Next Article in Journal
Orthogonal Capsule Network with Meta-Reinforcement Learning for Small Sample Hyperspectral Image Classification
Previous Article in Journal
Assessment of Ecosystem Vulnerability in the Tropic of Cancer (Yunnan Section)
 
 
Font Type:
Arial Georgia Verdana
Font Size:
Aa Aa Aa
Line Spacing:
Column Width:
Background:
Article

High-Resolution Satellite Reveals the Methane Emissions from China’s Coal Mines

by
Xingyu Li
1,2,†,
Tianhai Cheng
2,*,†,
Hao Zhu
1,2,
Xiaotong Ye
1,2,
Donghao Fan
1,2,
Tao Tang
1,2,
Haoran Tong
1,2,
Shizhe Yin
1,2 and
Jingyu Xiong
1,2
1
National Engineering Research Center of Satellite Remote Sensing Application, Aerospace Information Research Institute, Chinese Academy of Sciences, Beijing 100094, China
2
University of Chinese Academy of Sciences, Beijing 100049, China
*
Author to whom correspondence should be addressed.
These authors contributed equally to this work.
Remote Sens. 2025, 17(2), 220; https://doi.org/10.3390/rs17020220
Submission received: 7 November 2024 / Revised: 27 December 2024 / Accepted: 7 January 2025 / Published: 9 January 2025
(This article belongs to the Section Atmospheric Remote Sensing)

Abstract

Coal mines are a major global source of methane emissions, accounting for 10% of global methane emissions. As the world’s largest coal producer and consumer, China has various coal mine types, yet significant uncertainty exists in its methane emissions due to a lack of systematic ground-based data. Therefore, accurately quantifying methane emissions from coal mining activities is crucial. Existing inventories struggle to capture complex and anomalous emissions, while medium-resolution satellites lack facility-level precision. High-spatial-resolution satellite observations offer detailed insights. With a spatial resolution of 60 m and spectral channels from 381 to 2493 nm, the EMIT satellite can finely characterize facility-level methane plumes. This study uses data from 88 methane emission plumes captured by the EMIT satellite to quantify the methane emission characteristics of 32 coal mines located in Inner Mongolia, Ningxia Hui Autonomous Region, and Shanxi Province, China. Principal Component Analysis reveals that mine size, coal type, and processing stage are key factors influencing methane emissions, with emission rates varying significantly under different conditions. Data indicate varying methane emission rates across production stages. The median methane emission rate in gas treatment/utilization is double that of ventilation shafts and chemical plants. Larger coal mines show a decreasing trend in the unit methane emission rate with scale increase, with super-large mines emitting only one-tenth that of medium-sized mines. For large coal mines, bituminous coal mines emit nearly double that of anthracite coal mines. Bottom-up emission inventory evaluation results for the 32 coal mines studied show that EDGAR v8.0 and GFEI v2 underestimated annual methane total emissions, capturing only about half of the emissions quantified through satellite observations. The average emission intensity of the 32 coal mines estimated by satellite data is 0.48 kg/GJ, which is higher than the emission intensities reported by EDGAR v8.0 (0.24 kg/GJ) and GFEI v2 (0.18 kg/GJ). Overall, high-resolution satellite data offer new insights into facility-level emissions, revealing the complexity of methane emissions from coal mines and underscoring the need for tailored mitigation strategies that consider different mine types and operational stages.

1. Introduction

Methane is the world’s second-largest greenhouse gas and anthropogenic climate-forcing agent [1,2,3]. Methane is emitted from various sources, of which the coal industry is a major contributor, accounting for approximately 10% of global methane emissions [4,5,6]. Methane emissions occur during different stages of coal mining, including active underground and surface mining, abandoned mines, and post-mining processes such as coal processing and storage [7]. Among all energy sectors, the coal industry is the most polluting, with large quantities of greenhouse gases and pollutants emitted into the atmosphere throughout the life cycle of coal [8].
As China is the world’s largest coal miner and consumer [9], accurately quantifying methane emissions from coal mines is important for improving the transparency of the national GHG inventory. This will not only provide a more comprehensive understanding of the coal industry’s contribution to global climate change but also provide a basis for the development of more effective mitigation policies.
Bottom-up emission inventories are essential references for policymaking and designing emission reduction measures. They also play a crucial role in international climate cooperation by ensuring transparency in national greenhouse gas emissions. Examples include the Global Fuel Exploitation Inventory (GFEI) [10], the Emissions Database for Global Atmospheric Research (EDGAR) [11], and the Global Coal Mine Tracker (GCMT) [5], which provide extensive temporal and spatial data on coal emissions. Previous studies on methane emissions from coal mining have mostly relied on bottom-up approaches [12,13,14]. These inventories often have low spatial resolution, making it difficult to differentiate dense emission sources and resulting in mixed information within a single grid. Additionally, the low temporal resolution of these inventories limits deeper analysis of the mechanisms behind coal methane emissions [15]. Since emission inventories largely depend on ground-based reports and emission factors, they face limitations in accurately capturing abnormal and overlooked emissions [12]. Therefore, the Intergovernmental Panel on Climate Change (IPCC) report highlights the importance of independent accuracy assessments of these inventories [16], which can improve their effectiveness in identifying unusual and under-reported emissions, thereby strengthening their scientific reliability.
Characterized by high temporal and spatial resolution, satellite surveys not only provide an independent assessment of the accuracy of emission inventories but also provide a basis for the calibration of inventory data when necessary [3,8,17,18,19,20,21]. In recent years, satellite-based monitoring of methane emissions has advanced significantly, with the adoption of top-down approaches growing considerably [17]. Medium-resolution satellites, such as the TROPOMI (the TROPOspheric Monitoring Instrument is the satellite instrument on board the Copernicus Sentinel-5 Precursor satellite), can obtain methane hotpot emissions with high temporal resolution [3,19,21]; however, its coarse spatial resolution prevents the detection of sources with small emission rates [15]. The mixing of image elements in non-clean backgrounds affects the identification and quantification of emission sources [15]. The use of medium-resolution satellites allows for the observation of methane concentration variations in regions; however, it is challenging to obtain the facility level accurately, which limits the refined understanding of methane emissions in the coal mining industry.
High-resolution point source imaging satellites can complement regional imaging satellites by characterizing emissions from individual sources and attributing them to specific sectors [8,20,22,23]. Recently launched satellite missions with high spatial resolution have made it possible to accurately measure methane emissions at the mine level by locating plumes in the vicinity of mine sites [24,25].
The Earth Surface Mineral Dust Source Investigation (EMIT) satellite is designed to measure surface minerals and detect methane emissions [23,26]. It provides high-resolution data crucial for understanding and mitigating greenhouse gas sources. With a spatial resolution of 60 m, spectral channels ranging from 381 nm to 2493 nm, and a spectral resolution of 7.4 nm, the satellite possesses the capability to finely characterize facility levels. Thorpe, A. K. et al. (2023)’s assessment of the EMIT satellite’s detection [23] indicated a minimum observable emission rate of 0.3 tons of methane per hour. Although controlled release experiments have not yet been conducted, the detected plumes show good consistency with measured data from natural gas power plants and landfills [23]. Mounted on the International Space Station (ISS), EMIT has a median average revisit rate of 36.5 days, providing coverage of the major coal-producing regions in northwestern and northern China.
This study uses methane plume data from the EMIT satellite, which was downloaded from Carbon Mapper [27], to quantify methane emissions across Chinese coal mines, analyzing variability by mine size, coal type, and mining stage. It also evaluates the accuracy of current emission inventories in the study area.

