Impacts of Reference Precipitation on the Assessment of Global Precipitation Measurement Precipitation Products
Abstract
1. Introduction
2. Study Area and Data
3. Methodology
3.1. Technical Scheme
3.2. Evaluation Indices
4. Results and Discussion
4.1. Errors of Reference Precipitation
4.1.1. Area-Averaged MAEs of RP
4.1.2. Spatial Distribution MAEs of RP
4.1.3. Evaluation Indices of Errors
4.1.4. Comprehensive Evaluation Based on Multiple Indices
4.2. Effects of RP on the Evaluation of GPM Products
4.2.1. Comparison of Evaluation Results Based on Different RPs
4.2.2. Cause Analysis
5. Conclusions
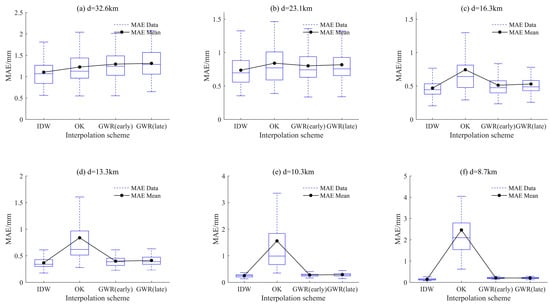
- The error analysis of the RP relative to the true precipitation indicates that based on the IDW and GWR methods, the RP approaches true precipitation as the number of gauges increases. Among these methods, the RP derived from the IDW outperforms that obtained from the GWR. When the number of gauges is low, the RP from the OK method is comparable to that from the GWR method. However, as the number of gauges increases, the RP obtained via OK initially approaches true precipitation before gradually deviating from it. Results obtained from the GWR using different auxiliary variables show minimal variation.
- The impact of different RPs on the evaluation of GPM near-real-time satellite precipitation products reveals significant discrepancies in evaluation results based on the RP used. When the average distance between gauges is below a medium level (i.e., d < 20 km), the evaluation results of the RPs derived from the IDW and GWR methods closely align with those of true precipitation, making them suitable for evaluating satellite precipitation products such as GPM.
- The observed phenomenon of decreasing accuracy of the RP with an increasing number of gauges may be attributed to the overfitting of the semi-variance function to the average station distance. At a critical mean distance, the RP is closest to the true precipitation. The RP obtained via GWR is slightly less accurate than that from IDW, likely due to the limited number of auxiliary variables employed in this study. There remains potential for improvement in the RP derived from the GWR method compared to the IDW.
- Moreover, precipitation exhibits distinct spatial non-uniformity. It should be pointed out that the critical control density is not constant, the precipitation gradually decreases with the increase in latitude, the temporal and spatial distribution of precipitation is also changing, and the representative of the station to the rainfall near the grid surface is also constantly changing, which will have a direct impact on the critical control density. This investigation focuses on Nanjing City to explore the patterns of how RP influences evaluation results, which may also display spatial non-uniformity. Further research is needed to determine whether these findings are applicable on a global scale.
