Abstract
The rapid and accurate reconstruction of the high-resolution range profiles (HRRPs) of high-speed targets from incomplete wideband radar echoes is a critical component in space target recognition tasks (STRTs). However, state-of-the-art HRRP reconstruction algorithms based on sparse Bayesian learning (SBL) are computationally expensive and require the manual selection of prior scale parameters. To address these challenges, this paper proposes a model-driven deep network based on fast mean-field SBL (FMFSBL-Net) for the HRRP reconstruction of high-speed targets under missing data conditions. Specifically, we integrate a precise velocity compensation and HRRP reconstruction into the mean-field SBL framework, which introduces a unified SBL objective function and a mean-field variational family to avoid matrix inversion operations. To reduce the performance loss caused by mismatched prior scale parameters, we unfold the limited FMFSBL iterative process into a deep network, learning the optimal global prior scale parameters through training. Additionally, we introduce a sparsity-enhanced loss function to improve the quality and noise robustness of HRRPs. In addition, simulation and measurement experimental results show that the proposed FMFSBL-Net has a superior reconstruction performance and computational efficiency compared to FMFSBL and existing state-of-the-art SBL framework type algorithms.
1. Introduction
A high-resolution range profile (HRRP) is the projection of the target on the radial direction of the radar, which contains rich shape and structure information and is an important feature for target identification, as well as a necessary pre-processing step for ISAR and 3D imaging. Meanwhile, HRRP reconstruction does not rely on target motion and is a type of more robust target characterization, thus becoming a key technique for space high-speed target recognition [,,].
In general, HRRPs can be obtained using techniques such as matched filtering or dechirp processing []. However, space targets travel at extremely high speeds, often exceeding several Mach, which introduces the inevitable intrapulse Doppler effect (IPDE) []. This distorts the envelope of the HRRP and severely degrades the performance of target recognition. Additionally, due to environmental electromagnetic interference and the active transmission of synthetic wideband signals [], the received echoes often contain missing data. This leads to a decline in the performance of traditional HRRP reconstruction methods, and in some cases, complete failure. Thus, the efficient and accurate reconstruction of high-speed target HRRPs from missing-data radar echoes is an urgent research problem.
To compensate for the IPDE in wideband data, the simplest and most intuitive method is to measure the velocity of the target using narrowband data. However, due to limitations in response and radar system resources, the velocity measurements for high-speed targets are not entirely accurate. Therefore, a precise estimation of the target’s velocity is still required. This issue has been extensively studied over the past few decades, with research outcomes primarily categorized into two major approaches. Considering that the target velocity is related to the higher-order phase term of the radar echo, the first category of signal processing-based methods directly estimate the estimated higher-order phase parameter, inversely perform the true velocity value and finally compensate for the velocity term to focus the HRRP. Well-known methods include Maximum Likelihood Estimation (MLE) [] and Polynomial Phase Transform (PPT) []. Following this, fractional Fourier transform (FrFT) [] and its derivative methods [] have been employed for the HRRP reconstruction of high-speed targets. Additionally, time–frequency analysis-based methods [,,] for estimating higher-order phase terms are used to obtain accurate velocity values. These methods are susceptible to noise and require a high data length and integrity. The second category uses an image-focusing metric as the objective function to estimate the velocity parameters through optimization iterations. Common metrics include waveform entropy and contrast. These methods are widely used in ISAR motion compensation [,,]. However, when applied to STRT, these algorithms face significant issues, such as the high time and computational costs required for optimization iterations. Also, the performance loss from missing data cannot be ignored.
Compressed Sensing (CS) theory has received much attention for its potential ability to perfectly recover sparse signals from missing data. For space targets, exhibiting only a limited number of strong scattering points in the optical region, the distribution of HRRPs is sparse. Inspired by this, CS has been introduced for the HRRP reconstruction of stationary or slowly moving targets [,]. Recently, the literature [] combined Laplacian scale mixture prior sparse Bayesian learning (SBL) with minimum entropy optimization (ME-LSBL) to reconstruct the HRRP of high-speed targets from missing data. Unfortunately, the inevitable matrix inversion operations during the SBL iterations resulted in significant computational costs. Subsequently, the literature [] integrated the HRRP reconstruction and velocity compensation of high-speed targets into the SBL framework, leveraging the properties of the Hermitian–Toeplitz matrix for efficient SBL iterations. However, this algorithm relies on the completeness of the measurement data. Therefore, algorithms based on the existing sparse Bayesian framework still face issues of high computational cost and reduced HRRP reconstruction quality due to mismatched manually selected prior scale parameters. In recent years, model-driven deep unfolding networks have been extensively studied [,,,,]. This approach maps the multiple iterative processes of sparse reconstruction algorithms into a deep network, where manually selected hyperparameters become learnable parameters. Since the network is model-based, it requires only a small number of samples for training and possesses a strong generalization performance and interpretability.
Inspired by [,], this paper proposes a model-driven deep network based on fast mean-field sparse Bayesian learning (FMFSBL-Net) for the HRRP reconstruction of ultra-high-speed targets in scenarios with missing data. Specifically, we integrate a precise velocity compensation and HRRP reconstruction into the mean-field SBL framework. This framework introduces a unified SBL objective function and a mean-field variational family to avoid matrix inversion operations. The limited iterations of the FMFSBL process are then unfolded into a deep network, where training learns the optimal global prior hyperparameters to mitigate performance loss from manual selection. Additionally, a foreground-to-background energy ratio (FBER) loss function is developed to enhance the energy of the range cells where the targets are located and reduce the background energy. This loss function effectively improves the quality and prominence of the HRRP reconstructed by the proposed network in low SNR environments. In addition, simulation and measurement experimental results show that the proposed FMFSBL-Net has a superior reconstruction performance and computational efficiency compared to FMFSBL and ME-LSBL.
The structure of the remainder of this paper is as follows: Section 2 introduces the radar echo observation model with missing data for high-speed target HRRP reconstruction. Section 3 presents the HRRP reconstruction and precise velocity compensation based on the unified FMFSBL framework. Section 4 describes the architecture and implementation details of FMFSBL-Net. Section 5 provides experimental results using both simulated and real data, comparing them with existing algorithms. Finally, Section 6 concludes the paper.
2. Signal Model
Typically, the “stop-and-go” assumption is used to model moving targets, where the target is stationary within a pulse and moves between pulses. This assumption is reasonable for slow-moving targets. In STRT, the radar transmits a large time–width bandwidth product linear frequency modulation signal (LTBP-LFM) [], while the target has a high speed, therefore the motion within the pulse cannot be ignored. In this section, the high-speed target echo signal is modeled according to the literature [].
Assume that the radar transmits the LTBP-LFM waveform, which can be represented as
where indicates the amplitude of the transmitted signal. , and stands for fast time, working frequency and chirp rate, respectively.
Suppose the target contains strong scattering centers; the echo is represented as
where and represent the backscattering intensity and echo delay of the l-th scattering center, respectively. And represents speed of light. denotes the instantaneous radial distance. Within the millisecond pulse duration, the target can be approximated as moving at a constant velocity [,], i.e., , where represents the initial distance and represents the initial velocity of the target. Then, through DC processing, the observed signal is obtained, which can be expressed as
where the first term in the phase function is related to the envelope of the HRRP. The fourth and fifth terms are higher-order phase terms introduced by the target’s velocity, causing distortion in the HRRP envelope. Therefore, it is necessary to estimate the velocity to compensate for the higher-order phase terms. The second and third terms are linear phase terms, while the sixth and seventh terms are constant phase terms, which do not affect the HRRP envelope. Thus, the observed signal can be simplified as
If the target velocity is known, the higher-order phase of (4) is compensated for, and then the HRRP of the target can be obtained by applying the discrete Fourier transform (DFT) to . With additive noise considered, the above process is discretized as
The missing data observation model incorporating the unknown velocity compensation is then induced by the inverse problem of (5), with the detailed derivation in Appendix A. And reformulated as a matrix equation of the following form
where , , , , and denote the observation signal, higher-order phase matrix, under-sampled matrix, inverse Fourier matrix, HRRP and complex noise vector, respectively. And , , denote the sampling number of missing observation signals, the sampling number corresponding to complete observations and the total number of HRRP range cells, respectively. is diagonal, i.e., , where , . is a row selection matrix consisting of 0 and 1, where , i.e., only the observed data are retained, thus . . In general, . For the sake of simplicity of the symbolic representation, the measurement matrix is combined as .
3. HRRP Reconstruction Based on Fmfsbl
As shown in (6), our objective is to reconstruct , the target’s HRRP, from the missing-data observation with unknown velocity and noise . Within the CS framework, various algorithms have been proposed to address the reconstruction of in the absence of , such as the orthogonal matching pursuit (OMP) [] algorithm, the basis pursuit (BP) [] algorithm and convex optimization method []. In recent years, SBL has been extensively studied and demonstrated superior performance. However, the matrix inversion operations in its iterations incur significant computational costs, limiting its practical engineering applications.
