Generating High Spatial and Temporal Surface Albedo with Multispectral-Wavemix and Temporal-Shift Heatmaps
Abstract
1. Introduction
- To develop a method for encoding temporal patterns into heatmaps in the form of temporal-shift heatmaps to enable the application of computer vision approaches to temporal downscaling.
- To develop a new image-to-image translation approach, Multispectral-Wave Mix, for temporal downscaling of satellite-sensed surface reflectance across multiple spectral bands to generate surface albedo of high temporality. Motivated by the convolutions-free alternative modeling approaches inspired by vision transformers being applied in image classification, the aim is to develop an architecture that learns between remote-sensed spectral imagery transformed into frequency distributions and ground-observed modalities transformed from time series into image series for image-to-image deep learning.
- To learn temporal trends with image patches from frequency distributions. Since climate variables tend to exhibit trends within time blocks (hourly) and across time blocks, image patches of tokens enable learning within (intra) and across (inter) pixels for trends.
- To apply the developed model, Multispectral-Wave Mix, for the temporal downscaling of satellite-sensed harmonized surface reflectance imagery at a 30 m scale across multiple spectral bands from Landsat and Sentinel-2A and 2B as inputs and high-temporal surface albedo observations from SURFRAD and National Renewable Energy Laboratories (NREL) surface radiation monitoring as targets.
- Finally, the proposed Multispectral-Wave Mix is assessed against emerging modeling approaches MLP-Mix [41], image-to-image Mix [42], and Standard MLP across performance metrics including Cauchy loss function (CLF) [43], Structural Similarity Index (SSIM) [44], and signal-to-noise ratio (SNR) [45], and against observations from surface radiation monitoring stations and physical predictions from the National Solar Radiation Database (NSRDB).
2. Background and Related Work
3. Materials and Methods
3.1. Study Area
3.2. Model Design
- Performance Metrics: All models were assessed with a common set of metrics: Cauchy loss function (CLF), Structural Similarity Index (SSIM), and signal-to-noise ratio (SNR).
- Optimizer: The Adaptive Moment Estimation (Adam) optimizer [86] was used with an initial learning rate of 0.001 and a learning schedule with a decayed step of 15 and a decay gamma of 0.1.
- Patch Sizes: A patch size of 30 was applied across the patch embedding layer for an image size of 60 pixels across objective and benchmark models.
3.3. Performance Criteria
3.4. Information Density and Visual Redundancy
3.5. Imaging Time Series
3.6. Wavelet Transformation
3.7. Patch Embedding
3.8. Channel and Token Mixing
3.9. Wavelet Component Aggregation, Fusion, and Exponential Smoothing
4. Results
4.1. Overall Comparison of Multispectral-WaveMix and Comparative Model Performance
4.2. Model Performance with GASF and TSH Image Time Series as Inputs
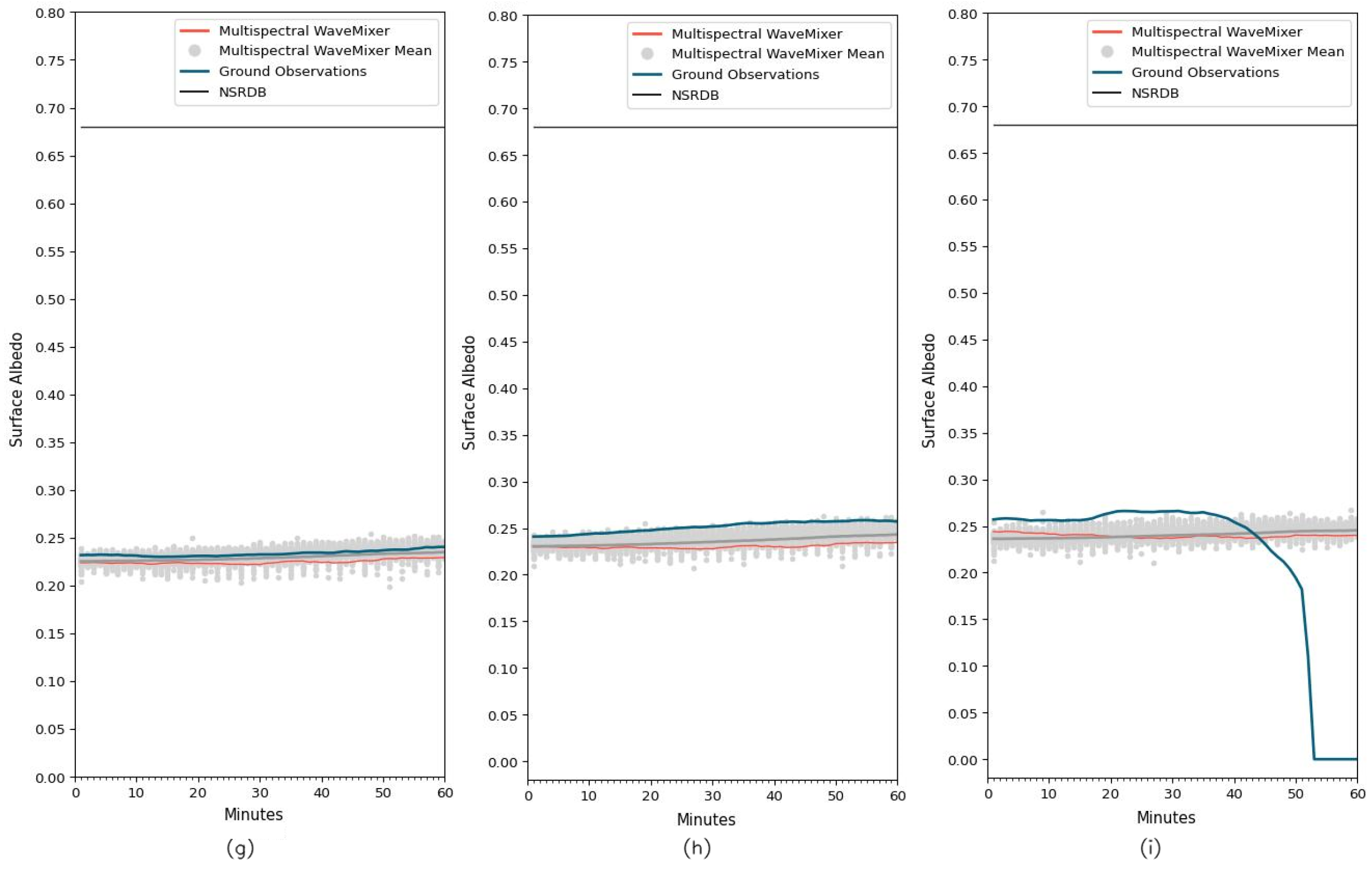
4.3. Overall Site-Wide Model Performance on Surface Albedo
4.4. Comparative Model Performance on Surface Albedo Predictions at 1 min Intervals
4.5. Model Uncertainty Assessment
5. Discussion
5.1. Ablation Studies
5.2. Computational Complexity and Efficiency
6. Conclusions, Limitations, and Further Research Outlook
6.1. Conclusions
- Overall, the objective model, Multispectral-WaveMix, trained across all spectral bands (bands 1, 2, 3, 4, and 8), outperformed peer models MLP-Mix, Image-to-Image Mix, and Standard MLP with lower error margins compared with the ground truth. The objective model achieved Cauchy loss, a metric that is robust to outliers, of 0.00469 and 0.00524 for training and validation, respectively, the lowest among all other peer models tested.
