Abstract
The generalized Radon–Fourier transform (GRFT) is a well-established coherent accumulation technique for high-speed and high-mobility target detection. However, this method tends to suffer from the difficulty of identifying the main lobe from multiple blind speed sidelobes (BSSLs) and the computational complexity is generally high. To address these challenges, we propose a new method, namely the BSSL Traction Particle Swarm Optimization (BTPSO), to robustly and accurately extract the main lobe. In the method, the relationship between the main lobe and the BSSLs is used to attract particles to potential positions of the main lobe in the group when trapped in local optimal, and a new termination criterion in which multiple particles should converge to the same optimal value is proposed to avoid local convergence. Simulation examples show that the proposed method can improve the probability of converging to the main lobe peak while reducing cost time, and its good adaptability to low signal-to-noise ratio (SNR) cases is well verified.
1. Introduction
The coherent accumulation of radar echoes presents significant challenges in the areas of high-speed and highly maneuverable target detection and measurement [1,2,3,4,5]. These targets can cause range migration (RM) and Doppler migration (DM), which will reduce the energy accumulation gain for traditional algorithms, particularly affecting small and weak targets [6,7,8,9]. In this sense, compensations of envelop and phase are required to enhance the accumulation effect [10,11,12]. The most important types of migrations include the range walk (RW) caused by velocity effect, the range curvature (RC) and Doppler walk (DW) caused by acceleration effect, the third-order range walk (TRW) and Doppler curvature (DC) caused by jerk effect, and so on.
Typical motion compensation methods to correct these migrations can be categorized into three types. The first type is Keystone-based algorithms, i.e., the Keystone transform (KT) [13,14,15], the second-order KT (SKT) [16], and the third-order KT (TKT) [3,17], which are suitable to correct RW, RC, and TRW, respectively. Typically, each of these algorithms is tailored to a given type of migration [18,19], and the main drawback is the need for interpolation and searching velocity ambiguity. The second type is autocorrelation kernel-based, such as the discrete polynomial-phase transform (DPT) [20], the high-order ambiguity function (HAF) [21,22], the adjacent cross-correlation function (ACCF) [23], the Wigner–Ville distribution (WVD) [24,25], and the Lv’s distribution (LVD) [26,27]. They can reduce the motion order by performing one or more autocorrelation operations but may deteriorate the resolution of motion parameters and suffer from cross-term interference with multiple targets. The third type is the Radon-based methods, including the Radon–Fourier transform (RFT) [28,29,30,31] for first-order motion (constant velocity motion) and the generalized Radon–Fourier transform (GRFT) [32,33] for higher-order motions. They can simultaneously compensate the RMs and the DMs, offering superior energy accumulation performance due to their maximum likelihood estimation properties, and the mathematical forms for different order motions are quite consistent. However, they are affected by the blind speed sidelobe (BSSL) effect and the computational complexity for high motion order may greatly increase.
To improve the computational efficiency and suppress the BSSL effect of GRFT, various strategies [34] have been investigated. Some concentrate on parallel implementation to reduce computational load. Others divide echo data into multiple segments or sub-apertures to reduce search amount [35,36], but this leads to the decrease in accumulation effect. Some studies use a pre-trained deep neural network (DNN) to roughly estimate the motion parameters first, so as to diminish the search region [37,38,39,40]. However, this only yields modest improvement at the cost of a multi-dimensional search [41]. Moreover, window functions used with optimization algorithms do not completely eliminate BSSLs [42]. Furthermore, researchers have suggested the BSSL learning-based Particle Swarm Optimization (BPSO) [33,43] and the BSSL learning-based modified wind-driven optimization (BMWDO) [6,44] algorithms. These algorithms utilize the relationship between the main lobe and the center of BSSLs during the optimization process. When a solution becomes trapped in a local optimal within the BSSL, there is a certain probability of transitioning to the main lobe.
While the BSSL learning-based class algorithm is a well-recognized method for quickly solving GRFT with relatively high success probability, it does have notable shortcomings:
- Rough Sidelobe Waveform Representation: It roughly simplifies the representation of the sidelobe waveform to a simple “trapezoidal” shape, marking its center as the optimal peak [29,43]. In practice, this assumption is often inaccurate.
- Dependence on Accurate Special Relationship: The algorithm heavily relies on the accuracy of the spatial relationship between the local and global optima, which cannot be adequately replaced by the known correlation between the main lobe and the center of BSSLs, especially when the BSSL peak is not centered. This reliance reduces the success probability of transitioning from “wide” BSSLs to a “narrow” main lobe.
- Premature Convergence Issues: Traditional termination criteria consider the solution final when the algorithm fails to escape from a local optimum after numerous attempts, certain time spent, and so on. However, in dealing with optimization problems in GRFT which features complex structures—such as multiple sidelobes, several sinc-shaped minor lobes, and added noise—this situation occurs too frequently. Therefore, a stricter termination criterion is needed.
To address these issues, we propose the following innovations:
- Accurate Sidelobe Model: We employ the sine integration function method to mathematically represent the BSSLs and reveal the sidelobe plateau region phenomenon, highlighting that the optimal peak of the sidelobes is not centered.
- Fast Implementation Technique: We introduce the BTPSO algorithm for GRFT, which utilizes, but does not heavily depend on, the positional relationship between the main lobe and the BSSLs. By employing group thinking, the main lobe and the sidelobes work together to attract corresponding particles to explore their nearby regions. This approach helps in finding more optimal positions when particles become trapped in local optimal sidelobes.
- Novel Termination Criterion: We consider a solution final only when multiple particles converge at the same local optimum, reducing the probability of mistakenly recognizing premature local convergence as the global optimum.
With these improvements, we can achieve a significantly higher success probability (close to 100%) in locating the main lobe peak with low time costs. This approach also demonstrates better adaptability to low SNR data, especially in scenarios where the plateau region phenomenon is present.
