Assessing the Effects of Suomi NPP VIIRS M15/M16 Detector Radiometric Stability and Relative Spectral Response Variation on Striping
Abstract
:1. Introduction
2. Methodology
2.1. Radiative Transfer Model
2.2. Detector Level RSR

2.3. Data Processing
3. Model Results and Discussion

| Name | Columnar Liquid Water Equivalent (mm) |
|---|---|
| 1976 Standard Atmosphere | 17 |
| Tropical | 48 |
| Mid-latitude summer (MLS) | 35 |
| Mid-latitude winter (MLW) | 11 |
| Sub-arctic summer (SAS) | 25 |
| Sub-arctic winter (SAW) | 5 |

4. Striping in VIIRS Earth Observation Data
| Cases | Granule |
|---|---|
| Tropical case 1: Bay of Bengal | d20130619_t0746444 |
| Tropical case 2: Bay of Bengal | d20140622_t0753301 |
| Tropical case 3: Bay of Bengal | d20140703_t0748470 |
| Polar case 1: Alaska | d20140520_t2158272 |
| Polar case 2: Alaska | d20140603_t2237573 |
| Polar case 3: Polar | d20150421_t1802552 |
4.1. Earth View Striping Quantification Using Cumulative Histogram Method





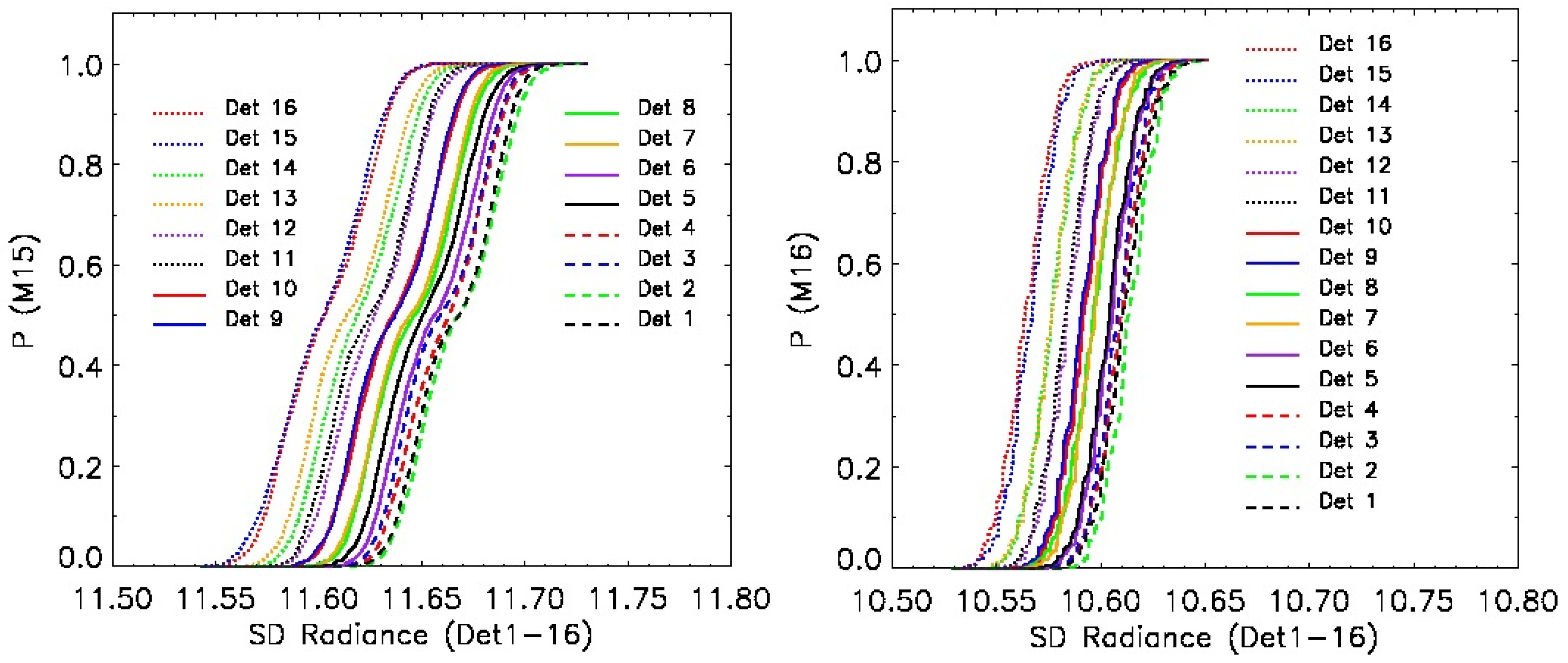
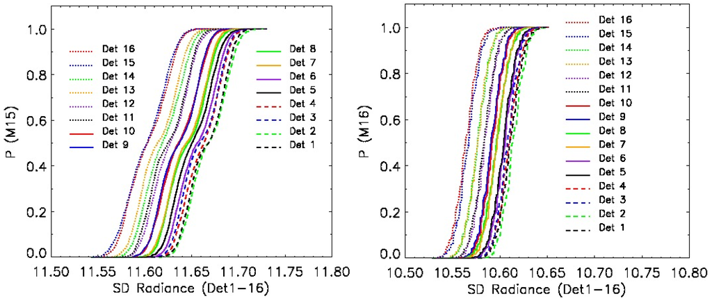
4.2. VIIRS Striping Analysis Using Onboard Calibrated Data
A. Noise Analysis Using Raw Data from BB, SV, and SD