- The Multispectral-WaveMix also achieved higher values on PSNR, an indicator of the quality of the pixels reconstructed by the models in contrast to noise distortion. It achieved higher values on both training and validation with 72.95060 and 72.56970, respectively, while peer models performed comparatively poorly, with image-to-image MLP Mix achieving 71.52140 and 71.89770, 75.38; MLP Mix, 71.89280 and 71.62610; and Standard MLP, 71.50470 and 71.52330, respectively.
- The model’s ability to reconstruct the image consistent with the ground truth demonstrated the higher skill of the proposed Multispectral-WaveMix with structural similarity of 0.9990 and 0.9989 on training and validation. Image-to-image MLP Mix obtained 0.9985 and 0.9986, and MLP Mix achieved 0.9986 and 0.9985 on training and validation, respectively.
- Analysis of the performance of the temporal shift heatmaps as image time series noted models utilizing GASF significantly underperformed across all model performance metrics. The Multispectral-WaveMix trained on GASF-based image time series achieved training and validation losses of 0.01786 and 0.01799, respectively, while peer models, image-to-image MLP Mix and MLP-Mix trained on GASF, achieved training vs. validation losses of 0.01939/0.019841 and 0.01942/0.01854, respectively, underperforming compared with TSH-based models.
- The overall performance of the objective model, Multispectral-WaveMix, also exceeded other benchmark models on root mean square error (RMSE) metrics when assessed across all observations by site. Overall, the objective model outperformed all other models, achieving lower RMSE errors across the Desert Rock, Nevada; Goodwin Creek, Mississippi; Penn. State Univ., Pennsylvania; and Golden, Colorado test sites. The models achieved the second-best performance in two other sites, Table Mountain, Colorado, and Fort Peck, Montana.
- On assessing the generalizability of the pre-trained model on a location, Golden, Colorado, that wasn’t part of the training corpus, the objective model, Multispectral-WaveMix, outperformed all other models with 69.6% of the RMSE errors falling below 0.001, while image-to-image Mix, MLP-mix, and Standard MLP achieved 60.8%, 56.9%, and 44.3% of the errors, respectively.
6.2. Limitations, Further Outlook, and Future Research
- -
- In the context of estimating surface albedo via remote sensing, the solar irradiance reaching a surface is subjected to distortions from atmospheric factors including cloud cover, aerosol, and water vapor [110,111]. The combination of atmospheric and surface effects, such as vegetation cover, on the incoming irradiance is captured through satellite sensors in the form of multispectral surface reflectance. The effects of cloud cover vary across the electromagnetic spectrum, with cloud absorption affecting near-infrared more than the visible portion [112]. Therefore, spatially congruent, temporally high-resolution cloud cover observations could enhance model skill, especially for bands in the near-infrared range.
- -
- Improving model generalizability requires training inputs encompassing a wider range of spatial locations and a greater temporal range to account for domain shifts and capture causal mechanisms. Such efforts are at present limited by the higher level of computational resources required for image processing model training and dataset development. However, physics-informed deep learning methods that harness both physical parametrization and data-driven learning approaches have greater potential in bridging the gap between the need for greater computation and larger representative datasets. The latter approach would be of greater benefit to data-constrained regions of the world.
- -
- Self-attention mechanisms are considered integral to the high performance of vision transformers. The attention-free modeling approaches, such as Multispectral-WaveMix, MLP-Mix, and their variants, have achieved equivalent performance without an attention mechanism. However, the combination of attention mechanisms with MLP-Mix has been explored to enhance global attention and positional encoding for image segmentation [113,114], image decoding [115], and image recognition [116].
Author Contributions
Funding
Data Availability Statement
Acknowledgments
Conflicts of Interest
Appendix A. Model Diagram

Appendix B. Model Performance Assessment—Training and Validation



Appendix C. Model Performance Assessment Plots—RMSE







Appendix D. Model Performance Assessment—1 min Predictions by Time and Location










Appendix E. Plots of Uncertainty Surface Albedo Predictions for Time Periods and Location















Appendix F. Predicted Temporal Shift Heatmaps

Appendix G. Ablation Studies—Comparative Plots of Root Mean Square Error Between Wavelet Methods


References
- Schaaf, C.B. Albedo—Albedo and Reflectance Anisotropy. 2009. Available online: https://lpvs.gsfc.nasa.gov/PDF/TerrestrialECV/T08.pdf (accessed on 7 December 2024).
