Impact of Solar Wind Dynamic Pressure on Polar Electrojets and Large- and Small-Scale Field-Aligned Currents
Abstract
1. Introduction
2. Materials and Methods
3. Observations
4. Discussion
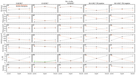
4.1. Local Time Differences in Pd Effect on LSFACs
4.2. Local Time Differences in Pd Effect on PEJs and SSFACs
4.3. Pd Effect on Auroral Current Latitudes
5. Summary
- The effects of Pd on LSFACs and PEJs show pronounced hemispheric and seasonal variations, particularly around noon, where they are generally stronger in the summer compared to the winter hemisphere. This trend may relate to higher solar EUV conductivity during the summer at noontime. Moreover, Pd influences SSFACs across nearly all local time sectors, which is more obvious in summer compared to winter, highlighting the relationship between SSFAC responses and ionospheric conductivity.
- The increased Pd typically enhances large-scale R1 FACs in most local times, with the exception of midnight. At dawn and dusk, R1 FACs are influenced by both Vsw and Nsw; however, during midnight, the opposing effects of these factors weaken the overall influence of Pd. At noon, the effect of Vsw becomes more dominant, particularly in the local summer. Unlike R1 FACs, the influence of Pd on FACe is primarily attributed to Nsw, especially during dawn, dusk, and midnight, while at noon, Vsw plays a crucial role.
- Turning to the effects on PEJs, the increase in Pd leads to a rise in current density, with Vsw exerting a more substantial effect than Nsw. The Pd impacts are generally more pronounced during dawn, dusk, and midnight when compared to noontime.
- For SSFACs, an increase in Pd also results in higher current densities, but the contributions of Nsw and Vsw differ from those affecting LSFACs. Notably, Nsw has a significant impact on SSFACs across various seasons and hemispheres, with Vsw playing a crucial role in specific scenarios.
- Higher Pd causes PEJs to shift more equatorward. The enhanced Vsw is more effective in driving equatorward shifts in PEJs and SSFACs (except for during the midnight period) than Nsw. While we found no significant hemispheric or seasonal differences in the locations of PEJs, SSFACs exhibit noticeable variations around noon and midnight, emphasizing the complexity of their distribution in response to Pd in these local time sectors.
Author Contributions
Funding
Data Availability Statement
Acknowledgments
Conflicts of Interest
References
- Gjerloev, J.W.; Hoffman, R.A. The large-scale current system during auroral substorms. J. Geophys. Res. 2014, 119, 4591–4606. [Google Scholar] [CrossRef]
- Guo, J.; Liu, H.; Feng, X.; Pulkkinen, T.I.; Tanskanen, E.I.; Liu, C.; Zhong, D.; Wang, Y. MLT and seasonal dependence of auroral electrojets: IMAGE magnetometer network observations. J. Geophys. Res. 2014, 119, 3179–3188. [Google Scholar] [CrossRef]
- Laundal, K.M.; Finlay, C.C.; Olsen, N.; Reistad, J.P. Solar wind and seasonal influence on ionospheric currents from Swarm and CHAMP measurements. J. Geophys. Res. 2018, 123, 4402–4429. [Google Scholar] [CrossRef]
- Iijima, T.; Potemra, T.A. Field-aligned currents in the dayside cusp observed by Triad. J. Geophys. Res. 1976, 81c, 5971–5979. [Google Scholar] [CrossRef]
- Friis-Christensen, E.; Wilhjelm, J. Polar cap currents for different directions of the interplanetary magnetic field in the Y-Z plane. J. Geophys. Res. 1975, 80, 1248–1260. [Google Scholar] [CrossRef]