Author Contributions
Funding
Data Availability Statement
Conflicts of Interest
References
- Hong, Y.; Gochis, D.; Cheng, J.-T.; Hsu, K.-L.; Sorooshian, S. Evaluation of PERSIANN-CCS rainfall measurement using the NAME event rain gauge network. J. Hydrometeorol. 2007, 8, 469–482. [Google Scholar] [CrossRef]
- Joyce, R.J.; Janowiak, J.E.; Arkin, P.A.; Xie, P. CMORPH: A method that produces global precipitation estimates from passive microwave and infrared data at high spatial and temporal resolution. J. Hydrometeorol. 2004, 5, 487–503. [Google Scholar] [CrossRef]
- Huffman, G.J.; Bolvin, D.T.; Nelkin, E.J.; Wolff, D.B.; Adler, R.F.; Gu, G.; Hong, Y.; Bowman, K.P.; Stocker, E.F. The TRMM multisatellite precipitation analysis (TMPA): Quasi-global, multiyear, combined-sensor precipitation estimates at fine scales. J. Hydrometeorol. 2007, 8, 38–55. [Google Scholar] [CrossRef]
- Hou, A.Y.; Kakar, R.K.; Neeck, S.; Azarbarzin, A.A.; Kummerow, C.D.; Kojima, M.; Oki, R.; Nakamura, K.; Iguchi, T. The global precipitation measurement mission. Bull. Am. Meteorol. Soc. 2014, 95, 701–722. [Google Scholar] [CrossRef]
- Tang, G.; Zeng, Z.; Ma, M.; Liu, R.; Wen, Y.; Hong, Y. Can near-real-time satellite precipitation products capture rainstorms and guide flood warning for the 2016 summer in South China? IEEE Geosci. Remote Sens. Lett. 2017, 14, 1208–1212. [Google Scholar] [CrossRef]
- Prakash, S.; Mitra, A.K.; Pai, D.S.; AghaKouchak, A. From TRMM to GPM: How well can heavy rainfall be detected from space? Adv. Water Resour. 2016, 88, 1–7. [Google Scholar] [CrossRef]
- Shawky, M.; Moussa, A.; Hassan, Q.K.; El-Sheimy, N. Performance assessment of sub-daily and daily precipitation estimates derived from GPM and GSMaP products over an arid environment. Remote Sens. 2019, 11, 2840. [Google Scholar] [CrossRef]
- Libertino, A.; Sharma, A.; Lakshmi, V.; Claps, P. A global assessment of the timing of extreme rainfall from TRMM and GPM for improving hydrologic design. Environ. Res. Lett. 2016, 11, 054003. [Google Scholar] [CrossRef]
- Sahlu, D.; Nikolopoulos, E.I.; Moges, S.A.; Anagnostou, E.N.; Hailu, D. First evaluation of the Day-1 IMERG over the upper Blue Nile basin. J. Hydrometeorol. 2016, 17, 2875–2882. [Google Scholar] [CrossRef]
- He, Z.; Yang, L.; Tian, F.; Ni, G.; Hou, A.; Lu, H. Intercomparisons of rainfall estimates from TRMM and GPM multisatellite products over the Upper Mekong River Basin. J. Hydrometeorol. 2017, 18, 413–430. [Google Scholar] [CrossRef]