Our developed deep network architecture is primarily inspired by the fast mean-field sparse Bayesian learning (FMFSBL) framework in []. This framework employs KL correction techniques to construct a unified SBL objective function, leading to the derivation of the Factorized Mean-Field Variational SBL algorithm. This algorithm requires only two matrix–vector multiplication operations per iteration, significantly enhancing the efficiency of the proposed network’s forward propagation and training. In this section, we first perform a Bayesian statistical modeling of (6), then review the variational Bayesian inference and finally conduct the inference within the FMFSBL framework to estimate and reconstruct .
3.1. Bayesian Statistical Modeling
Firstly, to facilitate the inference and obtain sparser solutions, a hierarchical statistical model is typically employed within the sparse Bayesian learning (SBL) framework. Specifically, in the first layer of the hierarchical model, the prior of is assumed to follow a multivariate complex Gaussian distribution with a mean of zero. The reciprocal of the variance of each element is denoted as , referred to as the precision. Thus, the prior distribution of is expressed as
where . And in the second layer, the elements of are independently and identically distributed (i.i.d.), following a Gamma prior distribution, as
where represents the Gamma function and and are the scale parameters. According to the conclusions in [], the hierarchical model promotes to peak at the target locations while other elements approach zero, thereby enhancing the sparsity of the solution.
Furthermore, assuming the noise follows a zero-mean complex Gaussian distribution and satisfies the i.i.d. condition, with the noise precision denoted as , the likelihood of the observed signal is expressed as
Similarly, to facilitate the learning of , it is assumed to follow a Gamma distribution as follows
where and are the scale parameters. In this paper, we collectively refer to , , and as prior hyperparameters. Typically, in the absence of prior knowledge about the observations, these hyperparameters are set to small positive values to induce the sparsest solution.
According to Bayesian theory, the posterior distribution of the unknown random variables , and with respect to the observation is
where stands for the complete data distribution,
For (11), the denominator is the prior distribution of , also known as the evidence, which can be obtained by marginalizing the complete data distribution with respect to , and .
3.2. The Variational Inference
This section reviews variational Bayesian inference. For simplicity, we temporarily assume that is known and incorporate it into the observation matrix, denoted as .
In the Bayesian inference framework, the inverse problem of observing model (6) is equivalent to finding the posterior distribution of the hidden variables given observation , i.e., (11). Unfortunately, typically lacks a closed-form analytical expression, making it impossible to compute (11) directly. To address these issues, the variational inference is applied. This approach approximates the true posterior distribution by constructing a simpler distribution, as
and achieves this by minimizing the Kullback–Leibler (KL) divergence between and :
Here, represents the expectation of the random variable with respect to the probability density function . According to [], the minimization problem is equivalent to maximizing the evidence lower bound (ELBO), that is,
Then, is used as the optimization objective function in the variational inference. By alternately optimizing each hidden variable, its optimal distribution is obtained, as
where is the normalization factor.
Specifically, the approximate posterior distribution follows a multivariate complex Gaussian distribution, where the mean and covariance matrix can be expressed as
where . Similarly, we can derive the updated expressions for and .
Obviously, the iterative process of variational Bayesian inference involves matrix inversion calculations. Assuming that the dimension of is , the computational complexity of variational SBL is . Therefore, SBL is difficult to generalize in large-scale problems or in scenarios with real-time constraints.
3.3. Inference Based on FMFSBL
This section first derives the Kullback–Leibler (KL) corrected evidence logarithm lower bound (cELBO). The cELBO, which is also the upper bound of the ELBO, serves as the objective function, helping to approach the maximum of the evidence logarithm and potentially accelerating convergence. Next, the approximate posterior distribution of is constrained to the mean-field family, implying that follows a fully factorized complex Gaussian distribution, where is the distribution parameter. This approach eliminates the need for matrix inversion calculations in the inference process.
According to (7)–(10), the conditional joint distribution of and with respect to , gives
The conditional distribution of given and can be obtained by marginalizing (19) with respect to . According to Jensen’s inequality, the lower bound on the logarithm of the conditional evidence can be expressed as
where the expressions for and , respectively, are
Note that means to find the expectation about , unless other distributions are specifically labeled.
Clearly, based on the monotonic property of the exponential function, taking the exponential on both sides of (20) does not change its sign. Then, taking the expectation with respect to and on both sides yields the evidence lower bound. Thus, the cELBO of the logarithm of the evidence is expressed as
where is a constant independent of . and are given as follows:
Assuming the current hyperparameters of and are known, substituting them into (23) and rearranging it, the expected operation is equivalent to the integral of the Gamma function. Therefore, can be further simplified to
Here, encompasses all quantities independent of , including , and . The forms of the other symbols are as follows:
Due to the marginalization of and , depends only on , which is an advantage with respect to . According to [], can be deduced from by Jason’s inequality, as
This implies that is an upper bound on , and they are equal when the updates , of , are obtained through the mean field. Consequently, the inference of and the estimation of can be accomplished by maximizing .
3.3.1. Inference of
In this section, assuming is fixed and belongs to the mean-field variational family, the distribution parameters are , where and represent the mean vector and variance vector, respectively. Therefore, the terms in related to them are rewritten as follows:
where .
Substituting (27) into and taking the partial derivative with respect to ,
Solve for by setting the partial derivative to zero. This leads to the following update:
And where
Apparently, the update of is simplified compared to (18). Note that the calculation of the norm in (27) couples with the observation matrix, making the update still complex. Here, Theorem 1 is introduced to obtain a loose lower bound of , thereby decoupling and .
Theorem 1.
For a continuously differentiable function
with an
-Lipschitz continuous gradient, there exists a quadratic upper bound.
Applying Theorem 1 to ,
Taking to (24) gives a loose lower bound for , i.e.,
The equality in the above equation holds when .
Similarly, the update of is obtained by taking the partial derivative with respect to for and setting it to zero, when
where denotes element-by-element multiplication.
3.3.2. Update of
In this section, assuming that is fixed, then degenerates to a function with respect to , i.e.,
where are terms independent of .
Taking the relevant terms in (27) and considering the monotonicity of the logarithmic function, the estimation of can be further reduced to the following optimization problem, as
where subscript denotes the k-th element of the vector and subscript denotes the k-th diagonal element of the matrix.
This optimization problem can be solved by the Newton method with the following iterative formulation:
where is the update step in the current iteration, which can be obtained by a one-dimensional search method []. Further, the specific forms of the remaining symbols in (38) are as follows:
In conclusion, the complete steps of the proposed FMFSBL-based HRRP reconstruction algorithm for high-speed targets are summarized in Algorithm 1. The advantages of this algorithm lie in unifying the velocity estimation and HRRP reconstruction within a Bayesian framework, facilitating more accurate results through iterative updates. Additionally, by using the corrected evidence lower bound as the objective function and constraining the variational posterior of to a mean-field family, the inference process eliminates matrix inversion operations and reduces the complexity of updating . Consequently, FMFSBL achieves higher computational efficiency compared to traditional SBL.
Algorithm 1 FMFSBL-based HRRP reconstruction of high-speed target |
Input: Observations with missing data , measurement matrix , initial velocity , and scale parameter |
Output: |
1: |
2: |
3: |
4: |
5: |
6: |
7: |
8: |
9: while ~ convergent do |
10: |
11: |
12: |
13: |
14: |
15: |
16: update by (38) |
17: end while |
18: return |
As described in Algorithm 1, FMFSBL requires the manual selection of the scale parameter at initialization. Typically, these parameters are set to values very close to zero to accommodate a broader sparse prior, which facilitates obtaining sparse solutions. However, in low SNR and missing data scenarios, the choice of scale parameters significantly impacts the reconstruction results. Additionally, as iterations proceed, the reconstructed signal changes, causing a mismatch between the global scale parameters and the current iteration, further affecting the final reconstruction outcome. Therefore, a FMFSBL algorithm with scale parameters matching the reconstruction task is needed.
4. FMFSBL-Net for HRRP Reconstruction
To address the above problems, inspired by the model-driven algorithm unfolding technique, this section maps multiple iterations of the FMFSBL algorithm into a deep network, where the scale parameters of each layer are learnable. It is trained to adapt to the observed data in different scenarios and achieve an improved reconstruction performance and computational efficiency.
4.1. FMFSBL-Net Architecture
The network architecture of FMFSBL-NET is shown in Figure 1. It consists of Q layers of FMFSBL iteration and an output layer. It should be noted that the iteration layer contains the complete three parts of the FMFSBL iterative process, as follows
where is the local trainable scale parameter of the iteration layer. The output layer contains only the first two parts of a single iteration, which receives the output of the previous layer of the network and then updates and , so that produces the final output. For each training sample, and are shared for all layers of the network. is the initial value of the velocity, which can be obtained from narrowband data or otherwise as a coarse value for velocity estimation. The initial values and for starting the first layer of the network are obtained through the initialization process of the FMFSBL algorithm.

