Abstract
Icebergs pose significant risks to shipping, offshore oil exploration, and underwater pipelines. Detecting and monitoring icebergs in the North Atlantic Ocean, where darkness and cloud cover are frequent, is particularly challenging. Synthetic aperture radar (SAR) serves as a powerful tool to overcome these difficulties. In this paper, we propose a method for automatically detecting and classifying icebergs in various sea conditions using C-band dual-polarimetric images from the RADARSAT Constellation Mission (RCM) collected throughout 2022 and 2023 across different seasons from the east coast of Canada. This method classifies SAR imagery into four distinct classes: open water (OW), which represents areas of water free of icebergs; open water with target (OWT), where icebergs are present within open water; sea ice (SI), consisting of ice-covered regions without any icebergs; and sea ice with target (SIT), where icebergs are embedded within sea ice. Our approach integrates statistical features capturing subtle patterns in RCM imagery with high-dimensional features extracted using a pre-trained Vision Transformer (ViT), further augmented by climate parameters. These features are classified using XGBoost to achieve precise differentiation between these classes. The proposed method achieves a low false positive rate of 1% for each class and a missed detection rate ranging from 0.02% for OWT to 0.04% for SI and SIT, along with an overall accuracy of 96.5% and an area under curve (AUC) value close to 1. Additionally, when the classes were merged for target detection (combining SI with OW and SIT with OWT), the model demonstrated an even higher accuracy of 98.9%. These results highlight the robustness and reliability of our method for large-scale iceberg detection along the east coast of Canada.
1. Introduction
Over the past few decades, significant progress has been made in iceberg detection, yet challenges remain in ensuring effective monitoring, which continues to impact the safety and efficiency of marine operations. To address these challenges, substantial efforts have been directed toward developing remote sensing systems capable of reliable iceberg detection under all weather conditions. Detection systems such as platform radar, vessel radar, aerial surveillance, and satellite monitoring play a critical role in tracking iceberg movement, enabling timely alerts and informed decision-making to mitigate risks in marine environments [1]. One of the most widely used technologies is satellite-based synthetic aperture radar (SAR), known for its ability to monitor large areas in any weather, thereby enhancing iceberg tracking along the Canadian east coast [2,3].
SAR operates by transmitting microwave pulses and capturing the reflected signals to generate detailed images [4]. It can detect icebergs in both open water (OW) and sea ice (SI), as each environment produces different radar reflections [5,6]. SAR targets in open water, including icebergs, typically appear as bright blocks or dots against the darker background [7]. The most common method for detecting icebergs in such imagery is thresholding the SAR backscattering coefficient, σ0, using techniques such as constant false alarm rate (CFAR) [8]. However, CFAR struggles to detect icebergs in SI because the intensity distributions of icebergs and sea ice often overlap, resulting in a high number of false alarms (FAs) [9] and missed detection (MDs). To overcome these limitations, Deep learning (DL)-based algorithms have grown in popularity in different areas of remote sensing image analysis over the past decade including target detection in SAR images [10]. DL generally demands a large dataset for efficient training, but the limited availability of labeled SAR data has presented a challenge. Consequently, much of the research in SAR image processing has increasingly focused on transfer learning (e.g., [11,12]). Transfer learning is a DL approach that use the weights of a pre-trained model and adapts it for a particular task by fine-tuning it with a smaller, domain-specific dataset [13,14,15,16]. Convolutional Neural Networks (CNNs) are a DL technique commonly employed in computer vision tasks. Their hierarchical structure enables them to efficiently extract both low-level and high-level image features [17,18,19]. A key component of CNNs is the convolution operation, which captures local interactions between elements (such as contour and edge information) in the input image. However, the local receptive field in CNNs restricts the ability to model long-range dependencies within an image, such as relationships between distant parts [20].
Numerous studies have extensively explored iceberg detection in SAR imagery employing machine learning (ML) methods. The first autonomous ML methods were applied for the detection of icebergs from SAR images in the pan-Antarctic near-coastal zone, resulting in a detection accuracy of 97.8% and high FAs [21]. After that, M. Barbat et al. [22] proposed an adaptive ML method centered on super pixel segmentation, ensemble learning and incremental learning to improve automatic iceberg detection in SAR images with an average classification accuracy of 97.5 ± 0.6%, and FAs and MD rates of 2.3 ± 0.4% and 3.3 ± 0.4%. In [23], the authors proposed an ML approach extended by automatic shape-based tracking capabilities reliable for automatic detection and tracking of icebergs, even in the presence of SI. However, these methods have limitations, as the datasets primarily include large icebergs that are visually distinguishable from clutter and sea ice, restricting their applicability to smaller or less discernible icebergs. Another study utilized feature engineering and feature extraction models on quad-pol C-band SAR data for accurate iceberg boundary detection [24]. Similarly, the authors in [25] demonstrated that combining CNN-derived features with advanced texture filtering can improve SAR-based iceberg monitoring in high-noise environments. However, these models depend on high-resolution SAR images and may not perform reliably with lower-resolution images, such as RCM data with a 50 m resolution.
In conclusion, these methods fail to detect small icebergs in coarse-resolution RCM images, where an iceberg may occupy as little as a single pixel, making it difficult to distinguish from clutter and sea ice. Additionally, our data were collected from the east coast of Canada, where harsh environmental factors, such as high wind speeds, further complicate target detection in satellite imagery [16]. These challenges motivate us to develop a novel approach for detecting icebergs in RCM images, both in sea ice and in open water.
In this paper, we propose ML-based feature extraction using a pre-trained ViT-B/16 model. The 768 features extracted by the model are combined with statistical features for each HH, HV, and HH/HV band. Subsequently, the best 550 selected features, combined with climate parameters and incidence angle, are classified using the XGBoost classifier (version 1.7.6) [26]. The classifier output determines if the patch contains an iceberg; if so, it further classifies the iceberg as being in sea ice or open water.