- Hayashi, Y.; Tebakari, T.; Hashimoto, A. A Comparison Between Global Satellite Map** of Precipitation Data and High-Resolution Radar Data–A Case Study of Localized Torrential Rainfall over Japan. J. Disaster Res. 2021, 16, 786–793. [Google Scholar] [CrossRef]
- Mekonnen, K.; Melesse, A.M.; Woldesenbet, T.A. Spatial evaluation of satellite-retrieved extreme rainfall rates in the Upper Awash River Basin, Ethiopia. Atmos. Res. 2021, 249, 105297. [Google Scholar] [CrossRef]
- Hosseini-Moghari, S.M.; Tang, Q. Validation of GPM IMERG V05 and V06 precipitation products over Iran. J. Hydrometeorol. 2020, 21, 1011–1037. [Google Scholar] [CrossRef]
- Zhou, Z.; Guo, B.; Xing, W.; Zhou, J.; Xu, F.; Xu, Y. Comprehensive evaluation of latest GPM era IMERG and GSMaP precipitation products over mainland China. Atmos. Res. 2020, 246, 105132. [Google Scholar] [CrossRef]
- Tang, G.; Behrangi, A.; Long, D.; Li, C.; Hong, Y. Accounting for spatiotemporal errors of gauges: A critical step to evaluate gridded precipitation products. J. Hydrol. 2018, 559, 294–306. [Google Scholar] [CrossRef]
- Tan, M.L.; Ibrahim, A.L.; Duan, Z.; Cracknell, A.P.; Chaplot, V. Evaluation of six high-resolution satellite and ground-based precipitation products over Malaysia. Remote Sens. 2015, 7, 1504–1528. [Google Scholar] [CrossRef]
- Gadelha, A.N.; Coelho, V.H.R.; Xavier, A.C.; Barbosa, L.R.; Melo, D.C.; Xuan, Y.; Huffman, G.J.; Petersen, W.A.; Almeida, C.d.N. Grid box-level evaluation of IMERG over Brazil at various space and time scales. Atmos. Res. 2019, 218, 231–244. [Google Scholar] [CrossRef]
- Nepal, B.; Shrestha, D.; Sharma, S.; Shrestha, M.S.; Aryal, D.; Shrestha, N. Assessment of GPM-Era Satellite Products’(IMERG and GSMaP) ability to detect precipitation extremes over mountainous country Nepal. Atmosphere 2021, 12, 254. [Google Scholar] [CrossRef]
- Hu, Q.; Yang, H.; Meng, X.; Wang, Y.; Deng, P. Satellite and gauge rainfall merging using geographically weighted regression. Proc. Int. Assoc. Hydrol. Sci. 2015, 368, 132–137. [Google Scholar] [CrossRef]
- Darand, M.; Amanollahi, J.; Zandkarimi, S. Evaluation of the performance of TRMM Multi-satellite Precipitation Analysis (TMPA) estimation over Iran. Atmos. Res. 2017, 190, 121–127. [Google Scholar] [CrossRef]
- Tian, B.; Chen, H.; Wang, J.; Xu, C.-Y. Accuracy assessment and error cause analysis of GPM (V06) in Xiangjiang river catchment. Hydrol. Res. 2021, 52, 1048–1065. [Google Scholar] [CrossRef]
- Qureshi, S.; Koohpayma, J.; Firozjaei, M.K.; Kakroodi, A.A. Evaluation of seasonal, drought, and wet condition effects on performance of satellite-based precipitation data over different climatic conditions in Iran. Remote Sens. 2021, 14, 76. [Google Scholar] [CrossRef]