- Coakley, J. Reflectance and albedo, surface. Encycl. Atmos. Sci. 2003, 12, 1914–1923. [Google Scholar]
- Myhre, G.; Shindell, D.; Bréon, F.M.; Collins, W.; Fuglestvedt, J.; Huang, J.; Koch, D.; Lamarque, J.F.; Lee, D.; Mendoza, B.; et al. Anthropogenic and natural radiative forcing. In Climate Change 2013-The Physical Science Basis; Cambridge University Press: Cambridge, UK; New York, NY, USA, 2014; pp. 659–740. [Google Scholar]
- Trlica, A.; Hutyra, L.; Schaaf, C.; Erb, A.; Wang, J. Albedo, land cover, and daytime surface temperature variation across an urbanized landscape. Earth’S Future 2017, 5, 1084–1101. [Google Scholar] [CrossRef]
- Jandaghian, Z.; Akbari, H. The effect of increasing surface albedo on urban climate and air quality: A detailed study for Sacramento, Houston, and Chicago. Climate 2018, 6, 19. [Google Scholar] [CrossRef]
- Riedel-Lyngskær, N.; Ribaconka, M.; Pó, M.; Thorseth, A.; Thorsteinsson, S.; Dam-Hansen, C.; Jakobsen, M.L. The effect of spectral albedo in bifacial photovoltaic performance. Sol. Energy 2022, 231, 921–935. [Google Scholar] [CrossRef]
- Russell, T.C.R.; Saive, R.; Augusto, A.; Bowden, S.G.; Atwater, H.A. The Influence of Spectral Albedo on Bifacial Solar Cells: A Theoretical and Experimental Study. IEEE J. Photovoltaics 2017, 7, 1611–1618. [Google Scholar] [CrossRef]
- Marsh, G. Is UK Solar Thermal about to take off? Renew. Energy Focus 2013, 14, 28–29. [Google Scholar] [CrossRef]
- Wang, S.; Wilkie, O.; Lam, J.; Steeman, R.; Zhang, W.; Khoo, K.S.; Siong, S.C.; Rostan, H. Bifacial photovoltaic systems energy yield modelling. Energy Procedia 2015, 77, 428–433. [Google Scholar] [CrossRef]
- IEA. Renewable electricity–Renewables 2022–Analysis; IEA: Paris, Italy, 2022. [Google Scholar]
- Nøland, J.K.; Auxepaules, J.; Rousset, A.; Perney, B.; Falletti, G. Spatial energy density of large-scale electricity generation from power sources worldwide. Sci. Rep. 2022, 12, 21280. [Google Scholar] [CrossRef]
- Van de Ven, D.J.; Capellan-Peréz, I.; Arto, I.; Cazcarro, I.; De Castro, C.; Patel, P.; Gonzalez-Eguino, M. The potential land requirements and related land use change emissions of solar energy. Sci. Rep. 2021, 11, 2907. [Google Scholar] [CrossRef]
- Lovering, J.; Swain, M.; Blomqvist, L.; Hernandez, R.R. Land-use intensity of electricity production and tomorrow’s energy landscape. PLoS ONE 2022, 17, e0270155. [Google Scholar] [CrossRef]
- Krishnamurthy, A.; Serpell, O. HARVESTING THE SUN, Klienman Center for Energy Policy, University of Pennsylvania. Available online: https://kleinmanenergy.upenn.edu/wp-content/uploads/2021/07/KCEP-Harvesting-the-Sun.pdf (accessed on 7 October 2024).
- Zhang, P.; Yue, C.; Li, Y.; Tang, X.; Liu, B.; Xu, M.; Wang, M.; Wang, L. Revisiting the land use conflicts between forests and solar farms through energy efficiency. J. Clean. Prod. 2024, 434, 139958. [Google Scholar] [CrossRef]
- Richardson, J.; Kirk Hall, P.; Morgan, W. Land Use Conflicts Between Wind and Solar Renewable Energy and Agricultural Uses. In WVU College of Law Research Paper No. 2022-004; 2022; Available online: https://ssrn.com/abstract=4042235 (accessed on 7 October 2024).
- Graham, P.; Hayward, J.; Foster, J.; Havas, L. GenCost 2022-23: Final Report. 2023. Available online: https://www.csiro.au/en (accessed on 7 December 2024).
- Cousse, J. Still in love with solar energy? Installation size, affect, and the social acceptance of renewable energy technologies. Renew. Sustain. Energy Rev. 2021, 145, 111107. [Google Scholar] [CrossRef]
- Torma, G.; Aschemann-Witzel, J. Social acceptance of dual land use approaches: Stakeholders’ perceptions of the drivers and barriers confronting agrivoltaics diffusion. J. Rural. Stud. 2023, 97, 610–625. [Google Scholar] [CrossRef]
- Badran, G.; Dhimish, M. A Comparative Study of Bifacial versus Monofacial PV Systems at the UK Largest Solar Plant. Clean Energy 2024, 8, 248–260. [Google Scholar] [CrossRef]
- Kumbaroğlu, G.S.; Çamlibel, M.E.; Avcı, C. Techno-economic comparison of bifacial vs monofacial solar panels. Eng. Struct. Technol. 2021, 13, 7–18. [Google Scholar] [CrossRef]
- Patel, M.T.; Khan, M.R.; Sun, X.; Alam, M.A. A worldwide cost-based design and optimization of tilted bifacial solar farms. Appl. Energy 2019, 247, 467–479. [Google Scholar] [CrossRef]
- Rodríguez-Gallegos, C.D.; Bieri, M.; Gandhi, O.; Singh, J.P.; Reindl, T.; Panda, S. Monofacial vs bifacial Si-based PV modules: Which one is more cost-effective? Solar Energy 2018, 176, 412–438. [Google Scholar] [CrossRef]
- Ziar, H.; Sönmez, F.F.; Isabella, O.; Zeman, M. A comprehensive albedo model for solar energy applications: Geometric spectral albedo. Appl. Energy 2019, 255, 113867. [Google Scholar] [CrossRef]
- Stein, J.; Reise, C.; Castro, J.B.; Friesen, G.; Maugeri, G.; Urrejola, E.; Ranta, S. Bifacial Photovoltaic Modules and Systems: Experience and Results from International Research and Pilot Applications; Technical Report, Sandia National Lab. (SNL-NM); Fraunhofer: Albuquerque, NM, USA, 2021. [Google Scholar]