The following contents are organized as follows: Section 2 outlines the GRFT algorithm model and emphasizes the plateau region phenomenon of BSSL; Section 3 proposes the BTPSO algorithm and the termination criterion; Section 4 demonstrates the method’s effect through simulation experiments. Finally, we provide the conclusion.
2. Principle of GRFT Theory
2.1. Algorithm Principle
It is assumed that the pulse radar transmits the linear frequency modulated signal:
where is the fast time, is the slow time, T is the pulse period, is the pulse number, is the time duration, is the pulse width, is the carrier frequency, is the frequency modulation ratio, is the signal bandwidth. The function rect is the rectangle function.
If the motion model of the target is , the backscatter echo after down-conversion and pulse compression is
where represents the complex amplitude (to facilitate our discussion, let us assume ), stands for the speed of light, and is calculated as , where is the center wavelength and sinc is defined as sin. Equation (2) shows that the target motion influences both the envelope and phase of the echo. When crosses multiple distance units and Doppler units, the direct inter-pulse accumulation of echo results in energy loss.
If the motion is modeled as a polynomial of order L:
where are the motion parameters, then the L-th GRFT can be used to compensate the migration:
where represents the range resolution, represent the parameters in the transform domain. When , both RM and DM can be accurately compensated, and the accumulation of GRFT reaches the maximum value, denoted as M. Therefore, the migration compensation is converted into a problem of multi-parameter search. If the searching numbers required for are , respectively, the total number of search should be
2.2. BSSL Effect and Plateau Region Phenomenon
The GRFT algorithm accumulates echoes in the slow time dimension, which can lead to undersampling if the slow time sampling interval T is large. According to Nyquist sampling theorem, BSSL effects may arise when the difference between the searching frequency shift and the true frequency shift is not less than half of the pulse repetition frequency (PRF). Specifically, BSSLs occur when the phase term in (4) meets certain conditions:
where ‘|’ represents an integral division symbol, the conditions for generating BSSL can be expressed as:
In the formula, q is an integer, and is the blind speed. When the condition in (7) is met, the sidelobe becomes the q-th order BSSL. Substituting (7) into (4), the GRFT equation becomes:
For , the envelope position varies with m.
By approximating the accumulation as an integral, we can further derive that
where
is the number of range migration cells due to the q-th blind speed. The sine-integral function Si is defined as:
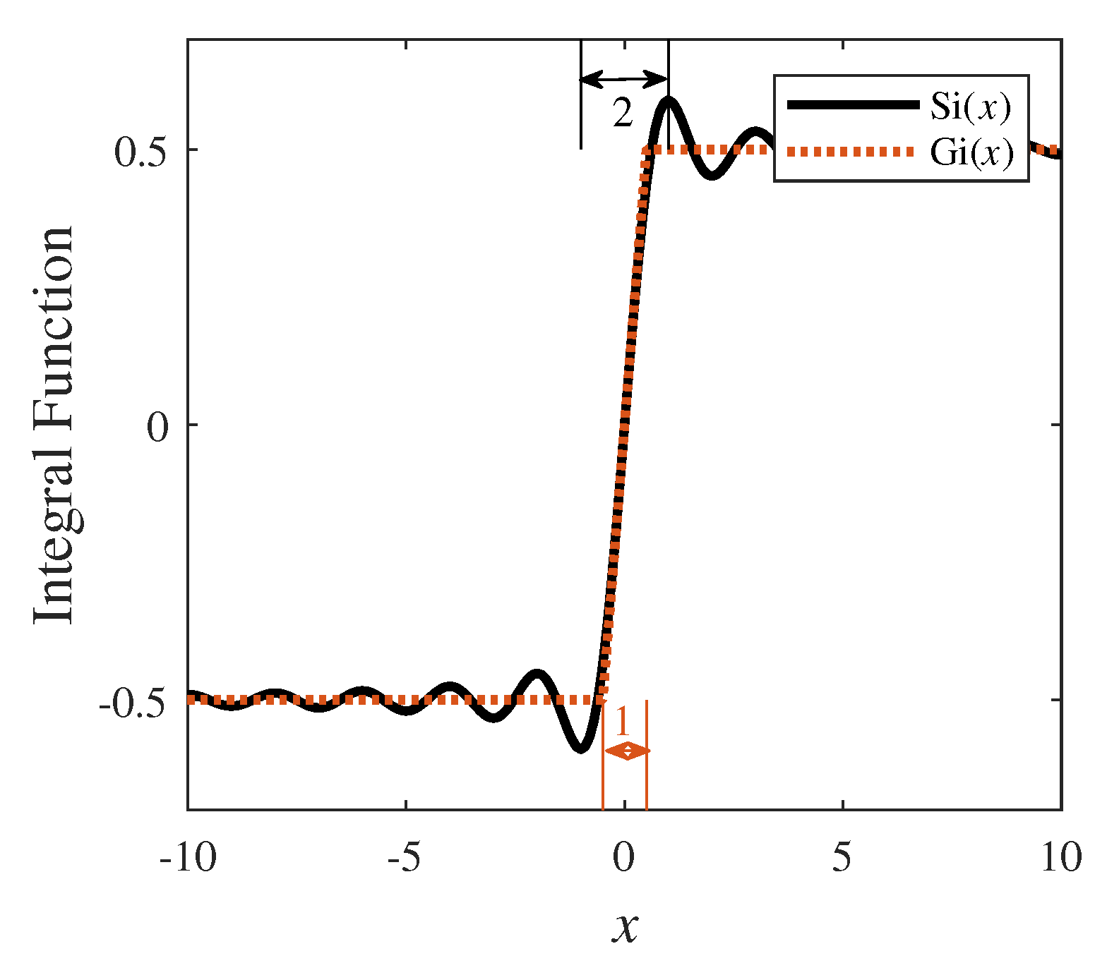
Figure 1 illustrates the curve of Si with a solid black line, while the rectangle integral function Gi (integration of rect) is shown as a dashed red line for comparison since traditional methods often simplify the sinc function by using the rect function. It is obvious that the sinc function exhibits the Gibbs phenomenon [45], which is also the root cause of the BSSL plateau region phenomenon.