- AghaKouchak, A.; Mehran, A. Extended contingency table: Performance metrics for satellite observations and climate model simulations. Water Resour. Res. 2013, 49, 7144–7149. [Google Scholar] [CrossRef]
- Willmott, C.J. On the validation of models. Phys. Geogr. 1981, 2, 184–194. [Google Scholar] [CrossRef]
- Habib, E.; Henschke, A.; Adler, R.F. Evaluation of TMPA satellite-based research and real-time rainfall estimates during six tropical-related heavy rainfall events over Louisiana, USA. Atmos. Res. 2009, 94, 373–388. [Google Scholar] [CrossRef]







| GPM Products | Data Source | Spatial Overage | Time Resolution/h | Spatial Resolution/° |
|---|---|---|---|---|
| IMERG early | NASA | 90°N-90°S | 0.5 | 0.1 |
| IMERG late | NASA | 90°N-90°S | 0.5 | 0.1 |
| Type | Index Normalization Formula | Index |
|---|---|---|
| Positive index | CC, POD, CSI, VHI, VCSI | |
| Negative index | RMSE, FAR, VFAR, SE, RE, SEP | |
| Intermediate optimal index | RB |
| Distance | Mean | Median | ||||||
|---|---|---|---|---|---|---|---|---|
| IDW | OK | GWRearly | GWRlate | IDW | OK | GWRearly | GWRlate | |
| d = 32.6 km | 1.1 | 1.2 | 1.3 | 1.3 | 1.1 | 1.1 | 1.2 | 1.3 |
| d = 23.1 km | 0.7 | 0.8 | 0.8 | 0.8 | 0.7 | 0.8 | 0.7 | 0.8 |
| d = 16.3 km | 0.5 | 0.7 | 0.5 | 0.5 | 0.4 | 0.6 | 0.5 | 0.5 |
| d = 13.3 km | 0.4 | 0.8 | 0.4 | 0.4 | 0.3 | 0.6 | 0.4 | 0.4 |
| d = 10.3 km | 0.3 | 1.6 | 0.3 | 0.3 | 0.2 | 1.0 | 0.3 | 0.3 |
| d = 8.7 km | 0.1 | 2.5 | 0.2 | 0.2 | 0.1 | 2.1 | 0.2 | 0.2 |
| Distance | Interpolation Scheme | Index | |||||||||||
|---|---|---|---|---|---|---|---|---|---|---|---|---|---|
| CC | RB | RMSE | POD | FAR | CSI | VHI | VHAR | VCSI | SE | RE | SEP | ||
| d = 32.6 km | IDW | 0.80 | 13.05 | 0.83 | 0.97 | 0.07 | 0.90 | 1.00 | 0.02 | 0.98 | 11.83 | 12.78 | 40.10 |
| OK | 0.70 | 10.85 | 1.04 | 0.95 | 0.12 | 0.84 | 0.99 | 0.05 | 0.93 | 19.10 | 13.28 | 44.45 | |
| GWRearly | 0.67 | 9.50 | 1.09 | 0.95 | 0.12 | 0.84 | 0.98 | 0.03 | 0.95 | 19.01 | 17.80 | 42.23 | |
| GWRlate | 0.65 | 9.00 | 1.13 | 0.95 | 0.12 | 0.84 | 0.98 | 0.03 | 0.95 | 19.04 | 18.53 | 41.45 | |
| d = 23.1 km | IDW | 0.87 | 9.75 | 0.72 | 0.97 | 0.06 | 0.92 | 1.00 | 0.01 | 0.99 | 8.95 | 9.36 | 37.73 |
| OK | 0.75 | 14.11 | 0.98 | 0.94 | 0.12 | 0.84 | 0.98 | 0.05 | 0.93 | 15.93 | 11.21 | 43.99 | |
| GWRearly | 0.77 | 11.11 | 0.88 | 0.96 | 0.11 | 0.86 | 0.99 | 0.02 | 0.97 | 11.72 | 13.20 | 37.31 | |
| GWRlate | 0.75 | 11.23 | 0.91 | 0.95 | 0.11 | 0.85 | 0.99 | 0.02 | 0.97 | 11.79 | 14.06 | 36.78 | |