B. Noise Analysis Using Solar Diffuser Thermal Radiance from Operational Calibration Algorithm



C. Correlation between dBB and dSD for Detector 1 in M15
| Cases | Granule | Coeff.* for det 1 in M15 | Allan Deviation for SD_Rad In M15 | Allan Deviation for SD_Rad In M16 | ||||
|---|---|---|---|---|---|---|---|---|
| Along Track | Along Scan | Ratio | Along Track | Along Scan | Ratio | |||
| Bengal: case1 | d20130619_t0746444 | 0.8345 | 0.00919 | 0.00479 | 1.91827 | 0.00709 | 0.00442 | 1.60429 |
| Bengal: case2 | d20140622_t0753301 | 0.8151 | 0.00920 | 0.00486 | 1.89414 | 0.00714 | 0.00449 | 1.59022 |
| Bengal: case3 | d20140703_t0748470 | 0.7912 | 0.00901 | 0.00479 | 1.88105 | 0.00704 | 0.00443 | 1.58842 |
| Alaska: case 1 | d20140520_t2158272 | 0.5981 | 0.00827 | 0.00483 | 1.71272 | 0.00652 | 0.00443 | 1.47338 |
| Alaska: case 2 | d20140603_t2237573 | 0.4225 | 0.00842 | 0.00479 | 1.75669 | 0.00647 | 0.00439 | 1.47115 |
| Polar: case 3 | d20150421_t1802552 | 0.011 | 0.00793 | 0.00484 | 1.63808 | 0.00585 | 0.00441 | 1.32739 |