Contributions: This paper makes two significant contributions to the existing body of literature. First, we approach iceberg detection through a four-class classification framework, where icebergs in open water and sea ice are treated as distinct classes. This distinction is crucial because a single detection algorithm is not equally effective for both backgrounds, as each presents unique features. By adopting this approach, we not only detect icebergs but also differentiate sea ice from open water, thereby addressing three problems simultaneously with a single algorithm.
Second, we propose a novel feature set that combines ViT-based features with statistical and environmental features and then classifies them through an ML classifier. We demonstrate the effectiveness of this feature set in reliably detecting icebergs in sea ice and open water.
2. Materials and Methods
2.1. Datasets
2.1.1. RADARSAT Constellation Mission (RCM)
RCM, a Canadian SAR program, provides advanced Earth observation capabilities through a constellation of three identical C-band SAR-equipped satellites. This configuration significantly enhances spatial coverage and temporal resolution, enabling consistent monitoring relatively independently of weather conditions. RCM’s multi-polarization modes—including HH, VV, HV, VH, and compact polarization—facilitate detailed analysis of surface properties, orientation, and dynamic changes. The mission accommodates spatial resolutions from 5 to 100 m, supporting a broad range of observational needs [27].
In this research, we used a subset of RCM data, comprising 150 calibrated GeoTIFF images collected from March 2022 to September 2023. The images were acquired in medium resolution (50 m) mode with dual polarization (HH+HV), providing robust data for distinguishing between icebergs in OW and SI conditions. The study area includes diverse locations east of Newfoundland and Labrador, capturing a range of environmental conditions and target scenarios.
The RCM dataset serves as both the training and testing data in this research. Images from 2023 were used for training, while those from 2022 were reserved for testing. This split ensures no data leakage between the training and testing sets, thereby maintaining the integrity of the evaluation process. Ground truth labels were developed and validated by GIS specialists at C-CORE. These labels were further confirmed through rigorous cross-referencing with multiple independent data sources, including Sentinel-2, Landsat 8/9, Sentinel-1, the Canadian Ice Service (CIS), and flight data.
Table 1 provides a detailed summary of the dataset, while Figure 1 illustrates the temporal and spatial distribution of targets. Additionally, Figure 2 presents four examples of RCM images converted to RGB format and segmented into 100 × 100-pixel patches (equivalent to a 5 km × 5 km area) for training and testing purposes.
Table 1.
Characteristics of different satellite data sources used for this study.
Figure 1.
Distribution of targets over date and location.
Figure 2.
These figures show four sample RGB images from the RCM dataset, where Red = HH, Green = HV, and Blue = (HH-HV)/2. (A,B) depict OW and SI, while (C,D) show icebergs in OW and SI. Only red circles highlight icebergs; other bright pixels represent clutter or sea ice.
2.1.2. ERA5
The Copernicus Climate Change Service (C3S) provides ECMWF reanalysis data products, including ERA5, the fifth-generation atmospheric reanalysis of the global climate. ERA5 combines model and observational data to produce a detailed global dataset, serving as a replacement for the earlier ERA-Interim. In this study, we utilized ERA5 hourly data from January 2022 to December 2023 as ground truth for climate parameters. The dataset includes 2 m temperature and 10 m u- and v-components of wind, with a spatial resolution of 0.25° × 0.25° and a temporal resolution of one hour. We used the 10 m u- and v-components of wind to calculate wind speed as the magnitude and wind direction as the angle of the (u10, v10) vector. For each image patch, we computed these parameters by interpolating based on the actual latitude and longitude of the patch center.
2.1.3. Digital Ice Chart
The Ice Archive dataset from the CIS provides historical ice charts, containing information on SI and icebergs for regions like the Arctic and Hudson Bay. This dataset was used to validate the SI and OW zones in RCM imagery, supporting the accuracy evaluation of classifications within the RCM dataset (https://iceweb1.cis.ec.gc.ca/Archive/page1.xhtml (accessed on 19 August 2024).
2.2. Proposed Method
In this paper, we employ pre-trained transformers, enhanced by incorporating statistical features alongside those extracted from the ViT model. This combination of features is refined through a pruning process, in which the top 550 features are chosen according to their mutual information [28] with the target variable. These selected features are further integrated with relevant climate parameters that impact target detection in satellite imagery, as well as with the incident angle. This comprehensive feature set is then used to classify not only SI from OW but also distinguish targets from non-targets within each of these environments. The system architecture is illustrated in Figure 3. As illustrated, images from the RCM dataset undergo initial preprocessing, followed by parallel feature extraction stages. The extracted features are then merged, and classification is performed using XGBoost. The model outputs probabilities across four classes: OW, iceberg in OW, SI, and iceberg within SI. Further details regarding each component are provided in the following sections.
Figure 3.
Block diagram illustrating the proposed system.
2.2.1. Preprocessing
Our raw dataset consisted of calibrated GeoTIFF images, where channel one contained HH values, channel two contained HV values, and channel three contained incidence angle values. Each image had a size of 31,000 × 21,000 pixels. Since these images included substantial land areas, a land mask was initially applied to exclude non-water regions. In the next step, the image was divided into 100 × 100-pixel patches. The algorithm aims to classify these image patches. The preprocessing approach varied depending on the feature extraction method used.
