Abstract
Agricultural intensification through simplification and specialization has homogenized diverse landscapes, reducing their heterogeneity and complexity. While the negative impact of large, simplified fields on biodiversity has been well-documented, the role of landscape structure in mitigating climatic extremes and stabilizing climate is becoming increasingly important. Despite considerable knowledge of landscape cover types, understanding of how landscape structure influences climatic characteristics remains limited. To explore this further, we studied an area along the Czech–Austrian border, where socio-political factors have created stark contrasts in landscape structure, despite a similar topography. Using Land Parcel Information System (LPIS) data, we analyzed the landscape structure on both sides and processed eight Landsat 8 and 9 OLI/TIRS scenes from the 2022 vegetation season to calculate spectral indices (NDVI, NDMI) and microclimatic features (surface temperature, albedo, and energy fluxes). Our findings revealed significant differences between the two regions. Czech fields, with their larger, simpler structure and lower edge density, can amplify local climatic extremes. In contrast, the distribution of values on the Austrian side was more even, likely due to the greater diversity of cultivated crops, a more spatially diverse landscape, and a balanced spread of agricultural activities over time. In light of climate change and biodiversity conservation, these results emphasize the need to protect and restore landscape complexity to enhance resilience and environmental stability.
1. Introduction
The structure of a landscape, particularly farmland, has a significant impact on its environment. Since the 1950s, the European landscape has undergone substantial changes due to the intensification of agriculture. The industrial approach to farming often neglects natural factors, creating an environment that is more prone to degradation, dependent, and fragile. In many ways, due to the suppression of autoregulatory ecosystem services, agroecosystems are more dependent on the human input of pesticides, fertilizers, tillage, etc. [1]. The increasing size of monoculture fields has led to the elimination of valuable field edges, which naturally provide shelter for wild organisms and habitats for semi-natural plants. Extensive monoculture fields have replaced the diverse mosaic of land covers with large, homogenized areas growing crops such as wheat, corn, or oilseed rape, which unfortunately often become almost the only crops rotated in the Czech Republic. This simplification of the landscape not only boosts production but also exacerbates the associated problems [2,3].
Large monoculture fields are more vulnerable to pests due to a lack of biodiversity and, consequently, a lack of natural predators [4,5]. This issue leads to the increased use of pesticides and insecticides, further reducing biodiversity and trapping farmers in a vicious cycle. During periods when fields are bare, the soil’s ability to retain and absorb surface water is diminished, disrupting the hydrological cycle [6]. Additionally, the fields are naturally susceptible to erosion due to surface runoff and unrestricted wind flow, which annually removes large portions of fertile topsoil (fine particles), along with its natural fertility [7,8]. An important factor in this context, particularly for the landscape’s hydrological regime, is the widespread installation of field drainage systems [9].
The impact of landscape changes on biodiversity, water runoff, and soil erosion is only one part of the problem. These changes have been relatively well-documented. An equally important but often overlooked aspect is the impact of landscape structure changes on the biophysical properties of the surface, which are directly or indirectly related to climate processes. The relationship between landscape structure and surface biophysical properties has been studied from various perspectives. For instance, the “Daisyworld” model by Watson and Lovelock [10] demonstrated the interconnectedness of “Life” and the “Environment”. The authors stated that, “Regardless of the details of the interaction, the effect of the daisies is to stabilise temperature”. Shukla and Mintz [11] described changes in precipitation patterns, surface temperature, and surface pressure in their simulation, comparing earth with 100% potential evapotranspiration to earth with no evapotranspiration. Other studies have focused on the impact of vegetation cover on atmospheric circulation (see, e.g., [12,13,14,15,16]).
A significant portion of the research in this field has focused on urban areas, where growing populations and urban sprawl intensify the effects of the “urban heat island” (UHI) phenomenon [17,18,19,20]. This poses not only an ecological challenge but also a public health concern, as Central Europe, among other regions, experienced yet another summer of heatwaves [21]. The composition and configuration of urban environments, including green spaces, play a crucial role in cooling cities [22,23]. This phenomenon can also raise questions of environmental justice, as lower-income urban residents are at greater risk of heat stress [24].
Although considerable attention has been given to UHI issues and the bioclimatic functions of various landscape covers, the importance of changes in landscape structure in shaping climatic characteristics still needs to be explored.
The border areas between the Czech Republic and Austria offer a fascinating example of vastly different landscape structures in close proximity. These differences are a function of agricultural policy and landscape management (see, e.g., [25,26,27,28,29]). Kupková et al. [30] compared land cover changes along the entire Iron Curtain between 1990 and 2006, observing an increase in heterogeneous agricultural areas on the Czech side due to more complex cultivation patterns, while changes on the Austrian side were minimal. The development of landscape structure between 1952 and 2009 was studied by Sklenička et al. [27], who found that the Czech landscape was more homogeneous compared to the Austrian side, where heterogeneity increased, while it slightly decreased in the Czech Republic over the study period.
Although the impact of landscape structure on the biodiversity, soil erosion, and hydrological (precipitation-runoff) properties of the landscape has been examined, knowledge about the significance of landscape structure and management practices on local climate remains very limited. Agricultural landscapes represent a dominant area that is crucial for the conversion of solar energy, shaping the local climate and the water cycle (see, e.g., [31,32,33]), and thus playing a key role in stabilizing climate characteristics. This is particularly vital given the prevalence of extreme weather events associated with climate change.
The cross-border region between the Czech Republic and Austria presents a unique contrast of two landscapes with different structures but similar management practices. Although numerous studies have addressed the structure of the agricultural landscape and its temporal changes, the significance of landscape structure for shaping the local climate has not yet been studied. The aim of this work was to assess the importance of landscape structure and management in the Czech-Austrian border region for shaping the local climate, with a particular focus on the temperature–humidity regime and the transformation of solar energy within the landscape.
2. Materials and Methods
2.1. Area of Interest Description
The aim of selecting the area of interest was to select areas that differ in structure, while the topographic and climatic characteristics are the same or very similar, and are large enough for the analysis. The Czech–Austrian border area fulfills this assumption, where the landscape has evolved differently in the two countries during the 20th century. This area uniquely contrasts landscape structures, despite the physical proximity and climatic similarities. It is, thus, an interesting example of how different management practices can change landscape characteristics.
The area of interest (AOI) was selected as a 20 km buffer on each side of the border between the Czech Republic and Austria, stretching approximately between 49.17°N, 15.25°E and 48.54°N, 16.66°E (Figure 1). An inner buffer of 100 m in touch with the border was excluded from the dataset, to prevent inaccuracies. Based on the irregular border shape, the resulting area of the Czech part of the AOI was smaller, with 144,579 ha, compared to the Austrian area with 155,922 ha.
Figure 1.
Overview map of the area of interest (AOI). The detail shows the landscape structure on both the Czech and Austrian sides of the AOI.
The area is moderately hilly in the western part and flat in the eastern part. The mean elevation of the Czech AOI is 353 m, spanning from 160 m to 770 m with an average slope of 3.77° and a mean aspect of 140.8°. The Austrian AOI has a similar average elevation of 354 m, ranging between 170 m and 731 m, with a mean slope value of 4.18° and mean aspect of 149.28°. The Czech side of the AOI lies over three regions: the South Bohemian Region, Vysočina, and South Moravian Region, and Lower Austria on the Austrian side.
The AOI belongs to the temperate zone, humid continental climate region, subtype Dfb (warm summer subtype) according to the Köppen classification [34]. The long-term average yearly temperature and precipitation (1991–2020) are 7.9 °C and 677 mm for the western part and 9.4 °C and 561 mm for the eastern part of the AOI, respectively [35].
The vegetation cover consists mainly of agricultural non-forested areas. On the Czech side of the AOI, the proportion of forest is 11.3% of the area, and on the Austrian side 10.7%. Built-up areas are a minority on both sides of the AOI. Arable land represents approximately 89% of the agricultural area on the Czech side of the AOI and 81% on the Austrian side. The remainder consists of vineyards, permanent grassland, fallow land, and arable grassland. Details are given in Table 1. The main crops are winter wheat, winter and spring barley, corn, and oilseed rape. Only agricultural non-forest fields were selected for the analysis.
2.2. Data Analysis
The analysis of the areas of interest combined a structural analysis of the cross-border area between Austria and the Czech Republic, based on GIS data from a Land Parcel Information System (LPIS), with the calculation of functional landscape cover characteristics derived from satellite data. Figure 2 provides an overview of the data preparation and processing steps, as well as the relationships between the methodological approaches. Details of each procedure used are provided in the following text.
Figure 2.
Flowchart diagram of the methods used for data analysis and their relationship. Details of each method are given in the text.
2.2.1. Landscape Structure Analysis
The data for the structural analysis were obtained from the Land Parcel Identification System (LPIS)—for Austria, a version last updated on 30 June 2022 [36] and for the Czech Republic version published 31 December 2021 [37]. The data are provided as vector layers, thus, we rasterized them, since the raster format is used as input for the landscape structure analysis software. Rasterization was performed in QGIS 3.26 at 2 m resolution, which was an intersection of preserving enough detail with reasonable data size. These layers contained solely farmland areas, leaving out all settlements, forests, and infrastructure. The data on the Austrian side had crop information for each plot, but the Czech data had broader classes. Therefore, we had to reclassify the Austrian data to unify the classes. We selected the most abundant ones (arable land, vineyards, permanent grassland, fallow land, and grass cultures on arable land—grass on field). The farmland as a whole (category farmland) was also characterized (see Table 1). These data were then processed in the Python library PyLandStats 3.0.3 [38], as the successor to the program for “Spatial Pattern Analysis for Categorical Maps”—FRAGSTATS [39], because it is superior in handling our size of data. According to the program documentation, we ran the landscape-level analysis for the entire farmland and a class-level analysis for the individual land cover classes.
Table 1.
Summary of the landscape structural characteristics for the Czech (CZ) and Austrian (AT) area calculated using PyLandStats 3.0.3 [38].
Table 1.
