Land Cover Characterization in West Sudanian Savannas Using Seasonal Features from Annual Landsat Time Series
Abstract
:1. Introduction
2. Materials and Methods
2.1. Study Area
2.2. Field Data
2.3. Landsat Images
2.4. Time Series Model
2.5. Burnt Area Detection and Removal
2.6. Feature Sets
2.7. Random Forest Classifcation and Regression
2.8. Accuracy Assessment
3. Results
3.1. The Influence of Burnt Areas to the Time Series Model
3.2. Seasonality of Different Land Cover Types and Precipitation
3.3. Land Cover Classifications
3.4. Tree Crown Cover Predictions
3.5. Maps of Land Cover Types and Tree Crown Cover
4. Discussion
4.1. Importance of Seasonal Features
4.2. Feasibility of the Harmonic Time Series Model for Computing Seasonal Features
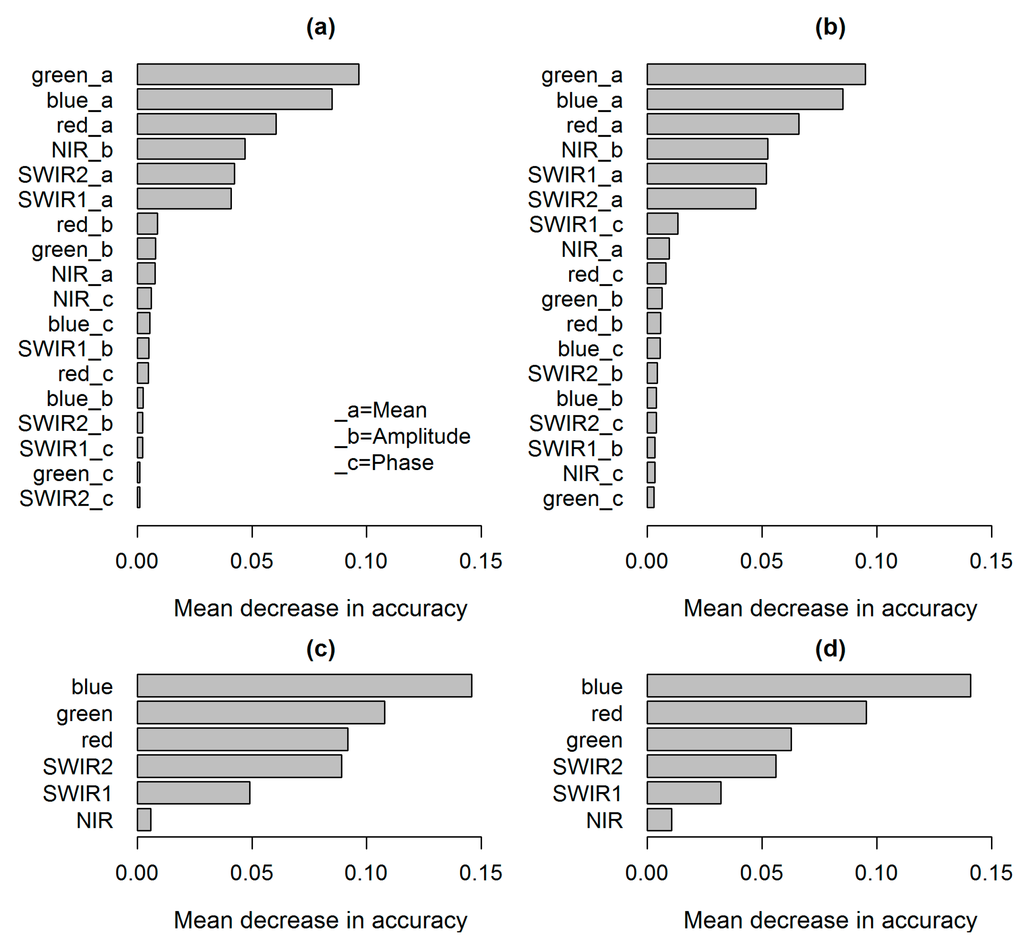
4.3. Feature Selection and Most Important Variables
4.4. Effect of Burnt Area Removal
5. Conclusions
Acknowledgments
Author Contributions
Conflicts of Interest
References
- Foody, G.M. Status of land cover classification accuracy assessment. Remote Sens. Environ. 2002, 80, 185–201. [Google Scholar] [CrossRef]
- Friedl, M.A.; Sulla-Menashe, D.; Tan, B.; Schneider, A.; Ramankutty, N.; Sibley, A.; Huang, X. MODIS Collection 5 global land cover: Algorithm refinements and characterization of new datasets. Remote Sens. Environ. 2010, 114, 168–182. [Google Scholar] [CrossRef]
- Heiskanen, J. Tree cover and height estimation in the Fennoscandian tundra-taiga transition zone using multiangular MISR data. Remote Sens. Environ. 2006, 103, 97–114. [Google Scholar] [CrossRef]
- Di Gregorio, A. Land Cover Classification System: Classification Concepts and User Manual: LCCS; Food and Agriculture Organization of the United Nations: Rome, Italy, 2005. [Google Scholar]
- Torello-Raventos, M.; Feldpausch, T.R.; Veenendaal, E.; Schrodt, F.; Saiz, G.; Domingues, T.F.; Djagbletey, G.; Ford, A.; Kemp, J.; Marimon, B.S.; et al. On the delineation of tropical vegetation types with an emphasis on forest/savanna transitions. Plant Ecol. Divers. 2013, 6, 101–137. [Google Scholar] [CrossRef]
- Hansen, M.C.; DeFries, R.S.; Townshend, J.R.G.; Carroll, M.; Dimiceli, C.; Sohlberg, R.A. Global percent tree cover at a spatial resolution of 500 m: First results of the modis vegetation continuous fields algorithm. Earth Interact. 2003, 7, 1–15. [Google Scholar] [CrossRef]
- Heiskanen, J.; Kivinen, S. Assessment of multispectral, -temporal and -angular modis data for tree cover mapping in the tundra-taiga transition zone. Remote Sens. Environ. 2008, 112, 2367–2380. [Google Scholar] [CrossRef]