For feature extraction with the ViT model, normalized RGB images were required, whereas the additional statistical features were extracted directly from the raw values of HH, HV, and HH-HV in dB for each patch without further preprocessing. This ensured that critical signal characteristics essential for classification were preserved, as certain preprocessing steps, such as despeckling, could alter these features. To convert the SAR data into RGB images compatible with the ViT model, we mapped the SAR channels to RGB as follows: R = HH, G = HV, and B = (HH − HV)/2. Each channel was scaled to a 0–255 range and converted to tensors. Since the HH channel is particularly sensitive to speckle noise, we further enhanced these RGB images with despeckling filters, specifically testing mean, bilateral, and Lee filters, as shown in Figure 4. While all filters smoothed the background, the bilateral filter compromised target detail, and the Lee filter significantly increased computational complexity. Therefore, we selected the mean filter, as it offered a good balance by preserving essential image details while also reducing runtime.
Figure 4.
The impact of despeckling on iceberg images in the HH channel from the SAR dataset, using mean, bilateral, and Lee filters.
2.2.2. ViT Model
The ViT-B/16 model [29], illustrated in the diagram, is a DL architecture designed for image recognition and classification tasks. In this model, each 100 × 100 RGB image patch is divided into smaller patches, which are then flattened and embedded with positional information before being fed into the Transformer encoder [30]. This encoder comprises multiple layers of self-attention mechanisms and normalization operations [31], capturing complex spatial and contextual relationships within the image patches. The ViT model outputs a high-dimensional feature vector with 768 features, representing the rich spatial patterns and texture variations within the SAR imagery. This feature set, combined with additional statistical and climate-related parameters, supports the accurate classification of OW, SI, and targets such as icebergs, as shown in the subsequent steps of the classification pipeline.
2.2.3. Feature Extraction
Statistical Features
For each patch, a total of 24 statistical features were extracted from the raw dB values of HH, HV, and HH-HV polarization channels. Since the gap between HH and HV in OW is significantly larger than in other classes SI, SI target (SIT), and OW target (OWT), we decided to extract features from HH-HV. For each band, we computed 8 statistical features as follows:
- Minimum Intensity: The minimum intensity represents the smallest pixel value present in the image, indicating the darkest or least intense region.
- Maximum Intensity: The maximum intensity refers to the largest pixel value in the image, representing the brightest or most intense region.
- Mean Intensity (μ): Average Intensity is the mean pixel value of all the pixels in the image.
- Minimum and maximum of windowed min/max ratio (M1, M2): To capture finer spatial details from intensity variations, we calculated the ratio of the minimum to the maximum intensity within each 4 × 4 non-overlapping windows. This process was applied across all 625 windows in the image, and the global minimum and maximum values of these ratios were determined.
- Standard Deviation of Intensities: The standard deviation measures the dispersion or variability of pixel intensity values around the mean, indicating how spread out the pixel values are in the image:
- Σ represents the summation over all pixels in the target area.
- is the intensity value of each pixel.
- is the mean intensity value of the target area.
- is the total number of pixels.
- 6.
- Skewness: Skewness quantifies the asymmetry of the probability distribution of a real-valued random variable. It describes how much a distribution deviates from being symmetric. Mathematically, skewness is expressed as:
- 7.
- Kurtosis: Kurtosis quantifies the “tailedness” of the probability distribution for a real-valued random variable. It is defined as the measure of how heavily the tails of the distribution differ from the tails of a normal distribution.
- 8.
- Random variable is quantified by entropy, which measures the amount of unpredictability in the variable’s possible outcomes. The formula for entropy is:
Analysis of Features
We analyzed the impact of individual features on classification performance by manually calculating the overlap between histograms for each attribute across the four classes: OW, SI, OWT, and SIT. This analysis helps us assess the discriminative power of each feature. A high overlap value for a specific feature indicates that it offers limited useful information for distinguishing between the classes, thus having a minimal impact on classification performance. Conversely, a low overlap value suggests that the feature provides valuable information relevant to class differentiation, contributing significantly to the model’s overall performance.
Figure 5 depicts histograms of the least and the most discriminative features among the total of 798 features extracted from 4 classes.
Figure 5.
(A) shows that feature #780 exhibits the most overlap and is considered a weak feature. (B) In contrast, feature #114 is the strongest feature, displaying the least overlap.
Climate Parameters and Incident Angle
Depolarization in remote sensing data is influenced by a combination of climate factors, ice characteristics, and radar parameters [32]. Climate-related parameters, including wind speed, sea surface temperature, wind direction, and incidence angle, play a significant role in depolarization effects by altering wave patterns, affecting ice melting processes, and modifying surface roughness. These variations impact target classification, particularly in differentiating between OW and SI based on their depolarization signatures.
Beyond climate influences, ice characteristics such as surface roughness, sea state, and surface melt on icebergs affect depolarization by altering the dielectric properties of the ice and its interaction with radar signals. Additionally, radar parameters—including frequency, polarization mode, and incidence angle—further modulate depolarization effects by determining how signals interact with different surfaces [32].
Considering these factors collectively enhances the understanding of depolarization mechanisms and improves classification accuracy in remote sensing applications.
2.2.4. Feature Classification
After selecting the optimal features, we proceeded with classification using various ML classifiers, including k-nearest neighbor [33], random forest [34], SVM [35], neural networks, XGBoost, LightGBM [36], and CatBoost [37]. Following an extensive evaluation of these models on the SAR dataset, XGBoost yielded the highest accuracy. Consequently, we selected XGBoost as our final model. To further enhance its performance, we optimized specific parameters, setting the number of boosting rounds to 200, a maximum depth of 6, a learning rate of 0.1, and a subsample rate of 0.8. Default settings were retained for the remaining parameters.
2.3. Evaluation Metrics
To evaluate and compare the performance of the models, we employed a range of evaluation metrics. These metrics were selected to provide a thorough assessment of the models’ effectiveness and limitations in detecting icebergs.
- True positives (TP) [38]: Refer to instances where the predicted class indicates the presence of an iceberg, and the ground truth also confirms the presence of an iceberg. This indicates that the model accurately detected an iceberg in the given region.