Figure 1.
The BSSL effect analyzed using the sine-integral function and the Gibbs phenomenon through simulation.
According to (9), the sidelobes of GRFT can be curved taking the difference in Si at two equally spaced points separated by . Since the size of the monotone interval of is 2, while that of Gi is 1, the monotone interval of Si is extended further by to both ends than that of Gi, and we agree that when , the plateau region phenomenon occurs, and the plateau region size is relevant to ; this agreement can reflect the distance between two peaks at both ends and also fits the simulation result that the performance of traditional method starts to drop when . Typical sidelobe examples are shown in Figure 2.
Figure 2.
Typical examples of GRFT sidelobes on slice using the difference between two sine-integral functions through simulation.
When , the sidelobes become extended, and the peaks at both ends gradually separate as increases, becoming higher than the central spectral value.
Compared to traditional analysis, our analysis reveals that fluctuations exist in the sidelobe plateau region, with the highest peaks at both ends, as indicated by the solid black lines in Figure 2. While traditional methods, which use rect function to envelope (2), may result in a uniform trapezoidal sidelobe plateau region (red dashed line), mistakenly suggest that the center is the highest peak. This misconception can impact traditional BSSL-learning-based fast implementation methods, which heavily rely on positional accuracy, risking failure in the transition from the sidelobe to the main lobe.
Key parameters of the plateau region are the center position , the size , the height :
As indicated by (13), the size of the plateau region can be determined not only by the blind speed migration cells but also by the relationship between bandwidth and center frequency, enabling predictions based on fundamental radar parameters. (12) and (14) remain consistent with those obtained from previous methods. As increases, the size of the plateau region expands, while its height decreases, meaning that the most severe plateau region effect happens where is just above 2, but not significantly higher. If becomes too large, the sidelobe levels will decrease significantly, making them closer to the noise level. Consequently, the disadvantage in comparison to the main lobe becomes too significant. Typically, low-order BSSL, which generates higher peaks, leads to a more severe plateau region effect as long as it satisfies .
Combining (7) and (12), the positional relationship between the BSSLs and the main lobe is given by
where
indicating the transverse vector from the main lobe to the sidelobe of order q.
In our approach, we still utilize the positional relationship in (15) as a reference, though it does not accurately describe all peak positions, especially the highest ones at both ends. The proposed method only requires a reference relationship, not an accurate one.
More intuitively, the simulated GRFT spectrum of a typical moving target is displayed in Figure 3a, alongside the simulation parameters from Section 4. This illustrates that as the order q increases, the sidelobe plateau region broadens while its peaks decrease, as noted in (13) and (14). This effect is particularly evident for , the side plateau region phenomenon is obvious. A closer look at the sidelobe of order −3 in Figure 3b reveals multiple spectral peaks, with the central peak being suboptimal, consistent with our analysis. The shape of the BSSL seems slightly different from that in Figure 2 as this is a two-dimensional view in the r-v plane, while Figure 2 presents a slice at .
Figure 3.
GRFT spectra of typical moving targets through simulation. (a) GRFT spectrum. (b) BSSL of −3rd order.
3. BSSL Traction Particle Swarm Optimization (BTPSO)
3.1. Problems with the Existing Algorithms
The existing Particle Swarm Optimization (PSO) [46,47,48] updates each particle’s velocity vector based on two key positions: its self best position and the global best position among all particles . During iterations, particles move toward a direction weighted between these two positions. However, the algorithm can become trapped in local optima, resulting in sub-optimal solutions and incorrect motion parameters.
A modified approach to the PSO algorithm, called BSSL-learning-based Particle Swarm Optimization (BPSO), utilizes the positional relationship between the main lobe and sidelobes. When the algorithm converges locally to a sidelobe, it calculates the objective function values for all related spectral lobe positions in (15). If a spectral lobe has a better function value, it is designated as a better lobe, indicating a successful transition. However, this method struggles with the plateau region phenomenon of sidelobes. Transitioning from a “wide sidelobe” to a “narrow main lobe” is quite challenging because the algorithm may converge on any spectral peak within the plateau region, often missing the suboptimal central peak. This reduces the chances of successfully transitioning from the local optimal solution to the global optimum in the main lobe. Therefore, it is essential to address the plateau region characteristics to enhance this transition.
Moreover, the current normal termination criterion for the PSO algorithm stops the process when changes in the optimal objective function are less than a specified tolerance after a set number of iterations. However, in GRFT problems with significant BSSL effects, this can lead to non-global optimal solutions. Therefore, it is crucial to improve the termination criteria to minimize the risk of converging to local optima.
3.2. BTPSO Algorithm
To address issues from the sidelobe plateau region, we propose the BTPSO algorithm. Unlike BPSO, this new approach considers the effect of the sidelobe plateau region phenomenon. In each iteration, based on the global optimal position , multiple regional optimal positions are established using the formula:
These positions attract nearby particles, guiding them to converge toward their respective in the group. When an optimal particle converges locally on a sidelobe, the corresponding nearby the main lobe will attract surrounding particles, help them traverse and explore the area nearby the , which significantly increase the chances of finding the main lobe nearby.
The differences between the newly proposed BTPSO algorithm and the traditional BPSO algorithm are as follows:
- The BTPSO method generates multiple values, allowing nearby particles to cluster around them. In contrast, traditional BPSO relies on a single to attract all particles, which limits its ability to explore areas surrounding the main lobe. As a result, the BTPSO can locate the main lobe more quickly and efficiently.
- The BTPSO method requires only a rough relationship in (15). In contrast, traditional BPSO needs a precise relationship to correctly identify the position within the main lobe peak. Consequently, when faced with the plateau region effect, where the sidelobe is much wider than the main lobe and the highest peak may not be centrally located, the BPSO is less effective while the BTPSO is still effective.