- Food and Agriculture Organization of the United Nations (FAO). FRA 2015 Terms and Definitions. Available online: http://www.fao.org/docrep/017/ap862e/ap862e00.pdf (accessed on 20 January 2016).
- Sexton, J.O.; Noojipady, P.; Song, X.-P.; Feng, M.; Song, D.-X.; Kim, D.-H.; Anand, A.; Huang, C.; Channan, S.; Pimm, S.L.; et al. Conservation policy and the measurement of forests. Nature Clim. Chang. 2016, 6, 192–196. [Google Scholar] [CrossRef]
- Wulder, M.A.; Masek, J.G.; Cohen, W.B.; Loveland, T.R.; Woodcock, C.E. Opening the archive: How free data has enabled the science and monitoring promise of Landsat. Remote Sens. Environ. 2012, 122, 2–10. [Google Scholar] [CrossRef]
- Wulder, M.A.; Hilker, T.; White, J.C.; Coops, N.C.; Masek, J.G.; Pflugmacher, D.; Crevier, Y. Virtual constellations for global terrestrial monitoring. Remote Sens. Environ. 2015, 170, 62–76. [Google Scholar] [CrossRef]
- Hansen, M.C.; Defries, R.S.; Townshend, J.R.G.; Sohlberg, R. Global land cover classification at 1 km spatial resolution using a classification tree approach. Int. J. Remote Sens. 2000, 21, 1331–1364. [Google Scholar] [CrossRef]
- Kennedy, R.E.; Cohen, W.B.; Schroeder, T.A. Trajectory-Based change detection for automated characterization of forest disturbance dynamics. Remote Sens. Environ. 2007, 110, 370–386. [Google Scholar] [CrossRef]
- Zhu, Z.; Woodcock, C.E. Continuous change detection and classification of land cover using all available Landsat data. Remote Sens. Environ. 2014, 144, 152–171. [Google Scholar] [CrossRef]
- DeVries, B.; Verbesselt, J.; Kooistra, L.; Herold, M. Robust monitoring of small-scale forest disturbances in a tropical montane forest using Landsat time series. Remote Sens. Environ. 2015, 161, 107–121. [Google Scholar] [CrossRef]
- White, J.C.; Wulder, M.A.; Hobart, G.W.; Luther, J.E.; Hermosilla, T.; Griffiths, P.; Coops, N.C.; Hall, R.J.; Hostert, P.; Dyk, A.; et al. Pixel-Based image compositing for large-area dense time series applications and science. Can. J. Remote Sens. 2014, 40, 192–212. [Google Scholar] [CrossRef]
- Potapov, P.V.; Turubanova, S.A.; Hansen, M.C.; Adusei, B.; Broich, M.; Altstatt, A.; Mane, L.; Justice, C.O. Quantifying forest cover loss in Democratic Republic of the Congo, 2000–2010, with Landsat ETM+ data. Remote Sens. Environ. 2012, 122, 106–116. [Google Scholar] [CrossRef]