- False Alarms (FA) [38]: Instances where the predicted class indicates the presence of an iceberg, but the actual ground truth confirms there is no iceberg. This means the model incorrectly classified the region as containing an iceberg
- Precision [39]: This metric measures the proportion of correct iceberg detections out of all the instances predicted as icebergs. Where FP is another name for FA that we used throughout the paper. It is calculated using the following formula:
- Recall [39]: This metric represents the proportion of actual iceberg-containing regions that are correctly detected by the model. It measures the model’s ability to identify all icebergs in the dataset. FN refers to instances that are incorrectly classified as negative (no iceberg).
3. Results
This section presents the results derived from the RCM dataset introduced in Section 2.1, using the models detailed in Section 2.2, along with a combined fusion of all models, as depicted in Figure 3. The implementation of the proposed method was carried out in Python version 3.11.9, leveraging TensorFlow version 2.11.
Performance Evaluation of Models Using RCM Patches from 2022
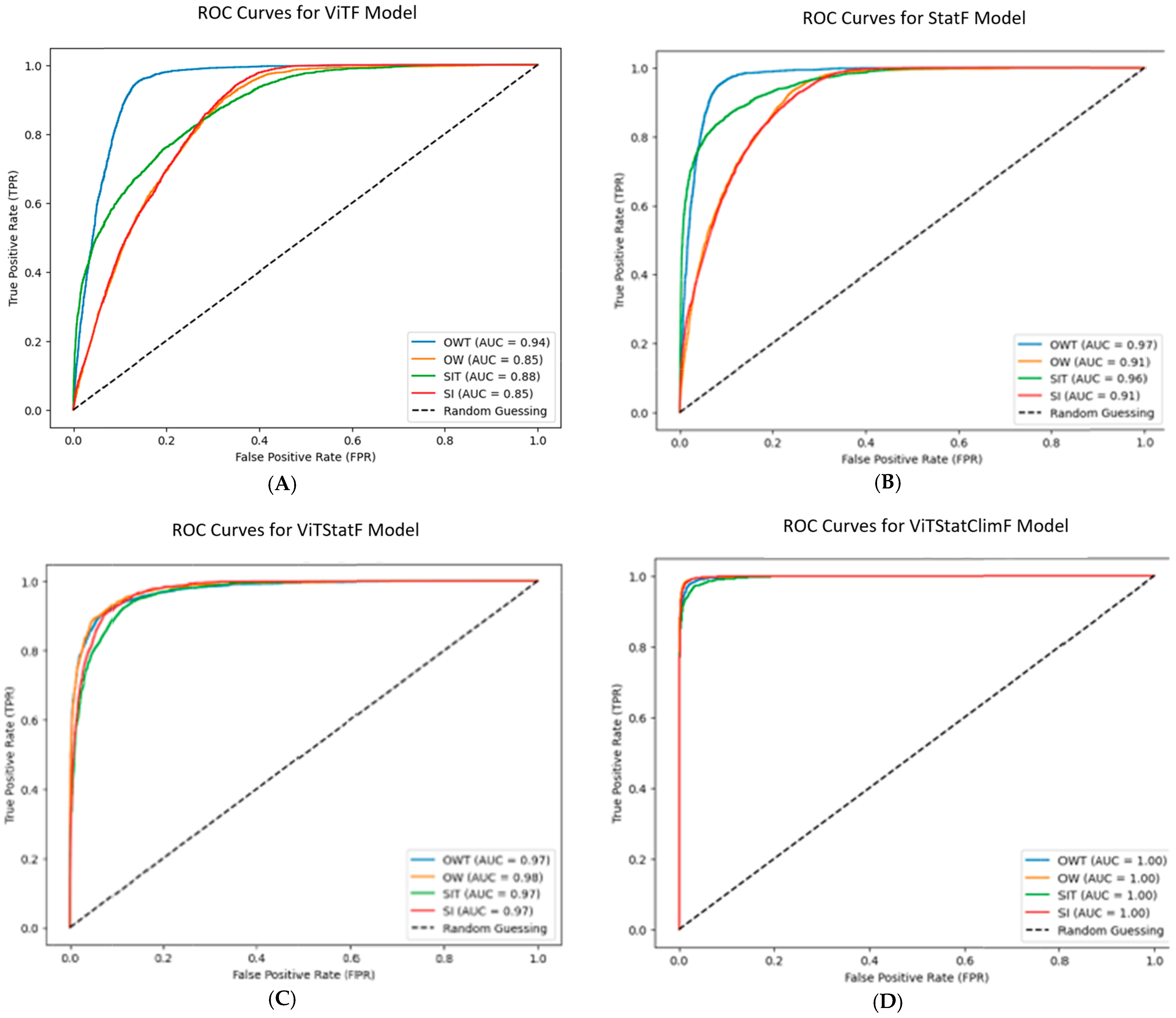
In this section, we compare the performance of four models based on different feature sets for classifying OW, OWT, SI, and SIT. Table 2 presents the results using metrics such as TP, FA, Precision, and Recall. The testing dataset comprises a total of 21,404 image patches (5000 patches for OW, 6028 patches for OWT, 4870 patches for SI, and 5506 patches for SIT), extracted from patches extracted from 2022 RCM images. The performance of the proposed models is further illustrated in the ROC curves shown in Figure 6.
Table 2.
Comparison of model performance across different feature sets for classifying OW, OWT, SI, and SIT. The testing dataset comprises 5000 image patches for each class, extracted from 2022 RCM patches.
Figure 6.
ROC curves for the evaluated models: (A) ViTFM, (B) StatFM, (C) ViTStatFM, and (D) ViTStatClimFM. The curves illustrate the classification performance across OW, OWT, SI, and SIT categories.