| d = 16.3 km | IDW | 0.92 | 6.67 | 0.57 | 0.98 | 0.04 | 0.94 | 1.00 | 0.00 | 0.99 | 6.21 | 6.06 | 38.83 |
| OK | 0.79 | 9.53 | 1.12 | 0.93 | 0.12 | 0.84 | 0.96 | 0.01 | 0.93 | 15.84 | 11.40 | 43.95 | |
| GWRearly | 0.87 | 8.23 | 0.69 | 0.97 | 0.10 | 0.88 | 0.99 | 0.01 | 0.98 | 7.39 | 8.11 | 36.26 | |
| GWRlate | 0.85 | 8.55 | 0.73 | 0.96 | 0.10 | 0.86 | 0.99 | 0.01 | 0.98 | 7.55 | 9.01 | 36.19 | |
| d = 13.3 km | IDW | 0.94 | 4.98 | 0.50 | 0.98 | 0.03 | 0.95 | 1.00 | 0.00 | 0.99 | 5.22 | 4.84 | 37.91 |
| OK | 0.79 | 6.27 | 1.42 | 0.89 | 0.13 | 0.81 | 0.94 | 0.01 | 0.91 | 23.35 | 23.61 | 41.06 | |
| GWRearly | 0.90 | 7.65 | 0.61 | 0.97 | 0.09 | 0.89 | 0.99 | 0.01 | 0.98 | 6.15 | 6.52 | 35.63 | |
| GWRlate | 0.88 | 7.52 | 0.65 | 0.96 | 0.10 | 0.87 | 0.99 | 0.01 | 0.98 | 6.31 | 7.27 | 35.45 | |
| d = 10.3 km | IDW | 0.97 | 2.75 | 0.33 | 0.99 | 0.02 | 0.97 | 1.00 | 0.00 | 1.00 | 3.17 | 2.69 | 38.09 |
| OK | 0.72 | 8.07 | 2.39 | 0.81 | 0.09 | 0.75 | 0.89 | 0.01 | 0.87 | 97.01 | 78.89 | 38.73 | |
| GWRearly | 0.93 | 5.79 | 0.51 | 0.97 | 0.07 | 0.91 | 1.00 | 0.01 | 0.99 | 4.52 | 4.47 | 34.23 | |
| GWRlate | 0.92 | 5.69 | 0.55 | 0.97 | 0.08 | 0.89 | 1.00 | 0.01 | 0.99 | 4.59 | 4.99 | 33.80 | |
| d = 8.7 km | IDW | 0.99 | 1.16 | 0.16 | 0.99 | 0.01 | 0.98 | 1.00 | 0.00 | 1.00 | 1.15 | 1.23 | 39.85 |
| OK | 0.61 | 15.39 | 3.96 | 0.75 | 0.10 | 0.69 | 0.86 | 0.01 | 0.85 | 954.26 | 460.99 | 37.08 | |
| GWRearly | 0.95 | 5.24 | 0.43 | 0.98 | 0.06 | 0.92 | 1.00 | 0.01 | 0.99 | 3.18 | 3.28 | 32.19 | |
| GWRlate | 0.94 | 5.17 | 0.46 | 0.97 | 0.07 | 0.90 | 1.00 | 0.01 | 0.99 | 3.20 | 3.57 | 32.19 | |
| Number of Sampling Gauge. | Interpolation Scheme | Index | |||||||||||
|---|---|---|---|---|---|---|---|---|---|---|---|---|---|
| CC | RB | RMSE | POD | FAR | CSI | VHI | VHAR | VCSI | SE | RE | SEP | ||
| d = 32.6 km | IDW | 0.80 | 13.03 | 0.96 | 0.97 | 0.08 | 0.90 | 0.99 | 0.02 | 0.98 | 12.99 | 13.79 | 40.14 |
| OK | 0.70 | 11.48 | 1.70 | 0.95 | 0.12 | 0.84 | 0.98 | 0.05 | 0.93 | 20.57 | 15.29 | 45.23 | |
| GWRearly | 0.66 | 9.10 | 1.19 | 0.95 | 0.12 | 0.84 | 0.98 | 0.03 | 0.95 | 21.07 | 34.85 | 41.62 | |
| GWRlate | 0.65 | 8.90 | 1.21 | 0.94 | 0.12 | 0.84 | 0.98 | 0.03 | 0.95 | 20.06 | 35.87 | 41.45 | |
| d = 23.1 km | IDW | 0.86 | 10.24 | 0.83 | 0.97 | 0.06 | 0.91 | 0.99 | 0.01 | 0.99 | 9.67 | 10.49 | 38.38 |
| OK | 0.75 | 14.61 | 1.24 | 0.94 | 0.12 | 0.84 | 0.97 | 0.05 | 0.93 | 18.41 | 13.15 | 45.57 | |
| GWRearly | 0.77 | 10.21 | 0.93 | 0.96 | 0.11 | 0.86 | 0.99 | 0.03 | 0.96 | 13.76 | 43.02 | 37.51 | |