- Wang, H.; Lühr, H.; Ma, S.Y. Solar zenith angle and merging electric field control of field-aligned currents: A statistical study of the Southern Hemisphere. J. Geophys. Res. 2005, 110, A03306. [Google Scholar] [CrossRef]
- Vennerstrøm, S.; Moretto, T.; Olsen, N.; Friis-Christensen, E.; Stampe, A.M.; Watermann, J.F. Field-aligned currents in the dayside cusp and polar cap region during northward IMF. J. Geophys. Res. 2002, 107, SMP-18. [Google Scholar] [CrossRef]
- Vennerstrøm, S.; Moretto, T.; Rastätter, L.; Raeder, J. Field aligned currents during northward interplanetary magnetic field: Morphology and causes. J. Geophys. Res 2005, 110, A06205. [Google Scholar] [CrossRef]
- Wang, H.; Lühr, H.; Shue, J.; Frey, H.U.; Kervalishvili, G.; Huang, T.; Cao, X.; Pi, G.; Ridley, A.J. Strong ionospheric field-aligned currents for radial interplanetary magnetic fields. J. Geophys. Res. 2014, 119, 3979–3995. [Google Scholar] [CrossRef]
- Wang, H.; Lühr, H. Magnetic local time and longitudinal variations of field-aligned currents and polar auroral electrojet. J. Geophys. Res. Space Phys. 2023, 128, e2023JA031874. [Google Scholar] [CrossRef]
- Sato, T.; Iijima, T. Primary sources of large-scale Birkeland currents. Space Sci. Rev. 1979, 24, 347–366. [Google Scholar] [CrossRef]
- Clauer, C.R.; Friis-Christensen, E. High-latitude dayside electric fields and currents during strong northward interplanetary magnetic field: Observations and model simulation. J. Geophys. Res. Space Phys. 1988, 93, 2749–2757. [Google Scholar] [CrossRef]
- Ohtani, S.; Gjerloev, J.W.; Johnsen, M.G.; Yamauchi, M.; Brändström, U.; Lewis, A.M. Solar illumination dependence of the auroral electrojet intensity: Interplay between the solar zenith angle and dipole tilt. J. Geophys. Res. 2019, 124, 6636–6653. [Google Scholar] [CrossRef]
- Workayehu, A.B.; Vanhamäki, H.; Aikio, A.T. Field-aligned and horizontal currents in the Northern and Southern Hemispheres from the Swarm satellite. J. Geophys. Res. 2019, 124, 7231–7246. [Google Scholar] [CrossRef]
- Workayehu, A.B.; Vanhamäki, H.; Aikio, A.T.; Shepherd, S.G. Effect of interplanetary magnetic field on hemispheric asymmetry in ionospheric horizontal and field-aligned currents during different seasons. J. Geophys. Res. 2021, 126, e2021JA029475. [Google Scholar] [CrossRef]
- Wang, H.; Lühr, H. IMF By effects on the strength and latitude of polar electrojets: CHAMP and swarm joint observations. J. Geophys. Res. Space Phys. 2024, 129, e2023JA032049. [Google Scholar] [CrossRef]
- Wang, H.; Sun, Y.; Lühr, H. Interplanetary magnetic field By effects on the strength and latitude of field-aligned currents in different magnetic local time sectors. J. Geophys. Res. Space Phys. 2024, 129, e2023JA032188. [Google Scholar] [CrossRef]
- Newell, P.T.; Sotirelis, T.; Liou, K.; Meng, C.I.; Rich, F.J. A nearly universal solar wind-magnetosphere coupling function inferred from 10 magnetospheric state variables. J. Geophys. Res. Space Phys. 2007, 112, A01206. [Google Scholar] [CrossRef]
- Kervalishvili, G.N.; Lühr, H. Climatology of zonal wind and large-scale FAC with respect to the density anomaly in the cusp region: Seasonal, solar cycle, and IMF B y dependence. Ann. Geophys. 2014, 32, 249–261. [Google Scholar] [CrossRef]
- Cheng, Z.W.; Shi, J.K.; Zhang, J.C.; Torkar, K.; Kistler, L.M.; Dunlop, M.; Fazakerley, A. Influence of the IMF cone angle on invariant latitudes of polar region footprints of FACs in the magnetotail: Cluster observation. J. Geophys. Res. Space Phys. 2018, 123, 2588–2597. [Google Scholar] [CrossRef]
- Shue, J.-H.; Kamide, Y. Effect of solar wind density on auroral electrojets Geophys. Res. Lett. 2001, 28, 2181. [Google Scholar] [CrossRef]