Summary of the landscape structural characteristics for the Czech (CZ) and Austrian (AT) area calculated using PyLandStats 3.0.3 [38].
| Country | Farmland | Arable Land | Vineyards | Permanent Grassland | Fallow Land | Grass on Field | |
|---|---|---|---|---|---|---|---|
| Total area (ha) | CZ | 144,579.1 | 129,187.5 | 5132.3 | 7981.0 | 682.4 | 703.8 |
| AT | 155,922.7 | 126,257.7 | 8145.2 | 4245.6 | 7139.8 | 8890.6 | |
| Proportion of landscape (%) | CZ | 100.0 | 89.4 | 3.6 | 5.5 | 0.5 | 0.5 |
| AT | 100.0 | 81.0 | 5.2 | 2.7 | 4.6 | 5.7 | |
| Number of patches | CZ | 13,172.0 | 7036.0 | 1478.0 | 3086.0 | 601.0 | 447.0 |
| AT | 66,788.0 | 18,998.0 | 4835.0 | 5027.0 | 13,593.0 | 6465.0 | |
| Patch density | CZ | 9.1 | 4.9 | 1.0 | 2.1 | 0.4 | 0.3 |
| AT | 42.8 | 12.2 | 3.1 | 3.2 | 8.7 | 4.1 | |
| Largest patch index | CZ | 0.37 | 0.37 | 0.04 | 0.06 | 0.02 | 0.02 |
| AT | 0.11 | 0.11 | 0.03 | 0.03 | 0.02 | 0.02 | |
| Total edge (m) | CZ | 1,551,290.0 | 1,480,348.0 | 196,248.0 | 463,950.0 | 698,246.0 | 153,428.0 |
| AT | 9,175,832.0 | 7,109,228.0 | 1,712,832.0 | 947,618.0 | 3,976,782.0 | 2,732,080.0 | |
| Edge density | CZ | 10.7 | 10.2 | 1.4 | 3.2 | 4.8 | 1.1 |
| AT | 58.8 | 45.6 | 11.0 | 6.1 | 25.5 | 17.5 | |
| Area mean (ha) | CZ | 11.0 | 18.4 | 3.5 | 2.6 | 1.1 | 1.6 |
| AT | 2.3 | 6.6 | 1.7 | 0.8 | 0.5 | 1.4 | |
| Area weighted mean (ha) | CZ | 57.3 | 62.7 | 13.8 | 11.1 | 8.6 | 9.4 |
| AT | 17.5 | 20.6 | 7.0 | 3.9 | 1.5 | 4.2 | |
| Area median (ha) | CZ | 2.26 | 7.43 | 1.16 | 1.12 | 0.36 | 0.41 |
| AT | 0.38 | 2.97 | 0.67 | 0.38 | 0.32 | 0.69 | |
| Area range (ha) | CZ | 531.7 | 531.7 | 52.2 | 92.0 | 27.5 | 35.0 |
| AT | 164.3 | 164.3 | 46.8 | 40.5 | 23.9 | 27.2 | |
| Area std. deviation (ha) | CZ | 22.6 | 28.5 | 6.0 | 4.7 | 2.9 | 3.5 |
| AT | 5.9 | 9.6 | 3.0 | 1.6 | 0.7 | 2.0 | |
| Area coef. of variation (ha) | CZ | 205.5 | 155.5 | 172.3 | 181.1 | 256.9 | 222.4 |
| AT | 254.8 | 144.9 | 177.0 | 188.8 | 139.1 | 143.4 |
2.2.2. Weather Data
The meteorological data were used to assume the microclimatic conditions of the AOI and calculate the energy fluxes from the Landsat satellite data (see below). The hourly weather data were obtained from the Meteostat database through RapidAPI portal [40] for the weather station in Tulln am der Donau, Austria (48°19′0.12″N 16°7′0.12″E), for the dates corresponding with the satellite data acquisition schedule. The station is located approximately 50 km south of the center of the area of interest. The meteorological station was chosen for its archive containing the historical records necessary for the climatic (biophysical) parameter calculation. We collected data concerning relative humidity and air temperature from this meteorological station. The global radiation values were calculated using GRASS GIS 8.4.0 and its function r.sun.incidout in QGIS [41,42].
2.2.3. Satellite Data Processing
Landsat 8 OLI/TIRS data were used to analyze changes in vegetation cover characteristics, surface temperature, and energy balance indices, i.e., evaporative latent heat flux, sensible heat flux, soil heat flux, albedo, and evaporative fraction. Satellite data were obtained from the EarthExplorer (USGS), Collection 2 Level 2 product repository for cloud-free or negligible cloud cover days over the area of interest for the 2022 growing season. Images were acquired for 18 May, 3 June, 19 June, 21 July, 30 August, 7 September, 23 September, and 25 October.
The spectral reflectance and surface temperature bands were used for further analysis. Detailed information on the characteristics of the data is summarized on the USGS website [43]. SRTM digital terrain model (DTM) data with a spatial resolution of 30 m were used as supplemental data [44]. Any cloud cover was removed from the image using the FMask method [45,46].
Vegetation cover characteristics were assessed through spectral indices. Changes in vegetation cover were assessed using the normalized difference vegetation index (NDVI; [47]). The NDVI corresponds to the amount of aboveground biomass [48,49] and leaf area index (LAI) [50,51], which are among the most significant parameters of vegetation cover responsible for the transformation of solar energy at the surface [52,53]. The NDVI index was calculated as follows:
where and are satellite spectral reflectance bands in the red and near-infrared (NIR) regions of the spectrum.
Surface moisture characteristics were evaluated using the normalized difference moisture index (NDMI, [54]), corresponding to surface moisture. The NDMI index was calculated as follows:
where is the satellite spectral band in the SWIR spectral regions (Band 6, spectral range 1.57–1.65 m).
Albedo (; rel.) indicates the shortwave radiation exchange at the Earth’s surface. To calculate broad-band albedo, the approach of Liang [55], Liang et al. [56] and Tasumi et al. [57] was used, where albedo is calculated as a linear combination of spectral bands. The coefficients for the individual spectral bands were taken from [58]. The albedo was calculated according to the relation:
where b is the spectral band number, is the spectral reflectance band, and is the band coefficient taken from [58].
Evaporative fraction (EF; rel.), sensible heat flux (H; W·m−2), latent heat flux (LE; W·m−2), and ground heat flux (G; W·m−2) were chosen as indicators of energy exchange at the surface. The evaporative fraction represents the ratio of energy used for evaporation to the total energy available in the environment. This is the reciprocal of Bowen’s ratio (the ratio between sensible and latent heat flux, see [59]). It is, therefore, a useful indicator of surface energy conversion and the functional properties of vegetation cover. A gradient model based on the surface energy balance approach [60], which uses the temperature difference in the area of interest, was used for the calculation. The temperature gradient was scaled to range from minimum surface temperature for areas with maximum evapotranspiration intensity to maximum temperature for areas with minimum evapotranspiration level. EF was calculated as follows [60]:
where (°C) is the maximal surface temperature for the AOI, corresponding to the minimal evapotranspiration intensity. is the surface temperature (°C), and (°C) is the territorial air temperature for the mixing layer level (approx. at 200 m above surface). The territorial air temperature was calculated for the area of interest for the satellite imagery time based on data from the Tulln am der Donau weather station (see above) and the change in adiabatic gradient based on DTM from the SRTM data layer. The adiabatic gradient considered was 0.65 °C per 100 m elevation.
The latent heat flux, i.e., the flux in energy consumed to evaporate water in the process of evapotranspiration, is, similarly to EF, an indicator of the ability of vegetation to transform solar energy into water vapor and thus limit surface overheating. This has a significant stabilizing effect in the landscape (see e.g., [32] for details). The latent heat flux in evaporation was calculated based on the EF and the surface heat balance:
where is total net radiation (W·m−2). Details of the calculation are given in [61].
The sensible heat flux represents the turbulent heat exchange between the surface and the atmosphere, where heat is transferred to the atmosphere and heats it. The sensible heat flux was calculated according to the relationship:
The ground heat flux combines the properties of the vegetation cover and the soil characteristics. The empirical approach of Bastiaanssen et al. [62] was used for the calculation:
The QGIS module SEBCS for QGIS [61] was used to calculate the spectral indices, albedo, evaporative fraction, and heat fluxes.
2.2.4. Statistical Analysis
Since the calculated biophysical characteristic layers contain a large number of values, a representative sample size of 200 values was selected for each variable test from both the Czech and Austrian sides of the area of interest (AOI), to avoid Type II statistical error. The sampling was based on the random selection of individual pixels from the calculated layers of biophysical parameters within the monitored areas and within each category, so that the resulting dataset corresponded in statistical characteristics (data distribution, mean values, etc.) to the source dataset. The sampling process was defined so that mixels were not selected. This sample size was chosen to preserve the statistical characteristics of the study areas and, at the same time, to prevent an excessive increase in test power.
The assessment of differences between the sites within the entire dataset and across individual observation dates was conducted using a linear mixed model (LMM). The model was fitted using REML (restricted maximum likelihood method), with Satterthwaite’s method for t-tests. Location and observation dates, including their interaction, were used as fixed effects, while the observation date was included as a random effect to account for the influence of time, a correlated variable here (both locations were assessed for the same observation dates). The interaction between location and observation date was included in the model to evaluate the difference between sites across specific observation dates. Contrasts were subsequently assessed using a post hoc test with the estimated marginal means method [63] and degrees of freedom estimated via the Kenward–Roger method [64].
Due to the temporal dependency in the data between both sites, a test was performed to examine the influence of time (observation date) on the differences between the sites (hereinafter referred to as seasonality). For this, an LMM model was employed in which, unlike for the previous model, time was defined as a continuous variable. The fixed effect in this model was the location factor, and the observation date was the random effect. To assess the statistical significance of the random time factor, this statistical model was compared with a model without the random effect. This comparison model was calculated as a one-way analysis of variance using linear models (LM). Both models were then compared using the likelihood ratio test (LRT), with the LMM refitted using the maximum likelihood (ML) method for comparison purposes.
All tests were selected considering robust estimation and reliability in assumption violations, such as deviations from normality.
For the analysis of dynamic variables with absolute dimensions (e.g., , energy fluxes), the data were standardized to provide a better representation of temporal changes. The standardization method was based on comparing values for the selected area with data for the entire satellite image. Standardization was performed for the entire satellite image for each observation date, and the data were subsequently evaluated for the selected area of interest only. Details of the calculation are described in Brom et al. [65]. The total standardized area was approximately 33,000 km², while the selected area was 3000 km2.
All statistical analyses were conducted in the R environment (version 4.4.2) [66]. The lme4 1.1-35.5 package [67] was used for linear mixed model analysis. For contrast assessment, the emmeans 1.10.5 package [68] was used, and the car 3.1-3 package [69] was employed to evaluate differences between statistical models using LRT.
3. Results
3.1. Landscape Structure
The structural analysis proved the vast differences between the Czech and Austrian sides of the border (see summary in Table 1). The total area of each side of the AOI was similar, although not identical, due to the AOI shape (determined by the border buffer). In the end, the area on the Czech side (144,000 ha) turned out to be slightly smaller compared to the Austrian side (156,000 ha). Both study areas differed significantly in patch size and shape. The simple patch count suggested differences, with 13,172 patches on the Czech side and 66,788 on the Austrian side. A more informative value for comparing the two AOIs is the patch density, which shows the number of patches relative to the size of the AOI, therefore providing more accurate information when comparing two areas of non-identical sizes. In our case, the density of the Czech AOI was 9.1 patches per 100 ha, and the Austrian AOI was 42.8 patches per 100 ha. The largest patch index showed the ratio of the largest patch to the total area, with values of 0.37 on the Czech side and 0.11 on the Austrian side.