Figure 1.
Structure of the proposed FMFSBL-Net.
4.2. Loss Function
Typically, the mean squared error (MSE) loss is used as the objective function to evaluate the difference between the network output and the label, defined as
where is the output of FMFSBL-Net, i.e., the reconstructed HRRP. is the corresponding label.
However, in scenarios with missing data and low SNR, the reconstructed HRRP by FMFSBL often contains numerous noise points and false target points, significantly reducing the prominence of the target true range profile. Therefore, in addition to considering the mean squared error (MSE) loss, we propose the FBER objective function to enhance the energy of the true target range profile while suppressing the background noise energy.
Given the training sample labels , we define the target range profile mask vector , where the indices of 1 correspond to the non-zero elements in , and all other elements are zero. The foreground and background mask vectors are defined as follows:
where is the vector with all elements 1.
Then, given the network output , FBER loss is defined as
To enhance the prominence of the target range profile, we aim to maximize , which is equivalent to minimizing . Therefore, the complete loss function is expressed as follows:
Here, is a hyperparameter used to balance the contributions of different loss functions. In this paper, is set to 0.1.
4.3. Complexity Analysis
The proposed FMFSBL-Net network consists of identical layers, each corresponding to one iteration of the FMFSBL algorithm. According to Algorithm 1, the computational complexity of each iteration is primarily influenced by matrix–vector multiplications. Specifically, the computational cost of line 10 comes mainly from two matrix–vector multiplication operations, two vector multiplication operations of length N and one vector multiplication operation of length K, resulting in an overall computational complexity of . The computational cost of lines 11–13 has to come from the element-by-element multiplication of vectors of length N, with an overall computational complexity of . The computational cost of line 14 comes from one matrix–vector multiplication operation, one vector multiplication operation of length N and two vector multiplication operations of length K, with an overall computational complexity of . The computational cost of line 16 comes mainly from four vector multiplications of length N, so the overall computational complexity is . In summary, the overall computational complexity of FMFSBL-Net is . Also, the proposed algorithm is compared with the FMFSBL and Bayesian HRRP reconstruction (ME-LSBL) []. The specific and approximate computational complexities of the above three HRRP reconstruction algorithms are summarized in Table 1, where and denote the number of iterations when the corresponding algorithms converge. It should be emphasized that Q is fixed and , and this conclusion is verified by the experiments in Section 5.1. Therefore, the proposed algorithm has the minimum computational complexity compared to the other two algorithms.

