Orthogonal Capsule Network with Meta-Reinforcement Learning for Small Sample Hyperspectral Image Classification
Abstract
1. Introduction
- To address the challenge of limited labeled samples in HSIC by employing meta-learning to select the rich spectral–spatial features through clustering, augmentation, and multiview feature generation.
- Employing reinforcement learning, specifically using deep Q-learning to enhance generalization performance with small HSI data samples for meta-training.
- A 3-D convolutional CapsNet with an orthogonal softmax layer to improve classification performance and reduce computational complexity, supported by experiments and ablation studies on four rich Chinese HSI datasets.
2. Materials and Methods
2.1. Feature Selection Through Meta-Reinforcement Learning
- is the state space, and denotes the raw observation of model i at point f, which includes the quantity of spectral–spatial features in image i as well as the current feature phase.
- is the action space. represents the selected action of model at point . The model’s selection is at every change in point from its activated predefined phase.
- The probability of reaching the state given the state and the action is denoted by , which is the transition probability .
- represents the reward where indicates the negative value obtained by adding the spectral and spatial features of an image i at a given point f.
2.2. Capsule Network for Classification
2.3. Orthogonal Softmax Layer Capsule
- The orthogonal softmax layer enforces orthogonality among the weight vectors in the classification layer. This means that the angles between the weight vectors for different classes are maximized, which leads to better class separation. In hyperspectral imaging, where classes often exhibit similar spectral characteristics, maintaining distinct decision boundaries is crucial for accurate classification.
- It specifically caters to small sample hyperspectral image classification challenges by enabling networks to achieve large decision margins even with limited data.
- In hyperspectral datasets, where data can be complex and noisy, the orthogonal layer allows for better convergence during training, resulting in improved accuracy and faster learning and validation. This has contributed to reduced time complexity in the experimental outcome of the proposed model as well as mitigating overfitting.
| Algorithm 1: Orthogonal Capsule Network with Meta-Reinforcement Learning HSIC | |
| Require: HSI dataset | |
| Step | 1: Perform clustering, augmentation, and multiview feature selection 2: Initialize feature observation task 3: Solve feature extraction task by 4: Divide features into support set and query set 5: WHILE DO 6: Select high-level features 7: Optimize feature selection policy 8: Minimize expected reward 9: Return relevant features 10: END DO 11: Update DQN 12: Input high-level features into primary capsule: 13: Initialize 14: Repeat 15: Divide features into multiple capsules: 16: Forecast by dynamic routing: 17: Perform matrix transformation: 18: Compute weighted sum of all capsule: 19: Deduce capsule output: 20: Update: 21: Update dynamic routing: 22: Until final capsule 23: Classify features with OSL: 24: Return classified HSI |
3. Experiments Setup and Analysis
3.1. Experimental Datasets and Processes
3.2. Parameter Sensitivity
4. Results
4.1. Experimental Evaluation of HSIC Performance on Capsule Network Methods
- Overall Accuracy (OA), expressed in percentages.
- Average Accuracy (AA), expressed in percentages.
- Matthew Correlation Coefficient (MCC), expressed as an absolute to eliminate the sign complexity. The MCC is identified as appropriate for classification problems dealing with unbalanced datasets. It is a contingency matrix concept for generating the Pearson product moment correlation coefficient for deducing the difference between actual and predicted values [53].
4.1.1. Comparison of CapsNet-Based Methods with ZY-1 02D HSI Dataset
4.1.2. Comparison of CapsNet-Based Methods with HJ-1A HSI Dataset
4.1.3. Comparison of CapsNet-Based Methods with OHS HSI Dataset
4.1.4. Comparison of CapsNet-Based Methods with GF-5 AHSI Dataset
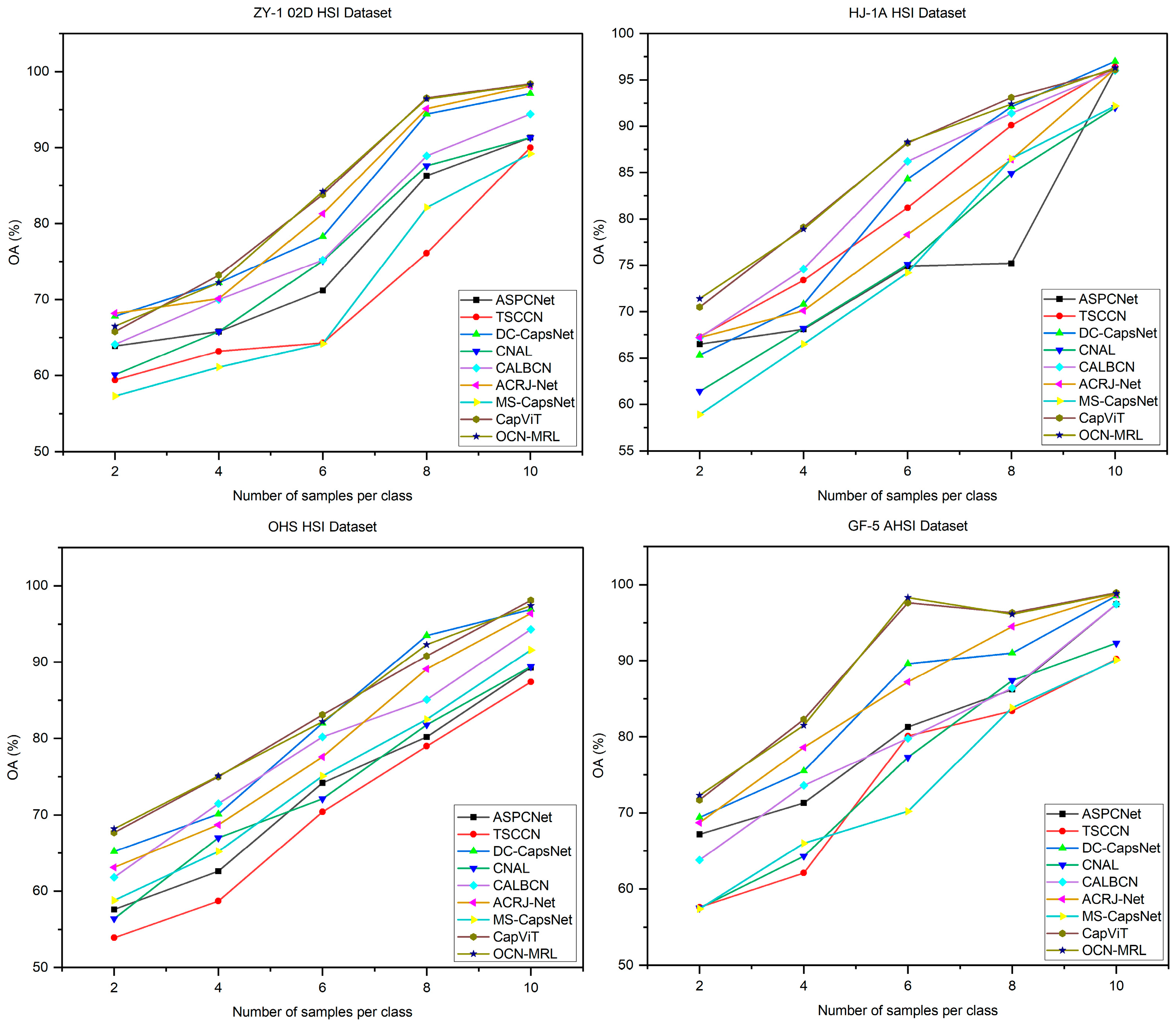
4.2. Comparison of Varying Number of Samples per Class
4.3. Ablation Study
4.4. Comparison of Time Complexity
- It is worth noting that CapsNets’ abilities to discover more informative features for the input HSIs through high-level abstraction with a canonical set of spectral–spatial pattern feature modeling with accompanying instantiation parameters makes them computationally inexpensive [55]. This has accounted for the considerably less computational time realized for all the CapsNet models. However, it can be seen that the inappropriate structuring of CapsNet with other techniques significantly affects the model’s computational cost, as evident in the model which employed a capsule network for feature extraction and meta-reinforcement learning for classification (Meta-RL with highest training + validation time of 7487.98 s, and testing time of 28.97 s). This can be attributed to meta-learning requirements for additional computation times for encapsulating knowledge from the source domain.