- Zhong, Y.; Wang, H.; Zhang, K.; Xia, H.; Qian, C. Local time response of auroral electrojet during magnetically disturbed periods: DMSP and CHAMP coordinated observations. J. Geophys. Res. 2022, 127, e2022JA030624. [Google Scholar] [CrossRef]
- Iijima, T.; Potemra, T.A. The relationship between interplanetary quantities and Birkeland current densities. Geophys. Res. Lett. 1982, 9, 442–445. [Google Scholar] [CrossRef]
- Nakano, S.; Ueno, G.; Ohtani, S.; Higuchi, T. Impact of the solar wind dynamic pressure on the Region 2 field-aligned currents. J. Geophys. Res. Space Phys. 2009, 114, A02221. [Google Scholar] [CrossRef]
- Wing, S.; Ohtani, S.; Johnson, J.R.; Echim, M.; Newell, P.T.; Higuchi, T.; Ueno, G.; Wilson, G.R. Solar wind driving of dayside field-aligned currents. J. Geophys. Res 2011, 116, A08208. [Google Scholar] [CrossRef]
- Neubert, T.; Christiansen, F. Small-scale, field-aligned currents at the topside ionosphere. Geophys. Res. Lett 2003, 30, 19. [Google Scholar] [CrossRef]
- Rother, M.; Schlegel, K.; Lühr, H. CHAMP observation of intense kilometerscale field-aligned currents, evidence for an ionospheric Alfvén resonator. Ann. Geophys. 2007, 25, 1603–1615. [Google Scholar] [CrossRef]
- Newell, P.T.; Meng, C.-I.; Lyons, K. Suppression of discrete aurorae by sunlight. Nature 1996, 381, 766–767. [Google Scholar] [CrossRef]
- Lühr, H.; Ritter, P.; Kervalishvili, G.; Rauberg, J. Applying the Dual-Spacecraft Approach to the Swarm Constellation for Deriving Radial Current Density. Ionos. Multi-Spacecr. Anal. Tools 2020, 17, 117–140. [Google Scholar] [CrossRef]
- Ritter, P.; Lühr, H.; Rauberg, J. Determining field-aligned currents with the Swarm constellation mission. Earth Planets Space 2013, 65, 1285–1294. [Google Scholar] [CrossRef]
- Olsen, N. A new tool for determining ionospheric currents from magnetic satellite data. Geophys. Res. Lett. 1996, 23, 3635–3638. [Google Scholar] [CrossRef]
- Aakjær, C.D.; Olsen, N.; Finlay, C.C. Determining polar ionospheric electrojet currents from Swarm satellite constellation magnetic data. Earth Planets Space 2016, 68, 140. [Google Scholar] [CrossRef]
- Ritter, P.; Lühr, H.; Viljanen, A.; Amm, O.; Pulkkinen, A.; Sillanpää, I. Ionospheric currents estimated simultaneously from CHAMP satelliteand IMAGE ground-based magnetic field measurements: A statisticalstudy at auroral latitudes. Ann. Geophys. 2004, 22, 417–430. [Google Scholar] [CrossRef]
- Cheng, Z.W.; Shi, J.K.; Torkar, K.; Lu, G.P.; Dunlop, M.W.; Carr, C.M.; Rème, H.; Dandouras, I.; Fazakerley, A. Impact of the Solar Wind Dynamic Pressure on the Field-Aligned Currents in the Magnetotail: Cluster Observation. J. Geophys. Res. Space Phys. 2021, 126, e2021JA029785. [Google Scholar] [CrossRef]
- Fukunishi, H.; Fujii, R.; Kokubun, S.; Tohyama, F.; Mukai, T.; Oya, H. Small-scale field-aligned currents observed by the Akebono (EXOS-D) satellite. Geophys. Res. Lett. 1991, 18, 297–300. [Google Scholar] [CrossRef]
- Cattell, C.; Lysak, R.; Torbert, R.B.; Mozer, F.S. Observations of differences between regions of current flowing into and out of the ionosphere. Geophys. Res. Lett. 1979, 6, 621–624. [Google Scholar] [CrossRef]
- Moen, J.; Brekke, A. The solar flux influence on quiet time conductances in the auroral ionosphere. Geophys. Res. Lett. 1993, 20, 971–974. [Google Scholar] [CrossRef]
- Robinson, R.M.; Vondrak, R.R.; Miller, K.; Dabbs, T.; Hardy, D. On calculating ionospheric conductances from the flux and energy of precipitating electrons. J. Geophys. Res. Space Phys. 1987, 92, 2565–2569. [Google Scholar] [CrossRef]