2. Materials and Methods

2.1. Study Area

China is the world’s largest coal mining and consuming country; coal has been the primary source of energy for a long time [28]. China’s coal-producing belts are widely distributed, with coal-rich areas concentrated in Shanxi, Shaanxi, and Inner Mongolia. The main types of coal resources are anthracite, bituminous coal, and lignite. Among them, anthracite has the highest production, accounting for over 77% of the national coal output, while bituminous coal and lignite have a smaller output, both making up under 10% [5]. According to the IPCC 2006 guidelines, the main sources of methane emissions from coal mining include underground mining, surface mining, post-mining activities, and abandoned mines [29]. In China, coal mining is primarily conducted through underground mining, accounting for 86% of total coal mining; compared to surface mining, underground mining is more prone to high-concentration methane emissions due to the higher pressure and temperature in underground environments [30]. Post-mining activities refer to methane released during the processing, transportation, and utilization of coal after extraction. The emissions from abandoned mines were not included in this study as they were not captured by satellite monitoring.
The coal mining dataset used in this study is the Global Coal Mine Tracker Dataset provided by GEM (Global Energy Monitor) [5], which contains 2334 operating coal mines and 70 closed coal mines (Figure 1).

2.2. Satellite and Plumes

The EMIT satellite utilized a visible to shortwave infrared imaging spectrometer developed by Jet Propulsion Laboratory (JPL), measuring 285 different wavelengths between 381 nm and 2493 nm with a spectral resolution of 7.4 nm, including the absorption bands of methane in the shortwave infrared region [23]. EMIT was designed to determine the mineral composition of arid dust source regions, providing a swath width of 80 km and achieving an average daily coverage of 1.3 × 10 6 km 2 . During the main mission period until September 2023, the observation area was focused on arid dust regions rather than global coverage, but observations passing over China occurred more than three times, covering 37% of coal mines (Figure 1A). In the planned extended missions, any land area between −51.6°S and 51.6°N may be observed [26].
Figure 1. Overview of study area. (A) Coverage of EMIT satellite in China, distribution of coalfields, distribution of coal mines, distribution of plumes. (B) Provinces with plume distribution. (C) Emission volume corresponding to plumes conforms to gamma distribution.
Figure 1. Overview of study area. (A) Coverage of EMIT satellite in China, distribution of coalfields, distribution of coal mines, distribution of plumes. (B) Provinces with plume distribution. (C) Emission volume corresponding to plumes conforms to gamma distribution.
Remotesensing 17 00220 g001
With a spatial resolution of 60 m, the EMIT satellite provides high-resolution plume data, including plume locations and images, which are processed and made available by the Jet Propulsion Laboratory (JPL). Additionally, IPCC industry attribution and hourly emission rates, quantified using the Integrated Mass Enhancement (IME) method, are provided by Carbon Mapper [31]. The methane plume data and emission quantifications used in this study are derived from publicly available, peer-reviewed satellite products, accessible through the Carbon Mapper Open Data Portal [27]. These datasets, while reliable, are inherently subject to uncertainties, such as biases in plume detection, spatial and temporal resolution limitations, and challenges in distinguishing overlapping sources. While quantifying these uncertainties lies beyond the scope of this study, we emphasize that they have been addressed in the original publications. By focusing on the validated data, this study aims to explore the patterns and mechanisms of coal methane emissions and identify potential flaws in bottom-up inventories. Acknowledging these uncertainties ensures transparency while maintaining the focus on our research objectives.
The center position of the plume needs to be matched with the locations of surface facilities in the coal mine. Given the dense distribution of underground mines in Shanxi Province, this study considers matching successful within a 2-km buffer zone around the coal mines. For distances greater than 2 km, the matching results will be verified individually using Google Maps.