- Jakubauskas, M.E.; Legates, D.R.; Kastens, J.H. Crop identification using harmonic analysis of time-series AVHRR NDVI data. Comput. Electron. Agric. 2002, 37, 127–139. [Google Scholar] [CrossRef]
- Jönsson, P.; Eklundh, L. Timesat—A program for analyzing time-series of satellite sensor data. Comput. Geosci. 2004, 30, 833–845. [Google Scholar] [CrossRef]
- Müller, H.; Rufin, P.; Griffiths, P.; Barros Siqueira, A.J.; Hostert, P. Mining dense landsat time series for separating cropland and pasture in a heterogeneous Brazilian savanna landscape. Remote Sens. Environ. 2015, 156, 490–499. [Google Scholar] [CrossRef]
- Olson, D.M.; Dinerstein, E.; Wikramanayake, E.D.; Burgess, N.D.; Powell, G.V.N.; Underwood, E.C.; D’amico, J.A.; Itoua, I.; Strand, H.E.; Morrison, J.C.; et al. Terrestrial ecoregions of the world: A new map of life on earth: A new global map of terrestrial ecoregions provides an innovative tool for conserving biodiversity. Bioscience 2001, 51, 933–938. [Google Scholar] [CrossRef]
- Hijmans, R.J.; Cameron, S.E.; Parra, J.L.; Jones, P.G.; Jarvis, A. Very high resolution interpolated climate surfaces for global land areas. Int. J. Climatol. 2005, 25, 1965–1978. [Google Scholar] [CrossRef]
- Sawadogo, L.; Nygård, R.; Pallo, F. Effects of livestock and prescribed fire on coppice growth after selective cutting of Sudanian savannah in Burkina Faso. Ann. For. Sci. 2002, 59, 185–195. [Google Scholar] [CrossRef]
- Giglio, L.; Randerson, J.T.; van der Werf, G.R.; Kasibhatla, P.S.; Collatz, G.J.; Morton, D.C.; DeFries, R.S. Assessing variability and long-term trends in burned area by merging multiple satellite fire products. Biogeosciences 2010, 7, 1171–1186. [Google Scholar] [CrossRef]
- Gessner, U.; Knauer, K.; Kuenzer, C.; Dech, S. Land surface phenology in a west african savanna: Impact of land use, land cover and fire. In Remote Sensing Time Series; Kuenzer, C., Dech, S., Wagner, W., Eds.; Springer International Publishing: Dordrecht, The Netherlands, 2015; Volume 22, pp. 203–223. [Google Scholar]
- Vågen, T.-G.; Winowiecki, L.; Tamene Desta, L.; Tondoh, J. The Land Degradation Surveillance Framework (LDSF)—Field Guide v3-2013; World Agroforestry Centre: Nairobi, Kenya, 2013. [Google Scholar]
- UNEP. Land Health Surveillance: An Evidence-Based Approach to Land Ecosystem Management. Illustrated with a Case Study in the West Africa Sahel; United Nations Environment Programme: Nairobi, Kenya, 2012; Available online: http://www.unep.org/dewa/Portals/67/pdf/LHS_Report_lowres.pdf (accessed on 20 January 2016).
