher, J.B.; Zhang, X.; Jia, K.; Zhao, X.; Qin, Q.; Zhao, B. Modis-driven estimation of terrestrial latent heat flux in china based on a modified priestley-taylor algorithm. Agric. For. Meteorol. 2013, 171–172, 187–202. [Google Scholar] [CrossRef]
- Yao, Y.; Liang, S.; Zhao, S.; Zhang, Y.; Qin, Q.; Cheng, J.; Jia, K.; Xie, X.; Zhang, N.; Liu, M. Validation and application of the modified satellite-based priestley-taylor algorithm for mapping? Terrestrial evapotranspiration. Remote Sens. 2014, 6, 880–904. [Google Scholar] [CrossRef]
- Mao, D.H.; Wang, Z.M.; Han, J.X.; Ren, C.Y. Spatio-temporal Pattern of Net Primary Productivity and Its Driven Factors in Northeast China in 1982–2010. Sci. Geogr. Sin. 2012. [Google Scholar] [CrossRef]
- Tang, Y.; Wang, H.; Yan, D.H.; Wang, S.S. Research on the spatial-temporal differentiation of precipitation in northeast China in recent 50 years. Sci. Geogr. Sin. 2005, 18, 901–906. [Google Scholar]
- Qian, Z. Strategic concern to land and water resources allocation, ecology and environment protection and sustainable development of northeast China. Eng. Sci. 2006, 8, 1–24. [Google Scholar]
- Liu, J.Y.; Kuang, W.H.; Zhang, Z.X.; Xu, X.L.; Qin, Y.W.; Ning, J.; Zhou, W.C.; Zhang, S.W.; Li, R.D.; Yan, C.Z.; et al. Spatiotemporal characteristics, patterns, and causes of land-use changes in China since the late 1980s. J. Geogr. Sci. 2014, 24, 195–210. [Google Scholar] [CrossRef]
- Wang, X.Q.; Zhang, Y.; Liu, C.M. Estimation of eco-water requirement in the liaohe river basin. Geogr. Res. 2007, 26, 22–28. [Google Scholar]
- Han, J.X.; Wang, Z.M.; Mao, D.H.; Song, K.S.; Ren, C.Y. Dynamic change of vegetation coverage in the songhua river basin and itscorrelation analysis with climatic factor from 1982 to 2010. Chin. J. Agrometeorol. 2011, 32, 430–436. [Google Scholar]
- Liu, Q. A study on flood and drought change and its long-term prediction in the songhua river basin. Adv. Water Sci. 1994, 4, 319–327. [Google Scholar]
- National Oceanic and Atmospheric Administration, Avhrr. Available online: http://islscp2.sesda.com/ISLSCP21/data (accessed on 24 November 2016).
- National Aeronautics and Space Administration, lp Daac. Available online: http://reverb.echo.nasa.gov/reverb (accessed on 16 October 2016).
- Mu, Q.; Heinsch, F.A.; Zhao, M.; Running, S.W. Development of a global evapotranspiration algorithm based on modis and global meteorology data. Remote Sens. Environ. 2007, 111, 519–536. [Google Scholar] [CrossRef]
- Mu, Q.; Zhao, M.; Running, S.W. Improvements to a modis global terrestrial evapotranspiration algorithm. Remote Sens. Environ. 2011, 115, 1781–1800. [Google Scholar] [CrossRef]
- National Oceanic and Atmospheric Administration/oar/esrl psd, Boulder, Colorado, USA. Available online: http://www.esrl.noaa.gov/psd/ (accessed on 19 September 2016).
- He, J.; Yang, K. China meteorological forcing dataset. Cold and Arid Regions Science Data Center at Lanzhou. Available online: http://westdc.westgis.ac.cn/ (accessed on 26 December 2016).