2.3. Compare with Inventories

For multiple plumes above the same facility (coal mine), this study calculates the annual emissions by dividing the average plume emission rate by the emission probability and then multiplying by time to consider the intermittent nature of methane plume emissions (1) [32]. The annual emission of each facility is represented as E m i s s i o n a n n u a l , while the emission rate of each plume is E m i s s i o n p l u m e s . The number of overpasses is denoted as n o v e r p a s s e s , and the number of operating days in a year is d a y s a n n u a l .
E m i s s i o n a n n u a l = E m i s s i o n p l u m e s n o v e r p a s s e s × d a y s a n n u a l
During the study period from January 2023 to the end of July 2024, a total of 88 Carbon Mapper Plumes (CMPs) attributed to coal mining were identified in China, with the majority located in Shanxi Province (91.86%), followed by Ningxia Hui Autonomous Region (5.81%) and Inner Mongolia (2.23%) (Figure 1B). The quantified emission rates from the plumes exhibited a gamma distribution, with a mean value of 83.95 tons per day (Figure 1C).
The Emissions Database for Global Atmospheric Research (EDGAR) [11] and the Global Fuel Exploitation Inventory (GFEI) [10] are two widely used greenhouse gas inventories that cover the study area with a spatial resolution of 0.1 × 0.1°. EDGAR v8.0 provides the most recent inventory for 2022, while the latest inventory from GFEI is from 2019.
We calculated annual CH4 emissions for each coal mine using Formula (1). Then, the yearly methane emissions were divided by the annual production of the coal mine (capacity) to obtain the emission intensity. In cases where a single inventory grid corresponds to multiple mines, the annual emission from the inventory was divided by the total capacity of all mines within that grid to obtain the calculated emission intensity.

2.4. Emission Attribution

Methane plumes have already been distinguished in IPCC groups [29]. However, when comparing the plumes with highly spatially resolved images (Google Earth), we noticed that the ground facilities under different plumes can be distinguished, especially for underground coal mines, where the ground facilities are spatially independent. Figure 2 shows typical cases that distinguish up-, mid-, and downstream. The upstream emission defined in this study is the emission directly related to mining, which means using a return air shaft ventilator to extract methane from the well continuously. China stipulates that the concentration of ventilated methane should be lower than 1% [33,34], which means that the ventilation fans in the return shafts need to be in permanent operation to pump fresh air into the mine to ensure that the methane is diluted as quickly as possible. Due to the low concentration, these are difficult to reuse and most of them are directly discharged into the atmosphere. This leads to ultra-low-concentration gas emissions accounting for a very high proportion of China’s coal mine methane [35]. Of the 88 plumes included in this study, 57 plumes were directed toward the return air shaft ventilator. Midstream emission refers to the emissions from the gas extraction system when it collects and processes the methane. This type of plume is mostly attributed to near-surface facilities such as storage tanks, or near compressors and generators. Twenty-two plumes were captured from midstream. Downstream emissions are the remaining plume categories after coal mine plumes are classified as upstream and midstream. A total of 9 downstream plumes were captured in this study, and the corresponding ground facilities included coal tar hydrogen production plants, coal tar chemical product plants, etc. This type of methane emission is not directly emitted during the coal mining process but may be an industrial by-product, raw material leakage, or caused by incomplete combustion.

2.5. Principal Component Analysis

In this study, we conducted Principal Component Analysis (PCA) to explore the underlying patterns in the multidimensional data. The dataset consisted of 88 samples and 7 variables, including month (when plumes were detected), production link (up-, mid-, and downstream), coal type, operated time, and capacity. Production link and coal type are dummy variables; to avoid multicollinearity between variables, the dummy variables for “production link” and “coal type” each have only two categories. Before the PCA, the data underwent preprocessing steps, such as data cleaning and standardization, to ensure the robustness of the analysis.
Z = ( X μ ) / σ
S = 1 n Z T Z
S v = λ v
P = Z V
PCA was carried out by first standardizing the data (2) to remove scale effects and calculating the covariance matrix S (3). μ and σ represent the average and standard deviation of each feature, respectively. Z represents the normalized data matrix, assuming the shape of the dataset is n × p , where n is the number of samples and p is the number of features.
The eigenvalues λ and eigenvectors v were then computed through eigendecomposition of the covariance matrix (4). S is the covariance matrix, of which the shape is p × p , and was calculated in Equation (3). The shape of each eigenvector v is p × 1 , which represents the direction of one principal component, and each eigenvalue λ , corresponding to each eigenvector, indicates the magnitude of the variance of that principal component.
The principal components matrix P was constructed by multiplying the standardized data matrix Z with the eigenvectors matrix V (5), and denotes the projection of the original data into the principal component directions. P is the data after principal component projection, of which the shape is n × k ; k is the number of selected principal components; V is the eigenvectors of the principal components, of which the shape is p × k ; and each column is a principal component direction.
The PCA results were interpreted by examining the loadings of each principal component to reveal relationships with the original variables, while the number of components retained was determined using a cumulative variance contribution threshold of 60%. Robustness was ensured through data preprocessing, including standardization and outlier removal, and validated through sensitivity analysis with thresholds ranging from 50% to 70%, which demonstrated consistent principal components and loadings, confirming the robustness of the results to parameter selection.