Another parameter of landscape structure evaluation is the edge characteristics. The total edge is just a plain sum of the edge length, while the edge was only considered as a border between two patches of different classes in our AOIs; considering the different numbers of patches and different AOI sizes, there were more edges on the Austrian side compared to the Czech side. Edge density was then related to the total areas of each AOI, therefore making for a more precise comparison. The edge density showed a more than 5-fold difference between our Czech area (10.7 m·ha−1) and the Austrian area (58.8 m·ha−1).
The values of the patch level metrics showed the same trends as observed in the densities of patches and edges. The mean patch size in the Czech AOI was 11.0 ha, but it only reached 2.3 in the Austrian one. This was also reflected in the area-weighted mean, which was 57.3 ha for the Czech side and only 17.5 ha for the Austrian side. The median plot sizes were 2.26 ha in Czechia and 0.38 ha in Austria. The standard deviations were 22.6 ha (Czechia) and 5.9 ha (Austria), respectively.
Considering the structure of the individual classes of land cover, we chose categories with the largest proportion of the landscape. We chose Arable Land, which took up 89.4% of the Czech landscape and 81.0% of the Austrian side. Second, we chose Vineyards, which took 3.6% on the Czech side and 5.2% in Austria. Permanent Grassland represented 5.5% of the Czech area, yet only 2.72% in Austria. Another category worth mentioning was the Fallow Land, which took (sadly) only 0.5% of the Czech agricultural landscape in our AOI but 4.6% of the Austrian (10× more) side. Another class that was very marginal in Czechia (with 0.5% of the total area) but significant in Austria (with 5.7%) was Grass on Field, which generally indicates animal feed production but on a field instead of a Permanent Grassland.
From the point of view of the structure within the chosen classes, we can see similar patterns to those we saw in the agricultural landscape as a whole. Focusing on the Arable Land, we can see that the number of patches (7036 in Czechia versus 18,998 in Austria) and patch density (4.9 patches per ha in the Czech side and 12.2 patches per ha in Austria) were both much larger on the Austrian side. This was then reflected in the other metrics, such as total edge (1480 km and 7109 km) and edge density (10.2 vs. 45.6 m·ha−1). Furthermore, the mean area of the fields in Czechia reached 18.4 ha, and the mean area in Austria was 6.6 ha. Other land cover classes followed this trend. Vineyards, Permanent Grassland, and Fallow Land had larger total areas on the Austrian side of the AOI than the Grass on Field and Arable Land classes. We can see that, in Austria, the absence of permanent grassland is compensated for by growing grass and animal feed in general temporally on Arable Land instead of Permanent Grass cultures. The relative values, such as Patch density and edge density, were higher in Australia among all the land cover classes. The mean area size was then larger in Czechia within all classes.
3.2. Biophysical Characteristics
Statistical analysis showed that there were statistically significant differences between the monitored locations for most land use categories and biophysical characteristics, as well as functional parameters. Exceptions were identified for the land use categories of Vineyards (NDMI, , and G), Permanent Grasslands (NDMI, albedo), and Fallow Lands (albedo, LE, H). Differences between the compared areas within individual satellite imaging dates were also statistically significant for most land use categories. Exceptions included the NDVI, NDMI, and G values for the entire area, similarly for Permanent Grasslands (NDMI and G) and Fallow Lands (H values). The importance of the imaging date for differences between locations, assessed as a random variable, was significant for all land use categories and all evaluated indicators. A summary of the statistical assessments is shown in Table 2.
Table 2.
Overview of the results from the statistical assessment of differences between the areas of interest in the Czech Republic and Austria (Loc), differences between localities within data acquisition dates (Loc:Date), and the effect of time on differences between locations (Seasonality). The analysis was conducted using the linear mixed models method for biophysical characteristics (Variable) and land use categories (LU) studied.
A comparison of contrasts between locations for individual land use categories and imaging dates for surface biophysical properties is shown in Figure 3. Here, differences between individual dates are apparent. Statistically significant differences were particularly noticeable in the early part of the growing season (18 May), during midsummer (19 June, 21 July, and 30 August), and at the end of summer (7 September). In autumn, the differences decreased, and values between the two regions tended to equalize.
Figure 3.
Summary of the analysis of differences between locations (Czech Republic and Austria) within the observation dates of the area of interest. Contrasts were calculated as post hoc tests of linear mixed models for individual land cover categories and specific biophysical features using the estimated marginal means method. Note: AL—Farmland, AR—Arable Land, VY—Vineyards, PG—Permanent Grassland, FL—Fallow Land, GF—Grass on Field.