- Compared to the CapsNet models considered in this study, it can be realized that the proposed OCN-MRL is not only effective for HSIC but also efficient in computational cost, which is evident in less training and validation time as well as testing time. Of all the datasets, the proposed OCN-MRL proved superior to the other CapsNet models with respect to computational time consumption. It can be inferred that the training + validation time with the average time difference in the proposed model is 588.52, 208.46, 432.98, and 625.24 for ZY-1 02D HSI, HJ-1A HSI, OHS HSI, and GF-5 AHSI, respectively. Also, the testing time of the proposed OCN-MRL in relation to the average testing time of all the CapsNet models is between 4 and 8 s. This indicates that the proposed OCN-MRL is not only useful for high accuracy implementation requirements but also for real-time systems and resource constraint environments.
- Comparing the time complexities of the varying CapsNet dimensions with orthogonality and without orthogonality, it is evident that the 2D CapsNet models require less computational time with much less for those with orthogonality. The same pattern is realized in the 3D CapsNet architectures although with a little higher complexity than the 2D architectures. This suggest that employing orthogonality in CapsNet significantly reduces the computational time, which is a promising technique to incorporate in complex models such as meta-reinforcement learning for improved classification accuracy [36].
- Projecting the softmax orthogonal space presents weight matrix, given that m is the number of classes and n is the number of features. To simplify the derivation, the orthogonal softmax layer uses the QR decomposition approximate technique with consideration of the worst case. The time complexity is . The softmax function computation requires a time complexity of obtained from computing over the logits (exponential logits of and normalizing with ). It follows with gradient computation consisting of the gradient of the softmax with a time complexity of and an orthogonal gradient of . Hence, an overall time complexity of .
- The orthogonal softmax layer space complexity depends on the orthogonalization storage of being the dominant term, which requires full-size matrices storage. The softmax storage and gradient storage require and , respectively. Comparing OCN-MRL’s time and space complexities with the fully connected models, it can be realized that having a fully connected network with a gradient computation of and storage requirement of , the size of the network becomes significant [52].
5. Discussion
- Adaptability to novel tasks in unsupervised learning with small training data is very crucial since generalization is challenging. However, meta-reinforcement learning allows the model to quickly adapt to new HSI datasets with small training samples by leveraging prior knowledge obtained from similar HSI datasets. The ability of Meta-RL to effectively select features from limited available samples by capturing important characteristics of the data can feed appropriate features to CapsNet for classification.
- Capsule network models demonstrate considerably higher classification accuracy in small sample HSI. This is due to CapsNet’s ability to capture the hierarchical relationships and spatial hierarchies in the HSIs. The robust design variations in object appearance of CapsNets aid in the improved generalization performance of small data samples even among datasets with limited variability within classes. Since CapsNets allow for the incorporation of prior knowledge concerning the spatial hierarchy and relationships in the dataset, the learning process and performance are improved with small training samples.
- The combination of Meta-RL and CapsNet in an unsupervised HSI small sample classification is valuable since the model is able to generalize well to new HSI with small training samples. In addition, the model is able to overcome challenges of gradient instability that could arise due to making the fully connected layers of the CapsNet orthogonal by applying appropriate regularization.
- Through the integration of Meta-RL for adaptive feature selection and CapsNet for hierarchical representation learning and classification, the combined model achieves better performance than conventional CapsNet methods and effectively tackles the difficulties associated with small data sample classification problems significantly in unsupervised domains.
- Due to the rich feature distribution of the dataset employed in this study, the visual effects on the classification maps may not be easily comprehended with natural views. However, considering the marked feature variations in all the models, it is obvious that the proposed OCN-MRL does well, and depicts high intraclass consistency as well as interclass separation. This is related to OCN-MRL’s capacity to optimize the common information between features and category estimates, resulting in features that contain the least amount of heterogeneous information and the greatest amount of category-related information. It is also important to note that this ensures the separation of distinct sample categories in feature space and does not only contribute to the same sample category aggregation. Although only a few misclassifications resulted in the OCN-MRL classification output, it can be attributed to different classes exhibiting similar spectral signatures causing overlaps in certain bands hence the model’s struggle to distinguish between them.
- It is realized that transformer-based capsule networks, CapViT, have shown excellent performance across various classification outputs; however, the proposed OCN-MRL is more compatible in applications where computational resources are a key factor. This is evident in the results obtained in Table 13.