- Alam, M.; Gul, M.S.; Muneer, T. Performance analysis and comparison between bifacial and monofacial solar photovoltaic at various ground albedo conditions. Renew. Energy Focus 2023, 44, 295–316. [Google Scholar] [CrossRef]
- Blakesley, J.C.; Koutsourakis, G.; Parsons, D.E.; Mica, N.A.; Balasubramanyam, S.; Russell, M.G. Sourcing albedo data for bifacial PV systems in complex landscapes. Solar Energy 2023, 266, 112144. [Google Scholar] [CrossRef]
- Grant, I.; Prata, A.; Cechet, R. The impact of the diurnal variation of albedo on the remote sensing of the daily mean albedo of grassland. J. Appl. Meteorol. 2000, 39, 231–244. [Google Scholar] [CrossRef]
- Wang, D.; Liang, S.; He, T.; Yu, Y.; Schaaf, C.; Wang, Z. Estimating daily mean land surface albedo from MODIS data. J. Geophys. Res. Atmos. 2015, 120, 4825–4841. [Google Scholar] [CrossRef]
- Wang, D.; Liang, S.; Zhou, Y.; He, T.; Yu, Y. A New Method for Retrieving Daily Land Surface Albedo From VIIRS Data. IEEE Trans. Geosci. Remote. Sens. 2017, 55, 1765–1775. [Google Scholar] [CrossRef]
- Han, Y.; Wen, J.; You, D.; Xiao, Q.; Hao, D.; Tang, Y.; Piao, S.; Liu, G.; Liu, Q. Modeling Diurnal Variation of Land Surface Albedo Over Rugged Terrain. IEEE Trans. Geosci. Remote. Sens. 2024, 62, 1–13. [Google Scholar] [CrossRef]
- He, T.; Zhang, Y.; Liang, S.; Yu, Y.; Wang, D. Developing land surface directional reflectance and albedo products from geostationary GOES-R and Himawari data: Theoretical basis, operational implementation, and validation. Remote Sens. 2019, 11, 2655. [Google Scholar] [CrossRef]
- Lattanzio, A.; Schulz, J.; Matthews, J.; Okuyama, A.; Theodore, B.; Bates, J.J.; Knapp, K.R.; Kosaka, Y.; Schüller, L. Land surface albedo from geostationary satellites: A multiagency collaboration within SCOPE-CM. Bull. Am. Meteorol. Soc. 2013, 94, 205–214. [Google Scholar] [CrossRef]
- Lattanzio, A.; Schulz, J.; Roebeling, R.; Fell, F.; Bennartz, R.; Muller, J.P.; Shane, N.; Trigo, I.; Watson, G. Surface Albedo CDR From Geostationary Satellites: Validation and Further Prospects. In Proceedings of the EUMETSAT Conferences, Würzburg, Germany, 28 September–2 October 2020. [Google Scholar]
- EUMETSAT. Geostationary Surface Albedo (GSA) Release 2 Validation Report; EUMETSAT: Darmstadt, Germany, v1d e-Signed ed.; 2020; Available online: https://user.eumetsat.int/s3/eup-strapi-media/pdf_gsa_r2_vr_b67f4b9ca8.pdf (accessed on 7 December 2024).
- Sengupta, M.; Xie, Y.; Lopez, A.; Habte, A.; Maclaurin, G.; Shelby, J. The national solar radiation data base (NSRDB). Renew. Sustain. Energy Rev. 2018, 89, 51–60. [Google Scholar] [CrossRef]
- Wydra, K.; Vollmer, V.; Busch, C.; Prichta, S. Agrivoltaic: Solar Radiation for Clean Energy and Sustainable Agriculture with Positive Impact on Nature; IntechOpen: London, UK, 2023. [Google Scholar]
- Wei, S.; Ziegler, A.D.; Qin, Y.; Wang, D.; Chen, Y.; Yan, J.; Zeng, Z. Small reduction in land surface albedo due to solar panel expansion worldwide. Commun. Earth Environ. 2024, 5, 474. [Google Scholar] [CrossRef]
- Bright, R.M.; Lund, M.T. CO2-equivalence metrics for surface albedo change based on the radiative forcing concept: A critical review. Atmos. Chem. Phys. 2021, 21, 9887–9907. [Google Scholar] [CrossRef]
- Solomon, S.; Qin, D.; Manning, M.; Chen, Z.; Marquis, M.; Averyt, K.; Tignor, M.; Miller, H. IPCC Fourth Assessment Report (AR4); Cambridge University Press: Cambridge, UK; New York, NY, USA, 2007; Volume 374. [Google Scholar]
- Tolstikhin, I.O.; Houlsby, N.; Kolesnikov, A.; Beyer, L.; Zhai, X.; Unterthiner, T.; Yung, J.; Steiner, A.; Keysers, D.; Uszkoreit, J.; et al. Mlp-mixer: An all-mlp architecture for vision. Adv. Neural Inf. Process. Syst. 2021, 34, 24261–24272. [Google Scholar]
- Mansour, Y.; Lin, K.; Heckel, R. Image-to-image MLP-mixer for image reconstruction. arXiv 2022, arXiv:2202.02018. [Google Scholar]
- Mlotshwa, T.; van Deventer, H.; Bosman, A.S. Cauchy loss function: Robustness under gaussian and Cauchy noise. In Proceedings of the Southern African Conference for Artificial Intelligence Research, Stellenbosch, South Africa, 5–9 December 2022; Springer: Cham, Switzerland, 2022; pp. 123–138. [Google Scholar]
- Wang, Z.; Bovik, A.C.; Sheikh, H.R.; Simoncelli, E.P. Image quality assessment: From error visibility to structural similarity. IEEE Trans. Image Process. 2004, 13, 600–612. [Google Scholar] [CrossRef] [PubMed]
- Hore, A.; Ziou, D. Image quality metrics: PSNR vs. SSIM. In Proceedings of the 2010 20th International Conference on Pattern Recognition, Istanbul, Turkey, 23–26 August 2010; IEEE: Piscataway, NJ, USA, 2010; pp. 2366–2369. [Google Scholar]
- Dong, C.; Loy, C.C.; He, K.; Tang, X. Image super-resolution using deep convolutional networks. IEEE Trans. Pattern Anal. Mach. Intell. 2015, 38, 295–307. [Google Scholar] [CrossRef] [PubMed]
- Kim, J.; Lee, J.K.; Lee, K.M. Accurate image super-resolution using very deep convolutional networks. In Proceedings of the IEEE Conference on Computer Vision and Pattern Recognition, Las Vegas, NV, USA, 27–30 June 2016; pp. 1646–1654. [Google Scholar]