3. Results

3.1. The Factors Relevant to Coal Mines’ Methane Emission

A general rule for PCA is that a factor is considered retainable if its absolute value of explained variance exceeds 0.5 in each principal component. As shown in Figure 3, the result of the Principal Component Analysis indicates that capacity, production links, and coal type play important roles in affecting the methane emission rate. PC1 to PC3 refer to the first three principal components extracted during the PCA. The variable “plume_month”, which indicates the time of plume occurrence, did not exceed an explained variance of 0.5 in any of the principal components; thus, it was excluded from subsequent analysis.
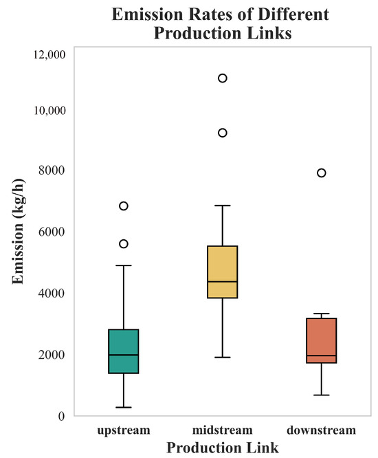
The different emissions are depicted in Figure 4 at different stages of production. The methane leakage rate in the midstream (gas handling and utilization) stage (4365.5 ± 842.5 kg/h) is generally higher than that in the upstream (1981.9 ± 710.3 kg/h) and downstream (1962.0 ± 721.8 kg/h) stages. The uncertainty is half of the interquartile range (IQR) as the data distribution is asymmetrical. Unlike the continuous emissions from the upstream (return air shaft fans), midstream and downstream emissions are often due to accidental leaks caused by factors such as equipment aging, inadequate regulation, and facility failures [36,37,38]. The median emission rates for upstream and downstream are similar, though downstream emissions are slightly higher than those from upstream.
To separately discuss the impacts of coal type and mine size on methane emission rates, we express the methane emission rate per unit of extraction by dividing the emission rate by the annual production of the coal mine (using capacity as a substitute). As shown in Figure 5, the coal mines are categorized by production size into small mines (<0.3 mtpa), medium mines (0.3 < capacity < 1 mtpa), large mines (1 < capacity < 3 mtpa), and extra-large mines (>3 mtpa) [39]. Due to sample limitations, not all coal types have complete distributions of mine sizes; however, the information conveyed by the limited data is consistent. The distribution of emissions per unit of production shows that within the same coal type, as the production scale of the coal mine increases, the emissions per unit of production decrease. This trend is particularly evident in the upstream emissions of bituminous coal, where the sample distribution is relatively comprehensive. The unit production methane emission rate for bituminous coal mines is higher than that for anthracite and lignite in the upstream stage. In contrast, in the midstream emissions, the unit production emission rates for facilities processing bituminous coal mines are lower.

3.2. Gap Between Inventories and Plumes in Terms of Emissions and Intensity

The total annual emissions calculated using all 32 coal mines and the corresponding inventory emissions are shown in Figure 6, where the yellow dots represent the emission intensity. The average emission intensity calculated by CMP is 0.48 kg/GJ, while that for EDGAR and GFEI are 0.24 kg/GJ and 0.18 kg/GJ, respectively. The annual emissions calculated by plumes are two times higher than inventories, which is similar to recent research [12,18].
Although EDGAR and GFEI are close in total emissions for the study area, a grid-scale comparison reveals significant differences between the inventories and the plume emissions. Some grids in the EDGAR inventory completely omit emissions compared to the GFEI inventory. In the 21 grids containing the 32 coal mines, 6 grids in the EDGAR inventory have values of zero, while the GFEI inventory captured emissions of 0.15 Mt/y in these grids, with CMP also capturing 0.15 Mt/y, which accounts for approximately 25% of the annual emissions measured in the study region by EDGAR. Figure 7A illustrates the number of grids where the inventory overestimates, underestimates, or omits emissions, along with the corresponding emission error and the sum of positive and negative errors. Figure 7B presents the average value and standard deviation of the grid errors. The EDGAR inventory demonstrates greater uncertainty.
Figure 8 illustrates the spatial distribution of the two datasets in the region encompassing all plumes. Within the range where methane plumes are detected, the GFEI dataset exhibits a broader coverage of non-zero values compared to the EDGAR dataset. This could explain instances, such as in Figure 7, where a plume is observed but no corresponding inventory value is present for the GFEI dataset. The two inventories also differ in their representation of high-value areas within the same locations. In certain regions, such as ( 111 0 0 E , 38 30 0 N ), the EDGAR inventory appears to provide a more accurate depiction than the GFEI inventory.