- Solomon, S.C. Global modeling of thermospheric airglow in the far ultraviolet. J. Geophys. Res. Space Phys. 2017, 122, 7834–7848. [Google Scholar] [CrossRef]
- Tian, X.; Yu, Y.; Gong, F.; Ma, L.; Cao, J.; Solomon, S.C.; Shreedevi, P.R.; Shiokawa, K.; Otsuka, Y.; Oyama, S.; et al. Ionospheric modulation by EMIC wave-driven proton precipitation: Observations and simulations. J. Geophys. Res. Space Phys. 2023, 128, e2022JA030983. [Google Scholar] [CrossRef]
- Zhou, Y.L.; Lühr, H. Net ionospheric currents closing field-aligned currents in the auroral region: CHAMP results. J. Geophys. R 2017, 122, 4436–4449. [Google Scholar] [CrossRef]
- Wang, H.; Lühr, H. Effects of solar illumination and substorms on auroral electrojets based on CHAMP observations. J. Geophys. Res. Space Phys. 2021, 126, e2020JA028905. [Google Scholar] [CrossRef]
- Zhao, J.; Shi, Q.; Tian, A.; Shen, X.; Weygand, J.M.; Wang, H.; Yao, S.; Ma, X.; Degeling, A.W.; Rae, I.J.; et al. Vortex generation and auroral response to a solar wind dynamic pressure increase: Event analyses. J. Geophys. Res. Space Phys. 2021, 126, e2020JA028753. [Google Scholar] [CrossRef]
- Shue, J.-H.; Newell, P.T.; Liou, K.; Meng, C.-I. Solar wind density and velocity control of auroral brightness under normal interplanetary magnetic field conditions. J. Geophys. Res 2002, 107, 1428. [Google Scholar] [CrossRef]
- Milan, S.E.; Evans, T.A.; Hubert, B. Average auroral configuration parameterized by geomagnetic activity and solar wind conditions. Ann. Geophys. 2010, 28, 1003–1012. [Google Scholar] [CrossRef]
- Milan, S.E.; Cowley, W.H.; Lester, M.; Wright, D.M.; Slavin, J.A.; Fillingim, M.; Carlson, C.W.; Singer, H.J. Response of the magnetotail to changes in the open flux content of the magnetosphere. J. Geophys. Res 2004, 109. [Google Scholar] [CrossRef]
- Zhou, X.; Tsurutani, B.T. Interplanetary shock triggering of nightside geomagnetic activity: Substorms, pseudobreakups, and quiescent events. J. Geophys. Res 2001, 106, 18957. [Google Scholar] [CrossRef]









Disclaimer/Publisher’s Note: The statements, opinions and data contained in all publications are solely those of the individual author(s) and contributor(s) and not of MDPI and/or the editor(s). MDPI and/or the editor(s) disclaim responsibility for any injury to people or property resulting from any ideas, methods, instructions or products referred to in the content. |
© 2025 by the authors. Licensee MDPI, Basel, Switzerland. This article is an open access article distributed under the terms and conditions of the Creative Commons Attribution (CC BY) license (https://creativecommons.org/licenses/by/4.0/).
Share and Cite
Wang, H.; Leng, Z. Impact of Solar Wind Dynamic Pressure on Polar Electrojets and Large- and Small-Scale Field-Aligned Currents. Remote Sens. 2025, 17, 427. https://doi.org/10.3390/rs17030427
Wang H, Leng Z. Impact of Solar Wind Dynamic Pressure on Polar Electrojets and Large- and Small-Scale Field-Aligned Currents. Remote Sensing. 2025; 17(3):427. https://doi.org/10.3390/rs17030427
Chicago/Turabian StyleWang, Hui, and Zhiyue Leng. 2025. "Impact of Solar Wind Dynamic Pressure on Polar Electrojets and Large- and Small-Scale Field-Aligned Currents" Remote Sensing 17, no. 3: 427. https://doi.org/10.3390/rs17030427
APA StyleWang, H., & Leng, Z. (2025). Impact of Solar Wind Dynamic Pressure on Polar Electrojets and Large- and Small-Scale Field-Aligned Currents. Remote Sensing, 17(3), 427. https://doi.org/10.3390/rs17030427