- Shi, W.; Caballero, J.; Huszár, F.; Totz, J.; Aitken, A.P.; Bishop, R.; Rueckert, D.; Wang, Z. Real-time single image and video super-resolution using an efficient sub-pixel convolutional neural network. In Proceedings of the IEEE Conference on Computer Vision and Pattern Recognition, Las Vegas, NV, USA, 27–30 June 2016; pp. 1874–1883. [Google Scholar]
- Zhang, Y.; Li, K.; Li, K.; Wang, L.; Zhong, B.; Fu, Y. Image super-resolution using very deep residual channel attention networks. In Proceedings of the European Conference on Computer Vision (ECCV), Munich, Germany, 8–14 September 2018; pp. 286–301. [Google Scholar]
- Anwar, S.; Barnes, N. Densely residual laplacian super-resolution. IEEE Trans. Pattern Anal. Mach. Intell. 2020, 44, 1192–1204. [Google Scholar] [CrossRef]
- Ledig, C.; Theis, L.; Huszár, F.; Caballero, J.; Cunningham, A.; Acosta, A.; Aitken, A.; Tejani, A.; Totz, J.; Wang, Z.; et al. Photo-realistic single image super-resolution using a generative adversarial network. In Proceedings of the IEEE Conference on Computer Vision and Pattern Recognition, Honolulu, HI, USA, 21–26 July 2017; pp. 4681–4690. [Google Scholar]
- Anwar, S.; Khan, S.; Barnes, N. A deep journey into super-resolution: A survey. ACM Comput. Surv. (CSUR) 2020, 53, 1–34. [Google Scholar] [CrossRef]
- Wang, X.; Yu, K.; Wu, S.; Gu, J.; Liu, Y.; Dong, C.; Qiao, Y.; Change Loy, C. Esrgan: Enhanced super-resolution generative adversarial networks. In Proceedings of the European Conference on Computer Vision (ECCV) Workshops, Munich, Germany, 8–14 September 2018; pp. 63–79. [Google Scholar]
- Jolicoeur-Martineau, A. The relativistic discriminator: A key element missing from standard GAN. arXiv 2018, arXiv:1807.00734. [Google Scholar]
- Saharia, C.; Ho, J.; Chan, W.; Salimans, T.; Fleet, D.J.; Norouzi, M. Image super-resolution via iterative refinement. IEEE Trans. Pattern Anal. Mach. Intell. 2022, 45, 4713–4726. [Google Scholar] [CrossRef]
- Rombach, R.; Blattmann, A.; Lorenz, D.; Esser, P.; Ommer, B. High-resolution image synthesis with latent diffusion models. In Proceedings of the IEEE/CVF Conference on Computer Vision and Pattern Recognition, New Orleans, LA, USA, 18–24 June 2022; pp. 10684–10695. [Google Scholar]
- Shang, S.; Shan, Z.; Liu, G.; Zhang, J. Resdiff: Combining cnn and diffusion model for image super-resolution. arXiv 2023, arXiv:2303.08714. [Google Scholar] [CrossRef]
- Vandal, T.; Kodra, E.; Ganguly, S.; Michaelis, A.; Nemani, R.; Ganguly, A.R. Deepsd: Generating high resolution climate change projections through single image super-resolution. In Proceedings of the 23rd ACM Sigkdd International Conference on Knowledge Discovery and Data Mining, Halifax, NS, Canada, 13–17 August 2017; pp. 1663–1672. [Google Scholar]
- Cheng, J.; Kuang, Q.; Shen, C.; Liu, J.; Tan, X.; Liu, W. ResLap: Generating high-resolution climate prediction through image super-resolution. IEEE Access 2020, 8, 39623–39634. [Google Scholar] [CrossRef]
- Stengel, K.; Glaws, A.; Hettinger, D.; King, R.N. Adversarial super-resolution of climatological wind and solar data. Proc. Natl. Acad. Sci. USA 2020, 117, 16805–16815. [Google Scholar] [CrossRef]
- Wang, F.; Tian, D.; Lowe, L.; Kalin, L.; Lehrter, J. Deep learning for daily precipitation and temperature downscaling. Water Resour. Res. 2021, 57, e2020WR029308. [Google Scholar] [CrossRef]
- Patel, N.; Aghababaei, H.; Osei, F.B.; Stein, A.; Mahour, M. Downscaling Land Surface Temperature Using SAR Images: A Machine Learning Framework. Preprints.org 2023. [Google Scholar] [CrossRef]
- Mukherjee, R.; Liu, D. Downscaling MODIS spectral bands using deep learning. Gisci. Remote. Sens. 2021, 58, 1300–1315. [Google Scholar] [CrossRef]
- Nomura, R.; Oki, K. Downscaling of MODIS NDVI by using a convolutional neural network-based model with higher resolution SAR data. Remote Sens. 2021, 13, 732. [Google Scholar] [CrossRef]
- Wei, Y.; Yuan, Q.; Shen, H.; Zhang, L. Boosting the accuracy of multispectral image pansharpening by learning a deep residual network. IEEE Geosci. Remote. Sens. Lett. 2017, 14, 1795–1799. [Google Scholar] [CrossRef]
- Yang, J.; Fu, X.; Hu, Y.; Huang, Y.; Ding, X.; Paisley, J. PanNet: A deep network architecture for pan-sharpening. In Proceedings of the IEEE International Conference on Computer Vision, Venice, Italy, 22–29 October 2017; pp. 5449–5457. [Google Scholar]
- Wang, L.; Li, Q.; Peng, X.; Lv, Q. A Temporal Downscaling Model for Gridded Geophysical Data with Enhanced Residual U-Net. Remote Sens. 2024, 16, 442. [Google Scholar] [CrossRef]
- Wang, L.; Li, Q.; Lv, Q.; Peng, X.; You, W. TemDeep: A Self-Supervised Framework for Temporal Downscaling of Atmospheric Fields at Arbitrary Time Resolutions. EGUsphere 2023, 2023, 1–16. [Google Scholar]
- Glawion, L.; Polz, J.; Kunstmann, H.; Fersch, B.; Chwala, C. spateGAN: Spatio-temporal downscaling of rainfall fields using a cGAN approach. Earth Space Sci. 2023, 10, e2023EA002906. [Google Scholar] [CrossRef]