4. Discussion

Methane emissions from gas treatment facilities are higher than those from return air shafts, which is attributable to factors such as methane concentration, technological limitations, and regulatory standards. Gas treatment facilities handle high-concentration methane directly extracted from mines, whereas return air shafts emit methane that has been diluted by ventilation, resulting in significantly lower concentrations. Additionally, technical losses during compression, combustion, or transport at gas treatment facilities, as well as equipment aging or insufficient maintenance, may lead to methane leakage or incomplete combustion [36]. The problem of leakage in the extraction process is serious [37], further increasing emissions. Current emission management may also lack stringent oversight of gas treatment facilities, with limited requirements for real-time monitoring and regular maintenance, affecting their operational efficiency and emission control. Thus, optimizing gas treatment technology and implementing stricter management measures are necessary to reduce emissions and enhance the efficient use of methane resources.
For mines with similar coal types, methane emissions per unit production decrease as the scale of coal production increases. This can be explained by several factors. First, larger mines generally possess more advanced and efficient methane control technologies, resulting in improved ventilation and gas capture systems that reduce per-unit emissions. Economies of scale also enable more comprehensive methane management practices and better resource allocation, including dedicated personnel and infrastructure for emission control. Additionally, larger mines are more likely to comply with stringent regulatory standards and adopt best practices due to increased scrutiny. Therefore, scale effects appear to enhance both the technical and operational efficiency of methane management, contributing to lower emission rates per unit of coal produced.
The finding that bituminous coal mines emit more methane than anthracite and lignite mines can be attributed to differences in coal rank and methane content. Due to its higher volatile matter and carbon content, bituminous coal generally holds more adsorbed methane within its structure compared to lower-rank coals like lignite and higher-rank coals like anthracite [40,41]. During mining, this stored methane is more readily released from bituminous coal seams, resulting in higher emissions. Furthermore, gas control requirements for bituminous coal mines are typically more complex and demanding. This necessitates enhanced methane management practices in bituminous coal mining to mitigate its environmental impact.
Analyzing the emissions from the gas treatment and storage process (midstream), it shows the same and different patterns as the emissions from the ventilation fans of the return air risers (upstream). Bituminous coal mines emit less methane than anthracite. A possible explanation for this is that anthracite coal has a dense structure and releases gas more slowly than bituminous coal, which is more porous, and while the gas contained in bituminous coal is released quickly with crushing and depressurization when it is mined, the gas in anthracite coal takes longer to reach equilibrium. Therefore, at sites where coal is stored and anthracite coal mine gas is handled, there may be an abnormal build-up of gas, resulting in methane leaks.
When comparing top-down and bottom-up quantifications of methane emissions, our study finds a nearly 50% underestimation in the emissions inventories for the 32 mines (spanning 21 grids) studied. The underestimation of emissions in the EDGAR and GFEI inventories observed in this study can be attributed to several potential factors [36]. These inventories rely on aggregated statistical data, which may fail to capture the localized emissions of high-emission coal mines or super-emitters. Furthermore, the emission factors used may not fully account for regional differences in methane content, mining practices, or coal seam characteristics. Additionally, the spatial scaling methods employed in these inventories could smooth emissions over large regions, neglecting hotspots detected by high-resolution satellite observations. However, an underestimation of total emissions does not imply a systematic underestimation across all areas. Both the EDGAR and GFEI inventories indicate certain grids where emissions are overestimated, and EDGAR specifically shows that 30% of grid emissions are omitted. This suggests the potential for spatial misallocations in these inventories, which could lead to misleading interpretations. Such misallocations are especially concerning when remote sensing products are widely used to validate emission inventories, as these discrepancies may distort the accuracy of comparative assessments.
This study has several limitations. The dataset of 32 coal mines analyzed excludes mines in the southwestern part of China, where emissions are recorded in the inventory, potentially limiting the generalizability of the findings. Methane emissions from open-pit mines and post-mining activities, such as abandoned mines, were also excluded due to satellite detection constraints, as these emissions are typically diffuse and challenging to detect consistently. Additionally, the lack of ground-based real-time emission monitoring data limits the direct validation of satellite observations for the studied coal mines. While the datasets used underwent rigorous validation, cross-validation for the specific regions analyzed was not feasible. Future efforts, such as deploying ground-based instruments or conducting airborne measurement campaigns, could provide independent validation of satellite-derived emissions and enhance the robustness of the conclusions as satellite technology continues to improve.
Despite those limitations, this study provides a new perspective on the use of satellite-based data to analyse the mechanisms of methane emissions from coal mines, an approach that complements traditional research methods.

5. Conclusions

In this study, we obtained several important and interesting findings. Data show that the 32 mines with detected methane plumes have a median emission rate of 4.36 t/h during gas treatment and utilization, which is higher than emissions from return air shafts and coal chemical plants. This indicates that emissions in the gas treatment and utilization stages of underground coal mines require greater attention. Additionally, methane emissions vary significantly by coal type, with bituminous coal mines emitting more methane than anthracite and lignite mines. Thus, distinguishing emission factors by coal type in emission inventories is crucial for more accurate assessments of the coal sector’s contribution to greenhouse gas emissions. Based on these findings, policymakers could consider stricter emission standards for bituminous coal mines and provide increased financial and technical support.
Further analysis reveals that, when compared to emissions inventories, the EDGAR and GFEI inventories underestimate the total emissions from these 32 coal mines, with EDGAR showing greater uncertainty. Approximately 30% of the grids have no recorded emissions in EDGAR. However, both GFEI and satellite plume data indicate emissions of 0.15 Mt/y in these grids, accounting for around 25% of EDGAR’s total reported emissions within the area covered by all inventory grids matched with plumes in this study. Thus, accuracy assessments of inventories should not only consider total emissions but also examine the precision of individual grids. In the absence of ground-based measurements, comparing satellite observations with inventories is essential for validation.
Due to EMIT’s primary focus area before September 2023 being arid dust regions rather than global coverage, this study captures only 88 plumes across 32 mining facilities, with 11 facilities showing only 1 plume. Given the unknown actual emission probability, we estimated it by dividing the plume count by the number of satellite overpasses. Looking forward, as EMIT extends its mission, it has the potential to provide more data on coal mine methane emissions, covering a broader range of facilities, including open-pit mines and additional coal chemical plants.
Top-down and bottom-up approaches should not operate independently. Satellite remote sensing, as a discrete detection tool, provides both prior information and posterior validation for finer inventories or models. High-resolution satellite data enable a shift from isolated, discrete bottom-up measurements to large-scale, continuous detection. With data accumulation and the deployment of more high-resolution satellites, the true extent and dynamics of coal mine methane emissions will become increasingly clear, offering critical scientific support for precise regulation and policy decisions. Supported by these unprecedented technological advances, we are positioned to understand and manage coal mine methane emissions more comprehensively, contributing to efforts in mitigating climate change.

Author Contributions

Conceptualization, X.L. and T.C.; methodology, X.L.; software, X.L.; validation, X.L., T.C. and H.Z.; formal analysis, X.Y.; investigation, D.F.; resources, X.L.; data curation, S.Y. and J.X.; writing—original draft preparation, X.L.; writing—review and editing, T.C. and T.T.; visualization, X.L.; supervision, X.L. and H.T.; project administration, T.C.; funding acquisition, T.C. All authors have read and agreed to the published version of the manuscript.

Funding

This research was funded by the National Key Research and Development Program of China (2022YFB3904801).

Data Availability Statement

All plume data used in this study can be downloaded from https://carbonmapper.org/, and the coal mine data used in this study can be accessed at https://globalenergymonitor.org/projects/global-coal-plant-tracker. The analysis results from this study are available upon request from the authors.