- Yang, K.; Jie, H.; Tang, W.; Qin, J.; Cheng, C.C.K. On downward shortwave and longwave radiations over high altitude regions: Observation and modeling in the tibetan plateau. Agric. For. Meteorol. 2010, 150, 38–46. [Google Scholar] [CrossRef]
- Chen, Y.; Yang, K.; Jie, H.; Qin, J.; Shi, J.; Du, J.; He, Q. Improving land surface temperature modeling for dry land of china. J. Geophys. Res. Atmos. 2011, 116, D20104. [Google Scholar] [CrossRef]
- Guirui, Y.U.; Zhang, L.; Sun, X. Progresses and prospects of chinese terrestrial ecosystem flux observation and research network (chinaflux). Prog. Geogr. 2014, 33, 903–917. [Google Scholar]
- Jia, Z.; Liu, S.; Xu, Z.; Chen, Y.; Zhu, M. Validation of remotely sensed evapotranspiration over the hai river basin, china. J. Geophys. Res. Atmos. 2012, 117, 13113. [Google Scholar] [CrossRef]
- Yao, Y.; Liang, S.; Li, X.; Liu, S.; Chen, J.; Zhang, X.; Jia, K.; Jiang, B.; Xie, X.; Munier, S. Assessment and simulation of global terrestrial latent heat flux by synthesis of cmip5 climate models and surface eddy covariance observations. Agric. For. Meteorol. 2016, 223, 151–167. [Google Scholar] [CrossRef]
- Twine, T.E.; Kustas, W.P.; Norman, J.M.; Cook, D.R.; Houser, P.R.; Teyers, T.P.; Prueger, J.H.; Starks, P.J.; Wesely, M.L. Correcting eddy-covariance flux underestimates over a grassland. Agric. For. Meteorol. 2000, 103, 279–300. [Google Scholar] [CrossRef]
- Monteith, J.L. Evaporation and environment. Symp. Soc. Exp. Biol. 1965, 19, 205. [Google Scholar] [PubMed]
- Priestley, C.H.B.; Taylor, R.J. On the assessment of surface heat flux and evaporation using large-scale parameters. Mon. Weather Rev. 2009, 100, 81–92. [Google Scholar] [CrossRef]
- Fisher, J.B.; Tu, K.P.; Baldocchi, D.D. Global estimates of the land-atmosphere water flux based on monthly avhrr and islscp-ii data, validated at 16 fluxnet sites. Remote Sens. Environ. 2008, 112, 901–919. [Google Scholar] [CrossRef]
- Wang, K.; Liang, S. Estimation of surface net radiation from solar shortwave radiation measurements. In Proceedings of the IEEE International Geoscience and Remote Sensing, Boston, MA, USA, 7–11 July 2008; pp. 483–486. [Google Scholar]
- Chen, S.; Liu, Y.; Thomas, A. Climatic change on the tibetan plateau: Potential evapotranspiration trends from 1961–2000. Clim. Chang. 2006, 76, 291–319. [Google Scholar]
- Yao, Y.; Zhao, S.; Zhang, Y.; Jia, K.; Liu, M. Spatial and decadal variations in potential evapotranspiration of china based on reanalysis datasets during 1982–2010. Atmosphere 2014, 5, 737–754. [Google Scholar] [CrossRef]
- Mann, H.B. Nonparametric test against trend. Econometrica 1945, 13, 245–259. [Google Scholar] [CrossRef]
- Kendall, M.G. Rank Correlation Methods; University of Michigan: Ann Arbor, MI, USA, 1948. [Google Scholar]
- Rahman, A.; Dawood, M. Spatio-statistical analysis of temperature fluctuation using Mann-Kendall and Sen’s slope approach. Clim. Dyn. 2017, 48, 1–15. [Google Scholar]