| GWRlate | 0.75 | 10.56 | 0.95 | 0.95 | 0.11 | 0.85 | 0.99 | 0.02 | 0.96 | 13.19 | 33.09 | 37.26 | |
| d = 16.3 km | IDW | 0.92 | 6.02 | 0.67 | 0.98 | 0.04 | 0.94 | 1.00 | 0.00 | 0.99 | 6.80 | 6.39 | 38.58 |
| OK | 0.79 | 11.01 | 1.43 | 0.93 | 0.12 | 0.83 | 0.96 | 0.03 | 0.92 | 40.16 | 21.84 | 43.96 | |
| GWRearly | 0.86 | 8.54 | 0.74 | 0.97 | 0.10 | 0.88 | 0.99 | 0.02 | 0.98 | 15.17 | 37.74 | 36.58 | |
| GWRlate | 0.85 | 8.55 | 0.75 | 0.96 | 0.10 | 0.86 | 0.99 | 0.02 | 0.98 | 15.28 | 38.42 | 36.18 | |
| d = 13.3 km | IDW | 0.94 | 4.42 | 0.56 | 0.98 | 0.03 | 0.95 | 1.00 | 0.00 | 0.99 | 5.37 | 5.15 | 38.43 |
| OK | 0.78 | 6.65 | 5.05 | 0.89 | 0.13 | 0.80 | 0.93 | 0.01 | 0.91 | 108.01 | 49.32 | 40.90 | |
| GWRearly | 0.90 | 7.47 | 0.64 | 0.97 | 0.09 | 0.89 | 0.99 | 0.01 | 0.98 | 6.39 | 8.03 | 35.71 | |
| GWRlate | 0.88 | 7.47 | 0.73 | 0.96 | 0.10 | 0.87 | 0.99 | 0.01 | 0.98 | 6.44 | 8.20 | 35.42 | |
| d = 10.3 km | IDW | 0.97 | 2.63 | 0.34 | 0.99 | 0.02 | 0.97 | 1.00 | 0.00 | 1.00 | 3.14 | 2.78 | 37.82 |
| OK | 0.71 | 10.72 | 4.44 | 0.81 | 0.09 | 0.74 | 0.89 | 0.01 | 0.87 | 442.73 | 176.94 | 38.01 | |
| GWRearly | 0.93 | 5.75 | 0.51 | 0.97 | 0.07 | 0.91 | 1.00 | 0.01 | 0.99 | 4.44 | 4.52 | 34.35 | |
| GWRlate | 0.92 | 5.80 | 0.55 | 0.97 | 0.08 | 0.89 | 0.99 | 0.01 | 0.99 | 4.51 | 5.04 | 34.12 | |
| d = 8.7 km | IDW | 0.99 | 1.36 | 0.16 | 0.99 | 0.01 | 0.98 | 1.00 | 0.00 | 1.00 | 1.20 | 1.24 | 39.89 |
| OK | 0.61 | 15.94 | 5.60 | 0.76 | 0.08 | 0.69 | 0.86 | 0.01 | 0.85 | 1173.73 | 538.79 | 36.71 | |
| GWRearly | 0.95 | 5.35 | 0.43 | 0.98 | 0.06 | 0.92 | 1.00 | 0.01 | 0.99 | 3.18 | 3.29 | 32.38 | |
| GWRlate | 0.94 | 5.19 | 0.46 | 0.97 | 0.07 | 0.91 | 1.00 | 0.01 | 0.99 | 3.21 | 3.60 | 32.35 | |
| Evaluation of NRT Satellite Precipitation | Interpolation Scheme | Distance | Index | |||||||||||
|---|---|---|---|---|---|---|---|---|---|---|---|---|---|---|
| CC | RB | RMSE | POD | FAR | CSI | VHI | VHAR | VCSI | SE | RE | SEP | |||
| IMERG early VS | IDW | d = 32.6 km | 0.50 | −44.30 | 2.54 | 0.82 | 0.06 | 0.78 | 0.91 | 0.02 | 0.89 | 39.59 | 12.36 | 65.15 |
| d = 23.1 km | 0.49 | −42.05 | 2.66 | 0.83 | 0.07 | 0.78 | 0.92 | 0.02 | 0.90 | 46.54 | 12.64 | 65.35 | ||
| d = 16.3 km | 0.47 | −39.58 | 2.67 | 0.83 | 0.08 | 0.78 | 0.92 | 0.03 | 0.90 | 49.04 | 13.07 | 65.11 | ||
| d = 13.3 km | 0.46 | −38.39 | 2.71 | 0.83 | 0.09 | 0.77 | 0.92 | 0.03 | 0.90 | 50.72 | 13.24 | 65.67 | ||
| d = 10.3 km | 0.45 | −38.62 | 2.76 | 0.83 | 0.09 | 0.78 | 0.93 | 0.03 | 0.91 | 53.72 | 13.39 | 65.77 | ||
| d = 8.7 km | 0.45 | −38.89 | 2.78 | 0.84 | 0.09 | 0.78 | 0.93 | 0.03 | 0.91 | 54.44 | 13.39 | 65.75 | ||