3.3. Enhance Termination Criterion
We enhance the termination criterion of the algorithm to minimize the risk of converging on a suboptimal peak. Traditionally, the algorithm stops when the change in the objective function is below a set tolerance after several iterations. However, multiple spectral peaks in GRFT spectra can trap the solution even after many iterations, leading to premature convergence.
The probability of multiple particles simultaneously converging on the same suboptimal spectral peak is relatively low, as there are many peaks and each one is less dominant. If convergence occurs, it is likely the main lobe peak. Therefore, we propose a new termination criterion: the algorithm will only terminate if a certain number of particles converge on a specific spectral peak simultaneously. The mathematical description is as follows:
where denotes the set of self best positions of all particles, mink refers to the Pth smallest value among all, represents the objective function value and is the function tolerance.
The termination criteria used in this paper are as follows:
- Criterion 1: The number of iteration steps k exceeds the maximum number of iterations K, i.e., .
- Criterion 2: After iteration I for the optimal value of the objective function, the change is still less than the function tolerance :
- Criterion 3: The difference in objective values between the optimal particle and the Pth ranked particle is less than the specified function tolerance , referred as (18).
3.4. Execution Stages of the Algorithm
In the BTPSO algorithm, the objective function is defined as:
where and set the search bounds.
The execution steps are detailed in Appendix A and summarized in Figure 4. The process consists of four stages: First, particles are uniformly distributed in the search region. Second, the algorithm finds a sub-optimal peak, likely at the ends of the sidelobe, and the corresponding positions are determined, which group the particles to converge to their nearby lgbest positions. Third, as particles cluster and wander around the lgbest positions, the main lobe nearby one of the lgbest is found, and the solution updates. Lastly, the updated position generates new lgbest values, attracting nearby particles, until more than K particles converge on the same optimal value, and the solution remains unchanged for I iterations. In this case, the target is believed to exist and its motion parameters are successfully obtained. Conversely, if the maximum iterations are exceeded, it suggests there is no target.
Figure 4.
Key stages of the proposed algorithm, and comparison with the traditional method.
It is worth noting that the BTPSO algorithm parameters must align with the GRFT problem’s characteristics, which include a narrow main lobe and poor monotonicity. To improve exploration and avoid premature convergence, set the self-adjustment weight slightly higher, the social adjustment weight slightly lower, and the initial inertia weight w slightly higher. These adjustments will slow particle convergence and promote better exploration of positions.
4. Simulation Experiment
This section highlights the effectiveness of the BTPSO algorithm and its new termination criterion in solving GRFT through simulations. It examines calculation execution time and success probability for finding the global optimum in the main lobe. Notably, the success probability is distinguished from the detection probability by including accurate motion parameters. The performance is compared to ergodic search, PSO and BPSO algorithms, as well as traditional termination criteria. The analysis also considers SNR and plateau region size. In addition, comparisons are made between this method and the segmentation PSO algorithm. The MATLAB code for the proposed BTPSO algorithm, as well as for the traditional PSO and BPSO algorithms, including both traditional and proposed termination criteria, see Supplementary Materials.
The experiment conditions, including LFM radar, target motion, and fast implementation parameters, are in Table 1. Using the radar and target specifications, we can simulate and generate echo data for analysis. The constant acceleration target leads to significant range and velocity migration, with six BSSLs in the search region and no blind range sidelobe.
Table 1.
Parameters of radar, target and algorithm.
4.1. Performance of the Proposed Algorithm
The Monte Carlo method is employed to simulate the effects of the BTPSO algorithm in comparison with traditional PSO and BPSO algorithms. Additionally, the effect of the ergodic search method is also displayed. The BPSO and PSO algorithms are simulated 100 times each, while the BTPSO algorithm is simulated 500 times for greater accuracy in success probability.
The data in Figure 5a illustrate that the execution time for the three optimization algorithms is significantly lower than that of the ergodic search method. Notably, the proposed BTPSO algorithm takes only 1.36 s, about 60∼95% shorter than the other two algorithms, enhancing efficiency and reducing computational costs.
Figure 5.
Comparison of execution time and success probability of four algorithms and two termination criteria. (a) Algorithm execution time. (b) Algorithm success probability.
As shown in Figure 5b, the success probability of the proposed algorithm is , nearly reaching 100%, while BPSO and PSO have success probabilities of about 78% and 27%, respectively. This highlights the impressive performance of BTPSO.
In summary, BTPSO outperforms traditional PSO-based algorithms with a higher success probability and shorter execution time, achieving near-optimal results.
4.2. Performance of the Proposed Termination Criterion
We evaluate the termination criteria of three optimization algorithms with two comparison types:
- C2: Criterion 1 or Criterion 2
- C3: Criterion 1 or (Criterion 2 and Criterion 3)
C3 includes our newly proposed criterion. We compare the execution time and the success probability under two termination criteria. As shown in Figure 5.
As shown in Figure 5b, under C3, the success probabilities for the PSO, BPSO, and BTPSO algorithms have all improved, increasing to , , and , respectively, despite an increase in computation time (Figure 5a). Notably, BTPSO experiences only a slight increase in time. Therefore, the strategy of having multiple particles converge on the same optimal solution performs well and effectively avoids permutation convergence.
Particularly, the success probability for BTPSO under C3 allows for fast GRFT implementation with high confidence, which is essential in situations that demand reliable results urgently.
4.3. Computation Efficiency Analysis
The proposed BTPSO algorithm, along with the traditional PSO and BPSO algorithms is a PSO-based optimization algorithm. Their computation efficiency is influenced by the number of iterations and the time required for each iteration (which depends on the particle swarm size S, time to calculate GRFT for one particle , and any additional time cost in each iteration ). In contrast, the ergodic search method’s efficiency relies on the total search count and the time cost per search . The overall time costs for these methods are summarized in Table 2.
Table 2.
Time cost of methods.