- Batra, N.; Islam, S.; Venturini, V.; Bisht, G.; Jiang, L. Estimation and comparison of evapotranspiration from modis and avhrr sensors for clear sky days over the southern great plains. Remote Sens. Environ. 2006, 103, 1–15. [Google Scholar] [CrossRef]
- Seguin, B.; Becker, F.; Phulpin, T.; Gu, X.F.; Guyot, G.; Kerr, Y.; King, C.; Lagouarde, J.P.; Ottlé, C.; Stoll, M.P. Irsute: A minisatellite project for land surface heat flux estimation from field to regional scale. Remote Sens. Environ. 1999, 68, 357–369. [Google Scholar] [CrossRef]
- Kalma, J.D.; Mcvicar, T.R.; Mccabe, M.F. Estimating land surface evaporation: A review of methods using remotely sensed surface temperature data. Surv. Geophys. 2008, 29, 421–469. [Google Scholar] [CrossRef]
- Lin, Z. Trends in land surface evapotranspiration across china with remotely sensed ndvi and climatological data for 1981–2010. Hydrol. Sci. J. 2015, 60, 2163–2177. [Google Scholar]
- Li, Z.L.; Tang, R.; Wan, Z.; Bi, Y.; Zhou, C.; Tang, B.; Yan, G.; Zhang, X. A review of current methodologies for regional evapotranspiration estimation from remotely sensed data. Sensors 2009, 9, 3801. [Google Scholar] [CrossRef] [PubMed]
- Yebra, M.; Dijk, A.V.; Leuning, R.; Huete, A.; Guerschman, J.P. Evaluation of optical remote sensing to estimate actual evapotranspiration and canopy conductance. Remote Sens. Environ. 2013, 129, 250–261. [Google Scholar] [CrossRef]
- Vinukollu, R.K.; Meynadier, R.; Sheffield, J.; Wood, E.F. Multi-model, multi-sensor estimates of global evapotranspiration: Climatology, uncertainties and trends. Hydrol. Process. 2011, 25, 3993–4010. [Google Scholar] [CrossRef]
- Wang, Z.M.; Guo, Z.X.; Song, K.S.; Ling, L.; Bai, Z.; Liu, D.W.; Ni, H.; Ren, C.Y. Responses of vegetation ndvi in northeast china to climate change. Chin. J. Ecol. 2009, 28, 1041–1048. [Google Scholar]
- Yao, Y.; Liang, S.; Li, X.; Hong, Y.; Fisher, J.B.; Zhang, N.; Chen, J.; Cheng, J.; Zhao, S.; Zhang, X. Bayesian multimodel estimation of global terrestrial latent heat flux from eddy covariance, meteorological, and satellite observations. J. Geophys. Res. Atmos. 2014, 119, 4521–4545. [Google Scholar] [CrossRef]
- Liang, S.; Wang, K.; Zhang, X.; Wild, M. Review on estimation of land surface radiation and energy budgets from ground measurement, remote sensing and model simulations. IEEE J. Sel. Top. Appl. Earth Obs. Remote Sens. 2010, 3, 225–240. [Google Scholar] [CrossRef]
- Zhou, L.; Wang, S.; Cheng, J.; Feng, X.; Ju, W.; Wu, W. The spatial-temporal characteristics of evapotranspiration of China’s terrestrial ecosystems during 1991–2000. Resour. Sci. 2009, 31. [Google Scholar] [CrossRef]
- Mcvicar, T.R.; Roderick, M.L.; Donohue, R.J.; Li, L.T.; Niel, T.G.V.; Thomas, A.; Grieser, J.; Jhajharia, D.; Himri, Y.; Mahowald, N.M. Global review and synthesis of trends in observed terrestrial near-surface wind speeds: Implications for evaporation. J. Hydrol. 2012, 416–417, 182–205. [Google Scholar] [CrossRef]