Acknowledgments

This work is adapted from the work of Carbon Mapper Inc. with funding from Bloomberg Philanthropies, used under a Modified Creative Commons Attribution ShareAlike 4.0 International Public License https:/assets.carbonmapper.org/documents/Carbon-Mapper-Modified-Creative-Commons-License-21-11-09.pdf; accessed on 26 July 2024. We would like to acknowledge the Global Coal Mine Tracker for providing the public energy facility database used in this study.

Conflicts of Interest

The authors declare no conflicts of interest. The funders had no role in the design of the study; in the collection, analyses, or interpretation of data; in the writing of the manuscript; or in the decision to publish the results.

References

  1. Manisalidis, I.; Stavropoulou, E.; Stavropoulos, A.; Bezirtzoglou, E. Environmental and Health Impacts of Air Pollution: A Review. Front. Public Health 2020, 8, 14. [Google Scholar] [CrossRef] [PubMed]
  2. Saunois, M.; Stavert, A.R.; Poulter, B.; Bousquet, P.; Canadell, J.G.; Jackson, R.B.; Raymond, P.A.; Dlugokencky, E.J.; Houweling, S.; Patra, P.K.; et al. The Global Methane Budget 2000–2017. Earth Syst. Sci. Data 2020, 12, 1561–1623. [Google Scholar] [CrossRef]
  3. Trenchev, P.; Dimitrova, M.; Avetisyan, D. Huge CH4, NO2 and CO Emissions from Coal Mines in the Kuznetsk Basin (Russia) Detected by Sentinel-5P. Remote Sens. 2023, 15, 1590. [Google Scholar] [CrossRef]
  4. Global Non-CO2 Greenhouse Gas Emission Projections & Mitigation Potential: 2015–2050|US EPA. Available online: https://www.epa.gov/global-mitigation-non-co2-greenhouse-gases/global-non-co2-greenhouse-gas-emission-projections (accessed on 22 October 2024).
  5. Global Coal Mine Tracker—Global Energy Monitor. Available online: https://globalenergymonitor.org/projects/global-coal-mine-tracker/ (accessed on 5 November 2024).
  6. Karacan, C.Ö.; Ruiz, F.A.; Cotè, M.; Phipps, S. Coal mine methane: A review of capture and utilization practices with benefits to mining safety and to greenhouse gas reduction. Int. J. Coal Geol. 2011, 86, 121–156. [Google Scholar] [CrossRef]
  7. Ivanova, S.; Vesnina, A.; Fotina, N.; Prosekov, A. An Overview of Carbon Footprint of Coal Mining to Curtail Greenhouse Gas Emissions. Sustainability 2022, 14, 15135. [Google Scholar] [CrossRef]
  8. Guanter, L.; Irakulis-Loitxate, I.; Gorroño, J.; Sánchez-García, E.; Cusworth, D.H.; Varon, D.J.; Cogliati, S.; Colombo, R. Mapping methane point emissions with the PRISMA spaceborne imaging spectrometer. Remote Sens. Environ. 2021, 265, 112671. [Google Scholar] [CrossRef]
  9. International Energy Agency. World Energy Outlook 2024; Technical Report; IEA: Paris, France, 2024. [Google Scholar]
  10. Scarpelli, T.R.; Jacob, D.J.; Grossman, S.; Lu, X.; Qu, Z.; Sulprizio, M.P.; Zhang, Y.; Reuland, F.; Gordon, D.; Worden, J.R. Updated Global Fuel Exploitation Inventory (GFEI) for methane emissions from the oil, gas, and coal sectors: Evaluation with inversions of atmospheric methane observations. Atmos. Chem. Phys. 2022, 22, 3235–3249. [Google Scholar] [CrossRef]
  11. Crippa, M.; Guizzardi, D.; Schaaf, E.; Monforti-Ferrario, F.; Quadrelli, R.; Risquez Martin, A.; Rossi, S.; Vignati, E.; Muntean, M.; Brandao De Melo, J.; et al. GHG Emissions of All World Countries—2023; Publications Office of the European Union: Luxembourg, 2023. [Google Scholar] [CrossRef]
  12. Qin, K.; Hu, W.; He, Q.; Lu, F.; Cohen, J.B. Individual coal mine methane emissions constrained by eddy covariance measurements: Low bias and missing sources. Atmos. Chem. Phys. 2024, 24, 3009–3028. [Google Scholar] [CrossRef]
  13. Sadavarte, P.; Pandey, S.; Maasakkers, J.D.; van der Gon, H.D.; Houweling, S.; Aben, I. A high-resolution gridded inventory of coal mine methane emissions for India and Australia. Elementa 2022, 10, 183135. [Google Scholar] [CrossRef]
  14. Singh, A.K.; Singh, U.; Panigrahi, D.C.; Singh, J. Updated greenhouse gas inventory estimates for Indian underground coal mining based on the 2019 IPCC refinements. iScience 2022, 25, 104946. [Google Scholar] [CrossRef]
  15. Lauvaux, T.; Giron, C.; Mazzolini, M.; D’Aspremont, A.; Duren, R.; Cusworth, D.; Shindell, D.; Ciais, P. Global assessment of oil and gas methane ultra-emitters. Science 2022, 375, 557–561. [Google Scholar] [CrossRef] [PubMed]
  16. 2019 Refinement to the 2006 IPCC Guidelines for National Greenhouse Gas Inventories—IPCC. Available online: https://www.ipcc.ch/report/2019-refinement-to-the-2006-ipcc-guidelines-for-national-greenhouse-gas-inventories/ (accessed on 27 September 2023).
  17. Jacob, D.J.; Turner, A.J.; Maasakkers, J.D.; Sheng, J.; Sun, K.; Liu, X.; Chance, K.; Aben, I.; McKeever, J.; Frankenberg, C. Satellite observations of atmospheric methane and their value for quantifying methane emissions. Atmos. Chem. Phys. 2016, 16, 14371–14396. [Google Scholar] [CrossRef]
  18. Maasakkers, J.D.; Varon, D.J.; Elfarsdóttir, A.; McKeever, J.; Jervis, D.; Mahapatra, G.; Pandey, S.; Lorente, A.; Borsdorff, T.; Foorthuis, L.R.; et al. Using satellites to uncover large methane emissions from landfills. Sci. Adv. 2022, 8, eabn9683. [Google Scholar] [CrossRef] [PubMed]
  19. Shen, L.; Jacob, D.J.; Gautam, R.; Omara, M.; Scarpelli, T.R.; Lorente, A.; Zavala-Araiza, D.; Lu, X.; Chen, Z.; Lin, J. National quantifications of methane emissions from fuel exploitation using high resolution inversions of satellite observations. Nat. Commun. 2023, 14, 4948. [Google Scholar] [CrossRef]
  20. Siddiqui, A.; Halder, S.; Kannemadugu, H.B.S.; Chauhan, P. Detecting Methane Emissions from Space Over India: Analysis Using EMIT and Sentinel-5P TROPOMI Datasets. J. Indian Soc. Remote Sens. 2024, 52, 1901–1921. [Google Scholar] [CrossRef]
  21. Tang, T.; Cheng, T.; Zhu, H.; Ye, X.; Fan, D.; Li, X.; Tong, H. Quantifying instantaneous nitrogen oxides emissions from power plants based on space observations. Sci. Total Environ. 2024, 938, 173479. [Google Scholar] [CrossRef]
  22. Bai, S.; Zhang, Y.; Li, F.; Yan, Y.; Chen, H.; Feng, S.; Jiang, F.; Sun, S.; Wang, Z.; Zhou, C.; et al. High-resolution satellite estimates of coal mine methane emissions from local to regional scales in Shanxi, China. Sci. Total Environ. 2024, 950, 175446. [Google Scholar] [CrossRef]
  23. Thorpe, A.K.; Green, R.O.; Thompson, D.R.; Brodrick, P.G.; Chapman, J.W.; Elder, C.D.; Irakulis-Loitxate, I.; Cusworth, D.H.; Ayasse, A.K.; Duren, R.M.; et al. Attribution of individual methane and carbon dioxide emission sources using EMIT observations from space. Sci. Adv. 2023, 9, eadh2391. [Google Scholar] [CrossRef]
  24. Cusworth, D.H.; Thorpe, A.K.; Ayasse, A.K.; Stepp, D.; Heckler, J.; Asner, G.P.; Miller, C.E.; Yadav, V.; Chapman, J.W.; Eastwood, M.L.; et al. Strong methane point sources contribute a disproportionate fraction of total emissions across multiple basins in the United States. Proc. Natl. Acad. Sci. USA 2022, 119, e2202338119. [Google Scholar] [CrossRef]