6. Conclusions
Author Contributions
Funding
Data Availability Statement
Acknowledgments
Conflicts of Interest
References
- Chen, Y.; Zhu, K.; Zhu, L.; He, X.; Ghamisi, P.; Benediktsson, J.A. Automatic Design of Convolutional Neural Network for Hyperspectral Image Classification. IEEE Trans. Geosci. Remote Sens. 2019, 57, 7048–7066. [Google Scholar] [CrossRef]
- Joy, A.A.; Hasan, M.A.M.; Sayeed, A. An Improved Class-wise Principal Component Analysis Based Feature Extraction Framework for Hyperspectral Image Classification. In Proceedings of the International Conference on Computing Advancements, Dhaka, Bangladesh, 10–12 January 2020; pp. 1–6. [Google Scholar]
- Dinc, S.; Parra, L.A.C. A three layer spatial-spectral hyperspectral image classification model using guided median filters. In Proceedings of the 2021 ACM Southeast Conference, Virtual, 15–17 April 2021; pp. 122–129. [Google Scholar]
- Yang, Q.; Zhang, R.; Fang, Y. Discussion on Information Overlap in Hyperspectral Image Classification Based on Machine Learning. In Proceedings of the 2021 The 4th International Conference on Image and Graphics Processing, Sanya, China, 1–3 January 2021; pp. 156–161. [Google Scholar]
- Safonova, A.; Ghazaryan, G.; Stiller, S.; Main-Knorn, M.; Nendel, C.; Ryo, M. Ten deep learning techniques to address small data problems with remote sensing. Int. J. Appl. Earth Obs. Geoinf. 2023, 125, 103569. [Google Scholar] [CrossRef]
- Chen, Y.; Guo, Z.; Yang, J. Spectral-wise Attention-based Residual Network for Hyperspectral Image Classification. In Proceedings of the 2021 13th International Conference on Machine Learning and Computing, Shenzhen, China, 26 February–1 March 2021; pp. 318–323. [Google Scholar]
- Gore, R.W.; Mishra, A.D.; Deshmukh, R.R. Hyperspectral Image Classification using Machine Learning. In Proceedings of the International Conference on Data Science, Machine Learning and Artificial Intelligence, Windhoek, Namibia, 9–12 August 2021; pp. 261–265. [Google Scholar]
- Liu, Y.; Pan, X.; Liu, J.; Zhang, S.; Yan, W. Research on near-ground forage hyperspectral imagery classification based on fusion preprocessing process. Int. J. Digit. Earth 2023, 16, 4707–4725. [Google Scholar] [CrossRef]
- Jiang, S.; Jia, S. A 3D Lightweight Siamese Network for Hyperspectral Image Classification with Limited Samples. In Proceedings of the 2021 10th International Conference on Computing and Pattern Recognition, Shanghai, China, 15–17 October 2021; pp. 142–148. [Google Scholar]
- Qiu, C.; Zhang, X.; Tong, X.; Guan, N.; Yi, X.; Yang, K.; Zhu, J.; Yu, A. Few-shot remote sensing image scene classification: Recent advances, new baselines, and future trends. ISPRS J. Photogramm. Remote Sens. 2024, 209, 368–382. [Google Scholar] [CrossRef]
- Wang, S.; Ben, H.; Hao, Y.; He, X.; Wang, M. Boosting Hyperspectral Image Classification with Dual Hierarchical Learning. ACM Trans. Multimed. Comput. Commun. Appl. 2023, 19, 1–19. [Google Scholar] [CrossRef]
- Yang, J.; Sun, J.; Ren, Y.; Li, S.; Ding, S.; Hu, J. GACP: Graph neural networks with ARMA filters and a parallel CNN for hyperspectral image classification. Int. J. Digit. Earth 2023, 16, 1770–1800. [Google Scholar] [CrossRef]
- Gao, Q.; Wu, T.; Wang, S. SSC-SFN: Spectral-spatial non-local segment federated network for hyperspectral image classification with limited labeled samples. Int. J. Digit. Earth 2024, 17, 2300319. [Google Scholar] [CrossRef]
- Dang, L.; Liu, C.; Dong, W.; Hou, Y.; Ge, Q.; Liu, Y. An effective global learning framework for hyperspectral image classification based on encoder-decoder architecture. Int. J. Digit. Earth 2022, 15, 1350–1376. [Google Scholar] [CrossRef]
- Zhou, X.; Zhou, W.; Fu, X.; Hu, Y.; Liu, J. MDvT: Introducing mobile three-dimensional convolution to a vision transformer for hyperspectral image classification. Int. J. Digit. Earth 2023, 16, 1469–1490. [Google Scholar] [CrossRef]
- Xu, T.; Wang, Y.; Li, J.; Du, Y. Generative Adversarial Network and Mutual-Point Learning Algorithm for Few-Shot Open-Set Classification of Hyperspectral Images. Remote Sens. 2024, 16, 1285. [Google Scholar] [CrossRef]
- Yang, J.; Qin, J.; Qian, J.; Li, A.; Wang, L. AL-MRIS: An Active Learning-Based Multipath Residual Involution Siamese Network for Few-Shot Hyperspectral Image Classification. Remote Sens. 2024, 16, 990. [Google Scholar] [CrossRef]
- Yang, J.; Qin, J.; Qian, J.; Li, A.; Wang, L. A Multipath and Multiscale Siamese Network Based on Spatial-Spectral Features for Few-Shot Hyperspectral Image Classification. Remote Sens. 2023, 15, 4391. [Google Scholar] [CrossRef]