- Liu, M.; Tian, H.; Chen, G.; Ren, W.; Zhang, C.; Liu, J. Effects of land-use and land-cover change on evapotranspiration and water yield in China during 1900-2000. JAWRA J. Am. Water Resour. Assoc. 2008, 44, 1193–1207. [Google Scholar] [CrossRef]
- Zhou, L.; Zhou, G. Measurement and modelling of evapotranspiration over a reed (phragmites australis) marsh in northeast China. J. Hydrol. 2009, 372, 41–47. [Google Scholar] [CrossRef]
- Han, Z.; Guirui, Y.U.; Wang, Q.; Zhu, X.; Honglin, H.E.; Wang, Y.; Zhang, J.; Yingnian, L.I.; Liang, Z.; Zhao, F. Spatial variation in annual actual evapotranspiration of terrestrial ecosystems in china: Results from eddy covariance measurements. J. Geogr. Sci. 2016, 26, 1391–1411. [Google Scholar]
- Penman, H.L. Natural evaporation from open water, hare soil and grass. Proc. R. Soc. Lond. A Math. Phys. 1948, 193, 120. [Google Scholar] [CrossRef]
- Zeng, Z.; Wang, T.; Zhou, F.; Ciais, P.; Mao, J.; Shi, X.; Piao, S. A worldwide analysis of spatiotemporal changes in water balance-based evapotranspiration from 1982 to 2009. J. Geophys. Res. Atmos. 2014, 119, 1186–1202. [Google Scholar] [CrossRef]
- Koster, R.D.; Suarez, M.J. A simple framework for examining the interannual variability of land surface moisture fluxes. J. Clim. 1999, 12, 1911–1917. [Google Scholar] [CrossRef]
- Koster, R.D.; Dirmeyer, P.A.; Guo, Z.; Bonan, G.; Chan, E.; Cox, P.; Gordon, C.T.; Kanae, S.; Kowalczyk, E.; Lawrence, D. Regions of strong coupling between soil moisture and precipitation. Science 2004, 305, 1138. [Google Scholar] [CrossRef] [PubMed]
- Federer, C.A.; Vörösmarty, C.; Fekete, B. Sensitivity of annual evaporation to soil and root properties in two models of contrasting complexity. J. Hydrometeorol. 2003, 4, 1276–1290. [Google Scholar] [CrossRef]
- Thomas, A. Spatial and temporal characteristics of potential evapotranspiration trends over China. Int. J. Climatol. 2015, 20, 381–396. [Google Scholar] [CrossRef]
- Zhao, S.H.; Yang, Y.H.; Zhang, F.; Sui, X.X.; Yao, Y.J.; Zhao, N.; Zhao, Q.; Li, C.Q. Rapid evaluation of reference evapotranspiration in northern China. Arab. J. Geosci. 2015, 8, 647–657. [Google Scholar] [CrossRef]
- Iwasaki, H.; Saito, H.; Kuwao, K.; Maximov, T.C.; Hasegawa, S. Forest decline caused by high soil water conditions in a permafrost region. Hydrol. Earth Syst. Sci. Discuss. 2010, 14, 301–307. [Google Scholar] [CrossRef]
- Wang, K.; Dickinson, R.E.; Liang, S. Global atmospheric evaporative demand over land from 1973 to 2008. J. Clim. 2012, 25, 8353–8361. [Google Scholar] [CrossRef]
- Gao, G.; Chen, D.; Ren, G.; Chen, Y.; Liao, Y. Spatial and temporal variations and controlling factors of potential et in China: 1956–2000. J. Geogr. Sci. 2006, 16, 3–12. [Google Scholar] [CrossRef]












| Site Name | Lat, Lon | Elevation(m) | Land Cover Type | Time Period | Network |
|---|---|---|---|---|---|