  25. He, Z.; Gao, L.; Liang, M.; Zeng, Z.C. A survey of methane point source emissions from coal mines in Shanxi province of China using AHSI on board Gaofen-5B. Atmos. Meas. Tech. 2024, 17, 2937–2956. [Google Scholar] [CrossRef]
  26. Objectives|Science—EMIT. Available online: https://earth.jpl.nasa.gov/emit/science/objectives/ (accessed on 1 November 2024).
  27. Dashboard|Carbon Mapper. Available online: https://data.carbonmapper.org/#1.16/30.8/50.5 (accessed on 1 November 2024).
  28. International Energy Agency (IEA). Coal 2023: Analysis and Forecast to 2024; International Energy Agency (IEA): Paris, France, 2023; Available online: https://www.iea.org/reports/coal-2023 (accessed on 10 October 2024).
  29. Eggleston, H.S.; Buendia, L.; Miwa, K.; Ngara, T.; Tanabe, K. 2006 IPCC Guidelines for National Greenhouse Gas Inventories; Institute for Global Environmental Strategies: Hayama, Japan, 2006. [Google Scholar]
  30. Best Practice Guidance for Effective Management of Coal Mine Methane at National Level: Monitoring, Reporting, Verification and Mitigation|UNECE. Available online: https://unece.org/sustainable-energy/publications/best-practice-guidance-effective-management-coal-mine-methane (accessed on 5 November 2024).
  31. Cusworth, D.; Ayasse, A.; Duren, R.; Lai-Norling, J.; Huffman, M.; Diamond, A. Carbon Mapper Quality Control Description Document Volume 1: Methane and Carbon Dioxide Detection Contributors Revision Log. Available online: https://assets.carbonmapper.org/documents/Carbon-Mapper-Plume-Dection-Quality-Control-Public.pdf (accessed on 10 October 2024).
  32. Cusworth, D.H.; Duren, R.M.; Ayasse, A.K.; Jiorle, R.; Howell, K.; Aubrey, A.; Green, R.O.; Eastwood, M.L.; Chapman, J.W.; Thorpe, A.K.; et al. Quantifying methane emissions from United States landfills. Science 2024, 383, 1499–1504. [Google Scholar] [CrossRef] [PubMed]
  33. Institute for Global Decarbonization Progress. Observation and Prospect of China’s Coal Mine Methane Emission Reduction Basic Status; Technical Report; Institute for Global Decarbonization Progress: Beijing, China, 2021. [Google Scholar]
  34. Management Ministry of Emergency. Coal Mine Safety Regulations_Ministry of Emergency Management_Chinese Government Network. Available online: https://www.gov.cn/zhengce/2022-11/15/content_5712798.htm (accessed on 5 November 2024).
  35. Zhou, F.; Xia, T.; Wang, X.; Zhang, Y.; Sun, Y.; Liu, J. Recent developments in coal mine methane extraction and utilization in China: A review. J. Nat. Gas Sci. Eng. 2016, 31, 437–458. [Google Scholar] [CrossRef]
  36. Han, G.; Pei, Z.; Shi, T.; Mao, H.; Li, S.; Mao, F.; Ma, X.; Zhang, X.; Gong, W. Unveiling Unprecedented Methane Hotspots in China’s Leading Coal Production Hub: A Satellite Mapping Revelation. Geophys. Res. Lett. 2024, 51, e2024GL109065. [Google Scholar] [CrossRef]
  37. Gao, H.; Du, F.; Cheng, X.; Zhang, J.; Zhou, A. Study on the Influence Mechanism of Air Leakage on Gas Extraction Effect—A Numerical Case Study of the Coal Mine Site in Anhui. Processes 2023, 11, 2161. [Google Scholar] [CrossRef]
  38. Lolon, S.A.; Brune, J.F.; Bogin, G.E.; Juganda, A. Study of Methane Outgassing and Mitigation in Longwall Coal Mines. Min. Metall. Explor. 2020, 37, 1437–1449. [Google Scholar] [CrossRef]
  39. Liu, X.; Li, L.; Yang, Y. Development status of coal mining in China. J. S. Afr. Inst. Min. Metall. 2023, 123, 19–28. [Google Scholar] [CrossRef]
  40. Liu, Y.; Hao, C.; Wang, Z.; Xie, J.; Zhao, W.; Meng, F.; Han, Y. Micropore distribution and methane adsorption process and mechanism in bituminous coals: A molecular dynamics simulation study. J. Environ. Chem. Eng. 2024, 12, 112139. [Google Scholar] [CrossRef]
  41. Jia, J.; Song, H.; Jia, P. Molecular Simulation of Methane Adsorption Properties of Coal Samples with Different Coal Rank Superposition States. ACS Omega 2023, 8, 3461–3469. [Google Scholar] [CrossRef]
Figure 2. Distribution of plumes in various stages of coal mining, where (AF) represent examples of each stage.
Figure 2. Distribution of plumes in various stages of coal mining, where (AF) represent examples of each stage.
Remotesensing 17 00220 g002
Figure 3. Results of Principal Component Analysis, and loadings of factors on each principal component.
Figure 3. Results of Principal Component Analysis, and loadings of factors on each principal component.
Remotesensing 17 00220 g003
Figure 4. Boxplot of methane emissions in various stages of coal mining.
Figure 4. Boxplot of methane emissions in various stages of coal mining.
Remotesensing 17 00220 g004
Figure 5. Methane emission rates attribute by coal type and mine size.
Figure 5. Methane emission rates attribute by coal type and mine size.
Remotesensing 17 00220 g005
Figure 6. Annual emissions and emission intensity comparison of CMP (this study, red), EDGAR (2022, blue), and GFEI (2019, green). Yellow scatter (or dots) represents emission intensity.
Figure 6. Annual emissions and emission intensity comparison of CMP (this study, red), EDGAR (2022, blue), and GFEI (2019, green). Yellow scatter (or dots) represents emission intensity.
Remotesensing 17 00220 g006
Figure 7. List of grid cells and comparison of plume emissions: (A) The left column represents cumulative frequency, the middle column represents cumulative emission difference, and the right column represents the sum of positive and negative differences. (B) Average plume difference for individual grid cell, with error bars representing standard deviation.
Figure 7. List of grid cells and comparison of plume emissions: (A) The left column represents cumulative frequency, the middle column represents cumulative emission difference, and the right column represents the sum of positive and negative differences. (B) Average plume difference for individual grid cell, with error bars representing standard deviation.
Remotesensing 17 00220 g007
Figure 8. List of grid cells and comparison of plume emissions: (A) Coal mine distribution and methane plume distribution in China; the red rectangular box shows the spatial extent of the B and C display. (B) Distribution of annual emission values for EDGAR v8.0. (C) Distribution of annual emission values for GFEI v2.
Figure 8. List of grid cells and comparison of plume emissions: (A) Coal mine distribution and methane plume distribution in China; the red rectangular box shows the spatial extent of the B and C display. (B) Distribution of annual emission values for EDGAR v8.0. (C) Distribution of annual emission values for GFEI v2.
Remotesensing 17 00220 g008
Disclaimer/Publisher’s Note: The statements, opinions and data contained in all publications are solely those of the individual author(s) and contributor(s) and not of MDPI and/or the editor(s). MDPI and/or the editor(s) disclaim responsibility for any injury to people or property resulting from any ideas, methods, instructions or products referred to in the content.