| Cases | Granule | Correlation Coefficients for Det 1 in M15 | dBB Range | dSD Range |
|---|---|---|---|---|
| Bengal: case 1 | d20130619_t0746444 | 0.8345 | 181.985 | 129.953 |
| Bengal: case 2 | d20140622_t0753301 | 0.8151 | 179.776 | 130.252 |
| Bengal: case 3 | d20140703_t0748470 | 0.7912 | 179.952 | 130.475 |
| Alaska: case 1 | d20140520_t2158272 | 0.5981 | 180.691 | 129.168 |
| Alaska: case 2 | d20140603_t2237573 | 0.4225 | 181.486 | 129.872 |
| Polar: case 3 | d20150421_t1802552 | 0.011 | 179.917 | 124.966 |
5. Conclusions
Acknowledgments
Author Contributions
Conflicts of Interest
References
- Miller, S.D.; Lee, T.F.; Fennimore, R.L. Satellite-based imagery techniques for daytime cloud/snow delineation from MODIS. J. Appl. Meteor. 2005, 44, 987–997. [Google Scholar] [CrossRef]
- Bouali, M.; Ignatov, A. Adaptive reduction of striping for improved sea surface temperature imagery from Suomi National Polar Orbiting Partnership (S-NPP) Visible Infrared Imaging Radiometer Suite (VIIRS). J. Atmos. Ocean. Technol. 2014, 31, 150–163. [Google Scholar] [CrossRef]
- Padula, F.; Cao, C. Preliminary study of the Suomi NPP VIIRS detector-level spectral response function effects for the long-wave infrared bands M15 and M16. Proc. SPIE 2014. [Google Scholar] [CrossRef]
- Padula, F.; Cao, C. Detector-level spectral characterization of the Suomi NPP VIIRS long-wave infrared bands M15 & M16. Appl. Opt. 2015, 54, 5109–5116. [Google Scholar] [PubMed]
- Godin, R. VIIRS Sea Surface Temperature Algorithm Theoretical Basis Document (ATBD); Goddard Space Flight Center Greenbelt: Greenbelt, MD, USA, 2013. [Google Scholar]
- Liou, K.N. An Introduction to Atmospheric Radiation, 2nd ed.; International Geophysics Series; Academic Press: San Deigo, CA, USA, 2002; Volume 84. [Google Scholar]
- Berk, A.; Anderson, G.P.; Acharya, P.K.; Shettle, E.P. MODTRAN 5.2.1 User’s Manual; Space Vehicles Directorate: Hanscom AFB, MA, USA, 2011. [Google Scholar]
- Clough, S.A.; Iacono, M.J.; Moncet, J.-L. Line-by-line calculation of atmospheric fluxes and cooling rates: Application to water vapor. J. Geophys. Res. 1992, 97, 15761–15785. [Google Scholar] [CrossRef]
- Clough, S.A.; Shephard, M.W.; Mlawer, E.J.; Delamere, J.S.; Iacono, M.J.; Cady-Pereira, K.; Boukabara, S.; Brown, P.D. Atmospheric radiative transfer modeling: A summary of the AER codes. J. Quant. Spectrosc. Radiat. Transf. 2005, 91, 233–244. [Google Scholar] [CrossRef]
- Alvarado, M.J.; Payne, V.H.; Mlawer, E.J.; Uymin, G.; Shephard, M.W.; Cady-Pereira, K.E.; Delamere, J.S.; Moncetm, J.L. Performance of the Line-By-Line Radiative Transfer Model (LBLRTM) for temperature, water vapor, and trace gas retrievals: Recent updates evaluated with IASI case studies. Atmos. Chem. Phys. 2013, 13, 6687–6711. [Google Scholar] [CrossRef]
- Moncet, J.L.; Uymin, G.; Lipton, A.E.; Snell, H.E. Infrared radiance modeling by optimal spectral sampling. J. Atmos. Sci. 2008, 65, 3917–3934. [Google Scholar] [CrossRef]
- Rothman, L.S.; Gordon, I.E.; Barbe, A.; Benner, D.C.; Bernath, P.F.; Birk, M.; Boudon, V.; Brown, L.R.; Campargue, A.; Champion, J.-P.; et al. The HITRAN 2008 molecular spectroscopic database. J. Quant. Spectrosc. Radiat. Transf. 2009, 110, 533–572. [Google Scholar] [CrossRef]
- Rosenkranz, P.W. Shape of the 5 mm oxygen band in the atmosphere. IEEE Trans. Antennas Propag. 1975, 23, 498–506. [Google Scholar] [CrossRef]
- Mlawer, E.J.; Payne, V.H.; Moncet, J.-L.; Delamere, J.S.; Alvarado, M.J.; Tobin, D.D. Development and recent evaluation of the MK_CKD model of continuum absorption. Philos. Trans. R. Soc. 2012, 370, 2520–2556. [Google Scholar] [CrossRef] [PubMed]
- Martin, S. An Introduction to Ocean Remote Sensing; Cambridge University Press: Cambridge, UK, 2004. [Google Scholar]
- Weinreb, M.P.; Xie, R.R.; Lienesch, J.H.; Crosby, D.S. Destriping GOES images by matching empirical distribution functions. Remote Sens. Environ. 1989, 29, 185–195. [Google Scholar] [CrossRef]
- Li, Z.; Yu, F. A Real Time De-Striping Algorithm for Geostationary Operational Environmental Satellite (GOES) 15 Sounder Images. Available online: http://digitalcommons.usu.edu/cgi/viewcontent.cgi?filename=0&article=1197&context=calcon&type=additional (accessed on 6 February 2016).
- Allan, D.W.; Ashby, N.; Hodge, C.C. Appendix A: Time and frequency measures accuracy, error, precision, predictability, stability, and uncertainty. In The Science of Timekeeping; Hewlett Packard Application Note 1289; Hewlett-Packard Company: Englewood, CO, USA, 1997; pp. 56–65. [Google Scholar]
- Cao, C.; Xiong, X.; Wolfe, R.; De Luccia, F.; Liu, Q.; Blonski, S.; Lin, G.; Nishihama, M.; Pogorzala, D.; Oudrari, H. Visible Infrared Imaging Radiometer Suite (VIIRS) Sensor Data Record (SDR) User’s Guide, version 1.2; National Oceanic and Atmospheric Administration, National Environmental Satellite, Data, and Information Service: Washington, DC, USA, September 2013. [Google Scholar]
- Baker, N.; Kilcoyne, H.; NOAA. Joint Polar Satellite System (JPSS) VIIRS Radiometric Calibration Algorithm Theoretical Basis Document. Available online: http://npp.gsfc.nasa.gov/sciencedocs/2015-06/474-00027_ATBD-VIIRS-Radiometric-Calibration_C.pdf (accessed on 6 February 2016).
© 2016 by the authors; licensee MDPI, Basel, Switzerland. This article is an open access article distributed under the terms and conditions of the Creative Commons by Attribution (CC-BY) license (http://creativecommons.org/licenses/by/4.0/).
Share and Cite
Wang, Z.; Cao, C. Assessing the Effects of Suomi NPP VIIRS M15/M16 Detector Radiometric Stability and Relative Spectral Response Variation on Striping. Remote Sens. 2016, 8, 145. https://doi.org/10.3390/rs8020145
Wang Z, Cao C. Assessing the Effects of Suomi NPP VIIRS M15/M16 Detector Radiometric Stability and Relative Spectral Response Variation on Striping. Remote Sensing. 2016; 8(2):145. https://doi.org/10.3390/rs8020145
Chicago/Turabian StyleWang, Zhuo, and Changyong Cao. 2016. "Assessing the Effects of Suomi NPP VIIRS M15/M16 Detector Radiometric Stability and Relative Spectral Response Variation on Striping" Remote Sensing 8, no. 2: 145. https://doi.org/10.3390/rs8020145
APA StyleWang, Z., & Cao, C. (2016). Assessing the Effects of Suomi NPP VIIRS M15/M16 Detector Radiometric Stability and Relative Spectral Response Variation on Striping. Remote Sensing, 8(2), 145. https://doi.org/10.3390/rs8020145