Table 1.
Comparison of computational complexity.
4.4. Dataset and Training
Given the difficulty in obtaining radar observation data for real space targets, we generated a simulated dataset using a mathematical model of high-speed target wideband radar echoes, established by (4), for training the proposed network. The radar system parameters related to generating simulated echo data are provided in Table 2.

Table 2.
The radar system parameters.
Specifically, in the simulation scenario, the length of the range cell is set to , and each sample contains a number of scattering points , which are uniformly and randomly selected within the range of . And scattering points are randomly located within range cells, with the corresponding amplitude uniformly sampled within the range of . The real speed of the sample is randomly selected in , the corresponding initial velocity is uniformly randomly generated in , and the data missing rate (DMR) is randomly selected in . To simulate the real echo, a random phase is added to each sample, and 0 dB of complex Gaussian white noise is added. Using the aforementioned settings, the generated dataset comprises a total of 1000 samples. These samples are randomly divided into 800 training samples and 200 test samples.
Our network consists of 11 layers, with the first 10 layers serving as complete algorithmic iteration layers. The final layer functions as the output layer, incorporating only part of the iteration process. The scale parameters of all layers are initialized to . The network is implemented using Python 3.9 and the PyTorch 2.3 framework, with the Adam optimizer employed to optimize the scale parameters, and the learning rate is set to . Thanks to automatic differentiation of PyTorch, the optimal scale parameters for each layer can be easily trained based on the proposed loss function. The network training is conducted on a platform configured with AMD Ryzen 7 4800H @ 2.9 GHz and 32Gb RAM, and all subsequent experiments are performed on this platform.
5. Simulated and Measured Experiments Results
In this section, we conduct experiments based on simulated data and microwave anechoic chamber measurement data to verify the effectiveness of the proposed algorithm. Additionally, the experimental results of the original FMFSBL, ME-LSBL [], IFSBL [], ESBL [] and QN-PCG-SBL [] are presented for algorithm performance comparison. It is important to note that QN-PCG-SBL cannot operate in scenarios with missing data, so only the results for the complete data scenario are given. It should be noted that these two methods do not consider speed compensation, and for fair comparison the speed compensation module described in (38) is integrated, and so they also do not participate in subsequent HRRP reconstruction and ISAR imaging experiments. The experiments in this section consist of three parts:
- Based on the results of the training and test sets, the generalization performance of the proposed algorithm and its convergence performance under different data missing rates are analyzed.
- Using simulated data based on the target scattering point model, we compare the performance of different methods in reconstructing HRRPs under various signal-to-noise ratios and data missing rates. For quantitative evaluation, in addition to computation time and FBER, we introduce the vector entropy (ENT), mean square error (MSE) and cross-correlation coefficient (CCC) as numerical performance metrics. The MSE quantifies the error between the reconstructed HRRP and the ideal HRRP. A smaller MSE indicates a more accurate reconstruction of the HRRP. The ENT serves as a global metric for assessing the quality of HRRP reconstruction and velocity compensation. A lower ENT signifies a more accurate velocity compensation and a more concentrated energy distribution in the reconstructed HRRP. The CCC measures the similarity between the envelope distribution of the reconstructed HRRP and the ideal HRRP. A CCC value closer to 1 indicates a higher similarity in envelope distribution. Their definitions can be expressed as follows:
- ISAR imaging experiments using simulated and measured data are conducted to validate the performance improvement of the proposed algorithm in ISAR imaging.
5.1. Generalization and Convergence Performance Analysis
In this experiment, the scale parameters of the comparison algorithms are all set to , the convergence threshold is set to , and the maximum number of iterations is set to 50.
5.1.1. Generalization Performance Analysis
The FMFSBL-Net proposed in this paper is trained on the training set described in Section 4.4. To prevent overfitting, the training loss and test loss are recorded simultaneously, and the result is shown in Figure 2. It can be observed that the training loss and test loss reached stability after a dozen epochs of training. Meanwhile, the difference between the training loss and test loss is small, which indicates that the proposed FMFSBL-Net has a strong generalization ability.