An important aspect of the behavior of the monitored areas was the data distribution and the occurrence of extreme values for the assessed biophysical variables. The data distribution for each observed date and land use category is shown in violin plots (Figure 4, and Figure A1, Figure A2, Figure A3, Figure A4 and Figure A5 in Appendix A). The differences in data distribution for the observed biophysical characteristics between locations are shown in Figure 5 and Figure A6, Figure A7, Figure A8, Figure A9 and Figure A10 in Appendix A.
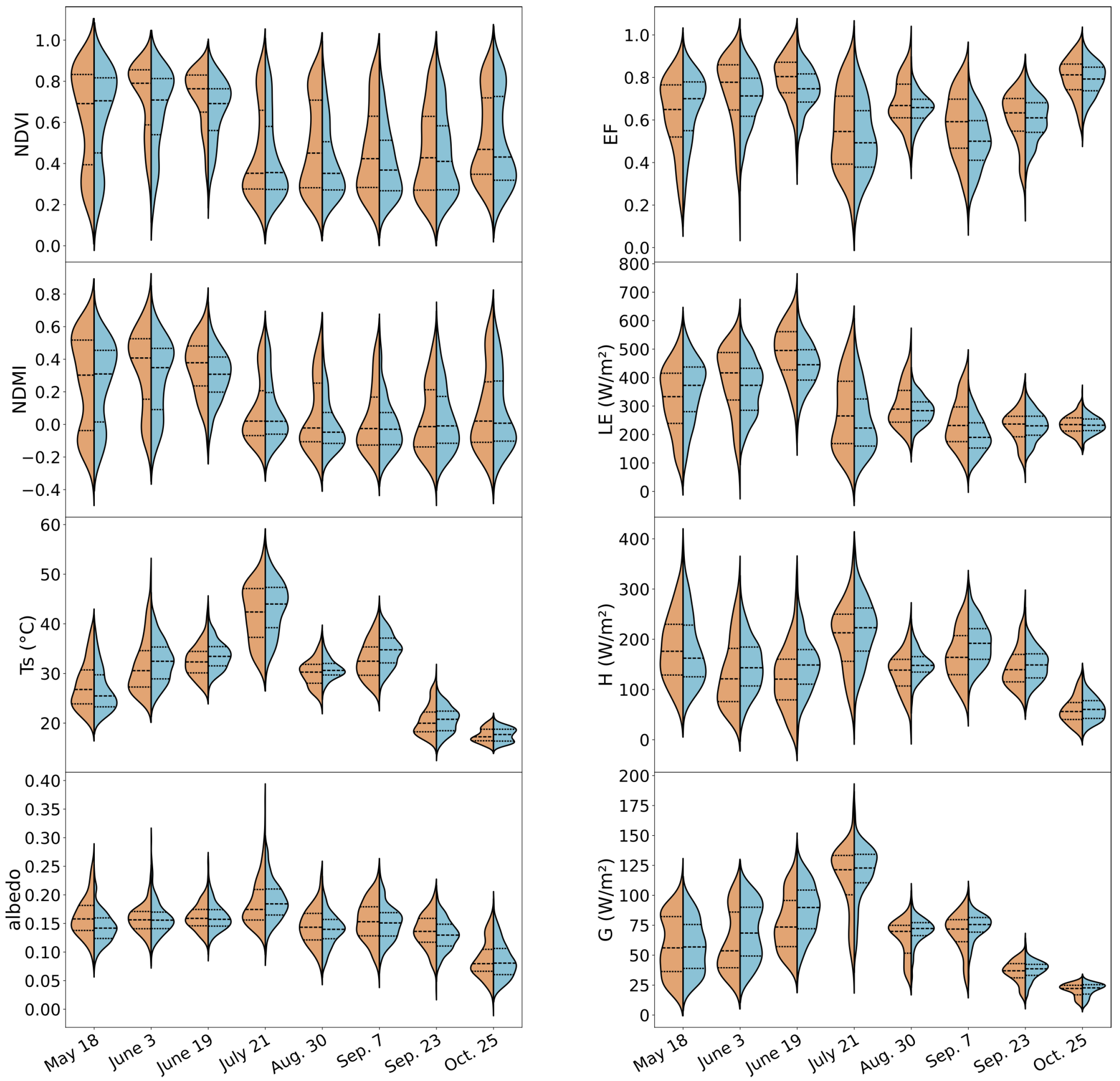
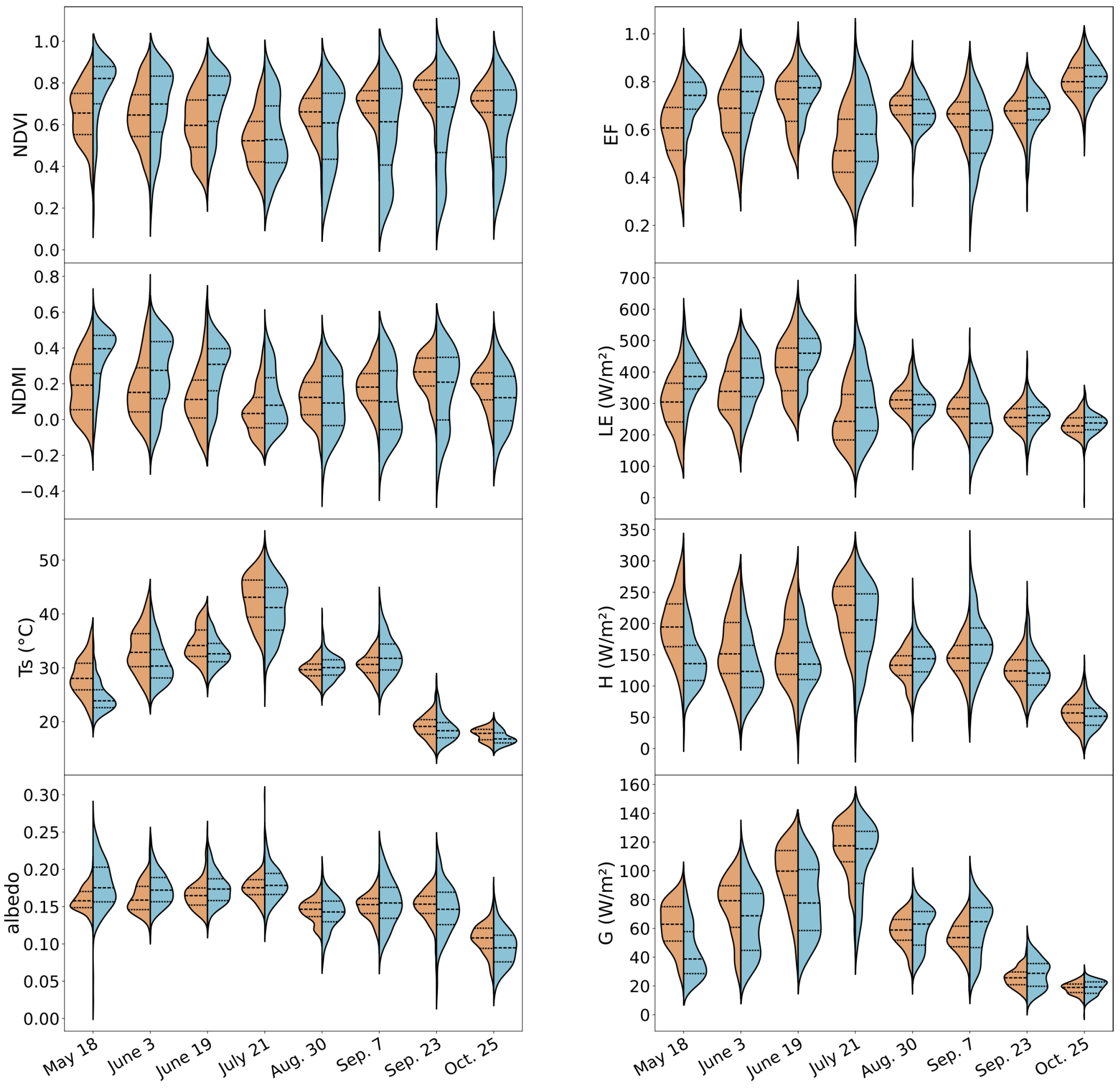
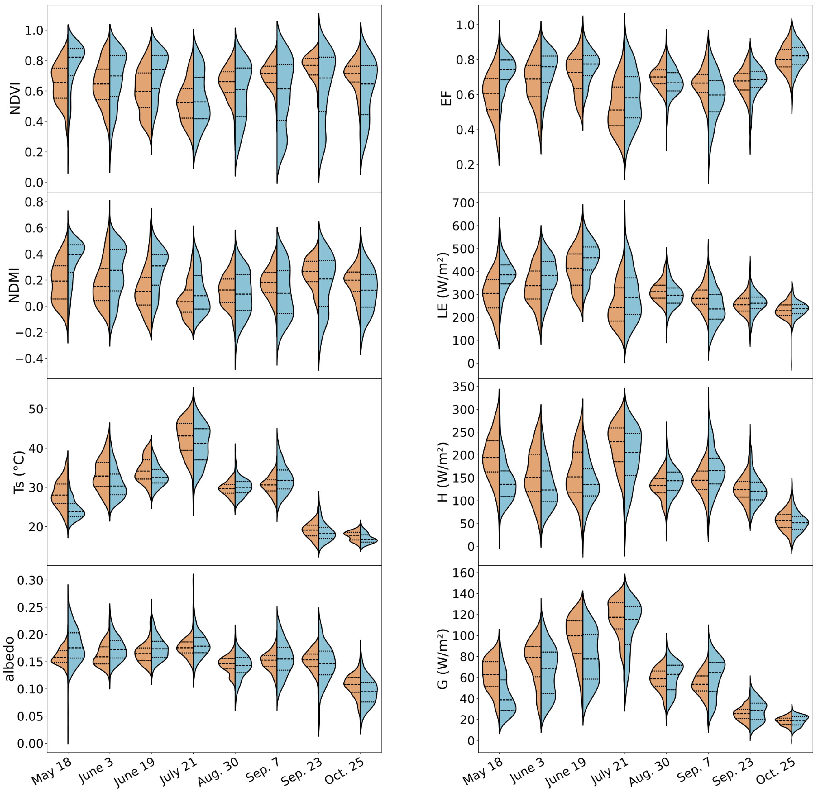
Figure 4.
Violin plots of individual functional variables for the total Farmland in the Czech Republic (orange color) and Austria (blue color).
Figure 5.
The difference in individual functional variable data distribution between the Czech Republic (orange color) and Austria (blue color) for the total Farmland area.
Across the entire monitored area (Figure 4), relatively high NDVI and NDMI values were evident until 19 June, slightly higher on the Czech side. The data from 21 July indicated a significant decrease in spectral index values and a concurrent increase in temperature and soil heat flux. Notably, an increase in albedo was observed on both sides of the border during this period. This may indicate a transition of cereal crops to a senescent state, with much of the area remaining unharvested. A decrease in EF and LE values, particularly on the Austrian side, was also observed, while H values increased. For subsequent dates, the spectral indices showed no marked changes, and a slight increase in values was seen in the autumn. The albedo gradually decreased, with little difference in the value distribution between locations. A noticeable increase in EF occurred from 30 August, with peak values in October, although the absolute heat flux values tended to decline, likely due to a decreasing solar energy input during this period.
Differences in the data distribution for the monitored variables for individual dates (Figure 5) are intriguing. For the spectral indices NDVI and NDMI, there were a few notable differences in data distribution between the Czech and Austrian regions. There was a clear shift towards higher values on the Czech side, with more evenly distributed values, and hence greater data variability, on the Austrian side. Greater differences were observed from late June to late August. From 21 July, the bimodal distribution of spectral index data became apparent, with this bimodal pattern manifesting later on the Austrian side. This is likely linked to land management practices, e.g., the effects of crop harvesting and soil cultivation, for example, ploughing.
The data distribution for temperature, evaporative fraction, and heat fluxes was related to biomass development and surface moisture properties. In May, the temperature distribution appeared similar across both locations. Higher temperature values were recorded predominantly on the Austrian side on most dates (excluding 3 June and 30 August). Differences in thermal behavior were also confirmed by the EF and heat flux data. Higher values were seen on the Czech side during the summer, from 3 June to 7 September. Early July showed a broad range of EF and LE values on the Czech side, with Austrian values shifted towards lower levels. By late September, the EF and heat flux values showed similar characteristics across both monitored locations. The soil heat flux largely followed the vegetation cover characteristics (spectral indices) and thermal characteristics, with greater differences observed in August (30 August) and 7 September, likely due to more extensive crop biomass removal from fields.
The differences in the behavior of the monitored areas of the Czech Republic and Austria summarize the overall characteristics, disregarding specific land management practices. However, examining individual land use categories revealed a similar behavior across the monitored areas. Nonetheless, the results indicated significant differences between locations. Although the seasonal trend was comparable across all categories, individual biophysical variables exhibited distinctive patterns.
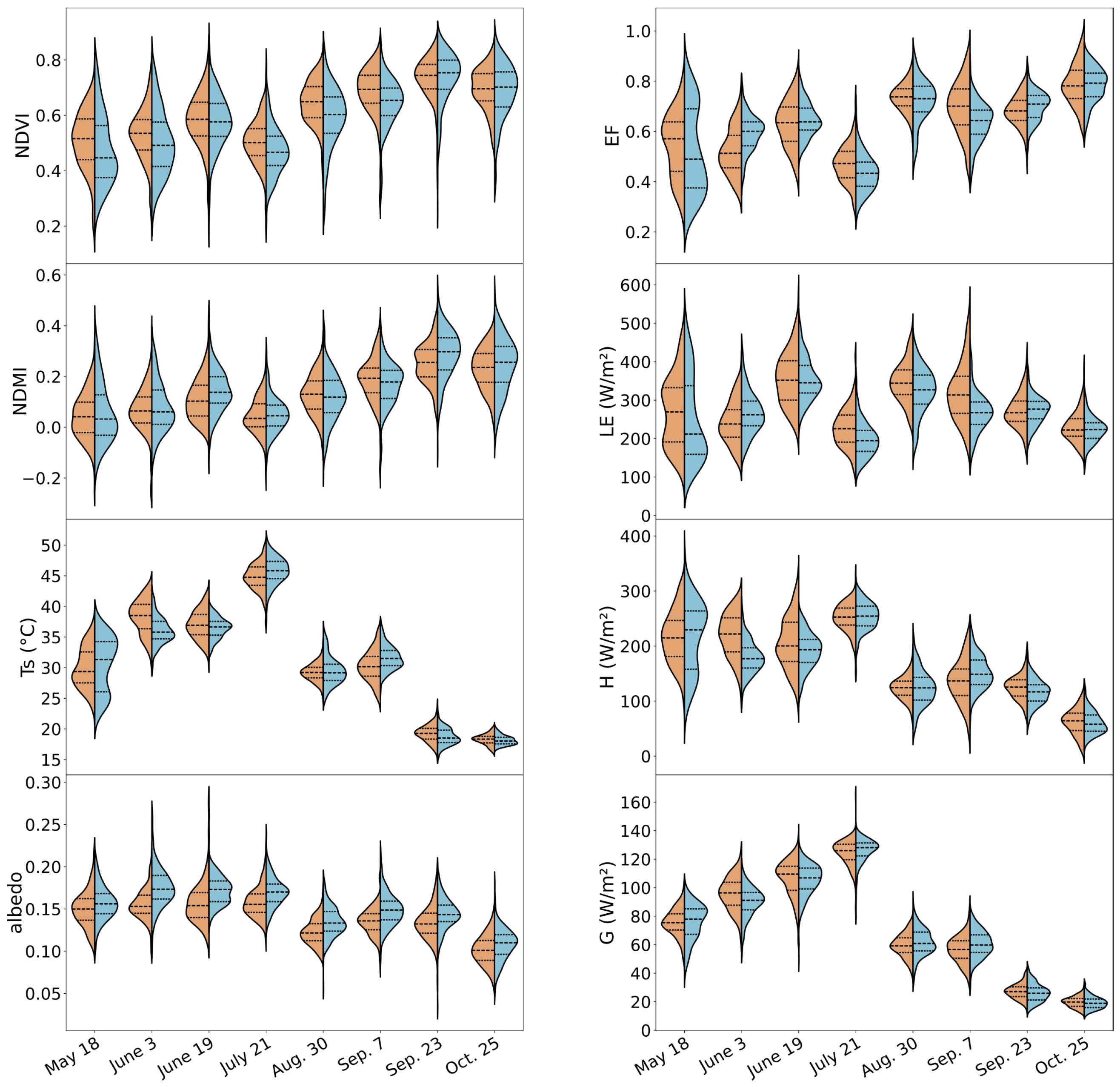
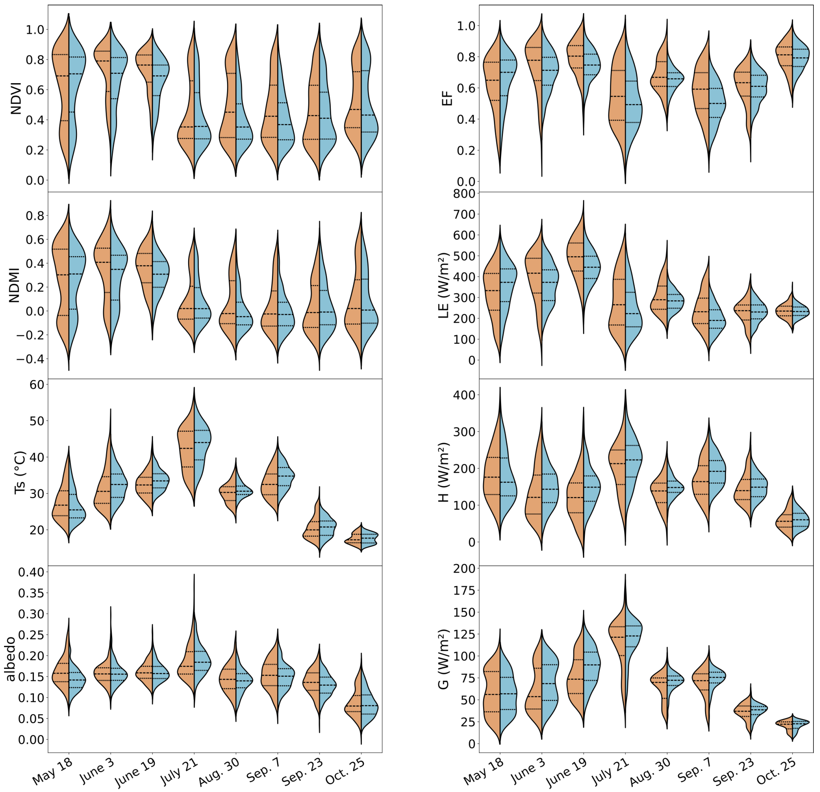
For individual land use categories, there were considerable differences in functional surface properties. Arable Land, given its dominant coverage in the monitored areas, mirrored the overall behavior of the Farmland area (see Figure A1 and Figure A6). Other land use categories showed distinct patterns. For Vineyards, higher NDVI values were generally seen on the Czech side; however, surface moisture, expressed as NDMI, tended to be higher on the Austrian side. Albedo values were also higher in Austria. The temperature behavior changed throughout the monitored period. In May, a broad temperature distribution, with a distinct bimodal pattern, was observed on the Austrian side, while the Czech side had a lower value distribution. Conversely, the Czech temperature values were higher in June, reversing in August and early September. For 23 September and 25 August, higher values were again evident on the Czech side compared to Austria. The temperature pattern corresponded to EF and heat flux distribution, with discernible differences between the monitored locations. Distribution and behavioral differences in Vineyards are shown in Figure A2 and Figure A7.