- Zhang, Z.; Gao, D.; Liu, D.; Shi, G. Spectral-Spatial Domain Attention Network for Hyperspectral Image Few-Shot Classification. Remote Sens. 2024, 16, 592. [Google Scholar] [CrossRef]
- Liu, S.; Li, H.; Jiang, C.; Feng, J. Spectral–Spatial Graph Convolutional Network with Dynamic-Synchronized Multiscale Features for Few-Shot Hyperspectral Image Classification. Remote Sens. 2024, 16, 895. [Google Scholar] [CrossRef]
- Sun, H.; Wang, L.; Liu, H.; Sun, Y. Hyperspectral Image Classification with the Orthogonal Self-Attention ResNet and Two-Step Support Vector Machine. Remote Sens. 2024, 16, 1010. [Google Scholar] [CrossRef]
- Liu, C.; Zhao, L.; Wu, H. Hyperspectral Images Weakly Supervised Classification with Noisy Labels. Remote Sens. 2023, 15, 4994. [Google Scholar] [CrossRef]
- Ayna, C.O.; Mdrafi, R.; Du, Q.; Gurbuz, A.C. Learning-Based Optimization of Hyperspectral Band Selection for Classification. Remote Sens. 2023, 15, 4460. [Google Scholar] [CrossRef]
- Li, J.; Zhao, Q.; Li, N.; Ma, L.; Xia, X.; Zhang, X.; Ding, N.; Li, N. A Survey on Capsule Networks: Evolution, Application, and Future Development. In Proceedings of the 2021 International Conference on High Performance Big Data and Intelligent Systems (HPBD&IS), Macau, China, 5–7 December 2021; pp. 177–185. [Google Scholar]
- Kumar, B.V.; Naik, V.R.; Sneha, A.; Hussein, A.H.A.; Alzubaidi, L.H. Model stacking of Spatial Spectral Network with Capsule Networks for Classification of Hyper-Spectral Images. In Proceedings of the 2023 International Conference on Integrated Intelligence and Communication Systems (ICIICS), Kalaburagi, India, 24–25 November 2023; pp. 1–4. [Google Scholar]
- Wei, L.; Ran, H.; Yin, Y. High Spectral Image Classification Model Based on Residual-Corrected Adaptive Jigsaw Capsule Network. In Proceedings of the 2023 IEEE 6th International Conference on Automation, Electronics and Electrical Engineering (AUTEEE), Shenyang, China, 15–17 December 2023; pp. 16–25. [Google Scholar]
- Liu, J.; Jiang, X.; Liu, W. Classifying Hyperspectral Images with Capsule Network and Active Learning. In Proceedings of the IGARSS 2022—2022 IEEE International Geoscience and Remote Sensing Symposium, Kuala Lumpur, Malaysia, 17–22 July 2022; pp. 3624–3627. [Google Scholar]
- Zhai, H.; Zhao, J. Two-Stream spectral-spatial convolutional capsule network for Hyperspectral image classification. Int. J. Appl. Earth Obs. Geoinf. 2024, 127, 103614. [Google Scholar] [CrossRef]
- Lei, R.; Zhang, C.; Liu, W.; Zhang, L.; Zhang, X.; Yang, Y.; Huang, J.; Li, Z.; Zhou, Z. Hyperspectral Remote Sensing Image Classification Using Deep Convolutional Capsule Network. IEEE J. Sel. Top. Appl. Earth Obs. Remote Sens. 2021, 14, 8297–8315. [Google Scholar] [CrossRef]
- Sun, K.; Zhang, J.; Xu, S.; Zhao, Z.; Zhang, C.; Liu, J.; Hu, J. CACNN: Capsule Attention Convolutional Neural Networks for 3D Object Recognition. IEEE Trans. Neural Netw. Learn. Syst. 2023. [Google Scholar] [CrossRef] [PubMed]
- Huisman, M.; van Rijn, J.N.; Plaat, A. A survey of deep meta-learning. Artif. Intell. Rev. 2021, 54, 4483–4541. [Google Scholar] [CrossRef]
- Yu, X.; Guan, Y.; Yan, L.; Li, S.; Fu, X.; Jiang, J. ARLPE: A meta reinforcement learning framework for glucose regulation in type 1 diabetics. Expert Syst. Appl. 2023, 228, 120156. [Google Scholar] [CrossRef]
- Li, J.; Zhou, T.; Cui, H. Brain-Inspired Deep Meta-Reinforcement Learning for Active Coordinated Fault-Tolerant Load Frequency Control of Multi-Area Grids. IEEE Trans. Autom. Sci. Eng. 2024, 21, 2518–2530. [Google Scholar] [CrossRef]
- Bhardwaj, A.; Rothfuss, J.; Sukhija, B.; As, Y.; Hutter, M.; Coros, S.; Krause, A. Data-Efficient Task Generalization via Probabilistic Model-based Meta Reinforcement Learning. IEEE Robot. Autom. Lett. 2024, 9, 3918–3925. [Google Scholar] [CrossRef]
- Zhang, W.; Liu, H.; Wu, J.; Li, Y. MVSSC: Meta-reinforcement learning based visual indoor navigation using multi-view semantic spatial context. Pattern Recognit. Lett. 2024, 177, 75–81. [Google Scholar] [CrossRef]
- Amoako, P.Y.O.; Cao, G.; Yang, D.; Amoah, L.; Wang, Y.; Yu, Q. A Metareinforcement-Learning-Based Hyperspectral Image Classification With a Small Sample Set. IEEE J. Sel. Top. Appl. Earth Obs. Remote Sens. 2024, 17, 3091–3107. [Google Scholar] [CrossRef]
- Das, P.K.; Sreevatsav, S.; Abraham, A. An efficient deep learning network with orthogonal softmax layer for automatic detection of tuberculosis. Eng. Appl. Artif. Intell. 2024, 133, 108116. [Google Scholar] [CrossRef]
- Li, X.; Li, X.; Chang, D.; Ma, Z.; Tan, Z.H.; Xue, J.H.; Cao, J.; Yu, J.; Guo, J. OSLNet: Deep Small-Sample Classification with an Orthogonal Softmax Layer. IEEE Trans. Image Process. 2020, 29, 6482–6495. [Google Scholar] [CrossRef]