Figure 2.
The training and test loss of FMFSBL-Net.
5.1.2. Convergence Performance Analysis
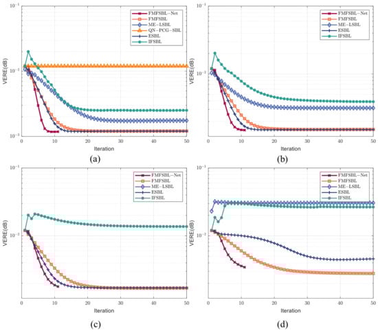
We randomly select samples with different missing rates from the test set to evaluate the convergence performance of FMFSBL-Net in HRRP reconstruction MSE and velocity estimation under various missing data scenarios. The performance of velocity estimation is quantified using the Velocity Estimation Relative Error (VERE), which is computed as . Each test sample undergoes 500 Monte Carlo experiments, and the average values of the numerical indicators are taken. The results are shown in Figure 3 and Figure 4. It can be observed that FMFSBL-Net quickly converges within a fixed number of network layers, and the final network output results in a lower MSE and VERE compared to the baseline algorithms. Unlike the original FMFSBL, which uses globally fixed manually selected scale parameters, training allows FMFSBL-Net to learn the optimal scale parameters for each network layer. Consequently, the MSE and VERE steadily decrease and quickly converge with the number of iterations. Additionally, the computational complexity of each network layer in FMFSBL-Net is equivalent to a single iteration of the original FMFSBL, resulting in lower computational costs for FMFSBL-Net.

Figure 3.
Curve of MSE with number of iterations. (a) Results of test samples with complete data. (b) Results of test samples with 25% data missing. (c) Results of test samples with 50% data missing. (d) Results of test samples with 75% data missing.

Figure 4.
Curve of VERE with number of iterations. (a) Results of test samples with complete data. (b) Results of test samples with 25% data missing. (c) Results of test samples with 50% data missing. (d) Results of test samples with 75% data missing.
5.2. Experimental Results of Simulation Data
In this section, we use a space target point-scattering model to generate simulated radar echo data to evaluate the performance of the proposed algorithm. Figure 5a illustrates the point-scattering model of the target, where the blue line indicates the ideal HRRP of the target and the height of the spikes indicates the backscattering intensity, which is uniformly distributed in . And the red dashed line indicates the projection direction of the scattering point. The projected velocity of the target on the radar line of sight (LOS) is set to 4350 m/s. The operating parameters of the radar system are consistent with Table 2. In Figure 5b, the HRRP of the target with velocity phase and the ideal HRRP with velocity compensated for are shown, and it can be seen that the high-speed motion makes the HRRP severely distorted.

Figure 5.
(a) Point-scattering model of the space target. (b) HRRP.
Note that a coarse estimate of the initial velocity of the target can be obtained by minimizing the entropy of the fast Fourier transform (FFT)-based reconstruction of the HRRP by searching in a given coarse velocity grid. This step is computationally efficient, but the velocity estimation error is large. Moreover, to ensure a fair comparison, the number of iterations of the comparison algorithms are uniformly limited to Q, and the scaling parameters are kept the same as the settings in Section 5.1. In subsequent experiments, the parameter settings of the comparison algorithms will not be changed unless otherwise specified.
The length of the complete simulated radar echo data is 512, and incomplete radar echo samples with DRMs of 55% and 75%, respectively, are constructed by randomly discarding the data. The experimental results of the proposed FMFSBL-Net, the original FMFSBL and the ME-LSBL in the three simulated scenarios are shown in Figure 6. However, the proposed method reconstructs the HRRP with less background noise, more significant foreground scattering points and amplitudes closer to the ideal HRRP. It is proved that the optimal scale parameters learned by the proposed method through the training match the experimental scenarios and thus have a superior HRRP reconstruction performance. Further, to quantitatively compare the performance of the algorithms, we fix the SNR of the simulated radar echoes unchanged, conduct 500 Monte Carlo experiments under different data missing rates, calculate the numerical metrics of each experiment and take the average value. We set the data missing rate range to , the corresponding available data rate range to , and the experimental results are given in Figure 7. It can be seen that the computational time costs of FMFSBL-Net and FMFSBL are the same and much smaller than ME-LSBL. In addition, the numerical metrics of FMFSBL-Net outperform the comparison algorithms for different data missing rates, which further validates the advantages and generalization ability of model-driven deep unfolding-based networks.

Figure 6.
Results of different algorithms for reconstructing HRRP at different data missing rates with SNR = 0 dB.

Figure 7.
Results of different algorithms for reconstructing HRRP at different rates of data availability. (a) Time cost. (b) VERE. (c) MSE. (d) ENT. (e) FBET. (f) CCC.
Then, to validate the noise resistance and robustness of the proposed algorithms, we compare the performance of the three algorithms for reconstructing the HRRP with different SNRs. Initially, we generate radar echoes with SNRs of 5 dB and 10 dB, respectively, and then construct the corresponding incomplete radar echoes with a data missing rate of 75%. The reconstruction results of the three algorithms are shown in Figure 8. It can be seen that all three algorithms obtain well-focused HRRPs. Specifically, the comparison algorithms have more sidelobes and background noise due to the effects of noise and missing data at 5 dB and 10 dB, while the proposed algorithms give more accurate results with cleaner background noise. Similarly, for quantitative comparison, we fix the data missing rate unchanged and perform Monte Carlo experiments at different SNRs, where the range of SNRs is set to . The results of the experiments are shown in Figure 9, and it can be seen that the HRRP reconstructed by the proposed method has a better performance at low SNRs.