The additional time costs for BTPSO and BPSO is theoretically greater than that of PSO due to more logical and mathematical operations. However, this becomes negligible compared to the total time cost of all particles per iteration , leading to . Figure 6 shows that the average iterations required are similar to the time costs in Figure 5a, indicating a positive correlation between time costs and iterations. The proposed BTPSO method requires the fewest iterations because it enhances efficiency in finding the global optimum, while PSO and BPSO are less effective. Under C3, the algorithms take more iterations to allow multiple particles to converge on the same position, particularly for PSO, which requires even more iterations due to its poorer convergence performance. The ergodic method has a significantly larger search count, especially with a high motion order L, posing a risk of the “curse of dimensionality”. In contrast, particles in PSO-based methods are only sparsely distributed in the search area, needing much less calculations. Finally, we present the approximate time cost in Table 2, along with the following comparison:
Figure 6.
Comparison of algorithm iterations for different algorithms and termination criteria.
4.4. Performance Under Varying SNR
The probability of successfully obtaining the main lobe peak using the PSO, BPSO and BTPSO algorithms is analyzed through the Monte Carlo method over 500 trials, with SNR after pulse compression in the range of dB. “Success” is defined as having an error of less than ten resolution units between estimated and actual motion parameters at the main lobe peak, as shown in Figure 7a.
Figure 7.
The performance under varying SNR and bandwidth. (a) Different SNR. (b) Different number of migration cells (meaning different size of plateau region).
The BTPSO algorithm for GRFT shows improved convergence probability with higher SNR, as illustrated in Figure 7a. It outperforms both BPSO and PSO, particularly under low SNR, with an 11 dB increase in noise tolerance at an success probability. As SNR increases, the success probability approaches nearly . After incorporating Criterion 3, the BTPSO algorithm further enhances SNR tolerance by an additional 8 dB, highlighting the effectiveness of both the algorithm and the new termination criterion.
4.5. Performance Under Varying Plateau Region Size
According to formula (13), adjusting the transmitted signal bandwidth can influence the sidelobe plateau size. This analysis uses the number of migration cells () defined in (10) to represent the size. The bandwidth ranges from 1 MHz to 40 MHz, resulting in values from 0.1 to 4. The 1st, 2nd and 3rd plateau region phenomena starts when , respectively. The success probability of the algorithm varies with , determined through 500 Monte Carlo simulations, as illustrated in Figure 7b.
From Figure 7b, the BTPSO algorithm maintains a success probability near , indicating optimal performance across all plateau sizes. In contrast, the BPSO algorithm’s success probability initially drops to around after encountering the 1st BSSL plateau region, suggesting the 1st BSSL plateau region significantly impacts its performance. The gradual recovery in success probability is due to the decreasing height of the plateau relative to the main lobe (as described in (13)), which lessens the influence of the BSSL.
4.6. Performance Under Different Motion Order
In this subsection, we evaluate the algorithm’s success probability for various target motion orders, from first (uniform velocity) to tenth. A comparison of the BTPSO algorithm with others via Monte Carlo simulation is shown in Figure 8.
Figure 8.
Performance across different motion orders.
It can be seen that BTPSO fits different motion orders well, while the success probability of BPSO declines with increasing motion order, and PSO remains below 50%. Thus, the proposed BTPSO algorithm has better performance than traditional methods.
4.7. Additional Discussion for BTPSO
The proposed BTPSO algorithm organizes particles into groups, each focusing on its own regional optimal position . This introduces the concept of a piecewise solution. In contrast, the segmentation PSO (SPSO) algorithm, which segments the search region into sub-regions centered on either the main lobe or a BSSL, executes the algorithm separately in each sub-region. The optimal objective function values from these sub-regions are compared for an overall optimal value.
The initial velocity ranges from [1500, 2500] (Unit: m/s) divided into intervals: [1500, 1625], [1625, 1775], [1775, 1925], [1925, 2075], [2075, 2225], [2225, 2375] and [2375, 2500], resulting in seven sub-regions. Each sub-region has a particle population size between to . We tested various particle swarm sizes through 100 Monte Carlo simulations, comparing algorithm execution time and success probability, as shown in Figure 9.
Figure 9.
Comparison of BTPSO and SPSO. (a) Algorithm execution time. (b) Algorithm success probability.
BTPSO consistently demonstrates lower time costs than SPSO across varying swarm sizes between S and . With comparative success probability, its time cost is only about to of SPSO. This advantage comes from its grouping approach and the use of leveraging positional relationships between BSSL and the main lobe, which broadens the search area for optimal solutions.
5. Conclusions
This paper presents a fast implementation method for GRFT aimed at effectively and accurately detecting and measuring high-speed, high maneuverable targets. We address high computational cost and the BSSL effect, which existing optimization algorithms struggle to resolve, by proposing the BTPSO algorithm. We reveal the plateau region phenomenon using the sine integration function and discuss the shortcomings of traditional methods, along with strategies for improvement. Moreover, our new termination criterion increases the probability of finding the correct solution. Simulation results show that our algorithm outperforms traditional methods, including ergodic search, PSO, and BPSO, with shorter execution times and nearly success probability. It also shows improved success probability, particularly in low SNR environments. With these improvements, we are confident that this method is well suited for monitoring critical targets.
The BTPSO method effectively prevents BSSL interference and quickly solves GRFT, offering a promising alternative to existing PSO-based methods across various SNR, motion order and BSSL plateau region scenarios. However, at low SNR, its success probability is lower than direct ergodic search methods, making it essential to verify if the SNR after pulse compression exceeds a specific threshold before using BTPSO. In low-order motion scenarios, such as constant velocity motion, ergodic search could be considered. Additionally, the current study discusses the scenario of single-target motion, requiring further adaptation for multi-target scenarios.