- Shi, B.; Li, W.; Huo, J.; Zhu, P.; Wang, L.; Gao, Y. Global- and local-aware feature augmentation with semantic orthogonality for few-shot image classification. Pattern Recognit. 2023, 142, 109702. [Google Scholar] [CrossRef]
- Tabealhojeh, H.; Adibi, P.; Karshenas, H.; Roy, S.K.; Harandi, M. RMAML: Riemannian meta-learning with orthogonality constraints. Pattern Recognit. 2023, 140, 109563. [Google Scholar] [CrossRef]
- Xu, C.; Li, X.; Yang, M. An orthogonal classifier for improving the adversarial robustness of neural networks. Inf. Sci. 2022, 591, 251–262. [Google Scholar] [CrossRef]
- Tian, L.; Du, Q.; Kopriva, I.; Younan, N. Orthogonal Graph-regularized Non-negative Matrix Factorization for Hyperspectral Image Clustering. In Proceedings of the IGARSS 2019—2019 IEEE International Geoscience and Remote Sensing Symposium, Yokohama, Japan, 28 July–2 August 2019; pp. 795–798. [Google Scholar]
- Wang, J.; Tan, X.; Lai, J.; Li, J. ASPCNet: Deep adaptive spatial pattern capsule network for hyperspectral image classification. Neurocomputing 2022, 486, 47–60. [Google Scholar] [CrossRef]
- Ait Skourt, B.; El Hassani, A.; Majda, A. Mixed-pooling-dropout for convolutional neural network regularization. J. King Saud Univ.-Comput. Inf. Sci. 2022, 34, 4756–4762. [Google Scholar] [CrossRef]
- Paoletti, M.E.; Haut, J.M.; Fernandez-Beltran, R.; Plaza, J.; Plaza, A.; Li, J.; Pla, F. Capsule Networks for Hyperspectral Image Classification. IEEE Trans. Geosci. Remote Sens. 2019, 57, 2145–2160. [Google Scholar] [CrossRef]
- Wang, N.; Yang, A.; Cui, Z.; Ding, Y.; Xue, Y.; Su, Y. Capsule Attention Network for Hyperspectral Image Classification. Remote Sens. 2024, 16, 4001. [Google Scholar] [CrossRef]
- Ma, Q.; Zhang, X.; Zhang, C.; Zhou, H. Hyperspectral Image Classification Based on Capsule Network. Chin. J. Electron. 2022, 31, 146–154. [Google Scholar]
- Yu, Y.; Jiang, T.; Gao, J.; Guan, H.; Li, D.; Gao, S.; Tang, E.; Wang, W.; Tang, P.; Li, J. CapViT: Cross-context capsule vision transformers for land cover classification with airborne multispectral LiDAR data. Int. J. Appl. Earth Obs. Geoinf. 2022, 111, 102837. [Google Scholar] [CrossRef]
- Liu, B.; Yu, X.; Yu, A.; Zhang, P.; Wan, G.; Wang, R. Deep Few-Shot Learning for Hyperspectral Image Classification. IEEE Trans. Geosci. Remote Sens. 2019, 57, 2290–2304. [Google Scholar] [CrossRef]
- Cao, C.; Yi, H.; Xiang, H.; He, P.; Hu, J.; Xiao, F.; Gao, X. Accelerated Sparse-Coding-Inspired Feedback Neural Architecture Search for Hyperspectral Image Classification. IEEE Trans. Geosci. Remote Sens. 2024, 62, 5508214. [Google Scholar] [CrossRef]
- Wang, H.; Wang, L. Collaborative Active Learning Based on Improved Capsule Networks for Hyperspectral Image Classification. IEEE Trans. Geosci. Remote Sens. 2023, 61, 5522126. [Google Scholar] [CrossRef]
- Lei, R.; Zhang, C.; Zhang, X.; Huang, J.; Li, Z.; Liu, W.; Cui, H. Multiscale Feature Aggregation Capsule Neural Network for Hyperspectral Remote Sensing Image Classification. Remote Sens. 2022, 14, 1652. [Google Scholar] [CrossRef]
- Chicco, D.; Jurman, G. The advantages of the Matthews correlation coefficient (MCC) over F1 score and accuracy in binary classification evaluation. BMC Genom. 2020, 21, 6. [Google Scholar] [CrossRef] [PubMed]
- Amoako, P.Y.O.; Cao, G.; Arthur, J.K. An Image-Based Cocoa Diseases Classification Based on an Improved Vgg19 Model. In Sustainable Education and Development–Sustainable Industrialization and Innovation; Springer: Cham, Switzerland, 2023; pp. 711–722. [Google Scholar] [CrossRef]
- Tan, X.; Leng, X.; Sun, Z.; Luo, R.; Ji, K.; Kuang, G. Lightweight Ship Detection Network for SAR Range-Compressed Domain. Remote Sens. 2024, 16, 3284. [Google Scholar] [CrossRef]








| Sensor | HS-13 | ZY-1 02D HSI | HJ-1A HSI | OHS HSI | GF-5 AHSI |
|---|---|---|---|---|---|
| Year | 2012 | 2019 | 2008 | 2018 | 2018 |
| Altitude (km) | - | - | 649 | 500 | 705 |
| Spectral range (μm) | 0.38–1.05 | 0.4–2.5 | 0.45–0.95 | 0.41–1.11 | 0.4–2.5 |
| Spectral resolution (nm) | 380 | 10 (VNIR), 20 (SWIR) | 5 | 2.5 | 10-May |
| Spatial resolution (m) | 2.5 | 30 | 100 | 10 | 30 |
| Bands | 144 | 166 | 115 | 32 | 330 |
| Swath width (km) | 1–5 | 60 | 50 | 150 | 60 |
| Satellite net | - | Yes | Yes | Yes | No |
| Class | Color | Name | Training | Testing |
|---|---|---|---|---|
| 1 | ![]() | Agricultural area | 10 | 496 |
| 2 | ![]() | Beach | 10 | 4684 |
| 3 | ![]() | Building area | 10 | 388 |
| 4 | ![]() | Cloud | 10 | 117 |
| 5 | ![]() | Oil well | 10 | 300 |
| 6 | ![]() | Paddy field | 10 | 498 |
| 7 | ![]() | Reed salt marsh | 10 | 300 |
| 8 | ![]() | Road | 10 | 77 |
| 9 | ![]() | Shadow | 10 | 57 |
| 10 | ![]() | Suaeda salt marsh | 10 | 208 |