Figure 8.
Results of different algorithms for reconstructing HRRP at different SNRs with DMR = 75%.

Figure 9.
Results of different algorithms for reconstructing HRRP at different SNRs with DMR = 75%. (a) Time cost. (b) VERE. (c) MSE. (d) ENT. (e) FBET. (f) CCC.
5.3. Application Experiment of FMFSBL-Net
HRRP reconstruction is an essential pre-processing step in high-dimensional imaging. In this experiment, we integrate three algorithms into ISAR imaging applications. We compare the results of different algorithms to validate the improvements in ISAR imaging quality achieved by the proposed algorithm.
The first experiment is also based on simulated radar echo data from a target point-scattering model, assuming the velocity of the target relative to the LOS is 3750 m/s. In the azimuthal dimension, the radar collects pulses with a fixed SNR of 0 dB. Based on these complete pulse sequences, echo sequences are constructed with DMRs of and , respectively. Then, the proposed algorithm and the other two comparison algorithms are applied to reconstruct the HRRP sequences from the missing data scenarios. It should be noted that there is no missing data in the azimuthal dimension in this experiment, so the conventional ISAR self-focusing algorithm is applied to the reconstructed HRRP sequences to obtain the final ISAR image. Figure 10 and Figure 11 show the reconstruction results of different algorithms for the HRRP sequences and ISAR images for the two missing data scenarios, respectively. It can be seen that due to the missing data and uncompensated velocity, the HRRP sequence and ISAR image based on the Range Doppler (RD) algorithm in the first column are unfocused, with more background noise, which increases with an increase in the data missing rate. The HRRP sequence reconstructed by applying ME-LSBL is improved, but still cannot avoid the effects of a low SNR and missing data, so the reconstructed HRRP sequence has a larger error. Satisfactory results are obtained with FMFSBL-Net and FMFSBL. It can be further seen that the trained FMFSBL-Net has the optimal scaling parameters, and therefore its reconstructed HRRP sequences and ISAR images have the best focusing performance and cleaner backgrounds. In addition, for quantitative comparison, the numerical results of the performance evaluation are given in Table 3. It can be seen that FMFSBL-Net performs optimally in both data missing scenarios.

Figure 10.
Based on the simulation data, different algorithms reconstruct the HRRP sequence and ISAR results when the data missing rate is 55% and SNR is 0 dB.

Figure 11.
Based on the simulation data, different algorithms reconstruct the HRRP sequence and ISAR results when the data missing rate is 75% and SNR is 0 dB.

Table 3.
Numerical results based on simulation data.
Next, we utilize the microwave anechoic chamber setup shown in Figure 12 to obtain real radar echo sequences.

Figure 12.
Space target modeling and measurement scenario.
Three algorithms are applied to reconstruct and compare the quality of HRRP sequences and ISAR images, further validating the conclusions derived from the simulation data. The target is a smooth metallic cone with a height of 0.85 m and a base radius of 0.225 m, featuring symmetrically distributed metallic hemispheres on its surface to simulate tail fins. The radar measurement system transmits an LFM signal with a carrier frequency of 15 GHz, pulse width of 2 ms, bandwidth of 2 GHz and pulse repetition frequency of 200 Hz. Measurements are taken from different azimuth angles, and dynamic real echo data are obtained through interpolation and the addition of the velocity phase, with the target speed set to 6000 m/s. The sampling numbers for the azimuth and range dimensions are 32 and 512, respectively, with SNR = 0 dB. Radar echoes with 55% and 75% missing data are constructed.
Subsequently, the proposed algorithm and two other comparative algorithms are used to reconstruct the HRRP sequences and the final ISAR images, as shown in Figure 13 and Figure 14. It can be observed that in both data missing scenarios, the proposed algorithm produces HRRP sequences and ISAR images with the cleanest background noise and a better focus quality. Additionally, Table 4 provides numerical indicators for performance evaluation, facilitating a quantitative comparison. It is evident that in the given missing data scenarios, the proposed algorithm consistently outperforms the others, further demonstrating its superiority and efficiency in reconstructing high-speed target HRRPs under missing data and low SNR conditions.

Figure 13.
Based on the measurement data, different algorithms reconstruct the HRRP sequence and ISAR results when the data missing rate is 55% and SNR is 0 dB.

Figure 14.
Based on the measurement data, different algorithms reconstruct the HRRP sequence and ISAR results when the data missing rate is 75% and SNR is 0 dB.