The Permanent Grasslands category showed differences primarily in May and early June and at the end of the growing season, likely related to biomass harvesting during the season. Details are shown in Figure A3 and Figure A8.
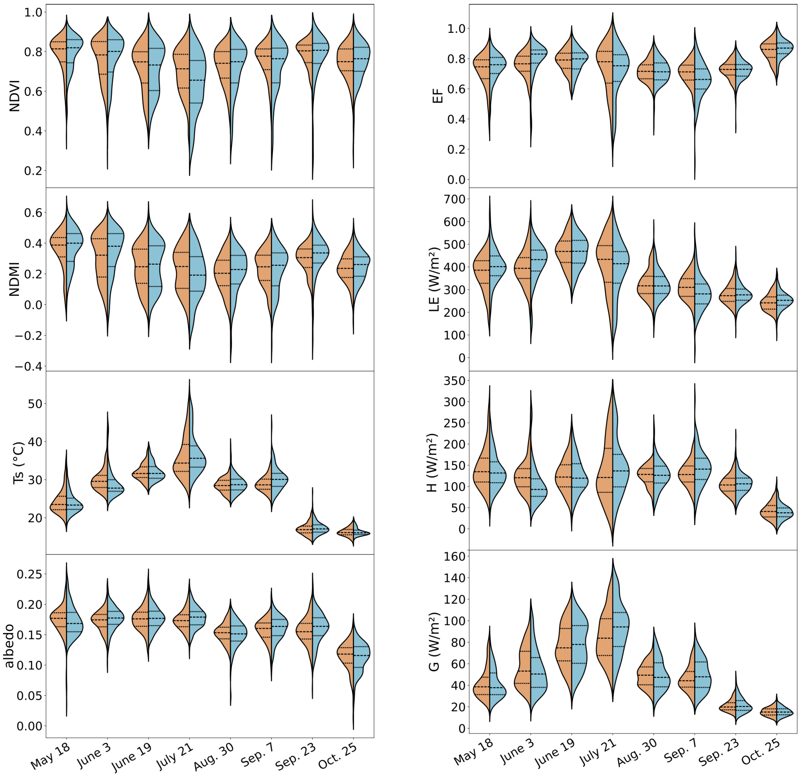
The Fallow Land category showed more marked differences between the monitored locations than the previous land use categories. A greater proportion of higher NDVI values were distributed across the Austrian region during the growing season; however, as shown in Figure A9, the highest NDVI values, particularly in the first half of the season, were more prevalent in the Czech area. This effect was more pronounced for the NDMI index. The data distribution on the Czech side showed a wider range of spectral index values throughout the year (see Figure A4). The albedo correlated with the spectral index data distribution. Except for the last two dates (23 September and 25 October), higher albedo values were more prominent on the Czech side, where there was also a broader representation of lower values. The temperature distribution showed more pronounced differences in May and June, and then again on 30 August and 23 September, with higher values more common on the Czech side. A broader temperature distribution was also observed on the Czech side. The EF and heat flux values correlated with the temperature and vegetation productivity characteristics. Greater differences were seen in May, June, and subsequently at the end of August and September. The EF values were higher in May on the Austrian side; however, in later periods, the balance shifted, with lower EF and LE values observed on the Czech side compared to Austria. This was reflected in higher H values in the early growing season on the Czech side. The soil heat flux values exhibited a much broader range on the Czech side in the first half of the growing season. Notable differences were observed in the autumn months (23 September and 25 October), with higher G values generally seen on the Czech side.
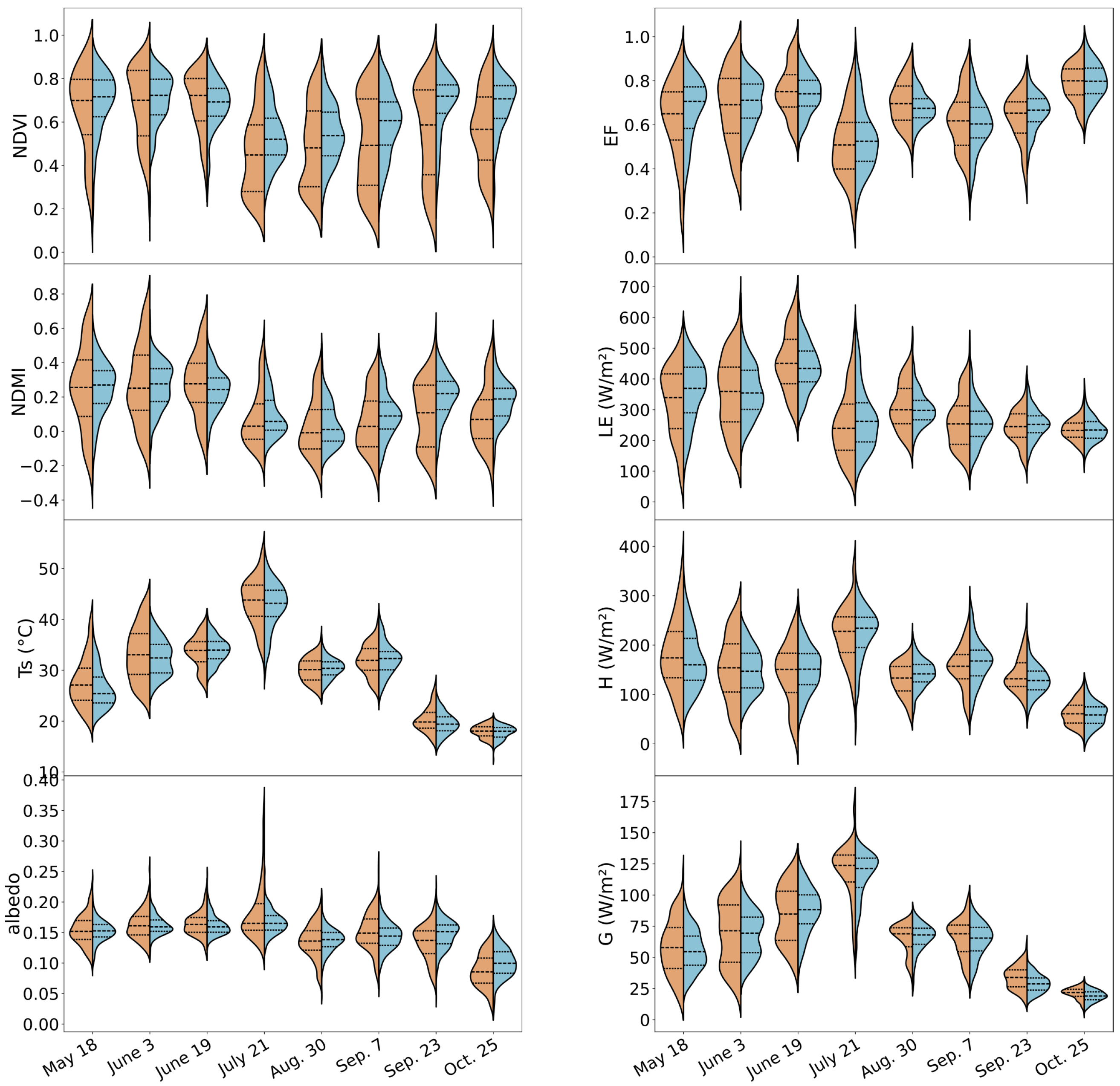
The Grass on Field category exhibited a unique behavior compared to the other categories. The NDVI and NDMI values were higher on the Austrian side, particularly in the first half of the growing season (dates up to 21 July). In the latter half of the season, the values shifted towards higher spectral index values on the Czech side, while a significantly wider range of values, and thus a greater representation of lower values, was apparent on the Austrian side. For the temperature behavior, higher surface temperature values predominated on the Czech side in the first half of the growing season. Except for October, higher temperatures were more frequent on the Austrian side. Albedo values were generally higher on the Austrian side, where, as with NDVI, a broader distribution range was also observed. The EF and heat flux distribution corresponded with the temperature behavior and reflected the productivity of vegetation cover. For May, both June dates, and 21 July, higher EF values were more evident on the Austrian side. In the latter part of the season (30 August and 7 September), this trend reversed, with higher EF and LE values observed on the Czech side, while a wider range of EF and heat flux values was noted in Austria, especially for soil heat flux. For the autumn dates, 23 September and 25 October, the EF and heat flux differences between locations were smaller. Details are shown in Figure A5 and Figure A10.