- Maclaurin, G.; Sengupta, M.; Xie, Y.; Gilroy, N. Development of a MODIS-Derived Surface Albedo Data Set: An Improved Model Input for Processing the NSRDB; Technical Report; National Renewable Energy Lab. (NREL): Golden, CO, USA, 2016. [Google Scholar]
- Karalasingham, S.; Deo, R.C.; Casillas-Pérez, D.; Raj, N.; Salcedo-Sanz, S. Downscaling Surface Albedo to Higher Spatial Resolutions With an Image Super-Resolution Approach and PROBA-V Satellite Images. IEEE Access 2023, 11, 5558–5577. [Google Scholar] [CrossRef]
- Sdraka, M.; Papoutsis, I.; Psomas, B.; Vlachos, K.; Ioannidis, K.; Karantzalos, K.; Gialampoukidis, I.; Vrochidis, S. Deep learning for downscaling remote sensing images: Fusion and super-resolution. IEEE Geosci. Remote. Sens. Mag. 2022, 10, 202–255. [Google Scholar] [CrossRef]
- Xu, H.; Li, J.; Yuan, H.; Liu, Q.; Fan, S.; Li, T.; Sun, X. Human Activity Recognition Based on Gramian Angular Field and Deep Convolutional Neural Network. IEEE Access 2020, 8, 199393–199405. [Google Scholar] [CrossRef]
- CHEN, J.; WANG, X. Non-intrusive Load Monitoring Using Gramian Angular Field Color Encoding in Edge Computing. Chin. J. Electron. 2022, 31, 595–603. [Google Scholar] [CrossRef]
- Thanaraj, K.P.; Parvathavarthini, B.; Tanik, U.J.; Rajinikanth, V.; Kadry, S.; Kamalanand, K. Implementation of Deep Neural Networks to Classify EEG Signals using Gramian Angular Summation Field for Epilepsy Diagnosis. arXiv 2020, arXiv:cs.CV/2003.04534. [Google Scholar]
- Bragin, A.D.; Spitsyn, V.G. Electroencephalogram analysis based on Gramian angular field transformation. In Proceedings of the CEUR Workshop Proceedings, Conference: 29th International Conference on Computer Graphics, Image Processing and Computer Vision, Visualization Systems and the Virtual Environment GraphiCon 2019, Tomsk Polytechnic University, Tomsk Oblast, Russia, 23–26 September 2019; Volume 24852019, pp. 273–275. [Google Scholar]
- Zhang, G.; Si, Y.; Wang, D.; Yang, W.; Sun, Y. Automated Detection of Myocardial Infarction Using a Gramian Angular Field and Principal Component Analysis Network. IEEE Access 2019, 7, 171570–171583. [Google Scholar] [CrossRef]
- Lee, H.; Yang, K.; Kim, N.; Ahn, C.R. Detecting excessive load-carrying tasks using a deep learning network with a Gramian Angular Field. Autom. Constr. 2020, 120, 103390. [Google Scholar] [CrossRef]
- Hong, Y.Y.; Martinez, J.J.F.; Fajardo, A.C. Day-Ahead Solar Irradiation Forecasting Utilizing Gramian Angular Field and Convolutional Long Short-Term Memory. IEEE Access 2020, 8, 18741–18753. [Google Scholar] [CrossRef]
- Chen, S.A.; Li, C.L.; Yoder, N.; Arik, S.O.; Pfister, T. TSMixer: An All-MLP Architecture for Time Series Forecasting. arXiv 2023, arXiv:cs.LG/2303.06053. [Google Scholar]
- Lim, B.; Arık, S.Ö.; Loeff, N.; Pfister, T. Temporal fusion transformers for interpretable multi-horizon time series forecasting. Int. J. Forecast. 2021, 37, 1748–1764. [Google Scholar] [CrossRef]
- Zhou, T.; Ma, Z.; Wen, Q.; Wang, X.; Sun, L.; Jin, R. Fedformer: Frequency enhanced decomposed transformer for long-term series forecasting. In Proceedings of the International Conference on Machine Learning. PMLR, Bellevue, Baltimore, MD, USA, 17–23 July 2022; pp. 27268–27286. [Google Scholar]
- Wu, H.; Xu, J.; Wang, J.; Long, M. Autoformer: Decomposition transformers with auto-correlation for long-term series forecasting. Adv. Neural Inf. Process. Syst. 2021, 34, 22419–22430. [Google Scholar]
- Zhou, H.; Zhang, S.; Peng, J.; Zhang, S.; Li, J.; Xiong, H.; Zhang, W. Informer: Beyond efficient transformer for long sequence time-series forecasting. In Proceedings of the AAAI Conference on Artificial Intelligence, Virtually, 2–9 February 2021; Volume 35, pp. 11106–11115. [Google Scholar]
- Nie, Y.; Nguyen, N.H.; Sinthong, P.; Kalagnanam, J. A time series is worth 64 words: Long-term forecasting with transformers. arXiv 2022, arXiv:2211.14730. [Google Scholar]
- Diederik, P.K. Adam: A method for stochastic optimization. arXiv 2014, arXiv:1412.6980. [Google Scholar]
- Nilsson, J.; Akenine-Möller, T. Understanding ssim. arXiv 2020, arXiv:2006.13846. [Google Scholar]
- Chen, X.; Qin, Y.; Xu, W.; Bur, A.M.; Zhong, C.; Wang, G. Explicitly Increasing Input Information Density for Vision Transformers on Small Datasets. arXiv 2022, arXiv:2210.14319. [Google Scholar]
- Hsu, H.; Asoodeh, S.; Calmon, F. Obfuscation via information density estimation. In Proceedings of the International Conference on Artificial Intelligence and Statistics, PMLR, Online, 26–28 August 2020; pp. 906–917. [Google Scholar]
- Kamerman, G. Image information Density and Lidar Object Interpretability. In Bulletin of NTUU "KPI". INSTRUMENT BUILDING Series.—Issue 44; Kiev Polytechnic Institute: Kiev, Ukraine, 2012; pp. 44–48. Available online: https://ela.kpi.ua/server/api/core/bitstreams/590756e8-895f-4548-abdc-0938e3401990/content (accessed on 7 October 2024).