Table 4.
Numerical results based on measurement data.
6. Conclusions
In this paper, we investigate the efficient reconstruction of high-speed target HRRPs in scenarios with missing data. First, we integrate a precise velocity compensation and HRRP reconstruction into a mean-field SBL framework, which introduces a new Bayesian inference objective function and a mean-field variational family, thereby avoiding matrix inversion operations. Then, we unfold the finite iterations of the FMFSBL process into a deep network to learn optimal scale parameters, minimizing performance loss due to manual selection. Additionally, we develop a foreground/background energy ratio (FBER) loss function to enhance the energy of the target range cells and reduce the background energy, thereby improving the quality and prominence of HRRP reconstruction in low SNR environments. We conduct experiments and analyses based on simulation data and microwave anechoic chamber measurements, comparing our method with the latest approaches. The experimental results show that the proposed FMFSBL-Net achieves a more accurate HRRP reconstruction, better focusing performance and lower computational cost in scenarios with missing data and a low SNR. Therefore, the proposed algorithm is effective and has a high engineering application value. In future work, we will continue to explore the direct application of the proposed FMFSBL-Net method in high-dimensional imaging.
Author Contributions
Conceptualization, H.D. and F.D.; methodology, F.D.; software, H.D.; validation, H.D.; formal analysis, J.Z.; writing—original draft preparation, H.D.; writing—review and editing, F.D. and J.Z.; funding acquisition, F.D. All authors have read and agreed to the published version of the manuscript.
Funding
This paper was funded by the National Natural Science Foundation of China under Grant No. 62471358 and 62271363.
Data Availability Statement
No new data were created or analyzed in this study.
Conflicts of Interest
The authors declare no conflict of interest.
Appendix A
In this appendix, we give the derivation of Equations (5) and (6) to prove their correctness.
Assuming that the target velocity is known, the higher-order velocity phase in (4) can be compensated for, and the compensated echo signal can be written as
Then, the HRRP of the target can be obtained by applying the discrete Fourier transform (DFT) to . With additive noise considered, the above process is discretized as
where is the m-th HRRP after high-speed motion compensation and . Clearly, can be obtained by the inverse Fourier transform of (A2). Therefore, the observation model with velocity phases and missing data can be reduced to the following matrix form:
where , , . is a row selection matrix consisting of 0 and 1, where , i.e., only the observed data are retained, thus . In general, .
References
- Zhou, Q.; Wang, Y.; Zhang, X.; Zhang, L.; Long, T. Domain-Adaptive HRRP Generation Using Two-Stage Denoising Diffusion Probability Model. IEEE Geosci. Remote Sens. Lett. 2024, 21, 3504305. [Google Scholar] [CrossRef]
- Tian, B.; Lu, Z.; Liu, Y.; Li, X. Review on Interferometric ISAR 3D Imaging: Concept, Technology and Experiment. Signal Process. 2018, 153, 164–187. [Google Scholar] [CrossRef]
- Huang, Y.; Wen, Y.; Shi, L.; Ding, X. Recognition-Aware HRRP Generation With Generative Adversarial Network. IEEE Geosci. Remote Sens. Lett. 2022, 19, 3503705. [Google Scholar] [CrossRef]
- Wen, H.; Shiyi, M. Chip and Dechirp Technique in Spotlight Mode SAR Imaging. In Proceedings of the Third International Conference on Signal Processing (ICSP’96), Beijing, China, 18 October 1996; IEEE: Piscataway, NJ, USA, 1996; Volume 1, pp. 420–423. [Google Scholar]
- Lu, Y.; Xu, S.; Zhang, Y.; Wu, Q.; Chen, Z. Improved Intra-Pulse Modulation Phase Calibration Algorithm With Accelerated Entropy Minimization Optimization. IEEE Access 2019, 7, 164623–164640. [Google Scholar] [CrossRef]
- Fan, H.; Yan, J.; Li, W.; Ren, L.; Mao, E.; Liu, Q. A Synthetic Ultra-Wideband Range Profiling Method for High-Speed Targets Based on Phase-Derived Velocity Measurement. IEEE Trans. Geosci. Remote Sens. 2024, 62, 2002117. [Google Scholar] [CrossRef]
- Abatzoglou, T.J.; Gheen, G.O. Range, Radial Velocity, and Acceleration MLE Using Radar LFM Pulse Train. IEEE Trans. Aerosp. Electron. Syst. 1998, 34, 1070–1083. [Google Scholar] [CrossRef]
- Pang, C.; Liu, S.; Han, Y. Coherent Detection Algorithm for Radar Maneuvering Targets Based on Discrete Polynomial-Phase Transform. IEEE J. Sel. Top. Appl. Earth Obs. Remote Sens. 2019, 12, 3412–3422. [Google Scholar] [CrossRef]
- Cao, M.; Fu, Y.; Jiang, W.; Li, X.; Zhuang, Z. High Resolution Range Profile Imaging of High Speed Moving Targets Based on Fractional Fourier Transform. In Proceedings of the Automatic Target Recognition and Image Analysis, and Multispectral Image Acquisition (MIPPR 2007), Wuhan, China, 15–17 November 2007; The International Society for Optical Engineering (SPIE): Bellingham, WA, USA, 2007; Volume 6786, pp. 1340–1348. [Google Scholar]
- Wang, F.; Jiang, D.; Chen, H. High Range Resolution Profile Construction Exploiting Modified Fractional Fourier Transformation. Math. Probl. Eng. 2015, 2015, 321878. [Google Scholar] [CrossRef]