| OK | d = 32.6 km | 0.45 | −43.46 | 2.42 | 0.80 | 0.06 | 0.76 | 0.90 | 0.03 | 0.88 | 34.45 | 13.04 | 61.47 | |
| d = 23.1 km | 0.45 | −42.76 | 2.62 | 0.81 | 0.06 | 0.77 | 0.90 | 0.03 | 0.87 | 43.31 | 13.14 | 63.39 | ||
| d = 16.3 km | 0.43 | −41.83 | 2.80 | 0.81 | 0.08 | 0.75 | 0.91 | 0.05 | 0.87 | 56.49 | 13.60 | 65.55 | ||
| d = 13.3 km | 0.39 | −42.11 | 3.15 | 0.81 | 0.12 | 0.73 | 0.91 | 0.09 | 0.84 | 88.67 | 14.21 | 68.89 | ||
| d = 10.3 km | 0.32 | −47.24 | 4.29 | 0.81 | 0.21 | 0.67 | 0.89 | 0.16 | 0.76 | 225.03 | 14.81 | 75.87 | ||
| d = 8.7 km | 0.28 | −54.78 | 7.75 | 0.80 | 0.27 | 0.62 | 0.86 | 0.23 | 0.69 | 1547.46 | 15.34 | 81.31 | ||
| GWRearly | d = 32.6 km | 0.69 | −45.32 | 1.96 | 0.80 | 0.06 | 0.76 | 0.91 | 0.02 | 0.89 | 23.59 | 8.10 | 63.93 | |
| d = 23.1 km | 0.66 | −45.79 | 2.15 | 0.80 | 0.06 | 0.77 | 0.92 | 0.02 | 0.90 | 31.27 | 9.02 | 64.75 | ||
| d = 16.3 km | 0.60 | −44.45 | 2.32 | 0.81 | 0.06 | 0.77 | 0.92 | 0.02 | 0.90 | 36.24 | 10.41 | 64.15 | ||
| d = 13.3 km | 0.57 | −43.77 | 2.37 | 0.81 | 0.06 | 0.77 | 0.92 | 0.03 | 0.90 | 38.68 | 10.99 | 63.73 | ||
| d = 10.3 km | 0.54 | −43.10 | 2.46 | 0.81 | 0.07 | 0.77 | 0.92 | 0.03 | 0.90 | 41.81 | 11.63 | 64.31 | ||
| d = 8.7 km | 0.53 | −42.80 | 2.51 | 0.82 | 0.07 | 0.78 | 0.93 | 0.03 | 0.90 | 43.64 | 11.98 | 64.90 | ||
| True Precipitation | 0.45 | −38.60 | 2.78 | 0.84 | 0.09 | 0.78 | 0.93 | 0.03 | 0.91 | 53.70 | 13.33 | 65.24 | ||
| IMERG late VS | IDW | d = 32.6 km | 0.47 | −33.37 | 2.10 | 0.82 | 0.09 | 0.76 | 0.92 | 0.04 | 0.89 | 36.70 | 14.07 | 60.76 |
| d = 23.1 km | 0.45 | −30.95 | 2.22 | 0.83 | 0.10 | 0.76 | 0.93 | 0.04 | 0.89 | 43.19 | 14.54 | 61.69 | ||
| d = 16.3 km | 0.43 | −27.77 | 2.25 | 0.83 | 0.11 | 0.76 | 0.93 | 0.05 | 0.89 | 45.54 | 14.96 | 61.92 | ||
| d = 13.3 km | 0.42 | −26.58 | 2.28 | 0.83 | 0.12 | 0.75 | 0.93 | 0.05 | 0.89 | 48.24 | 15.21 | 62.69 | ||
| d = 10.3 km | 0.41 | −27.11 | 2.32 | 0.83 | 0.12 | 0.76 | 0.93 | 0.05 | 0.89 | 50.92 | 15.39 | 62.77 | ||
| d = 8.7 km | 0.41 | −27.28 | 2.34 | 0.84 | 0.12 | 0.76 | 0.94 | 0.05 | 0.89 | 51.97 | 15.48 | 62.96 | ||
| OK | d = 32.6 km | 0.42 | −32.95 | 2.01 | 0.81 | 0.07 | 0.76 | 0.91 | 0.04 | 0.88 | 31.63 | 14.85 | 57.14 | |
| d = 23.1 km | 0.40 | −32.18 | 2.17 | 0.82 | 0.08 | 0.76 | 0.91 | 0.05 | 0.87 | 40.26 | 15.11 | 59.68 | ||
| d = 16.3 km | 0.38 | −31.46 | 2.34 | 0.82 | 0.10 | 0.75 | 0.91 | 0.06 | 0.86 | 54.12 | 15.73 | 62.04 | ||
| d = 13.3 km | 0.35 | −31.41 | 2.62 | 0.82 | 0.14 | 0.73 | 0.91 | 0.10 | 0.83 | 85.43 | 16.25 | 66.15 | ||