| 11 | ![]() | Water | 10 | 1383 |
| Total | 110 | 8508 |
| Class | Color | Name | Training | Testing |
|---|---|---|---|---|
| 1 | ![]() | Building | 10 | 853 |
| 2 | ![]() | Farmland | 10 | 5071 |
| 3 | ![]() | Forest | 10 | 3154 |
| 4 | ![]() | Water | 10 | 5206 |
| Total | 40 | 14,284 |
| Class | Color | Name | Training | Testing |
|---|---|---|---|---|
| 1 | ![]() | Agricultural | 10 | 4545 |
| 2 | ![]() | Bare land | 10 | 5013 |
| 3 | ![]() | Impervious surface | 10 | 3479 |
| 4 | ![]() | Lakes | 10 | 9937 |
| 5 | ![]() | Ponds | 10 | 5032 |
| 6 | ![]() | Rivers | 10 | 5443 |
| 7 | ![]() | Shrubs | 10 | 5855 |
| 8 | ![]() | Woodland | 10 | 4442 |
| Total | 80 | 43,746 |
| Class | Color | Name | Training | Testing |
|---|---|---|---|---|
| 1 | ![]() | Artificial Surface | 10 | 4828 |
| 2 | ![]() | Bare rock | 10 | 539 |
| 3 | ![]() | Crops | 10 | 909 |
| 4 | ![]() | Forest | 10 | 1502 |
| 5 | ![]() | Paddy Fields | 10 | 474 |
| 6 | ![]() | Water | 10 | 1008 |
| Total | 60 | 9260 |
| Input Shape Is 6 × 6 × 16 | Output Shape Is 4 × 4 × 16 | |||
|---|---|---|---|---|
| Layer ID | Kenel Size | Stride | Padding | Activation Function |
| Convolutional layer | ||||
| 3-D Conv | (3 × 3) × 128 | 2 | 1 | ReLU |
| Primary Capsule Layers | ||||
| Primary caps 1 | (3 × 3) × 256 | 1 | 0 | ReLU |
| Primary caps 2 | (1 × 1) × 256 | 2 | 0 | ReLU |
| Digital Capsule Layers | ||||
| Digital Caps 1 | (3 × 3) × 128 | 1 | 0 | Softmax |
| Digital Caps 2 | (3 × 3) × 128 | 1 | 0 | Squash |
| Fully Connected Layer | ||||
| Orthogonal Softmax | (3 × 3) × 128 | 0 | 0 | Softmax |
| Class | ASPCNet | TSCCN | DC-CapsNet | CNAL | CALBCN | ACRJ-Net | MS-CapsNet | CapViT | OCN-MRL |
|---|---|---|---|---|---|---|---|---|---|
| 1 | 93.43 ± 4.17 | 90.47 ± 3.86 | 95.64 ± 1.13 | 89.13 ± 1.26 | 94.67 ± 2.38 | 95.35 ± 1.30 | 87.22 ± 1.40 | 95.22 ± 1.18 | 94.73 ± 1.07 |
| 2 | 98.60 ± 1.56 | 97.83 ± 2.10 | 98.01 ± 1.42 | 93.44 ± 2.60 | 98.63 ± 0.17 | 98.90 ± 0.21 | 92.82 ± 1.54 | 98.93 ± 0.14 | 98.91 ± 0.06 |
| 3 | 92.94 ± 3.33 | 88.53 ± 2.48 | 93.34 ± 2.11 | 88.64 ± 1.34 | 93.45 ± 1.88 | 94.38 ± 1.27 | 86.91 ± 0.95 | 94.35 ± 1.33 | 93.46 ± 1.21 |
| 4 | 90.04 ± 3.17 | 86.97 ± 2.81 | 91.64 ± 1.21 | 87.03 ± 2.25 | 91.62 ± 2.10 | 91.81 ± 1.04 | 83.45 ± 1.57 | 92.24 ± 1.48 | 90.71 ± 1.65 |
| 5 | 91.92 ± 2.31 | 90.04 ± 3.74 | 91.88 ± 1.75 | 89.81 ± 1.08 | 93.15 ± 1.91 | 91.98 ± 2.12 | 87.23 ± 1.26 | 91.94 ± 1.36 | 91.95 ± 1.91 |
| 6 | 95.10 ± 3.52 | 91.55 ± 3.12 | 94.25 ± 1.61 | 90.18 ± 0.97 | 95.27 ± 1.14 | 96.31 ± 0.95 | 85.48 ± 1.16 | 96.42 ± 1.41 | 96.53 ± 1.28 |
| 7 | 92.11 ± 3.09 | 89.92 ± 2.09 | 92.43 ± 0.61 | 89.04 ± 2.16 | 92.98 ± 2.36 | 91.51 ± 0.36 | 85.08 ± 1.31 | 92.99 ± 1.93 | 91.71 ± 2.21 |
| 8 | 87.37 ± 4.49 | 85.58 ± 3.17 | 90.18 ± 1.36 | 84.92 ± 1.18 | 89.10 ± 1.06 | 90.71 ± 1.09 | 80.36 ± 1.14 | 90.35 ± 1.21 | 90.06 ± 1.19 |
| 9 | 82.61 ± 2.80 | 81.18 ± 2.71 | 87.63 ± 0.82 | 84.87 ± 1.29 | 81.59 ± 1.18 | 88.41 ± 0.51 | 80.18 ± 1.52 | 89.09 ± 1.59 | 89.16 ± 1.14 |
| 10 | 91.17 ± 2.34 | 90.13 ± 2.80 | 92.66 ± 1.63 | 88.74 ± 2.11 | 92.07 ± 2.13 | 91.06 ± 0.28 | 82.29 ± 0.83 | 92.21 ± 1.28 | 91.11 ± 1.63 |
| 11 | 98.18 ± 1.07 | 95.81 ± 3.88 | 97.14 ± 1.19 | 97.31 ± 3.13 | 98.21 ± 1.02 | 98.24 ± 0.03 | 90.11 ± 1.24 | 98.82 ± 1.20 | 98.51 ± 1.00 |
| OA | 91.65 ± 1.58 | 89.92 ± 3.16 | 97.22 ± 1.05 | 90.89 ± 0.92 | 94.61 ± 1.21 | 97.71 ± 1.05 | 89.37 ± 1.12 | 98.63 ± 1.13 | 97.82 ± 0.21 |
| AA | 92.58 ± 1.72 | 90.54 ± 0.69 | 97.64 ± 1.13 | 90.97 ± 0.68 | 95.32 ± 1.09 | 98.13 ± 0.06 | 89.34 ± 0.16 | 98.27 ± 0.14 | 98.30 ± 0.14 |
| MCC | 0.903 ± 0.02 | 0.865 ± 0.03 | 0.954 ± 0.06 | 0.906 ± 0.01 | 0.906 ± 0.02 | 0.961 ± 0.02 | 0.891 ± 0.02 | 0.973 ± 0.01 | 0.971 ± 0.01 |
| Class | ASPCNet | TSCCN | DC-CapsNet | CNAL | CALBCN | ACRJ-Net | MS-CapsNet | CapViT | OCN-MRL |
|---|---|---|---|---|---|---|---|---|---|
| 1 | 94.65 ± 1.64 | 93.61 ± 2.38 | 95.11 ± 1.06 | 92.80 ± 1.15 | 93.88 ± 1.72 | 95.17 ± 1.54 | 88.92 ± 1.42 | 95.19 ± 1.66 | 95.28 ± 2.10 |
| 2 | 98.71 ± 1.41 | 98.12 ± 1.34 | 98.26 ± 1.38 | 96.06 ± 1.21 | 98.43 ± 1.20 | 98.38 ± 1.42 | 93.13 ± 1.23 | 98.82 ± 1.68 | 98.73 ± 1.71 |
| 3 | 95.94 ± 2.16 | 96.27 ± 1.71 | 97.75 ± 1.61 | 90.76 ± 1.53 | 96.20 ± 1.52 | 96.25 ± 1.31 | 90.71 ± 1.35 | 96.91 ± 0.59 | 95.31 ± 1.42 |
| 4 | 97.56 ± 1.08 | 98.47 ± 1.43 | 98.04 ± 1.08 | 91.37 ± 2.03 | 95.39 ± 1.49 | 98.83 ± 0.15 | 93.52 ± 1.29 | 98.81 ± 0.13 | 98.80 ± 0.06 |
| OA | 96.88 ± 1.36 | 97.40 ± 1.73 | 97.72 ± 1.34 | 94.38 ± 1.41 | 96.93 ± 1.41 | 98.16 ± 1.41 | 92.81 ± 1.46 | 98.15 ± 0.17 | 98.32 ± 0.14 |
| AA | 97.43 ± 1.49 | 97.81 ± 1.02 | 97.95 ± 1.26 | 95.13 ± 0.73 | 96.92 ± 1.16 | 98.11 ± 0.15 | 93.13 ± 1.49 | 98.46 ± 0.27 | 98.40 ± 0.08 |