4. Discussion
4.1. Landscape Structure
The structure of a landscape shapes numerous functional aspects, such as the biodiversity, management options, and biophysical features related to energy exchange and the water cycle. The Czech–Austrian border region provides an intriguing example of two landscapes with distinct structures within the same environment (see Figure 1). These differences stem from divergent historical developments post WWII. In the Czech Republic, communist policies of property collectivization aimed at maximizing agricultural efficiency transformed the land into large field units [70], drastically altering the landscape structure. In contrast, Austria maintained its historical farm structure and land ownership patterns.
Over three decades after communism’s end, Czech agriculture remains dominated by the large holdings that succeeded the former co-operatives. As of 2020, 27.8% of the largest farms control 92–93% of utilized agricultural area (UAA), placing the Czech Republic second in the EU in farm size concentration, following Slovakia with only 17.9% of the largest farms controlling 92–93% of their UAA [71]. The Czech Ministry of Agriculture reports an average farm size of about 130 hectares, although this has decreased from 152.4 hectares in 2010 [72]. Conversely, Austria, traditionally a country of small farms, has seen modest growth in average farm size, from 42.6 hectares in 2010 to 44.9 hectares in 2020 [73].
Our analysis confirmed these structural differences: in the Czech Republic, the average patch size was 11 hectares, compared to 2.3 hectares in Austria. Focusing on Arable Land, the average patch size was 18.4 hectares in the Czech Republic and 6.6 hectares in Austria. Austrian landscapes also exhibited higher edge densities across all land cover types, with a farmland edge density 5.5 times higher than in the Czech Republic. For more details, see Table 1. Larger field sizes can benefit agricultural efficiency, reducing the time spent on transport and maintenance [74]. However, they can also significantly impact environmental factors and biodiversity. Studies show that larger fields reduce fuel consumption [75]. Yet, these vast fields are more susceptible to wind and water erosion [7]. Furthermore, landscape structure, especially field boundaries, plays a critical role in agroecosystem biodiversity by providing habitats and resources for various species. Larger fields reduce patch and edge density, threatening the habitats of species like the European hare, which relies on field edges for shelter and sustenance [76,77]. Farmland homogenization has been linked to a 52% decline in European farmland bird populations from 1980 to 2020 [78]. Studies comparing Czech and Austrian farmland have shown that Austrian farmland supports 1.5–1.6 times more individual birds and 1.3–1.5 times more farmland bird species than in the Czech Republic, highlighting the biodiversity benefits of smaller, more fragmented fields [79,80].
4.2. Biophysical Characteristics
The heterogeneity and structure of agricultural landscapes are closely linked to the abundance and diversity of bird, mammal, insect, and plant species. However, understanding how landscape structure shapes the local climate—specifically, the biophysical properties of the land, such as the transformation of solar energy—remains limited.
Observations during the 2022 growing season, from 18 May to 25 October, revealed significant differences in biophysical parameters and land use categories between the study areas in Austria and the Czech Republic. Statistically significant variations were also found in most land use categories on specific satellite imaging dates, where imaging date as a random effect proved significant for all categories and indicators. This highlights the substantial impact of seasonality on the observed characteristic differences.
A comparison of contrasts between the two locations revealed notable differences, particularly at the beginning of the season (18 May), during the peak summer months (19 June, 21 July, and 30 August), and towards the end of summer (7 September). In autumn, the differences declined, suggesting a leveling off of values between the sites.
The data analysis also showed considerable variability in biophysical characteristics on both sites, with differences depending on the land use category. Overall, the Austrian side displayed a more even distribution of values, likely due to a wider variety of crops, greater field mosaic, and more balanced agricultural activities throughout the season (as crops reach maturity at different times). In contrast, the Czech site predominantly grows a few major crops (winter wheat, winter barley, rapeseed, and maize), which have a shorter agrotechnical span. Additionally, cover crops (intercrops) are used less frequently in the Czech area, and fields often remain without vegetation for extended periods. The dry surface of the barren soil, despite having higher albedo values due to its surface complexity, is more susceptible to overdrying, overheating, and, last but not least, erosion [81]. The lack of vegetation and moisture on the surface reduces the energy spent on evaporation through evapotranspiration, lowering the evaporative fraction and raising surface temperatures. Nonetheless, the energy budget remains the same, shifting the energy dissipation towards raising the ground and sensible heat flux instead of latent heat flux when water and vegetation are present. Therefore, the lower the evaporative fraction, the less energy from this budget is utilized in the water phase transition. The energy is thus spent on warming up the surroundings, including objects on the surface, people, animals, plants, and the surface itself [31].
The harvest period was often reflected in the datasets as a bimodal data distribution, where bare, harvested, or senescent areas appeared alongside areas with vigorous vegetation. For instance, in June, the Arable Land category showed a shift in NDVI values—indicating changes in the amount of green biomass and LAI—towards higher values on the Czech side, which reflected a greater presence of crops with high biological productivity at that time. Following the cereal harvest in July and August, the NDVI values declined, though some values remained high, likely indicating maize crops. This bimodal character also appears in autumn, when parts of the land were bare and parts were sown with winter crops. Removing biomass during harvest and the senescence of crops during maturation leads to a decrease in aboveground biomass and reduced leaf coverage. These changes diminish the vegetation’s ability to cool the surrounding environment due to limited transpiration [32,82]. At the same time, vegetation loses its capacity to create a sub-canopy microclimate and retain water within the local water cycle. This effect has been described in forest stands [83], but our experience shows that the water microcycle also occurs in herbaceous communities. Reduced leaf coverage also decreases interception [84], and lowers the plants’ capacity to utilize water for evapotranspiration and condensation. These processes limit the cooling and stabilizing effects of vegetation, impacting the temperature and humidity regimes of the landscape, as well as the transformation of solar energy. In areas with insufficient vegetation cover, overheating occurs [65,85], temperature differences between day and night increase [86], and the frequency of local climatic extremes may rise.
Although we anticipated smaller differences in biophysical parameters within the other monitored land use categories (Vineyards, Permanent Grasslands, Fallow Land, and Grass on Field), we instead found the opposite trend. Various factors may have influenced this outcome. In the case of Vineyards, irrigation practices (lower NDVI but higher NDMI, particularly in Austria), undergrowth management, and vineyard spatial orientation may have played a significant role. In the case of Permanent Grasslands and Grass on Field, the timing and volume of harvests in specific periods likely had an impact. It appears that, on the Czech side, there is a tendency for quick harvesting of grasslands for silage, whereas, in Austria, the harvest is more staggered. This was evidenced by the distribution of spectral indices and albedo values, as well as temperature and heat flux distributions. The Fallow Land category showed greater data distribution differences than the other categories, likely due to different land management practices in the Czech Republic and Austria, as well as the different sizes of the compared category. In the Czech area of interest, Fallow Land represented roughly a tenth of the area compared to the Austrian side.
The instability of the biophysical characteristics of the landscape, mostly extreme values, is a complex question. However, this could be explained by the differences in the landscape mosaic structure and partly by the ability of the Landsat sensor to be used for analysis. At the scale of satellite resolution (30 × 30 m), the fine-grained landscape mosaic, particularly on the Austrian side, tended to average out and smooth microclimatic features. Conversely, the extensive field blocks, predominantly on the Czech side, facilitated the development of high surface temperatures, a reduced sensible heat flux, and consequently, pronounced spatial gradients. The widespread use of large, homogenous areas under similar agricultural management is highly questionable and may have severe negative impacts on the local climate. This concern applies to both AOIs.
An important role is also played by crop rotation, which tends more toward simplification in the Czech Republic than in Austria, with a preference for cereals, oilseeds, and corn for biogas production (see [87,88]). These limited cropping practices often result in long-term exposure of the land surface, i.e., the absence of vegetation cover. The occurrence of microclimatic extremes, large gradients, limited evapotranspiration, and surface overheating significantly impacts the climate of the surroundings. In a study carried out by Hesslerová et al. [21], there was an example of a comparison of multiple land covers and their characteristics of energy fluxes. In one case, they compared two football pitches laying one next to the other, whilst one had natural grass cover and the other had artificial grass. These two land covers appeared very similar to the eye, yet on the thermal image there was a difference in surface temperature of around 12 °C due to evapotranspiration and the consequent changes in the latent heat flux. In any farmland, it may not be possible to avoid patches without any vegetation cover. However, there are ways to mitigate the threats of land without land cover, such as intercropping. There may be another method of regulation in the form of landscape configuration. Large production patches of monocultures can contain plenty of biomass and moisture during the peak vegetation. These crops then have a high rate of evapotranspiration, which, as a result, cools down the surface through the dissipation of energy fluxes. Vegetation also increases surface roughness, improving water retention and bolstering erosion prevention. The problem can appear when the crop is at the beginning or the very end of its development. At those moments, the bare soil is mostly uncovered and susceptible to extremes, and the larger the patch, the more pronounced the extreme effects. This is also problematic for many wild living organisms that lack habitats when there is almost no vegetation on a field exceeding 20 ha. Smaller field sizes lead to a higher edge density, which provides natural feed and shelter for various animals. Moreover, the edges provide habitats for wild species of plants, and last but not least, they counteract erosion effects, since small patches do not allow fast runoff, improving water infiltration and retention.
The cooling effect of vegetation deserves more attention as one of the ecosystem services regulating the meso/micro climate of the landscape. Looking through the prism of climate change and global warming, we talk about increasing temperatures and extreme weather episodes. Changes in land cover and its spatial distribution can significantly influence circulation in the atmospheric boundary layer [89,90], local climate characteristics, and the hydrological regime of the landscape [83,91,92,93]. Fragmentation of land cover can alter convective flows in the troposphere and modify precipitation patterns [94]. Large-scale disturbances to vegetation cover may disrupt the hydrological cycle, leading to prolonged droughts, shifts in precipitation regimes, and more frequent extreme rainfall events [95,96]. Such changes can also affect the precipitation–runoff balance, soil and surface water chemistry [81,97], and plant phenology [98]. For example, deforestation in tropical rainforests has been linked to reduced precipitation and evapotranspiration, higher temperatures, and altered climate dynamics [95,96]. Similar impacts are observed globally, often resulting in significant economic losses [99].
As global efforts to reduce greenhouse gas emissions fail, we may need other solutions to moderate their impact. The changes in climatic characteristics intensity, such as average air temperature, maxima and minima in the Czech Republic are significantly higher than the global trend (for more details, see [35,100]). The absence of vegetation can have (arguably) a much higher impact, and the same could apply to extreme precipitation episodes that happen more often. With the changing distribution of precipitation, we see longer periods of drought followed by more intense episodes of precipitation [101,102,103]; nonetheless, dry bare soil has a low surface roughness and low infiltration ability, allowing fast surface runoff of the water, causing floods, or at the very least erosion [8,104]. Due to increases in the arable land area, people have been building subsurface drainage systems in the Czech Republic since the 1860s, culminating during collectivization and continuing even after 1989, being motivated by an undeniable increase in soil fertility. According to existing records, over 1 million hectares of farmland are currently drained in the Czech Republic [9]. This further deepens the drying of the Czech landscape and probably will also in the future, thanks to the very long lifespan of the drainage systems.