Further research on the BTPSO algorithm can focus on key areas such as exploring better objective functions beyond the peak value of the GRFT spectrum. In low SNR scenarios, sidelobe peaks with added noise may be higher than the main lobe, suggesting alternatives like minimal width or minimal entropy [49]. Additionally, while rooted in PSO, the basic thinking could be adapted to other optimization methods, such as genetic algorithms (GAs) [50] and nondominated sorting genetic algorithm II (NSGA-II) [51,52], to find a better solution. For multiple target scenarios, methods like the “CLEAN” technique with a point spreading function [53] could help systematically track each target.
Supplementary Materials
The following supporting information can be downloaded at: https://www.mdpi.com/article/10.3390/rs17030475/s1, Code S1: MATLAB code of BTPSO.
Author Contributions
Conceptualization, D.S. and J.L. (Jianbing Li); methodology, D.S., J.L. (Jin Li); software, D.S., B.Z. and Q.C.; validation, D.S. and J.L. (Jianbing Li); formal analysis, H.X.; investigation, D.S.; resources, D.S.; data curation, D.S.; writing—original draft preparation, D.S.; writing—review and editing, D.S., H.X., Y.W. and J.L. (Jianbing Li); visualization, D.S.; supervision, J.L. (Jianbing Li); project administration, J.L.; funding acquisition, J.L. (Jin Li), Z.W., J.Y. and J.L. (Jianbing Li). All authors have read and agreed to the published version of the manuscript.
Funding
This work was funded in part by the National Natural Science Foundation of China (NSFC) under Grant 62231026.
Data Availability Statement
Not applicable.
Acknowledgments
The authors would like to thank the anonymous reviewers for their valuable and useful comments and suggestions that helped improve the paper.
Conflicts of Interest
The authors declare no conflicts of interest.
Appendix A. Detailed Execution Steps of the Algorithm
The flow of the algorithm is outlined as follows:
(1) Initialize particle swarm size S. The initial particles should be evenly distributed within the search area, The initial position of each particle is represented as , which indicates the initial motion parameters of the target, denoted as , and the initial velocity as . Here and the superscript indicates the iteration number. Next, set the inertial range , the self adjustment weight , the social adjustment weight . As the number of iterations increases, the inertial weight w linearly decreases from to . Define the maximum number of iterations as K, the function tolerance as , the maximum number of stall iterations as I and the minimum number of convergent particles as P. The self optimal of particle i is
The social optimal position of all particles, along with the regional optimal position corresponding to each particle is as follows:
(2) Update the position and velocity of the particles.
where ⊙ indicates that the elements in the first vector are multiplied by the corresponding elements in the second vector, resulting in a new vector with elements in the same position. All the elements in vector and are independent and identically distributed random variables uniformly distributed over the interval [0, 1].
(3) Update the self optimal position and regional optimal position for each particle:
The regional optimal position corresponding to each particle is determined according to the principle of nearest distance. This can be expressed mathematically as:
where denotes the Euclidean distance between vectors. Furthermore, if the number of particles corresponding to a specific —especially those close to the boundary—exceeds the average, the particles that are relative far away may be randomly reclassified to other regional optimal. This ensures that regions with insufficient particles can be supplemented in time.
(4) Repeat steps (2) and (3) until the termination criteria are satisfied.
References
- Li, X.; Sun, Z.; Yi, W.; Cui, G.; Kong, L. Radar Detection and Parameter Estimation of High-Speed Target Based on MART-LVT. IEEE Sen. J. 2019, 19, 1478–1486. [Google Scholar] [CrossRef]
- Jin, K.; Lai, T.; Zhu, S.; Li, G.; Zhao, Y. Coherent Detection and Parameter Estimation for Radar High-Speed Maneuvering Target Based on FAF–LVD. Circuits Syst. Signal Process. 2019, 39, 2600–2622. [Google Scholar] [CrossRef]
- Kong, L.; Li, X.; Cui, G.; Yi, W.; Yang, Y. Coherent Integration Algorithm for a Maneuvering Target with High-Order Range Migration. IEEE Trans. Signal Process. 2015, 63, 4474–4486. [Google Scholar] [CrossRef]
- Pei, J.; Huang, Y.; Chen, B.; Guan, J.; Cai, M.; Chen, X. Long Time Coherent Integration Method Based on Combining Pulse Compression and Radon-Fourier Transform. J. Radars 2021, 10, 956–969. [Google Scholar]
- Wang, C.; Wang, Y.; Liu, C.; Liu, B. A New Approach to Range Cell Migration Correction for Ground Moving Targets in High-resolution SAR System Based on Parameter Estimation. J. Radars 2019, 8, 64–72. [Google Scholar]
- Zhou, Y.; Xia, W.; Zhou, J.; Huang, L.; Huang, M. Coherent Integration Algorithm for Weak Maneuvering Target Detection in Passive Radar Using Digital TV Signals. In Machine Learning and Intelligent Communications; Springer: Cham, Switzerland, 2018; pp. 215–224. [Google Scholar]