Share and Cite

MDPI and ACS Style

Li, X.; Cheng, T.; Zhu, H.; Ye, X.; Fan, D.; Tang, T.; Tong, H.; Yin, S.; Xiong, J. High-Resolution Satellite Reveals the Methane Emissions from China’s Coal Mines. Remote Sens. 2025, 17, 220. https://doi.org/10.3390/rs17020220

AMA Style

Li X, Cheng T, Zhu H, Ye X, Fan D, Tang T, Tong H, Yin S, Xiong J. High-Resolution Satellite Reveals the Methane Emissions from China’s Coal Mines. Remote Sensing. 2025; 17(2):220. https://doi.org/10.3390/rs17020220

Chicago/Turabian Style

Li, Xingyu, Tianhai Cheng, Hao Zhu, Xiaotong Ye, Donghao Fan, Tao Tang, Haoran Tong, Shizhe Yin, and Jingyu Xiong. 2025. "High-Resolution Satellite Reveals the Methane Emissions from China’s Coal Mines" Remote Sensing 17, no. 2: 220. https://doi.org/10.3390/rs17020220

APA Style

Li, X., Cheng, T., Zhu, H., Ye, X., Fan, D., Tang, T., Tong, H., Yin, S., & Xiong, J. (2025). High-Resolution Satellite Reveals the Methane Emissions from China’s Coal Mines. Remote Sensing, 17(2), 220. https://doi.org/10.3390/rs17020220

Note that from the first issue of 2016, this journal uses article numbers instead of page numbers. See further details here.

Article Metrics

Back to TopTop