- Shocher, A.; Cohen, N.; Irani, M. “zero-shot” super-resolution using deep internal learning. In Proceedings of the IEEE Conference on Computer Vision and Pattern Recognition, Salt Lake City, UT, USA, 18–23 June 2018; pp. 3118–3126. [Google Scholar]
- Zhang, Q.; Zhou, J.; Zhu, L.; Sun, W.; Xiao, C.; Zheng, W.S. Unsupervised intrinsic image decomposition using internal self-similarity cues. IEEE Trans. Pattern Anal. Mach. Intell. 2021, 44, 9669–9686. [Google Scholar] [CrossRef] [PubMed]
- Zuckerman, L.P.; Naor, E.; Pisha, G.; Bagon, S.; Irani, M. Across scales and across dimensions: Temporal super-resolution using deep internal learning. In Proceedings of the Computer Vision–ECCV 2020: 16th European Conference, Glasgow, UK, 23–28 August 2020; Proceedings, Part VII 16. Springer: Berlin/Heidelberg, Germany, 2020; pp. 52–68. [Google Scholar]
- Wang, Z.; Oates, T. Imaging Time-Series to Improve Classification and Imputation. arXiv 2015, arXiv:cs.LG/1506.00327. [Google Scholar]
- Keogh, E.J.; Pazzani, M.J. Scaling up dynamic time warping for datamining applications. In Proceedings of the Sixth ACM sigkdd International Conference on Knowledge Discovery and Data Mining, Boston, MA, USA, 20–23 August 2000; pp. 285–289. [Google Scholar]
- Ren, H.; Liu, M.; Li, Z.; Pedrycz, W. A piecewise aggregate pattern representation approach for anomaly detection in time series. Knowl.-Based Syst. 2017, 135, 29–39. [Google Scholar] [CrossRef]
- Dosovitskiy, A.; Beyer, L.; Kolesnikov, A.; Weissenborn, D.; Zhai, X.; Unterthiner, T.; Dehghani, M.; Minderer, M.; Heigold, G.; Gelly, S.; et al. An image is worth 16×16 words: Transformers for image recognition at scale. arXiv 2020, arXiv:2010.11929. [Google Scholar]
- Walker, J.S. A Primer on Wavelets and Their Scientific Applications; Chapman and Hall/CRC: Boca Raton, FL, USA, 2008. [Google Scholar]
- Trockman, A.; Kolter, J.Z. Patches are all you need? arXiv 2022, arXiv:2201.09792. [Google Scholar]
- Vaswani, A.; Shazeer, N.; Parmar, N.; Uszkoreit, J.; Jones, L.; Gomez, A.N.; Kaiser, Ł.; Polosukhin, I. Attention is all you need. Adv. Neural Inf. Process. Syst. 2017, 30, 1–10. [Google Scholar]
- Elfwing, S.; Uchibe, E.; Doya, K. Sigmoid-Weighted Linear Units for Neural Network Function Approximation in Reinforcement Learning. arXiv 2017, arXiv:cs.LG/1702.03118. [Google Scholar] [CrossRef]
- Liang, S. Narrowband to broadband conversions of land surface albedo I: Algorithms. Remote. Sens. Environ. 2001, 76, 213–238. [Google Scholar] [CrossRef]
- Salleh, S.A.; Chan, A. Land Surface Albedo Determination: Remote Sensing and Statistical Validation. In Proceedings of the FIG Congress 2014, Engaging the Challenges–Enhancing the Relevance, Kuala Lumpur, Malaysia, 16–21 June 2014; pp. 1–13. [Google Scholar]
- Woo, G.; Liu, C.; Sahoo, D.; Kumar, A.; Hoi, S. Etsformer: Exponential smoothing transformers for time-series forecasting. arXiv 2022, arXiv:2202.01381. [Google Scholar]
- Yu, S.; Hu, Z.; Subramaniam, A.; Hannah, W.; Peng, L.; Lin, J.; Bhouri, M.A.; Gupta, R.; Lütjens, B.; Will, J.C.; et al. ClimSim-Online: A Large Multi-scale Dataset and Framework for Hybrid ML-physics Climate Emulation. arXiv 2024, arXiv:cs.LG/2306.08754. [Google Scholar]
- Shine, K. Parametrization of the shortwave flux over high albedo surfaces as a function of cloud thickness and surface albedo. Q. J. R. Meteorol. Soc. 1984, 110, 747–764. [Google Scholar] [CrossRef]
- He, M.; Hu, Y.; Chen, N.; Wang, D.; Huang, J.; Stamnes, K. High cloud coverage over melted areas dominates the impact of clouds on the albedo feedback in the Arctic. Sci. Rep. 2019, 9, 9529. [Google Scholar] [CrossRef]
- Chai, T.; Draxler, R. Root mean square error (RMSE) or mean absolute error (MAE)?– Arguments against avoiding RMSE in the literature. Geosci. Model Dev. 2014, 7, 1247–1250. [Google Scholar] [CrossRef]
- Ye, X. calflops: A FLOPs and Params Calculate Tool for Neural Networks in Pytorch Framework. 2023. Available online: https://github.com/MrYxJ/calculate-flops.pytorch (accessed on 1 December 2024).
- Rutan, D.; Rose, F.; Roman, M.; Manalo-Smith, N.; Schaaf, C.; Charlock, T. Development and assessment of broadband surface albedo from Clouds and the Earth’s Radiant Energy System Clouds and Radiation Swath data product. J. Geophys. Res. Atmos. 2009, 114, D08125. [Google Scholar] [CrossRef]
- Jian, B.; Li, J.; Wang, G.; He, Y.; Han, Y.; Zhang, M.; Huang, J. The impacts of atmospheric and surface parameters on long-term variations in the planetary albedo. J. Clim. 2018, 31, 8705–8718. [Google Scholar] [CrossRef]
- Schlundt, C.; Kokhanovsky, A.; von Hoyningen-Huene, W.; Dinter, T.; Istomina, L.; Burrows, J. Synergetic cloud fraction determination for SCIAMACHY using MERIS. Atmos. Meas. Tech. 2011, 4, 319–337. [Google Scholar] [CrossRef]
- Lai, H.P.; Tran, T.T.; Pham, V.T. Axial attention mlp-mixer: A new architecture for image segmentation. In Proceedings of the 2022 IEEE Ninth International Conference on Communications and Electronics (ICCE), Nha Trang, Vietnam, 27–29 July 2022; IEEE: Piscataway, NJ, USA, 2022; pp. 381–386. [Google Scholar]
- Le, H.M.Q.; Le, T.K.; Pham, V.T.; Tran, T.T. Amg-mixer: A multi-axis attention mlp-mixer architecture for biomedical image segmentation. In Proceedings of the Conference on Information Technology and Its Applications, Da Nang City, Vietnam, 28–29 July 2023; Springer: Cham, Switzerland, 2023; pp. 169–180. [Google Scholar]