- Valbuena, R.; Heiskanen, J.; Aynekulu, E.; Pitkänen, S.; Packalen, P. Sensitivity of aboveground biomass estimates to height-diameter modeling in mixed-species West African woodlands. PLOS ONE 2016. submitted. [Google Scholar]
- Mehtätalo, L.; de-Miguel, S.; Gregoire, T.G. Modeling height-diameter curves for prediction. Can. J. For. Res. 2015, 45, 826–837. [Google Scholar] [CrossRef]
- Masek, J.G.; Vermote, E.F.; Saleous, N.E.; Wolfe, R.; Hall, F.G.; Huemmrich, K.F.; Feng, G.; Kutler, J.; Teng-Kui, L. A Landsat surface reflectance dataset for North America, 1990–2000. IEEE Geosci. Remote Sens. Lett. 2006, 3, 68–72. [Google Scholar] [CrossRef]
- Zhu, Z.; Woodcock, C.E. Object-Based cloud and cloud shadow detection in Landsat imagery. Remote Sens. Environ. 2012, 118, 83–94. [Google Scholar] [CrossRef]
- Verbesselt, J.; Zeileis, A.; Herold, M. Near real-time disturbance detection using satellite image time series. Remote Sens. Environ. 2012, 123, 98–108. [Google Scholar] [CrossRef]
- Chuvieco, E.; Martín, M.P.; Palacios, A. Assessment of different spectral indices in the red-near-infrared spectral domain for burned land discrimination. Int. J. Remote Sens. 2002, 23, 5103–5110. [Google Scholar] [CrossRef]
- Breiman, L. Random forests. Mach. Learn. 2001, 45, 5–32. [Google Scholar] [CrossRef]
- Liaw, A.; Wiener, M. Classification and regression by random forest. R News 2002, 2, 18–22. [Google Scholar]
- Karlson, M.; Ostwald, M.; Reese, H.; Sanou, J.; Tankoano, B.; Mattsson, E. Mapping tree canopy cover and aboveground biomass in Sudano-Sahelian woodlands using Landsat 8 and random forest. Remote Sens. 2015, 7, 10017–10041. [Google Scholar] [CrossRef]
- Genuer, R.; Poggi, J.-M.; Tuleau-Malot, C. Variable selection using random forests. Pattern Recognit. Lett. 2010, 31, 2225–2236. [Google Scholar] [CrossRef]
- Brovelli, M.A.; Crespi, M.; Fratarcangeli, F.; Giannone, F.; Realini, E. Accuracy assessment of high resolution satellite imagery orientation by leave-one-out method. ISPRS J. Photogramm. Remote Sens. 2008, 63, 427–440. [Google Scholar] [CrossRef]
- Foody, G.M.; Ajay, M. A relative evaluation of multiclass image classification by support vector machines. IEEE Trans. Geosci. Remote Sens. 2004, 42, 1335–1343. [Google Scholar] [CrossRef]
- Esch, T.; Metz, A.; Marconcini, M.; Keil, M. Combined use of multi-seasonal high and medium resolution satellite imagery for parcel-related mapping of cropland and grassland. Int. J. Appl. Earth Obs. Geoinf. 2014, 28, 230–237. [Google Scholar] [CrossRef]
- Senf, C.; Leitão, P.J.; Pflugmacher, D.; van der Linden, S.; Hostert, P. Mapping land cover in complex mediterranean landscapes using Landsat: Improved classification accuracies from integrating multi-seasonal and synthetic imagery. Remote Sens. Environ. 2015, 156, 527–536. [Google Scholar] [CrossRef]