| Changbaishan, Jilin | 42.40°N, 128.10°E | 761 | Mixed forest | 2002–2007 | China Flux |
| Laoshan, Heilongjiang | 45.28°N, 127.58°E | 340 | Larch forest | 2001–2007 | China Flux |
| Duolun1, Inner Mongolia | 42.045°N, 116.671°E | 1350 | Cropland | 2006 | Lathuile-Flux |
| Jinzhou, Liaoning | 41.18°N, 121.21°E | 22.3 | Cropland (maize) | 2008–2009 | CEOP |
| Duolun2, Inner Mongolia | 42.047°N, 116.284°E | 1350 | Grassland | 2006 | Lathuile-Flux |
| Tongyu, Jilin | 44.57°N, 122.88°E | 184 | Grassland | 2008 | CEOP |
| Site Name | Bias (mm/Month) | RMSE (mm/Month) | R2 | |||
|---|---|---|---|---|---|---|
| MS–PT | MOD16 | MS–PT | MOD16 | MS–PT | MOD16 | |
| Changbaishan | –11.04 | –13.14 | 18.68 | 22.13 | 0.94 | 0.92 |
| Laoshan | –7.35 | –13.54 | 25.39 | 25.5 | 0.76 | 0.79 |
| Duolun1 | –7.93 | –18.37 | 15.71 | 32.24 | 0.91 | 0.63 |
| Jinzhou | –27.78 | –42.13 | 30.15 | 47.09 | 0.46 | 0.46 |
| Duolun2 | –9.52 | –11.26 | 13.86 | 20.58 | 0.9 | 0.65 |
| Tongyu | –11.38 | –35.96 | 14.3 | 38.55 | 0.85 | 0.56 |
| ALL | –12.5 | –22.4 | 19.68 | 21.02 | 0.8 | 0.67 |
| Region | Season | Z | β | R/A |
|---|---|---|---|---|
| Northeast China | All | 1.46 | 0.45 | R |
| MAM | –0.14 | –0.04 | R | |
| JJA | 0.82 | 0.26 | R | |
| SON | 3.24 | 0.19 | A | |
| DJF | 2.42 | 0.05 | A | |
| The LH Basin | All | –0.78 | –0.52 | R |
| MAM | –0.25 | –0.13 | R | |
| JJA | –1.57 | –0.51 | R | |
| SON | 1.07 | 0.04 | R | |
| DJF | 2.71 | 0.08 | A | |
| The SJ Basin | All | 2.07 | 0.74 | A |
| MAM | 0.03 | –0.02 | R | |
| JJA | 1.74 | 0.48 | R | |
| SON | 3.85 | 0.24 | A | |
| DJF | 2.03 | 0.04 | A |
© 2017 by the authors. Licensee MDPI, Basel, Switzerland. This article is an open access article distributed under the terms and conditions of the Creative Commons Attribution (CC BY) license (http://creativecommons.org/licenses/by/4.0/).
Share and Cite
Zhang, L.; Yao, Y.; Wang, Z.; Jia, K.; Zhang, X.; Zhang, Y.; Wang, X.; Xu, J.; Chen, X. Satellite-Derived Spatiotemporal Variations in Evapotranspiration over Northeast China during 1982–2010. Remote Sens. 2017, 9, 1140. https://doi.org/10.3390/rs9111140
Zhang L, Yao Y, Wang Z, Jia K, Zhang X, Zhang Y, Wang X, Xu J, Chen X. Satellite-Derived Spatiotemporal Variations in Evapotranspiration over Northeast China during 1982–2010. Remote Sensing. 2017; 9(11):1140. https://doi.org/10.3390/rs9111140
Chicago/Turabian StyleZhang, Lilin, Yunjun Yao, Zhiqiang Wang, Kun Jia, Xiaotong Zhang, Yuhu Zhang, Xuanyu Wang, Jia Xu, and Xiaowei Chen. 2017. "Satellite-Derived Spatiotemporal Variations in Evapotranspiration over Northeast China during 1982–2010" Remote Sensing 9, no. 11: 1140. https://doi.org/10.3390/rs9111140
APA StyleZhang, L., Yao, Y., Wang, Z., Jia, K., Zhang, X., Zhang, Y., Wang, X., Xu, J., & Chen, X. (2017). Satellite-Derived Spatiotemporal Variations in Evapotranspiration over Northeast China during 1982–2010. Remote Sensing, 9(11), 1140. https://doi.org/10.3390/rs9111140