| MCC | 0.960 ± 0.03 | 0.963 ± 0.02 | 0.9701± 0.04 | 0.942 ± 0.02 | 0.961 ± 0.01 | 0.971 ± 0.01 | 0.905 ± 0.02 | 0.977 ± 0.01 | 0.974 ± 0.02 |
| Class | ASPCNet | TSCCN | DC-CapsNet | CNAL | CALBCN | ACRJ-Net | MS-CapsNet | CapViT | OCN-MRL |
|---|---|---|---|---|---|---|---|---|---|
| 1 | 96.26 ± 1.32 | 89.31 ± 2.04 | 97.39 ± 1.40 | 94.15 ± 1.91 | 97.24 ± 1.61 | 97.74 ± 1.46 | 88.47 ± 1.53 | 97.83 ± 1.36 | 96.81 ± 2.14 |
| 2 | 98.55 ± 1.14 | 96.47 ± 1.19 | 97.94 ± 1.35 | 95.13 ± 1.38 | 98.40 ± 1.55 | 98.53 ± 1.62 | 93.81 ± 1.72 | 98.69 ± 1.31 | 98.79 ± 1.11 |
| 3 | 96.81 ± 1.07 | 87.80 ± 1.53 | 96.09 ± 2.56 | 91.22 ± 1.32 | 91.79 ± 1.39 | 95.15 ± 1.13 | 89.84 ± 1.68 | 96.90 ± 1.18 | 95.28 ± 1.73 |
| 4 | 98.38 ± 1.53 | 95.66 ± 1.93 | 98.84 ± 1.10 | 96.52 ± 1.37 | 97.87 ± 2.05 | 98.86 ± 1.13 | 91.28 ± 1.42 | 98.89 ± 1.17 | 98.88 ± 1.20 |
| 5 | 97.84 ± 1.92 | 94.34 ± 2.13 | 98.11 ± 1.08 | 94.82 ± 1.41 | 96.81 ± 1.38 | 98.71 ± 1.04 | 92.61 ± 1.40 | 98.84 ± 1.02 | 98.03 ± 1.00 |
| 6 | 98.02 ± 1.35 | 95.28 ± 1.44 | 97.47 ± 1.28 | 96.78 ± 1.34 | 97.01 ± 1.60 | 98.80 ± 0.17 | 93.95 ± 1.17 | 98.44 ± 1.16 | 98.25 ± 1.16 |
| 7 | 98.35 ± 1.16 | 92.71 ± 1.28 | 98.01 ± 1.67 | 95.13 ± 1.62 | 96.98 ± 2.18 | 98.18 ± 1.04 | 91.17 ± 1.13 | 98.54 ± 1.13 | 98.62 ± 0.14 |
| 8 | 93.75 ± 2.02 | 85.91 ± 1.79 | 95.38 ± 2.14 | 84.71 ± 1.06 | 92.04 ± 1.22 | 96.33 ± 1.12 | 86.71 ± 1.45 | 96.69 ± 1.16 | 96.71 ± 1.33 |
| OA | 97.15 ± 1.03 | 90.36 ± 2.11 | 98.17 ± 1.21 | 91.39 ± 1.15 | 96.95 ± 1.36 | 98.51 ± 1.10 | 89.95 ± 1.62 | 98.82 ± 0.14 | 98.73 ± 0.20 |
| AA | 97.20 ± 1.18 | 92.17 ± 1.75 | 98.43 ± 1.05 | 91.70 ± 0.46 | 97.02 ± 1.47 | 98.00 ± 1.41 | 91.05 ± 1.64 | 98.08 ± 1.10 | 98.15 ± 1.06 |
| MCC | 0.963 ± 0.03 | 0.914 ± 0.04 | 0.977 ± 0.02 | 0.903 ± 0.02 | 0.902 ± 0.01 | 0.973 ± 0.01 | 0.895 ± 0.01 | 0.979 ± 0.03 | 0.980 ± 0.01 |
| Class | ASPCNet | TSCCN | DC-CapsNet | CNAL | CALBCN | ACRJ-Net | MS-CapsNet | CapViT | OCN-MRL |
|---|---|---|---|---|---|---|---|---|---|
| 1 | 91.34 ± 0.51 | 91.17 ± 1.21 | 97.48 ± 1.08 | 94.66 ± 1.23 | 96.10 ± 1.15 | 96.81 ± 1.52 | 91.73 ± 1.56 | 97.37 ± 1.61 | 97.04 ± 1.36 |
| 2 | 87.68 ± 1.02 | 84.25 ± 0.77 | 92.62 ± 1.09 | 87.14 ± 0.86 | 91.24 ± 1.18 | 93.29 ± 1.44 | 88.43 ± 1.19 | 94.13 ± 1.35 | 93.16 ± 1.23 |
| 3 | 89.27 ± 1.31 | 86.62 ± 1.16 | 94.51 ± 1.37 | 89.02 ± 1.07 | 93.26 ± 1.74 | 90.65 ± 1.43 | 91.46 ± 1.33 | 96.06 ± 1.22 | 96.12 ± 1.13 |
| 4 | 95.11 ± 2.10 | 91.28 ± 1.30 | 97.75 ± 1.81 | 94.73 ± 1.18 | 96.50 ± 1.33 | 97.42 ± 1.28 | 93.08 ± 1.16 | 98.20 ± 1.36 | 97.85 ± 1.21 |
| 5 | 84.53 ± 1.15 | 84.19 ± 1.86 | 92.04 ± 2.39 | 82.85 ± 1.55 | 91.43 ± 1.42 | 93.07 ± 1.16 | 87.32 ± 1.17 | 93.92 ± 1.32 | 93.63 ± 1.14 |
| 6 | 90.17 ± 1.20 | 88.35 ± 1.82 | 97.49 ± 1.71 | 91.14 ± 1.36 | 92.38 ± 0.95 | 96.59 ± 1.68 | 92.10 ± 1.74 | 96.26 ± 1.14 | 96.30 ± 1.62 |
| OA | 89.69 ± 1.54 | 87.12 ± 1.61 | 97.13 ± 1.08 | 89.52 ± 1.20 | 93.64 ± 1.60 | 96.21 ± 1.23 | 91.35 ± 1.92 | 97.67 ± 1.09 | 97.43 ± 1.16 |
| AA | 91.08 ± 1.46 | 87.98 ± 1.27 | 97.15 ± 1.24 | 90.84 ± 1.29 | 93.73 ± 1.90 | 96.45 ± 1.38 | 91.55 ± 1.36 | 97.14 ± 1.15 | 97.25 ± 1.02 |
| MCC | 0.886 ± 0.02 | 0.882 ± 0.03 | 0.952 ± 0.03 | 0.891 ± 0.01 | 0.912 ± 0.02 | 0.957 ± 0.02 | 0.890 ± 0.02 | 0.961 ± 0.01 | 0.963 ± 0.02 |
| Class | Meta-RL | CN-2D-MRL | OCN-2D-MRL | CN-3D-MRL | OCN-3D-MRL |
|---|---|---|---|---|---|
| 1 | 92.85 ± 1.21 | 91.18 ± 0.25 | 91.04 ± 0.21 | 96.06 ± 1.14 | 94.73 ± 1.07 |
| 2 | 95.91 ± 0.45 | 93.96 ± 0.32 | 93.28 ± 1.06 | 98.96 ± 1.18 | 98.91 ± 0.06 |
| 3 | 90.94 ± 1.72 | 90.34 ± 1.07 | 90.10 ± 1.01 | 94.22 ± 1.30 | 93.46 ± 1.21 |
| 4 | 86.78 ± 2.19 | 86.00 ± 1.45 | 85.91 ± 1.32 | 90.82 ± 1.38 | 90.71 ± 1.65 |
| 5 | 86.57 ± 2.31 | 85.38 ± 1.91 | 85.13 ± 1.04 | 91.97 ± 1.95 | 91.95 ± 1.91 |
| 6 | 95.81 ± 1.82 | 93.51 ± 1.04 | 93.20 ± 1.15 | 96.60 ± 1.31 | 96.53 ± 1.28 |
| 7 | 86.13 ± 2.01 | 84.28 ± 2.17 | 84.07 ± 1.36 | 91.84 ± 1.91 | 91.71 ± 2.21 |
| 8 | 86.42 ± 1.12 | 85.29 ± 1.33 | 85.11 ± 1.14 | 90.57 ± 1.32 | 90.06 ± 1.19 |
| 9 | 87.95 ± 1.34 | 87.40 ± 0.96 | 88.06 ± 0.10 | 89.25 ± 1.55 | 89.16 ± 1.14 |
| 10 | 89.15 ± 0.99 | 88.73 ± 1.62 | 88.19 ± 1.13 | 91.37 ± 1.19 | 91.11 ± 1.63 |
| 11 | 94.26 ± 1.33 | 92.89 ± 1.51 | 92.19 ± 0.96 | 98.86 ± 1.25 | 98.51 ± 1.00 |
| OA | 95.99 ± 1.16 | 94.75 ± 1.25 | 94.41 ± 1.16 | 97.85 ± 0.24 | 97.82 ± 0.21 |
| AA | 96.26 ± 0.21 | 95.77 ± 0.61 | 95.16 ± 0.38 | 98.53 ± 0.26 | 98.30 ± 0.14 |
| MCC | 0.944 ± 0.02 | 0.902 ± 0.01 | 0.900 ± 0.01 | 0.972 ± 0.02 | 0.971 ± 0.01 |
| Dataset | Measure | Meta-RL | CN-2D-MRL | OCN-2D-MRL | CN-3D-MRL | OCN-3D-MRL |
|---|---|---|---|---|---|---|
| HJ-1A HSI | OA | 95.85 ± 1.38 | 97.13 ± 1.55 | 96.23 ± 1.57 | 99.23 ± 0.35 | 98.32 ± 0.14 |