- Brandt, M.; Hiernaux, P.; Tagesson, T.; Verger, A.; Rasmussen, K.; Diouf, A.A.; Mbow, C.; Mougin, E.; Fensholt, R. Woody plant cover estimation in drylands from earth observation based seasonal metrics. Remote Sens. Environ. 2016, 172, 28–38. [Google Scholar] [CrossRef]
- Wagenseil, H.; Samimi, C. Assessing spatio-Temporal variations in plant phenology using Fourier analysis on NDVI time series: Results from a dry savannah environment in Namibia. Int. J. Remote Sens. 2006, 27, 3455–3471. [Google Scholar] [CrossRef]
- Oetter, D.R.; Cohen, W.B.; Berterretche, M.; Maiersperger, T.K.; Kennedy, R.E. Land cover mapping in an agricultural setting using multiseasonal thematic mapper data. Remote Sens. Environ. 2001, 76, 139–155. [Google Scholar] [CrossRef]
- Wardlow, B.D.; Egbert, S.L. Large-Area crop mapping using time-series MODIS 250 m NDVI data: An assessment for the U.S. Central Great Plains. Remote Sens. Environ. 2008, 112, 1096–1116. [Google Scholar] [CrossRef]
- Bobée, C.; Ottlé, C.; Maignan, F.; de Noblet-Ducoudré, N.; Maugis, P.; Lézine, A.M.; Ndiaye, M. Analysis of vegetation seasonality in Sahelian environments using MODIS LAI, in association with land cover and rainfall. J. Arid Environ. 2012, 84, 38–50. [Google Scholar] [CrossRef]
- Liu, J.; Heiskanen, J.; Aynekulu, E.; Pellikka, P.K.E. Seasonal variation of land cover classification accuracy of Landsat 8 images in Burkina Faso. Int. Arch. Photogramm. Remote Sens. Spat. Inf. Sci. 2015. [Google Scholar] [CrossRef]
- Peña, M.A.; Brenning, A. Assessing fruit-tree crop classification from Landsat-8 time series for the Maipo Valley, Chile. Remote Sens. Environ. 2015, 171, 234–244. [Google Scholar]
- Hüttich, C.; Gessner, U.; Herold, M.; Strohbach, B.; Schmidt, M.; Keil, M.; Dech, S. On the suitability of MODIS time series metrics to map vegetation types in dry savanna ecosystems: A case study in the Kalahari of NE Namibia. Remote Sens. 2009. [Google Scholar] [CrossRef]
- Naidoo, L.; Cho, M.A.; Mathieu, R.; Asner, G. Classification of savanna tree species, in the Greater Kruger National Park region, by integrating hyperspectral and Lidar data in a Random Forest data mining environment. ISPRS J. Photogramm. Remote Sens. 2012, 69, 167–179. [Google Scholar]
- Koutsias, N.; Pleniou, M. Comparing the spectral signal of burned surfaces between Landsat 7 ETM+ and Landsat 8 OLI sensors. Int. J. Remote Sens. 2015, 36, 3714–3732. [Google Scholar] [CrossRef]









| Month | Number of Images | Cloud-Free Observations Per Pixel | |
|---|---|---|---|
| Before Burnt Pixel Removal | After Burnt Pixel Removal | ||
| November | 4 | 2.91 | 2.86 |
| December | 4 | 2.92 | 2.75 |
| January | 4 | 3.48 | 2.98 |
| February | 3 | 2.89 | 2.82 |
| March | 3 | 2.79 | 2.69 |
| April | 3 | 1.94 | 1.90 |
| May | 1 | 1.00 | 1.00 |
| June | 2 | 1.30 | 1.15 |
| July | 2 | 1.44 | 1.26 |
| August | 2 | 0.64 | 0.49 |
| September | 3 | 1.94 | 1.81 |
| October | 4 | 2.08 | 1.94 |
| All | 35 | 25.33 | 23.65 |
| Feature Set | OA (All Features) | Feature Selection | |
|---|---|---|---|
| OA | Selected Variables 1 | ||