- Li, Z.; Zhang, X.; Yang, Q.; Xiao, Y.; An, H.; Yang, H.; Wu, J.; Yang, J. Hybrid SAR-ISAR Image Formation via Joint FrFT-WVD Processing for BFSAR Ship Target High-Resolution Imaging. IEEE Trans. Geosci. Remote Sens. 2022, 60, 5215713. [Google Scholar] [CrossRef]
- Li, Y.; Su, T.; Zheng, J.; He, X. ISAR Imaging of Targets with Complex Motions Based on Modified Lv’s Distribution for Cubic Phase Signal. IEEE J. Sel. Top. Appl. Earth Obs. Remote Sens. 2015, 8, 4775–4784. [Google Scholar] [CrossRef]
- Liu, Y.; Zhang, S.; Zhu, D.; Li, X. A Novel Speed Compensation Method for ISAR Imaging with Low SNR. Sensors 2015, 15, 18402–18415. [Google Scholar] [CrossRef] [PubMed]
- Wang, J.; Zhang, L.; Du, L.; Yang, D.; Chen, B. Noise-Robust Motion Compensation for Aerial Maneuvering Target ISAR Imaging by Parametric Minimum Entropy Optimization. IEEE Trans. Geosci. Remote Sens. 2019, 57, 4202–4217. [Google Scholar] [CrossRef]
- Tian, B.; Lu, Z.; Liu, Y.; Li, X. High Velocity Motion Compensation of IFDS Data in ISAR Imaging Based on Adaptive Parameter Adjustment of Matched Filter and Entropy Minimization. IEEE Access 2018, 6, 34272–34278. [Google Scholar] [CrossRef]
- Liu, M.; Chen, J. Minimum Entropy Based Velocity Compensation Algorithm for Stretched Chirp-Step Waveforms. In Proceedings of the 2019 IEEE International Conference on Signal, Information and Data Processing (ICSIDP), Chongqing, China, 11–13 December 2019; IEEE: Piscataway, NJ, USA, 2019. [Google Scholar]
- Aubry, A.; Carotenuto, V.; De Maio, A.; Pallotta, L. High Range Resolution Profile Estimation via a Cognitive Stepped Frequency Technique. IEEE Trans. Aerosp. Electron. Syst. 2019, 55, 444–458. [Google Scholar] [CrossRef]
- Bai, X.; Zhou, F.; Bao, Z. High-Resolution Radar Imaging of Space Targets Based on HRRP Series. IEEE Trans. Geosci. Remote Sens. 2014, 52, 2369–2381. [Google Scholar] [CrossRef]
- Zhang, S.; Liu, Y.; Li, X.; Bi, G. Bayesian High Resolution Range Profile Reconstruction of High-Speed Moving Target From Under-Sampled Data. IEEE Trans. Image Process. 2020, 29, 5110–5120. [Google Scholar] [CrossRef]
- Dong, H.; Dai, F.; Zhang, J.; Lu, X. HRRPs Reconstruction of Multiple High-Speed Targets With Large Time-Bandwidth Product LFM Waveform Based on Efficient SBL. IEEE Trans. Aerosp. Electron. Syst. 2024, 60, 5322–5339. [Google Scholar] [CrossRef]
- Yuan, Y.; Luo, Y.; Kang, L.; Ni, J.; Zhang, Q. Range Alignment in ISAR Imaging Based on Deep Recurrent Neural Network. IEEE Geosci. Remote Sens. Lett. 2022, 19, 4022405. [Google Scholar] [CrossRef]
- Mai, Y.; Zhang, S.; Jiang, W.; Zhang, C.; Liu, Y.; Li, X. ISAR Imaging of Target Exhibiting Micro-Motion With Sparse Aperture via Model-Driven Deep Network. IEEE Trans. Geosci. Remote Sens. 2022, 60, 5110212. [Google Scholar] [CrossRef]
- Li, X.; Bai, X.; Zhou, F. High-Resolution ISAR Imaging and Autofocusing via 2D-ADMM-Net. Remote Sens. 2021, 13, 2326. [Google Scholar] [CrossRef]
- Wei, S.; Liang, J.; Wang, M.; Shi, J.; Zhang, X.; Ran, J. AF-AMPNet: A Deep Learning Approach for Sparse Aperture ISAR Imaging and Autofocusing. IEEE Trans. Geosci. Remote Sens. 2022, 60, 5206514. [Google Scholar] [CrossRef]
- Wan, Q.; Fang, J.; Huang, Y.; Duan, H.; Li, H. A Variational Bayesian Inference-Inspired Unrolled Deep Network for MIMO Detection. IEEE Trans. Signal Process. 2022, 70, 423–437. [Google Scholar] [CrossRef]
- Worley, B. Scalable Mean-Field Sparse Bayesian Learning. IEEE Trans. Signal Process. 2019, 67, 6314–6326. [Google Scholar] [CrossRef]
- Candes, E.J.; Tao, T. Decoding by Linear Programming. IEEE Trans. Inform. Theory 2005, 51, 4203–4215. [Google Scholar] [CrossRef]
- Wen, F.; Liu, P.; Liu, Y.; Qiu, R.C.; Yu, W. Robust Sparse Recovery in Impulsive Noise via ℓp − ℓ1 Optimization. IEEE Trans. Signal Process. 2017, 65, 105–118. [Google Scholar] [CrossRef]
- Tzikas, D.G.; Likas, A.C.; Galatsanos, N.P. The Variational Approximation for Bayesian Inference. IEEE Signal Process. Mag. 2008, 25, 131–146. [Google Scholar] [CrossRef]
- Hensman, J.; Rattray, M.; Lawrence, N.D. Fast Variational Inference in the Conjugate Exponential Family. In Proceedings of the 25th International Conference on Neural Information Processing Systems, Lake Tahoe, NV, USA, 3–6 December 2012; MIT Press: Cambridge, MA, USA, 2012; pp. 2888–2896. [Google Scholar]
- Borsdorf, R.; Higham, N.J. A Preconditioned Newton Algorithm for the Nearest Correlation Matrix. IMA J. Numer. Anal. 2009, 30, 94–107. [Google Scholar] [CrossRef]
- Duan, H.; Yang, L.; Fang, J.; Li, H. Fast Inverse-Free Sparse Bayesian Learning via Relaxed Evidence Lower Bound Maximization. IEEE Signal Process. Lett. 2017, 24, 774–778. [Google Scholar] [CrossRef]
- Zhou, W.; Zhang, H.-T.; Wang, J. An Efficient Sparse Bayesian Learning Algorithm Based on Gaussian-Scale Mixtures. IEEE Trans. Neural Netw. Learn. Syst. 2022, 33, 3065–3078. [Google Scholar] [CrossRef] [PubMed]
Disclaimer/Publisher’s Note: The statements, opinions and data contained in all publications are solely those of the individual author(s) and contributor(s) and not of MDPI and/or the editor(s). MDPI and/or the editor(s) disclaim responsibility for any injury to people or property resulting from any ideas, methods, instructions or products referred to in the content. |
© 2024 by the authors. Licensee MDPI, Basel, Switzerland. This article is an open access article distributed under the terms and conditions of the Creative Commons Attribution (CC BY) license (https://creativecommons.org/licenses/by/4.0/).