Our findings suggest that an increased landscape complexity could help mitigate the impacts of climate change and extreme weather. Furthermore, changes in landscape structure, particularly a shift towards more complex agricultural practices such as intercropping, expanded use of cover crops, and diversified crop rotation systems, could play a pivotal role in shaping local climates, mitigating extreme weather events, and stabilizing landscape functions. These insights are especially relevant in the broader discussion about the importance of landscape functions. Understanding these processes is essential for landscape planning and management. However, despite their importance, land cover changes and their effects remain largely overlooked in climate change mitigation policies [82,105].
5. Conclusions
This study examined the impact of agricultural intensification and farmland structure on surface parameters and microclimatic conditions along the Czech–Austrian border. Despite a similar topography, the regions exhibit stark contrasts in farmland structure due to different socio-political histories: large, homogeneous fields in the Czech Republic resulting from collectivization, and smaller, diverse fields in Austria reflecting traditional land practices.
Our observations indicated significant differences between the areas of interest in Austria and the Czech Republic regarding landscape structure and biophysical parameters, which shape the local climate throughout the growing season. Generally, we observed a more even distribution of values on the Austrian side, likely due to the greater diversity of cultivated crops, a more spatially diverse landscape, and a balanced spread of agricultural activities over time (as crops reach senescence at different periods). In the Czech Republic, however, the focus is mainly on a few dominant crops (winter wheat, winter barley, rapeseed, and maize), which have a shorter agrotechnical timeline. Furthermore, cover cropping is less commonly used in the Czech area, leaving the soil without vegetation cover for extended periods. Areas without vegetation cover may, therefore, amplify local climatic extremes.
Greater landscape heterogeneity in Austria promotes better vegetative cover, improved moisture retention, and a more balanced energy distribution. Such an environment supports higher biodiversity, as evidenced by the greater richness and abundance of bird, insect, and wild plant species. Field edges provide essential habitats and resources for various organisms, enhancing the health of the agroecosystem.
The study underscores that farmland structure significantly influences, not only biodiversity, but also the physical properties of the land surface and local climate regulation. Large fields with minimal edges exacerbate environmental challenges like soil erosion, reduced water infiltration, and heightened vulnerability to extreme weather events, due to the amplification of microclimatic extremes. Conversely, smaller fields with more edges enhance ecosystem services such as cooling through evapotranspiration and bolster resilience to climate change by mitigating environmental extremes.
Promoting landscape heterogeneity in agricultural practices can yield substantial environmental benefits by reducing the severity of microclimatic extremes and supporting biodiversity. Strategies like decreasing field sizes, diversifying crops, and maintaining edge habitats can alleviate the severe conditions observed in large, homogeneous fields. These practices are particularly relevant during climate change, where adaptive measures are essential for counteracting rising temperatures and shifting weather patterns. Thoughtful landscape management enhances ecosystem services and contributes to global efforts to reduce greenhouse gas emissions and adapt to climate variability.
In summary, our research highlights the crucial role of farmland structure in influencing environmental parameters, particularly the occurrence of environmental extremes and ecosystem services. By adopting agricultural practices that enhance landscape heterogeneity, it is possible to moderate microclimatic extremes, support biodiversity, and increase the adaptive capacity of agroecosystems to climate change. These insights are vital for policymakers, land managers, and stakeholders aiming to develop sustainable and resilient agricultural that are landscapes less susceptible to environmental extremes.
To better understand the studied processes, a multitemporal analysis of changes in the areas of interest in the context of historical changes appears to be a suitable approach for the future. This would include data from as early as the 1980s, using Landsat 4 and 5 TM satellite images. This period covers the time before the political regime change on the Czech side (pre-1989) up to the present, during which agricultural land management practices have been converging technologically.
Author Contributions
Conceptualization, J.K. and J.B.; methodology, J.K. and J.B.; formal analysis, J.K.; investigation, J.K.; resources, J.K.; data curation, J.K.; writing—original draft preparation, J.K. and J.B.; writing—review and editing, J.K. and J.B.; visualization, J.K.; supervision, J.B.; project administration, J.B.; funding acquisition, J.B. All authors have read and agreed to the published version of the manuscript.
Funding
This research was funded by the Grant Agency of the University of South Bohemia in České Budějovice, Czech Republic, project No. GAJU 069/2022/Z.
Data Availability Statement
All the original data used in the project came from public sources. The original contributions presented in the study are included in the article, further inquiries can be directed to the corresponding author.
Conflicts of Interest
The authors declare no conflicts of interest.
Appendix A
The appendix contains graphs of functional landscape characteristics, i.e., spectral indices (NDVI and NDMI) and microclimatic characteristics. The graphs describe the seasonal pattern of these parameters for each evaluated landscape cover class within the AOI in the Czech Republic and Austria.
Figure A1.
Violin plots of individual functional variables for the Arable Land in the Czech Republic (orange color) and Austria (blue color).
Figure A1.
Violin plots of individual functional variables for the Arable Land in the Czech Republic (orange color) and Austria (blue color).

Figure A2.
Violin plots of individual functional variables for Vineyards in the Czech Republic (orange color) and Austria (blue color).
Figure A2.
Violin plots of individual functional variables for Vineyards in the Czech Republic (orange color) and Austria (blue color).

Figure A3.
Violin plots of individual functional variables for Permanent Grassland in the Czech Republic (orange color) and Austria (blue color).
Figure A3.
Violin plots of individual functional variables for Permanent Grassland in the Czech Republic (orange color) and Austria (blue color).

Figure A4.
Violin plots of individual functional variables for Fallow Land in the Czech Republic (orange color) and Austria (blue color).
Figure A4.
Violin plots of individual functional variables for Fallow Land in the Czech Republic (orange color) and Austria (blue color).

Figure A5.
Violin plots of individual functional variables for Grass on Field in the Czech Republic (orange color) and Austria (blue color).
Figure A5.
Violin plots of individual functional variables for Grass on Field in the Czech Republic (orange color) and Austria (blue color).

Figure A6.
The difference in individual functional variable data distribution between the Czech Republic (orange color) and Austria (blue color) for Arable Land.
Figure A6.
The difference in individual functional variable data distribution between the Czech Republic (orange color) and Austria (blue color) for Arable Land.

Figure A7.
The difference in individual functional variable data distribution between the Czech Republic (orange color) and Austria (blue color) for Vineyards.
Figure A7.
The difference in individual functional variable data distribution between the Czech Republic (orange color) and Austria (blue color) for Vineyards.

Figure A8.
The difference in individual functional variable data distribution between the Czech Republic (orange color) and Austria (blue color) for Permanent Grasslands.
Figure A8.
The difference in individual functional variable data distribution between the Czech Republic (orange color) and Austria (blue color) for Permanent Grasslands.

Figure A9.
The difference in biophysical features data distribution between the Czech Republic (orange color) and Austria (blue color) for Fallow Land.
Figure A9.
The difference in biophysical features data distribution between the Czech Republic (orange color) and Austria (blue color) for Fallow Land.

Figure A10.
The difference in individual functional variables data distribution between the Czech Republic (orange color) and Austria (blue color) for Grass on Field.
Figure A10.
The difference in individual functional variables data distribution between the Czech Republic (orange color) and Austria (blue color) for Grass on Field.

References
- Oliver, T.H.; Isaac, N.J.B.; August, T.A.; Woodcock, B.A.; Roy, D.B.; Bullock, J.M. Declining resilience of ecosystem functions under biodiversity loss. Nat. Commun. 2015, 6, 10122. [Google Scholar] [CrossRef] [PubMed]
- Bowles, T.M.; Mooshammer, M.; Socolar, Y.; Calderón, F.; Cavigelli, M.A.; Culman, S.W.; Deen, W.; Drury, C.F.; Garcia Y Garcia, A.; Gaudin, A.C.; et al. Long-Term Evidence Shows that Crop-Rotation Diversification Increases Agricultural Resilience to Adverse Growing Conditions in North America. One Earth 2020, 2, 284–293. [Google Scholar] [CrossRef]
- Shah, K.K.; Modi, B.; Pandey, H.P.; Subedi, A.; Aryal, G.; Pandey, M.; Shrestha, J. Diversified Crop Rotation: An Approach for Sustainable Agriculture Production. Adv. Agric. 2021, 2021, 8924087. [Google Scholar] [CrossRef]
- Boesing, A.L.; Nichols, E.; Metzger, J.P. Effects of landscape structure on avian-mediated insect pest control services: A review. Landsc. Ecol. 2017, 32, 931–944. [Google Scholar] [CrossRef]
- Thies, C.; Tscharntke, T. Landscape Structure and Biological Control in Agroecosystems. Science 1999, 285, 893–895. [Google Scholar] [CrossRef] [PubMed]