ViTFM, which relies solely on high-dimensional features extracted by the pre-trained ViT model, demonstrates reasonable performance (e.g., Recall of 0.82 for OW and 0.83 for both OWT and SIT). However, the absence of additional contextual information, such as statistical or environmental factors, limits its classification capability, as reflected in its relatively lower AUC scores (Figure 6A). StatFM, using only statistical features, shows a slight improvement over ViTFM in all categories (e.g., Precision for OW and SI classes increases from 0.80 to 0.85), as indicated by its moderate AUC scores (Figure 6B). ViTStatFM, which combines visual and statistical features, achieves notable improvements in Precision and Recall across all categories (e.g., Recall of 0.92 for OW and 0.93 for SIT). Additionally, as shown in Figure 6C, AUC has is also significantly improved compared to the previous two models. Finally, ViTStatClimFM, which incorporates climatic parameters into the feature set, achieves the best overall performance. It attains the highest Precision (0.96 for OW and 0.98 for OWT) and Recall (0.97 for both OW and SIT) while maintaining the lowest FA rates across all categories. Its ROC curves (Figure 6D) underline the importance of including climatic context for robust classification, particularly in complex, ice-covered regions.
The ViTStatClimFM model outperforms all other models, demonstrating superior classification accuracy across all categories. To further illustrate its performance, Figure 7 presents confusion matrices for the model, where (A) represents the confusion matrix for the classification of all four classes, while (B) and (C) depict the confusion matrices for distinguishing targets (OWT and SIT) from no target (OW and SI), and sea ice (SI and SIT) from open water (OW and OWT), respectively. From Figure 7A, it is evident that the model achieves a high accuracy of 96.5% with a minimal misclassification, particularly in distinguishing between challenging classes such as SI and SIT. Figure 7B shows that the model performs exceptionally well when used specifically to detect targets in patches, achieving an accuracy of 98.9%. On the other hand, as shown in Figure 7C, the classification of sea ice (SI and SIT) from open water (OW and OWT) does not perform as well as target detection, with an accuracy of 96%. This is due to the presence of various types of sea ice with a wide range of concentrations in the dataset, as illustrated in Figure 7B, where, specifically, low-concentration (less than 5/10) sea ice patches exhibit features that closely resemble those extracted from open water patches, and therefore, they are misclassified as open water or vice versa.
Figure 7.
Confusion matrices depicting the classification performance of the hybrid model with climate features: (A) represents the classification performance across all four classes, (B) highlights the model’s ability to distinguish between target-containing patches and those without targets, and (C) evaluates the classification of sea ice (SI and SIT) versus open water (OW and OWT).
4. Discussion
4.1. Deployment of the Proposed Method on a Full Image
In this section, we validated the ViTStatClimFM model using a sample calibrated full RCM image with size of 31,000 × 21,000 pixels acquired on 23 June 2023. This image, excluded from both the training and testing datasets, is shown in Figure 8A. The selected image captures conditions during the melting season, a challenging period characterized by high target concentrations within SI and substantial similarities between SI and OW, attributed to low ice concentrations and reduced volume scattering from icebergs, resulting from their relatively simple geometric structure. These characteristics are evident in the yellow region within the rectangle in Figure 8B, extracted from the corresponding CIS chart. The model was applied to non-overlapping 100 × 100 patches, generating probability maps for the OW, OWT, SI, and SIT classes, as presented in Figure 8C–F. Each pixel in these maps represents the predicted probability for the respective class within a 100 × 100 patch. Figure 8C illustrates the probability map for OW, where the yellow regions predominantly highlight areas of high open water probability. These zones showcase the model’s effectiveness in identifying extensive, homogeneous water regions, even under challenging melting season conditions [39]. Figure 8D presents the probability map for SI, with scattered yellow and green regions indicating varying probabilities of sea ice presence. These are particularly prominent in fragmented or melting ice areas, demonstrating the model’s capability to differentiate SI under complex environmental conditions. In Figure 8E, the probability map for OWT reveals localized high-probability zones corresponding to regions of interest, such as potential icebergs over open water. The model successfully detects all observed icebergs with high probabilities, alongside a small number of FAs, all with low probability values, which further demonstrates the model’s robustness. Lastly, Figure 8F shows the probability map for SIT, featuring distinct probability hotspots that represent areas where icebergs are embedded in sea ice. All patches marked in yellow, indicative of high SIT probability, align with the actual positions of icebergs, while low-probability patches mostly correspond to areas of sea ice without icebergs. This underscores the model’s precision in detecting small targets amidst a complex sea ice environment.
Figure 8.
Application of the proposed method to a calibrated RCM image acquired on 23 June 2023. (A) The RCM image overlaid on the Labrador coast. (B) Corresponding ice chart from the Canadian Ice Service for the same region and date. (C) Probability map for OW. (D) Probability map for SI. (E) Probability map for OWT. (F) Probability map for SIT.
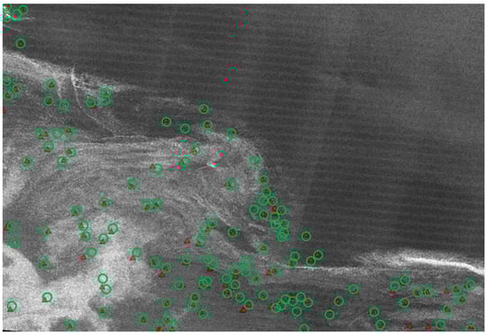
Figure 9 shows an extracted section of the full RCM image, highlighting the region where the model was deployed. The red triangles indicate ground truth points representing icebergs embedded in sea ice, which were manually verified by C-CORE experts. Note that the ground truth was created analytically and was not field-based; as a result, it is not entirely accurate and includes outliers. Some of the MDs and FAs can be attributed to the impurities in the ground truth data. The green circles denote the model’s predicted iceberg locations, enabling a visual comparison between the ground truth and the model’s predictions within the dataset.