| AA | 95.91 ± 0.84 | 97.17 ± 131 | 96.27 ± 1.28 | 99.31 ± 0.08 | 98.40 ± 0.08 | |
| MCC | 0.946 ± 0.01 | 0.947 ± 0.01 | 0947 ± 0.03 | 0.984 ± 0.01 | 0.974 ± 0.02 | |
| OHS HSI | OA | 96.13 ± 0.62 | 98.04 ± 1.35 | 97.45 ± 0.71 | 99.64 ± 1.01 | 98.73 ± 0.20 |
| AA | 96.42 ± 0.90 | 97.83 ± 0.58 | 96.91 ± 1.10 | 99.06 ± 0.62 | 98.15 ± 1.06 | |
| MCC | 0.953 ± 0.04 | 0.973 +0.00 | 0.943 ± 0.01 | 0.989 ± 0.01 | 0.980 ± 0.01 | |
| GF-5 AHSI | OA | 96.78 ± 0.73 | 97.39 ± 1.08 | 96.49 ± 1.77 | 98.34 ± 0.83 | 97.43 ± 1.16 |
| AA | 96.57 ± 1.18 | 97.68 ± 2.01 | 96.78 ± 0.68 | 98.16 ± 1.04 | 97.25 ± 1.02 | |
| MCC | 0.958 ± 0.01 | 0.894 ± 0.02 | 0.951 ± 0.02 | 0.980 ± 0.01 | 0.963 ± 0.02 |
| CapsNet-Based Methods | Varying Dimension CapsNet Methods | |||||
|---|---|---|---|---|---|---|
| Datasets | Methods | Training + Validation Time (s) | Testing Time (s) | Methods | Training + Validation Time (s) | Testing Time (s) |
| ZY-1 02D HSI | ASPCNet | 2859.29 | 15.50 | Meta-RL | 3207.92 | 24.65 |
| TSCCN | 3857.95 | 20.48 | CN-2D-MRL | 3078.67 | 13.65 | |
| DC-CapsNet | 3278.62 | 30.83 | OCN-2D-MRL | 2641.33 | 10.21 | |
| CNAL | 2911.95 | 20.06 | CN-3D-MRL | 2964.00 | 18.23 | |
| CALBCN | 3252.62 | 22.02 | OCN-3D-MRL | 2637.31 | 10.51 | |
| ACRJ-Net | 3367.29 | 13.51 | ||||
| MS-CAPSNET | 3641.61 | 15.56 | ||||
| CapViT | 3822.43 | 24.72 | ||||
| OCN-MRL | 2637.31 | 10.51 | ||||
| Average Time | 3225.83 | 18.6 | 2905.8 | 15.5 | ||
| HJ-1A HSI | ASPCNet | 3104.27 | 18.35 | Meta-RL | 3486.01 | 21.57 |
| TSCCN | 3357.48 | 14.96 | CN-2D-MRL | 2861.86 | 14.45 | |
| DC-CapsNet | 3170.51 | 14.62 | OCN-2D-MRL | 2757.29 | 9.78 | |
| CNAL | 3263.64 | 16.04 | CN-3D-MRL | 3131.86 | 14.88 | |
| CALBCN | 3457.97 | 16.17 | OCN-3D-MRL | 2914.28 | 10.13 | |
| ACRJ-Net | 3053.30 | 10.85 | ||||
| MS-CAPSNET | 3140.47 | 18.72 | ||||
| CapViT | 3192.65 | 15.96 | ||||
| OCN-MRL | 2914.28 | 10.13 | ||||
| Average Time | 3182.74 | 15.0 | 3030.3 | 14.2 | ||
| OHS HSI | ASPCNet | 3297.31 | 25.06 | Meta-RL | 7487.98 | 28.97 |
| TSCCN | 3209.63 | 27.31 | CN-2D-MRL | 2858.11 | 26.49 | |
| DC-CapsNet | 3310.89 | 30.06 | OCN-2D-MRL | 2663.78 | 21.19 | |
| CNAL | 3157.40 | 29.63 | CN-3D-MRL | 2886.78 | 26.06 | |
| CALBCN | 3396.16 | 26.02 | OCN-3D-MRL | 2743.05 | 21.40 | |
| ACRJ-Net | 2875.55 | 22.99 | ||||
| MS-CAPSNET | 3418.23 | 25.27 | ||||
| CapViT | 3406.83 | 29.49 | ||||
| OCN-MRL | 2743.05 | 21.40 | ||||
| Average Time | 3176.03 | 25.97 | 3727.94 | 24.82 | ||
| GF-5 AHSI | ASPCNet | 3189.12 | 19.67 | Meta-RL | 6745.40 | 20.76 |
| TSCCN | 2555.78 | 17.23 | CN-2D-MRL | 2547.82 | 16.80 | |
| DC-CapsNet | 3145.12 | 19.71 | OCN-2D-MRL | 2219.68 | 13.32 | |
| CNAL | 2921.12 | 22.05 | CN-3D-MRL | 4488.40 | 19.14 | |
| CALBCN | 3646.45 | 15.90 | OCN-3D-MRL | 2395.37 | 13.65 | |
| ACRJ-Net | 3124.45 | 20.24 | ||||
| MS-CAPSNET | 3187.45 | 18.36 | ||||
| CapViT | 3115.12 | 17.38 | ||||
| OCN-MRL | 2395.37 | 13.65 | ||||
| Average Time | 3020.61 | 18.35 | 2912.82 | 16.73 | ||
Disclaimer/Publisher’s Note: The statements, opinions and data contained in all publications are solely those of the individual author(s) and contributor(s) and not of MDPI and/or the editor(s). MDPI and/or the editor(s) disclaim responsibility for any injury to people or property resulting from any ideas, methods, instructions or products referred to in the content. |
© 2025 by the authors. Licensee MDPI, Basel, Switzerland. This article is an open access article distributed under the terms and conditions of the Creative Commons Attribution (CC BY) license (https://creativecommons.org/licenses/by/4.0/).
Share and Cite
Amoako, P.Y.O.; Cao, G.; Shi, B.; Yang, D.; Acka, B.B. Orthogonal Capsule Network with Meta-Reinforcement Learning for Small Sample Hyperspectral Image Classification. Remote Sens. 2025, 17, 215. https://doi.org/10.3390/rs17020215
Amoako PYO, Cao G, Shi B, Yang D, Acka BB. Orthogonal Capsule Network with Meta-Reinforcement Learning for Small Sample Hyperspectral Image Classification. Remote Sensing. 2025; 17(2):215. https://doi.org/10.3390/rs17020215
Chicago/Turabian StyleAmoako, Prince Yaw Owusu, Guo Cao, Boshan Shi, Di Yang, and Benedict Boakye Acka. 2025. "Orthogonal Capsule Network with Meta-Reinforcement Learning for Small Sample Hyperspectral Image Classification" Remote Sensing 17, no. 2: 215. https://doi.org/10.3390/rs17020215
APA StyleAmoako, P. Y. O., Cao, G., Shi, B., Yang, D., & Acka, B. B. (2025). Orthogonal Capsule Network with Meta-Reinforcement Learning for Small Sample Hyperspectral Image Classification. Remote Sensing, 17(2), 215. https://doi.org/10.3390/rs17020215






