- Li, X.; Yang, Y.; Sun, Z.; Cui, G.; Yeo, T.S. Multi-Frame Integration Method for Radar Detection of Weak Moving Target. IEEE Trans. Veh. Technol. 2021, 70, 3609–3624. [Google Scholar] [CrossRef]
- Zhang, M.; Zhang, R.; Yang, Y.; Bai, H.; Zhang, J.; Guo, J. ISNet: Shape Matters for Infrared Small Target Detection. In Proceedings of the 2022 IEEE/CVF Conference on Computer Vision and Pattern Recognition (CVPR), New Orleans, LA, USA, 18–22 June 2022. [Google Scholar]
- Zhang, M.; Zhang, R.; Zhang, J.; Guo, J.; Li, Y.; Gao, X. Dim2Clear Network for Infrared Small Target Detection. IEEE Trans. Geosci. Remote Sens. 2023, 61, 1–14. [Google Scholar] [CrossRef]
- Li, X.; Cui, G.; Yi, W.; Kong, L.J. Coherent Integration for Maneuvering Target Detection Based on Radon-Lv’s Distribution. IEEE Signal Process. Lett. 2015, 22, 1467–1471. [Google Scholar] [CrossRef]
- Rao, X.; Tao, H.; Su, J.; Xie, J.; Zhang, X. Detection of constant radial acceleration weak target via IAR-FRFT. IEEE Trans. Aerosp. Electron. Syst. 2015, 51, 3242–3253. [Google Scholar] [CrossRef]
- Suo, P.C.; Tao, S.; Tao, R.; Nan, Z. Detection of high-speed and accelerated target based on the linear frequency modulation radar. IET Radar Sonar Navig. 2014, 8, 37–47. [Google Scholar] [CrossRef]
- Zhu, D.; Li, Y.; Zhu, Z. A keystone transform without interpolation for SAR ground moving-target imaging. IEEE Geosci. Remote Sens. Lett. 2007, 4, 18–22. [Google Scholar] [CrossRef]
- Perry, R.P.; Dipietro, R.C.; Fante, R.L. SAR imaging of moving targets. IEEE Trans. Aerosp. Electron. Syst. 1999, 35, 188–200. [Google Scholar] [CrossRef]
- Sun, G.; Xing, M.; Xia, X.G.; Wu, Y.; Bao, Z. Robust Ground Moving-Target Imaging Using Deramp–Keystone Processing. IEEE Trans. Geosci. Remote Sens. 2013, 51, 966–982. [Google Scholar] [CrossRef]
- Kirkland, D. Imaging moving targets using the second-order keystone transform. Radar Sonar Navig. IET 2011, 5, 902–910. [Google Scholar] [CrossRef]
- Guo, X.; Wu, Z.; Wang, S.; Zhang, K.; Yang, X. A Maneuvering Target Compensation Algorithm Based on Third-Order Keystone Transform and Correlation Function. Radar Sci. Technol. 2022, 20, 629–634. [Google Scholar]
- Sun, Z.; Li, X.; Cui, G.; Yi, W.; Kong, L. A Fast Approach for Detection and Parameter Estimation of Maneuvering Target With Complex Motions in Coherent Radar System. IEEE Trans. Veh. Technol. 2021, 70, 10278–10292. [Google Scholar] [CrossRef]
- Tian, M.; Liao, G.; Zhu, S.; He, X.; Li, Y. An Efficient Method for Ground Maneuvering Target Refocusing and Motion Parameter Estimation Based on DPT–KT–MFP. Remote Sens. 2021, 13, 1092. [Google Scholar] [CrossRef]
- Peleg, S.; Friedlander, B. The discrete polynomial-phase transform. IEEE Trans. Signal Process. 1995, 43, 1901–1914. [Google Scholar] [CrossRef]
- Zhou, G.; Wang, Y. Exploring Lag Diversity in the High-Order Ambiguity Function for Polynomial Phase Signals. IEEE Signal Process. Lett. 1997, 4, 240–242. [Google Scholar] [CrossRef]
- Xia, X.G. Dynamic Range of the Detectable Parameters for Polynomial Phase Signals Using Multiple-Lag Diversities in High-Order Ambiguity Functions. IEEE Trans. Inf. Theory 2001, 47, 1378–1384. [Google Scholar] [CrossRef]
- Li, X.; Cui, G.; Yi, W.; Kong, L. A Fast Maneuvering Target Motion Parameters Estimation Algorithm based on ACCF. IEEE Signal Process. Lett. 2015, 22, 265–269. [Google Scholar] [CrossRef]
- Xia, X.G.; Chen, V. A Quantitative SNR Analysis for the Pseudo Wigner-Ville Distribution. IEEE Trans. Signal Process. 1999, 47, 2891–2894. [Google Scholar] [CrossRef]
- Huang, P.; Liao, G.; Yang, Z.; Xia, X.G.; Ma, J.T.; Zhang, X. A Fast SAR Imaging Method for Ground Moving Target Using a Second-Order WVD Transform. IEEE Trans. Geosci. Remote Sens. 2016, 54, 1940–1956. [Google Scholar] [CrossRef]
- Li, X.; Cui, G.; Kong, L.; Yi, W. Fast Non-Searching Method for Maneuvering Target Detection and Motion Parameters Estimation. IEEE Trans. Signal Process. 2016, 64, 2232–2244. [Google Scholar] [CrossRef]
- Lv, X.; Bi, G.; Wan, C.; Xing, M. Lv’s Distribution: Principle, Implementation, Properties, and Performance. IEEE Trans. Signal Process. 2011, 59, 3576–3591. [Google Scholar] [CrossRef]
- Xu, J.; Yu, J.; Peng, Y.N.; Xia, X.G. Radon-Fourier Transform for Radar Target Detection, I: Generalized Doppler Filter Bank. IEEE Trans. Aerosp. Electron. Syst. 2011, 47, 1186–1202. [Google Scholar] [CrossRef]
- Xu, J.; Yu, J.; Peng, Y.N.; Xia, X.G. Radon-Fourier Transform for Radar Target Detection (II): Blind Speed Sidelobe Suppression. IEEE Trans. Aerosp. Electron. Syst. 2011, 47, 2473–2489. [Google Scholar] [CrossRef]
- Yu, J.; Xu, J.; Peng, Y.N.; Xia, X.G. Radon-Fourier Transform for Radar Target Detection (III): Optimality and Fast Implementations. IEEE Trans. Aerosp. Electron. Syst. 2012, 48, 991–1004. [Google Scholar] [CrossRef]
- Shang, Z.; Tan, X.; Qu, Z.; Wang, H. High-Speed Target Detection Based on Modified Fast RFT Algorithm. Radar Sci. Technol. 2016, 14, 184–188. [Google Scholar]