Figure 9.
An extracted section from the full RCM image captured on 23 June 2023, showing icebergs embedded in SI. Red triangles indicate ground truth points, while green circles represent model predictions.
4.2. Analysis of Missed and Misclassified Targets
After analyzing the model’s performance on the full image, the results showed that the model accurately detected 168 out of 180 targets, missing only 12. A closer examination of the missed targets, as illustrated in Figure 10A–C, revealed that these targets were primarily located along the borders of image patches. This observation suggests that the model’s detection capability may be affected by boundary effects, where targets near patch edges are less likely to be accurately identified. The patch-based approach presents challenges in cases where a target is near the patch boundaries, disrupting consistent feature continuity between adjacent patches. This results in missed detections or even FAs along the borders. This can be mitigated by using smaller patch sizes, at the cost of increased computational complexity.
Figure 10.
Missed targets located near patch borders, illustrating boundary effects. (A) A missed target near the top-left patch border. (B) A missed target within a central region affected by boundary artifacts. (C) A missed target near the bottom-right patch border, highlighting prediction inconsistencies at patch edges.
Additionally, the analysis also explored potential misclassified targets. While the FA rate was significantly lower compared to other methods, there were 80 FAs when the model was tested on the unseen full image. This is higher compared to the false alarms observed during testing on individual patches. Upon further analysis, it was found that instances of broken sea ice, which were erroneously identified as targets, often had lower detection probabilities compared to true positive targets. This indicates that detection probability can be used as a distinguishing factor to reduce FAs.
5. Conclusions and Future Work
In this study, we proposed a novel approach for detecting icebergs in both open water (OW) and sea ice (SI) using medium-resolution (50 m) RCM images. Iceberg detection in SI is especially challenging due to the high number of false alarms (FAs) generated by traditional methods, such as CFAR-based algorithms. Therefore, distinguishing between iceberg detection in OW and in SI requires addressing these as two separate problems. Our method classifies ice and water into four categories: OW, representing water free of icebergs; open water with target (OWT), where icebergs are present in open water; SI, which refers to ice-covered areas without icebergs; and sea ice with target (SIT), where icebergs are embedded within sea ice. This approach not only enables iceberg detection but also provides insight into the spatial distribution of SI. To achieve this, we extracted features from a pre-trained Vision Transformer (ViT) model and supplemented them with statistical and climate data derived from 100 × 100-pixel patches. We developed multiple models by evaluating different combinations of these feature sets, selecting the 550 most informative features for each model, and classifying them using the XGBoost algorithm. The proposed method demonstrated high accuracy across multiple performance metrics. The hybrid model, which integrates features from the ViT model, statistical data, and climate information, achieved an overall accuracy of 96.5% and an AUC close to 1 for the four-class classification task. When the classes were merged (combining SI with OW and SIT with OWT) for target detection, the model achieved an even higher accuracy of 98.9%. These results confirm the robustness and effectiveness of our approach for large-scale iceberg detection in challenging environments, particularly along the east coast of Canada.
For future work, we aim to further enhance the accuracy and robustness of our approach by addressing some of the remaining challenges. One potential improvement is reducing the image patch size from 100 × 100 to 50 × 50 pixels, allowing the model to capture finer details and improve the localization of small icebergs. Additionally, we plan to augment the dataset with more samples containing icebergs at the borders of patches to improve the model’s ability to detect edge cases. When applying the model to full-size images, we will explore the use of overlapping patches to mitigate misclassification at patch boundaries. Furthermore, we intend to investigate more advanced deep learning architectures that are specifically designed to capture small target features, particularly those located at patch borders. Finally, we will incorporate a post-processing step, such as applying a CFAR algorithm, to filter out FAs and further refine the detection results. By considering these enhancements, we aim to move closer to achieving near-perfect accuracy, ultimately minimizing the risk to offshore infrastructure and improving maritime safety.
Author Contributions
Conceptualization, Z.J. and P.B.; methodology, Z.J.; software, Z.J. and E.K.; validation, Z.J., E.K. and P.B.; formal analysis, P.B.; investigation, Z.J.; resources, P.B. and R.T.; data curation, Z.J. and P.B.; writing—original draft preparation, Z.J.; writing—review and editing, Z.J., P.B. and E.K.; visualization, Z.J.; supervision, P.B. and R.T.; project administration, P.B. and R.T.; funding acquisition, R.T. All authors have read and agreed to the published version of the manuscript.
Funding
This research was funded by Equinor ASA under funding number 4504188524.
Data Availability Statement
The data utilized for the figures and analyses in this study include the following: the RCM dataset, which can be obtained upon request from the corresponding regional climate data provider (https://www.asc-csa.gc.ca/eng/satellites/radarsat/technical-features/characteristics.asp#simulated-data, accessed on 20 January 2024); and ERA5, a comprehensive global atmospheric reanalysis dataset provided by the European Centre for Medium-Range Weather Forecasts (ECMWF), accessible at https://cds.climate.copernicus.eu/datasets/reanalysis-era5-single-levels?tab=download, on 21 May 2024. ArcGIS Pro software version 3.2.1 was used for satellite image analysis, and SAR imagery calibration was performed using SNAP software, version 11. The proposed methodology was implemented in a Python environment utilizing TensorFlow version 2.0.
Acknowledgments
This study was supported by Equinor, and we sincerely appreciate their contribution. We extend our gratitude to Maria Yulmetova, for supplying the calibrated RCM data, which played a vital role in our analysis. Additionally, we thank Ian Turnbull and Mark Howell for his invaluable technical assistance, which greatly enhanced the outcome of this project.