| d = 10.3 km | 0.29 | −36.66 | 3.60 | 0.82 | 0.23 | 0.66 | 0.90 | 0.18 | 0.75 | 221.57 | 16.72 | 73.87 | ||
| d = 8.7 km | 0.26 | −46.35 | 6.50 | 0.81 | 0.28 | 0.61 | 0.87 | 0.24 | 0.68 | 1544.08 | 17.23 | 79.32 | ||
| GWRlate | d = 32.6 km | 0.67 | −35.36 | 1.59 | 0.81 | 0.09 | 0.75 | 0.92 | 0.04 | 0.89 | 20.67 | 9.35 | 55.33 | |
| d = 23.1 km | 0.63 | −35.89 | 1.77 | 0.81 | 0.09 | 0.75 | 0.93 | 0.04 | 0.89 | 28.82 | 10.57 | 56.56 | ||
| d = 16.3 km | 0.57 | −34.04 | 1.90 | 0.81 | 0.10 | 0.74 | 0.93 | 0.04 | 0.89 | 33.32 | 12.03 | 57.49 | ||
| d = 13.3 km | 0.54 | −33.01 | 1.97 | 0.81 | 0.10 | 0.74 | 0.93 | 0.05 | 0.89 | 35.18 | 12.82 | 57.92 | ||
| d = 10.3 km | 0.52 | −32.15 | 2.04 | 0.82 | 0.10 | 0.75 | 0.93 | 0.05 | 0.89 | 39.07 | 13.34 | 59.20 | ||
| d = 8.7 km | 0.50 | −31.52 | 2.09 | 0.82 | 0.10 | 0.76 | 0.93 | 0.05 | 0.89 | 40.90 | 13.82 | 60.28 | ||
| True Precipitation | 0.41 | −26.96 | 2.34 | 0.84 | 0.12 | 0.76 | 0.94 | 0.05 | 0.89 | 51.26 | 15.47 | 62.45 | ||
Disclaimer/Publisher’s Note: The statements, opinions and data contained in all publications are solely those of the individual author(s) and contributor(s) and not of MDPI and/or the editor(s). MDPI and/or the editor(s) disclaim responsibility for any injury to people or property resulting from any ideas, methods, instructions or products referred to in the content. |
© 2025 by the authors. Licensee MDPI, Basel, Switzerland. This article is an open access article distributed under the terms and conditions of the Creative Commons Attribution (CC BY) license (https://creativecommons.org/licenses/by/4.0/).
Share and Cite
Zhang, Y.; Wang, L.; Li, Y.; Wang, Y.; Yao, F.; Chen, Y. Impacts of Reference Precipitation on the Assessment of Global Precipitation Measurement Precipitation Products. Remote Sens. 2025, 17, 624. https://doi.org/10.3390/rs17040624
Zhang Y, Wang L, Li Y, Wang Y, Yao F, Chen Y. Impacts of Reference Precipitation on the Assessment of Global Precipitation Measurement Precipitation Products. Remote Sensing. 2025; 17(4):624. https://doi.org/10.3390/rs17040624
Chicago/Turabian StyleZhang, Ye, Leizhi Wang, Yilan Li, Yintang Wang, Fei Yao, and Yiceng Chen. 2025. "Impacts of Reference Precipitation on the Assessment of Global Precipitation Measurement Precipitation Products" Remote Sensing 17, no. 4: 624. https://doi.org/10.3390/rs17040624
APA StyleZhang, Y., Wang, L., Li, Y., Wang, Y., Yao, F., & Chen, Y. (2025). Impacts of Reference Precipitation on the Assessment of Global Precipitation Measurement Precipitation Products. Remote Sensing, 17(4), 624. https://doi.org/10.3390/rs17040624