- Xu, J.; Xia, X.G.; Peng, S.B.; Yu, J.; Peng, Y.N.; Qian, L.C. Radar Maneuvering Target Motion Estimation Based on Generalized Radon-Fourier Transform. IEEE Trans. Signal Process. 2012, 60, 6190–6201. [Google Scholar]
- Qian, L.C.; Xu, J.; Xia, X.G.; Sun, W.F.; Long, T.; Peng, Y.N. Fast implementation of generalised Radon-Fourier transform for manoeuvring radar target detection. Electron. Lett. 2012, 48, 1427–1428. [Google Scholar] [CrossRef]
- Feng, W.; Zhang, S. Parallel implementation for GRFT algorithm Based on three-order motion model. Signal Process. 2021, 37, 383–389. [Google Scholar]
- Xu, J.; Zhou, X.; Qian, L.C.; Xia, X.G.; Long, T. Hybrid integration for highly maneuvering radar target detection based on generalized radon-fourier transform. IEEE Trans. Aerosp. Electron. Syst. 2016, 52, 2554–2561. [Google Scholar] [CrossRef]
- Ma, B.; Zhang, S.; Jia, W.; Wang, W.Q. Fast Implementation of Generalized Radon-Fourier Transform. IEEE Trans. Aerosp. Electron. Syst. 2021, 3758–3767. [Google Scholar] [CrossRef]
- Jiang, W.; Liu, H.; Jiu, B.; Zhao, Y.; Li, K.; Zhang, Y. Full-Dimensional Partial-Search Generalized Radon-Fourier Transform for High-Speed Maneuvering Target Detection. IEEE Trans. Aerosp. Electron. Syst. 2024, 60, 5445–5457. [Google Scholar] [CrossRef]
- Zhang, M.; Wang, N.; Li, Y.; Gao, X. Deep Latent Low-Rank Representation for Face Sketch Synthesis. IEEE Trans. Neural Netw. Learn. Syst. 2019, 30, 3109–3123. [Google Scholar] [CrossRef]
- Zhang, M.; Wang, N.; Li, Y.; Gao, X. Neural Probabilistic Graphical Model for Face Sketch Synthesis. IEEE Trans. Neural Netw. Learn. Syst. 2020, 31, 2623–2637. [Google Scholar] [CrossRef]
- Zhang, M.; Bai, H.; Zhang, J.; Zhang, R.; Wang, C.; Guo, J.; Gao, X. RKformer: Runge–Kutta Transformer with Random-Connection Attention for Infrared Small Target Detection. In MM ’22: Proceedings of the 30th ACM International Conference on Multimedia, Lisboa, Portugal, 10–14 October 2022; Association for Computing Machinery: New York, NY, USA, 2022. [Google Scholar]
- Wang, C.; Zheng, J.; Jiu, B.; Liu, H.; Shi, Y. Deep neural network-aided coherent integration method for maneuvering target detection. Signal Process. 2021, 182, 107966. [Google Scholar] [CrossRef]
- Fan, P.; Guo, Y.; Qin, K.; Yuan, H.; Zhang, X. A fast implementation algorithm of GRFT for coherent integration of high-speed maneuvering targets. In Proceedings of the IET International Radar Conference (IRC 2023), Chongqing, China, 3–5 December 2023. [Google Scholar]
- Qian, L.; Xu, J.; Sun, W.; Peng, Y. Efficient Approach of Generalized RFT Based on PSO. In Proceedings of the 2012 IEEE 12th International Conference on Computer and Information Technology, Chengdu, China, 27–29 October 2012. [Google Scholar]
- Xia, W.; Zhou, Y.; Jin, X.; Zhou, J. A Fast Algorithm of Generalized Radon-Fourier Transform for Weak Maneuvering Target Detection. Int. J. Antennas Propag. 2016, 2016, 4315616. [Google Scholar] [CrossRef]
- Yamaoka, T.; Oshima, T. Pulse Doppler radar with antenna arrays estimating angular velocity. IEICE Trans. Commun. 2024, 1–10. [Google Scholar] [CrossRef]
- Kennedy, J.; Eberhart, R. Particle Swarm Optimization. In Proceedings of the Icnn95-international Conference on Neural Networks, Perth, WA, Australia, 27 November–December 1995. [Google Scholar]
- Mezura-Montes, E.; Coello Coello, C.A. Constraint-handling in nature-inspired numerical optimization: Past, present and future. Swarm Evol. Comput. 2011, 1, 173–194. [Google Scholar] [CrossRef]
- Pedersen, M.E.H. Good Parameters for Particle Swarm Optimization. 2010. Available online: https://www.researchgate.net/publication/355913207_Good_Parameters_for_Particle_Swarm_Optimization (accessed on 26 January 2025).
- Rosen, P.; Hensley, S.; Joughin, I. Synthetic aperture radar interferometry. Proc. IEEE 2000, 88, 333–382. [Google Scholar] [CrossRef]
- Holland, J.H. Genetic Algorithms. Sci. Am. 1992, 267, 66–73. [Google Scholar] [CrossRef]
- Deb, K.; Pratap, A.; Agarwal, S.; Meyarivan, T. A fast and elitist multiobjective genetic algorithm: NSGA-II. IEEE Trans. Evol. Comput. 2002, 6, 182–197. [Google Scholar] [CrossRef]
- Purshouse, R.C. Multi-Objective Optimization using Evolutionary Algorithms. SIAM Rev. 2002, 509. [Google Scholar]
- Li, X.; Kong, L.; Cui, G.; Yi, W. CLEAN-based coherent integration method for high-speed multi-targets detection. IET Radar Sonar Navig. 2016, 10, 1671–1682. [Google Scholar] [CrossRef]
Disclaimer/Publisher’s Note: The statements, opinions and data contained in all publications are solely those of the individual author(s) and contributor(s) and not of MDPI and/or the editor(s). MDPI and/or the editor(s) disclaim responsibility for any injury to people or property resulting from any ideas, methods, instructions or products referred to in the content. |
© 2025 by the authors. Licensee MDPI, Basel, Switzerland. This article is an open access article distributed under the terms and conditions of the Creative Commons Attribution (CC BY) license (https://creativecommons.org/licenses/by/4.0/).