Conflicts of Interest
The authors declare no conflicts of interest.
References
- Jafari, Z.; Karami, E.; Taylor, R.; Bobby, P. Enhanced ship/iceberg classification in SAR images using feature extraction and the fusion of machine learning algorithms. Remote Sens. 2023, 15, 5202. [Google Scholar] [CrossRef]
- Lane, K.; Power, D.; Youden, J.; Randell, C.; Flett, D. Validation of synthetic aperture radar for iceberg detection in sea ice. In Proceedings of the IGARSS 2004, 2004 IEEE International Geoscience and Remote Sensing Symposium, Anchorage, AK, USA, 20–24 September 2004; IEEE: Piscataway, NJ, USA, 2004; Volume 1. [Google Scholar]
- Chan, Y.K.; Koo, V. An introduction to synthetic aperture radar (SAR). Prog. Electromagn. Res. B 2008, 2, 27–60. [Google Scholar] [CrossRef]
- Jawak, S.D.; Bidawe, T.G.; Luis, A.J. A review on applications of imaging synthetic aperture radar with a special focus on cryospheric studies. Adv. Remote Sens. 2015, 4, 163. [Google Scholar] [CrossRef]
- Howell, C.; Power, D.; Lynch, M.; Dodge, K.; Bobby, P.; Randell, C.; Vachon, P.; Staples, G. Dual polarization detection of ships and icebergs-recent results with ENVISAT ASAR and data simulations of RADARSAT-2. In Proceedings of the IGARSS 2008-2008 IEEE International Geoscience and Remote Sensing Symposium, Boston, MA, USA, 8–11 July 2008; IEEE: Piscataway, NJ, USA, 2008; Volume 3, pp. III–206. [Google Scholar]
- Jafari, Z.; Bobby, P.; Karami, E.; Taylor, R. A Novel Method for the Estimation of Sea Surface Wind Speed from SAR Imagery. J. Mar. Sci. Eng. 2024, 12, 1881. [Google Scholar] [CrossRef]
- Karvonen, J.; Gegiuc, A.; Niskanen, T.; Montonen, A.; Buus-Hinkler, J.; Rinne, E. Iceberg detection in dual-polarized C-band SAR imagery by segmentation and nonparametric CFAR (SnP-CFAR). IEEE Trans. Geosci. Remote Sens. 2021, 60, 4300812. [Google Scholar] [CrossRef]
- CMcCracken. Techniques for Identifying and Classifying Icebergs in Synthetic Aperture Radar Images. Bachelor’s Thesis, University of Tasmania, Tasmania, Australia, 1995.
- Howell, C.; Bobby, P.; Power, D.; Randell, C.; Parsons, L. Detecting icebergs in sea ice using dual polarized satellite radar imagery. In Proceedings of the SNAME International Conference and Exhibition on Performance of Ships and Structures in Ice, Banff, AB, Canada, 17–20 September 2012. [Google Scholar]
- Zhang, Y.; Hao, Y. A Survey of SAR Image Target Detection Based on Convolutional Neural Networks. Remote Sens. 2022, 14, 6240. [Google Scholar] [CrossRef]
- Fracastoro, G.; Magli, E.; Poggi, G.; Scarpa, G.; Valsesia, D.; Verdoliva, L. Deep learning methods for synthetic aperture radar image despeckling: An overview of trends and perspectives. IEEE Geosci. Remote Sens. Mag. 2021, 9, 29–51. [Google Scholar] [CrossRef]
- El Housseini, A.; Toumi, A.; Khenchaf, A. Deep Learning for target recognition from SAR images. In Proceedings of the 2017 Seminar on Detection Systems Architectures and Technologies (DAT), Algiers, Algeria, 20–22 February 2017; IEEE: Piscataway, NJ, USA, 2017; pp. 1–5. [Google Scholar]
- Zhong, C.; Mu, X.; He, X.; Wang, J.; Zhu, M. SAR target image classification based on transfer learning and model compression. IEEE Geosci. Remote Sens. Lett. 2018, 16, 412–416. [Google Scholar] [CrossRef]
- Malmgren-Hansen, D.; Kusk, A.; Dall, J.; Nielsen, A.A.; Engholm, R.; Skriver, H. Improving SAR automatic target recognition models with transfer learning from simulated data. IEEE Geosci. Remote Sens. Lett. 2017, 14, 1484–1488. [Google Scholar] [CrossRef]
- Geng, J.; Deng, X.; Ma, X.; Jiang, W. Transfer learning for SAR image classification via deep joint distribution adaptation networks. IEEE Trans. Geosci. Remote Sens. 2020, 58, 5377–5392. [Google Scholar] [CrossRef]
- Weiss, K.; Khoshgoftaar, T.M.; Wang, D. A survey of transfer learning. J. Big Data 2016, 3, 9. [Google Scholar] [CrossRef]
- Bhatt, D.; Patel, C.; Talsania, H.; Patel, J.; Vaghela, R.; Pandya, S.; Modi, K.; Ghayvat, H. CNN variants for computer vision: History, architecture, application, challenges and future scope. Electronics 2021, 10, 2470. [Google Scholar] [CrossRef]
- Wang, P.; Zhang, H.; Patel, V.M. SAR image despeckling using a convolutional neural network. IEEE Signal Process. Lett. 2017, 24, 1763–1767. [Google Scholar] [CrossRef]
- Scarpa, G.; Gargiulo, M.; Mazza, A.; Gaetano, R. A CNN-based fusion method for feature extraction from sentinel data. Remote Sens. 2018, 10, 236. [Google Scholar] [CrossRef]
- Wan, Y.; Shao, M.; Cheng, Y.; Meng, D.; Zuo, W. Progressive convolutional transformer for image restoration. Eng. Appl. Artif. Intell. 2023, 125, 106755. [Google Scholar] [CrossRef]