- He, Y.; Lu, Z.; Wang, J.; Ying, S.; Shi, J. A Self-Supervised Learning Based Channel Attention MLP-Mixer Network for Motor Imagery Decoding. IEEE Trans. Neural Syst. Rehabil. Eng. 2022, 30, 2406–2417. [Google Scholar] [CrossRef]
- Tang, C.; Zhao, Y.; Wang, G.; Luo, C.; Xie, W.; Zeng, W. Sparse MLP for image recognition: Is self-attention really necessary? In Proceedings of the AAAI Conference on Artificial Intelligence, Virtual, 22 February–1 March 2022; Volume 36, pp. 2344–2351. [Google Scholar]








| Test Site | Latitude | Longitude | Elevation (m) |
|---|---|---|---|
| Bondville, Illinois | 40°3′6.9″ | 88°22′23.12″ | 230 |
| Desert Rock, Nevada | 33°37′33.6″ | 116°01′04.8″ | 1007 |
| Fort Peck, Montana | 48°18′28.18″ | 105°6′6.12″ | 634 |
| Golden, Colorado | 39°44′31.2″ | 105°10′48.0″ | 1829 |
| Goodwin Creek, Mississippi | 40°15′16.92″ | 89°52′22.44″ | 98 |
| Penn. State Univ., Pennsylvania | 40°43′12.43″ | 77°55′51.06″ | 376 |
| Table Mountain, Colorado | 40°07′30.0″ | 105°14′13.2″ | 1689 |
| Test Site | Land Classification |
|---|---|
| Bondville, Illinois | Grassland |
| Desert Rock, Nevada | Subtropics |
| Fort Peck, Montana | Grassland |
| Golden, Colorado | Subtropics |
| Goodwin Creek, Mississippi | Grassland |
| Penn. State Univ., Pennsylvania | Cropland |
| Table Mountain, Colorado | Temperate Zone |
| Band No | Wavelength (Micrometers) | Band | Resolution | Frequency |
|---|---|---|---|---|
| B01 | 0.43–0.45 | Ultra Blue/Aerosol | 30 m | 2–3 Days |
| B02 | 0.45–0.51 | Blue | 30 m | 2–3 Days |
| B03 | 0.53–0.59 | Green | 30 m | 2–3 Days |
| B04 | 0.64–0.67 | Red | 30 m | 2–3 Days |
| B08 | 0.78–0.88 | Near-Infrared | 30 m | 2–3 Days |
| Models | Cauchy Loss | SSIM | PSNR |
|---|---|---|---|
| Temporally Shifted Heatmaps (TSH) (Bands 1, 2, 3, 4, 8) | |||
| Multispectral-WaveMix | 0.00469/0.00524 | 0.99904/0.99887 | 72.95060/72.56970 |
| Image-to-Image MLP Mix | 0.00619/0.00587 | 0.99849/0.99859 | 71.52140/71.89770 |
| MLP Mix | 0.00595/0.00616 | 0.99856/0.99851 | 71.89280/71.62610 |
| MLP | 0.00634/0.00622 | 71.50470/71.52330 | |
| Gramian Angular Summation Field | |||
| (Bands 1, 2, 3, 4, 8) | |||
| Multispectral-WaveMix | 0.01786/0.01799 | 0.9943/0.9942 | 69.61/69.89 |
| Image-to-Image MLP Mix | 0.01939/0.019841 | 0.9936/0.9934 | 69.34/69.43 |
| MLP Mix | 0.01942/0.01854 | 0.9936/0.9938 | 69.11/69.55 |
| Bandwise Comparison | |||
| (Multispectral-WaveMix with TSH) | |||
| Bands 1, 2, 3 | 0.00514/0.00598 | 0.9988/0.9986 | 72.51/71.47 |
| Bands 1, 2, 3, 4 | 0.00573/0.00550 | 0.9986/0.9987 | 71.99/72.45 |
| Bands 1, 2, 3, 8 | 0.00533/0.00495 | 0.9988/0.9988 | 72.43/72.54 |
| Component/Aggregation Methods | Cauchy Loss | SSIM | PSNR |
|---|---|---|---|
| With Max, min, mean and sum | 0.00469/0.00524 | 0.99904/0.99887 | 72.9506/72.5697 |
| Without any aggregation | 0.00530/0.00548 | 0.99892/0.99878 | 72.2601/72.1256 |
| Maximum as aggregation | 0.00544/0.00494 | 0.99887/0.99891 | 72.1611/72.7204 |
| Minimum as aggregation | 0.00552/0.00459 | 0.99884/0.99899 | 72.2390/72.9432 |
| Mean as aggregation | 0.00540/0.00518 | 0.99889/0.99888 | 72.2374/72.355 |
| Summation as aggregation | 0.00546/0.00529 | 0.99887/0.99883 | 72.1828/72.4626 |
| Without aggregation/Elastic Smoothing | 0.00538/0.00669 | 0.99899/0.99878 | 71.6345/70.2665 |
| Without Elastic Smoothing | 0.00455/0.00508 | 0.99900/0.99884 | 73.0805/72.9114 |
| Models | Trainable Parameters | MACS | FLOPs |
|---|---|---|---|
| (Forward + Backward) | (Forward + Backward) | ||
| Multispectral-WaveMix | 6.8569 M | 90.5902 M | 186.526 M |
| Image-to-Image MLP Mix | 61.5546 M | 3.722 G | 7.5844 G |
| MLP Mix | 1.4558 M | 98.5498 M | 203.781 M |
| MLP | 6.8612 M | 1.8739 M | 3.7709 M |
Disclaimer/Publisher’s Note: The statements, opinions and data contained in all publications are solely those of the individual author(s) and contributor(s) and not of MDPI and/or the editor(s). MDPI and/or the editor(s) disclaim responsibility for any injury to people or property resulting from any ideas, methods, instructions or products referred to in the content. |
© 2025 by the authors. Licensee MDPI, Basel, Switzerland. This article is an open access article distributed under the terms and conditions of the Creative Commons Attribution (CC BY) license (https://creativecommons.org/licenses/by/4.0/).
Share and Cite
Karalasingham, S.; Deo, R.C.; Raj, N.; Casillas-Perez, D.; Salcedo-Sanz, S. Generating High Spatial and Temporal Surface Albedo with Multispectral-Wavemix and Temporal-Shift Heatmaps. Remote Sens. 2025, 17, 461. https://doi.org/10.3390/rs17030461
Karalasingham S, Deo RC, Raj N, Casillas-Perez D, Salcedo-Sanz S. Generating High Spatial and Temporal Surface Albedo with Multispectral-Wavemix and Temporal-Shift Heatmaps. Remote Sensing. 2025; 17(3):461. https://doi.org/10.3390/rs17030461
Chicago/Turabian StyleKaralasingham, Sagthitharan, Ravinesh C. Deo, Nawin Raj, David Casillas-Perez, and Sancho Salcedo-Sanz. 2025. "Generating High Spatial and Temporal Surface Albedo with Multispectral-Wavemix and Temporal-Shift Heatmaps" Remote Sensing 17, no. 3: 461. https://doi.org/10.3390/rs17030461
APA StyleKaralasingham, S., Deo, R. C., Raj, N., Casillas-Perez, D., & Salcedo-Sanz, S. (2025). Generating High Spatial and Temporal Surface Albedo with Multispectral-Wavemix and Temporal-Shift Heatmaps. Remote Sensing, 17(3), 461. https://doi.org/10.3390/rs17030461