| Dry season image (12 November 2013) | 68.7 | 68.7 | blue, green, red, NIR, SWIR1, SWIR2 |
| Rainy season image (8 June 2014) | 66.1 | 66.1 | blue, green, red, SWIR1, SWIR2 |
| Seasonal features (before burnt pixel removal) | 73.7 | 75.1 | blue_a, green_a, red_a, SWIR1_a |
| Seasonal features (after burnt pixel removal) | 75.5 | 76.2 | blue_a, green_a, red_a, NIR_b, SWIR1_a, SWIR2_a |
| Feature Set | Grassland Savanna | Woodland Savanna | Closed Woodland | Cropland | ||||||||
|---|---|---|---|---|---|---|---|---|---|---|---|---|
| Freq | UA | PA | Freq | UA | PA | Freq | UA | PA | Freq | UA | PA | |
| Dry season image (12 November 2013) | 6.0 | 12.4 | 5.4 | 44.5 | 64.5 | 78.3 | 4.7 | 49.4 | 27.9 | 44.8 | 84.2 | 89.9 |
| Rainy season image (8 June 2014) | 4.1 | 0.0 | 0.0 | 46.5 | 61.8 | 72.0 | 3.8 | 40.6 | 27.7 | 45.6 | 82.4 | 91.5 |
| Seasonal features (before burnt area removal) | 9.9 | 33.4 | 16.7 | 39.8 | 73.4 | 82.2 | 5.8 | 63.8 | 43.9 | 44.5 | 85.0 | 94.7 |
| Seasonal features (after burnt area removal) | 4.0 | 6.3 | 2.2 | 45.0 | 75.5 | 91.9 | 5.5 | 60.6 | 34.2 | 45.5 | 86.1 | 94.3 |
| Feature SET | All Variables | Feature Selection | |||
|---|---|---|---|---|---|
| R2 | RMSE (%) | R2 | RMSE (%) | Selected Variables 1 | |
| Dry season image (12 November 2013) | 0.58 | 11.7 | 0.58 | 11.7 | blue, green, red, NIR, SWIR1, SWIR2 |
| Rainy season image (8 June 2014) | 0.59 | 11.6 | 0.60 | 11.4 | blue, green, red, NIR |
| Seasonal features (before burnt area removal) | 0.62 | 11.1 | 0.65 | 10.6 | blue_a, green_a, red_c, SWIR1_a, SWIR2_a |
| Seasonal features (after burnt area removal) | 0.64 | 10.8 | 0.67 | 10.4 | blue_a, green_a, NIR_b, SWIR1_c, SWIR2_a |
© 2016 by the authors; licensee MDPI, Basel, Switzerland. This article is an open access article distributed under the terms and conditions of the Creative Commons Attribution (CC-BY) license (http://creativecommons.org/licenses/by/4.0/).
Share and Cite
Liu, J.; Heiskanen, J.; Aynekulu, E.; Maeda, E.E.; Pellikka, P.K.E. Land Cover Characterization in West Sudanian Savannas Using Seasonal Features from Annual Landsat Time Series. Remote Sens. 2016, 8, 365. https://doi.org/10.3390/rs8050365
Liu J, Heiskanen J, Aynekulu E, Maeda EE, Pellikka PKE. Land Cover Characterization in West Sudanian Savannas Using Seasonal Features from Annual Landsat Time Series. Remote Sensing. 2016; 8(5):365. https://doi.org/10.3390/rs8050365
Chicago/Turabian StyleLiu, Jinxiu, Janne Heiskanen, Ermias Aynekulu, Eduardo Eiji Maeda, and Petri K. E. Pellikka. 2016. "Land Cover Characterization in West Sudanian Savannas Using Seasonal Features from Annual Landsat Time Series" Remote Sensing 8, no. 5: 365. https://doi.org/10.3390/rs8050365
APA StyleLiu, J., Heiskanen, J., Aynekulu, E., Maeda, E. E., & Pellikka, P. K. E. (2016). Land Cover Characterization in West Sudanian Savannas Using Seasonal Features from Annual Landsat Time Series. Remote Sensing, 8(5), 365. https://doi.org/10.3390/rs8050365