- Barbat, M.M.; Rackow, T.; Hellmer, H.H.; Wesche, C.; Mata, M.M. Three years of near-coastal Antarctic iceberg distribution from a machine learning approach applied to SAR imagery. J. Geophys. Res. Ocean. 2019, 124, 6658–6672. [Google Scholar] [CrossRef]
- Barbat, M.M.; Wesche, C.; Werhli, A.V.; Mata, M.M. An adaptive machine learning approach to improve automatic iceberg detection from SAR images. ISPRS J. Photogramm. Remote Sens. 2019, 156, 247–259. [Google Scholar] [CrossRef]
- Barbat, M.M.; Rackow, T.; Wesche, C.; Hellmer, H.H.; Mata, M.M. Automated iceberg tracking with a machine learning approach applied to SAR imagery: A Weddell sea case study. ISPRS J. Photogramm. Remote Sens. 2021, 172, 189–206. [Google Scholar] [CrossRef]
- Akbari, V.; Brekke, C. Iceberg detection in open water and sea ice using C-band radar polarimetry. In Proceedings of the 2017 IEEE International Geoscience and Remote Sensing Symposium (IGARSS), Fort Worth, TX, USA, 23–28 July 2017; IEEE: Piscataway, NJ, USA, 2017; pp. 2298–2301. [Google Scholar]
- Heiselberg, P.; Sørensen, K.A.; Heiselberg, H.; Andersen, O.B. SAR ship–iceberg discrimination in arctic conditions using deep learning. Remote Sens. 2022, 14, 2236. [Google Scholar] [CrossRef]
- Demir, S.; Sahin, E.K. Predicting occurrence of liquefaction-induced lateral spreading using gradient boosting algorithms integrated with particle swarm optimization: PSO-XGBoost, PSO-LightGBM, and PSO-CatBoost. Acta Geotech. 2023, 18, 3403–3419. [Google Scholar] [CrossRef]
- Dabboor, M.; Olthof, I.; Mahdianpari, M.; Mohammadimanesh, F.; Shokr, M.; Brisco, B.; Homayouni, S. The RADARSAT constella-tion mission core applications: First results. Remote Sens. 2022, 14, 301. [Google Scholar] [CrossRef]
- Jafari, Z.; Karami, E. Breast cancer detection in mammography images: A CNN-based approach with feature selection. Information 2023, 14, 410. [Google Scholar] [CrossRef]
- Dosovitskiy, A. An image is worth 16 × 16 words: Transformers for image recognition at scale. arXiv 2020, arXiv:2010.11929. [Google Scholar]
- Yan, H.; Deng, B.; Li, X.; Qiu, X. TENER: Adapting transformer encoder for named entity recognition. arXiv 2019, arXiv:1911.04474. [Google Scholar]
- Guo, L.; Liu, J.; Zhu, X.; Yao, P.; Lu, S.; Lu, H. Normalized and geometry-aware self-attention network for image captioning. In Proceedings of the IEEE/CVF Conference On Computer Vision and Pattern Recognition 2020, Seattle, WA, USA, 13–19 June 2020; pp. 10327–10336. [Google Scholar]
- Islam, T.; Rico-Ramirez, M.A. An overview of the remote sensing of precipitation with polarimetric radar. Prog. Phys. Geogr. 2014, 38, 55–78. [Google Scholar] [CrossRef]
- Angelov, P.P.; Soares, E.A.; Jiang, R.; Arnold, N.I.; Atkinson, P.M. Explainable artificial intelligence: An analytical review. Wiley Interdiscip. Rev. Data Min. Knowl. Discov. 2021, 11, e1424. [Google Scholar] [CrossRef]
- Rigatti, S.J. Random forest. J. Insur. Med. 2017, 47, 31–39. [Google Scholar] [CrossRef] [PubMed]
- Jakkula, V. Tutorial on Support Vector Machine (svm); School of EECS, Washington State University: Pullman, WA, USA, 2006; Volume 37, p. 3. [Google Scholar]
- Ke, G.; Meng, Q.; Finley, T.; Wang, T.; Chen, W.; Ma, W.; Ye, Q.; Liu, T.Y. Lightgbm: A highly efficient gradient boosting decision tree. Adv. Neural Inf. Process. Syst. 2017, 30, 3149–3157. [Google Scholar]
- Prokhorenkova, L.; Gusev, G.; Vorobev, A.; Dorogush, A.V.; Gulin, A. CatBoost: Unbiased boosting with categorical features. Adv. Neural Inf. Process. Syst. 2018, 31, 6639–6649. [Google Scholar]
- Hossin, M.; Sulaiman, M.N. A review on evaluation metrics for data classification evaluations. Int. J. Data Min. Knowl. Manag. Process 2015, 5, 1. [Google Scholar]
- García Fernández, R.; Abascal, J.L.; Vega, C. The melting point of ice Ih for common water models calculated from direct coexistence of the solid-liquid interface. J. Chem. Phys. 2006, 124, 144506. [Google Scholar] [CrossRef] [PubMed]
Disclaimer/Publisher’s Note: The statements, opinions and data contained in all publications are solely those of the individual author(s) and contributor(s) and not of MDPI and/or the editor(s). MDPI and/or the editor(s) disclaim responsibility for any injury to people or property resulting from any ideas, methods, instructions or products referred to in the content. |
© 2025 by the authors. Licensee MDPI, Basel, Switzerland. This article is an open access article distributed under the terms and conditions of the Creative Commons Attribution (CC BY) license (https://creativecommons.org/licenses/by/4.0/).