- Smets, T.; Poesen, J.; Bochet, E. Impact of plot length on the effectiveness of different soil-surface covers in reducing runoff and soil loss by water. Prog. Phys. Geogr. Earth Environ. 2008, 32, 654–677. [Google Scholar] [CrossRef]
- Devátý, J.; Dostál, T.; Hösl, R.; Krása, J.; Strauss, P. Effects of historical land use and land pattern changes on soil erosion–Case studies from Lower Austria and Central Bohemia. Land Use Policy 2019, 82, 674–685. [Google Scholar] [CrossRef]
- Zuazo, V.H.D.; Pleguezuelo, C.R.R. Soil-Erosion and Runoff Prevention by Plant Covers: A Review. In Sustainable Agriculture; Lichtfouse, E., Navarrete, M., Debaeke, P., Véronique, S., Alberola, C., Eds.; Springer: Dordrecht, The Netherlands, 2009; pp. 785–811. [Google Scholar] [CrossRef]
- Tlapáková, L.; Žaloudík, J.; Kolejka, J. Thematic survey of subsurface drainage systems in the Czech Republic. J. Maps 2017, 13, 55–65. [Google Scholar] [CrossRef]
- Watson, A.J.; Lovelock, J.E. Biological homeostasis of the global environment: The parable of Daisyworld. Tellus B 1983, 35B, 284–289. [Google Scholar] [CrossRef]
- Shukla, J.; Mintz, Y. Influence of Land-Surface Evapotranspiration on the Earth’s Climate. Science 1982, 215, 1498–1501. [Google Scholar] [CrossRef]
- Segal, M.; Avissar, R.; McCumber, M.C.; Pielke, R.A. Evaluation of Vegetation Effects on the Generation and Modification of Mesoscale Circulations. J. Atmos. Sci. 1988, 45, 2268–2293. [Google Scholar] [CrossRef]
- Pielke, R.A.; Avissar, R. Influence of landscape structure on local and regional climate. Landsc. Ecol. 1990, 4, 133–155. [Google Scholar] [CrossRef]
- Hayden, B.P. Ecosystem feedbacks on climate at the landscape scale. Philos. Trans. R. Soc. Biol. Sci. 1998, 353, 5–18. [Google Scholar] [CrossRef]
- Pielke, R.A.; Marland, G.; Betts, R.A.; Chase, T.N.; Eastman, J.L.; Niles, J.O.; Niyogi, D.d.S.; Running, S.W. The influence of land-use change and landscape dynamics on the climate system: Relevance to climate-change policy beyond the radiative effect of greenhouse gases. Philos. Trans. R. Soc. Math. Phys. Eng. Sci. 2002, 360, 1705–1719. [Google Scholar] [CrossRef] [PubMed]
- Nippgen, F.; McGlynn, B.L.; Marshall, L.A.; Emanuel, R.E. Landscape structure and climate influences on hydrologic response. Water Resour. Res. 2011, 47, 2011WR011161. [Google Scholar] [CrossRef]
- Mackey, C.W.; Lee, X.; Smith, R.B. Remotely sensing the cooling effects of city scale efforts to reduce urban heat island. Build. Environ. 2012, 49, 348–358. [Google Scholar] [CrossRef]
- Favretto, A. Urban Heat Island analysis with Remote Sensing and GIS methods: An application in the Trieste area (North-East of Italy). Boll. Della Soc. Geogr. Ital. 2018, 1, 215–229. [Google Scholar] [CrossRef]
- Stewart, I.D.; Oke, T.R. Local Climate Zones for Urban Temperature Studies. Bull. Am. Meteorol. Soc. 2012, 93, 1879–1900. [Google Scholar] [CrossRef]
- Debbage, N.; Shepherd, J.M. The urban heat island effect and city contiguity. Comput. Environ. Urban Syst. 2015, 54, 181–194. [Google Scholar] [CrossRef]
- Hesslerová, P.; Pokorný, J.; Huryna, H.; Seják, J.; Jirka, V. The impacts of greenery on urban climate and the options for use of thermal data in urban areas. Prog. Plan. 2022, 159, 100545. [Google Scholar] [CrossRef]
- Du, S.; Xiong, Z.; Wang, Y.C.; Guo, L. Quantifying the multilevel effects of landscape composition and configuration on land surface temperature. Remote Sens. Environ. 2016, 178, 84–92. [Google Scholar] [CrossRef]
- Connors, J.P.; Galletti, C.S.; Chow, W.T.L. Landscape configuration and urban heat island effects: Assessing the relationship between landscape characteristics and land surface temperature in Phoenix, Arizona. Landsc. Ecol. 2013, 28, 271–283. [Google Scholar] [CrossRef]
- Harlan, S.L.; Brazel, A.J.; Prashad, L.; Stefanov, W.L.; Larsen, L. Neighborhood microclimates and vulnerability to heat stress. Soc. Sci. Med. 2006, 63, 2847–2863. [Google Scholar] [CrossRef]
- Zelinka, V.; Zacharová, J.; Skaloš, J. Analysis of spatiotemporal changes of agricultural land after the Second World War in Czechia. Sci. Rep. 2021, 11, 12655. [Google Scholar] [CrossRef] [PubMed]
- Bičík, I.; Kupková, L.; Jeleček, L.; Kabrda, J.; Štych, P.; Janoušek, Z.; Winklerová, J. Land Use Changes in the Czech Republic 1845–2010: Socio-Economic Driving Forces; Springer Geography; Springer: Cham, Switzerland, 2015. [Google Scholar]
- Sklenička, P.; Šímová, P.; Hrdinová, K.; Šálek, M. Changing rural landscapes along the border of Austria and the Czech Republic between 1952 and 2009: Roles of political, socioeconomic and environmental factors. Appl. Geogr. 2014, 47, 89–98. [Google Scholar] [CrossRef]
- Rašín, R.; Chromỳ, P. Land use and land cover development along the Czech-Austrian boundary. In Land Use/Cover Changes in Selected Regions in the World; Bičík, I., Himiyama, Y., Feranec, J., Eds.; Institute of Geography, Hokkaido University of Education: Asahikawa, Japan, 2010; Volume 5, pp. 57–65. [Google Scholar]
- Grešlová, P.; Gingrich, S.; Krausmann, F.; Chromý, P.; Jančák, V. Social metabolism of Czech agriculture in the period 1830–2010. AUC Geogr. 2015, 50, 23–35. [Google Scholar] [CrossRef][Green Version]
- Kupková, L.; Bičík, I.; Najman, J. Land cover changes along the iron curtain 1990–2006. Geografie 2013, 118, 95–115. [Google Scholar] [CrossRef]
- Pokorný, J. Dissipation of solar energy in landscape—Controlled by management of water and vegetation. Renew. Energy 2001, 24, 641–645. [Google Scholar] [CrossRef]
- Pokorný, J.; Brom, J.; Čermák, J.; Hesslerová, P.; Huryna, H.; Nadezhdina, N.; Rejšková, A. Solar energy dissipation and temperature control by water and plants. Int. J. Water 2010, 5, 311–336. [Google Scholar] [CrossRef]
- Huryna, H.; Pokorný, J. The role of water and vegetation in the distribution of solar energy and local climate: A review. Folia Geobot. 2016, 51, 191–208. [Google Scholar] [CrossRef]
- Belda, M.; Holtanová, E.; Halenka, T.; Kalvová, J. Climate classification revisited: From Köppen to Trewartha. Clim. Res. 2014, 59, 1–13. [Google Scholar] [CrossRef]
- Czech Hydrometeorological Institute. Portál ČHMÚ: Historická Data: Počasí: Základní Informace (Czech Hydrometeorological Institute Portal: Historical Data: Weather: Basic Information). Available online: https://www.chmi.cz/historicka-data/pocasi/zakladni-informace (accessed on 24 September 2024).
- INSPIRE. INSPIRE Geoportal Österreich. Available online: https://geometadatensuche.inspire.gv.at/metadatensuche/inspire/eng/catalog.search#/home (accessed on 24 September 2024).
- Ministry of Agriculture of the Czech Republic. Veřejný Export Dat LPIS. Available online: https://mze.gov.cz/public/portal/mze/farmar/LPIS/uzivatelske-prirucky/prirucky-pro-verejny-lpis/export-dat-lpis (accessed on 24 September 2024).
- Bosch, M. PyLandStats: An open-source Pythonic library to compute landscape metrics. PLoS ONE 2019, 14, e0225734. [Google Scholar] [CrossRef]
- McGarigal, K.; Cushman, S.; Ene, E. FRAGSTATS v4: Spatial Pattern Analysis Program for Categorical Maps. Computer Software Program Produced by the Authors. Available online: https://www.fragstats.org/ (accessed on 24 September 2024).
- Meteostat. The Meteostat JSON API. Available online: https://rapidapi.com/meteostat/api/meteostat (accessed on 24 September 2024).
- Hofierka, J.; Suri, M. The solar radiation model for Open source GIS: Implementation and applications. In Proceedings of the Open Source GIS-GRASS Users Conference, Trento, Italy, 11–13 September 2002; Volume 2002, pp. 51–70. [Google Scholar]
- Caha, J. QGIS Algorithm—R.Sun.Incidout—Grass_R_SUN_Incidout. Available online: https://jancaha.github.io/r_package_qgis/reference/grass_r_sun_incidout.html (accessed on 24 September 2024).
- Earth Resources Observation and Science (EROS) Center. Landsat 8–9 Operational Land Imager/Thermal Infrared Sensor Level-2, Collection 2. 2013. Available online: https://www.usgs.gov/centers/eros/science/usgs-eros-archive-landsat-archives-landsat-8-9-olitirs-collection-2-level-2 (accessed on 10 March 2024).
- Farr, T.G.; Rosen, P.A.; Caro, E.; Crippen, R.; Duren, R.; Hensley, S.; Kobrick, M.; Paller, M.; Rodriguez, E.; Roth, L.; et al. The Shuttle Radar Topography Mission. Rev. Geophys. 2007, 45, 2005RG000183. [Google Scholar] [CrossRef]
- Qiu, S.; Zhu, Z.; He, B. Fmask 4.0: Improved cloud and cloud shadow detection in Landsats 4–8 and Sentinel-2 imagery. Remote Sens. Environ. 2019, 231, 111205. [Google Scholar] [CrossRef]
- Zhu, Z.; Wang, S.; Woodcock, C.E. Improvement and expansion of the Fmask algorithm: Cloud, cloud shadow, and snow detection for Landsats 4–7, 8, and Sentinel 2 images. Remote Sens. Environ. 2015, 159, 269–277. [Google Scholar] [CrossRef]
- Tucker, C.J. Red and photographic infrared linear combinations for monitoring vegetation. Remote Sens. Environ. 1979, 8, 127–150. [Google Scholar] [CrossRef]
- Swoish, M.; Da Cunha Leme Filho, J.F.; Reiter, M.S.; Campbell, J.B.; Thomason, W.E. Comparing satellites and vegetation indices for cover crop biomass estimation. Comput. Electron. Agric. 2022, 196, 106900. [Google Scholar] [CrossRef]
- Gitelson, A.A. Wide Dynamic Range Vegetation Index for Remote Quantification of Biophysical Characteristics of Vegetation. J. Plant Physiol. 2004, 161, 165–173. [Google Scholar] [CrossRef]
- Turner, D.P.; Cohen, W.B.; Kennedy, R.E.; Fassnacht, K.S.; Briggs, J.M. Relationships between Leaf Area Index and Landsat TM Spectral Vegetation Indices across Three Temperate Zone Sites. Remote Sens. Environ. 1999, 70, 52–68. [Google Scholar] [CrossRef]
- Carrasco-Benavides, M.; Ortega-Farías, S.; Lagos, L.; Kleissl, J.; Morales-Salinas, L.; Kilic, A. Parameterization of the Satellite-Based Model (METRIC) for the Estimation of Instantaneous Surface Energy Balance Components over a Drip-Irrigated Vineyard. Remote Sens. 2014, 6, 11342–11371. [Google Scholar] [CrossRef]
- Hammerle, A.; Haslwanter, A.; Tappeiner, U.; Cernusca, A.; Wohlfahrt, G. Leaf area controls on energy partitioning of a temperate mountain grassland. Biogeosciences 2008, 5, 421–431. [Google Scholar] [CrossRef] [PubMed]
- Maltese, A.; Cannarozzo, M.; Capodici, F.; La Loggia, G.; Santangelo, T. A sensitivity analysis of a surface energy balance model to LAI (Leaf Area Index). In Proceedings of the Remote Sensing for Agriculture, Ecosystems, and Hydrology X, Cardiff, Wales, UK, 2 October 2008; p. 71040K. [Google Scholar] [CrossRef]
- Jin, S.; Sader, S. Comparison of time series tasseled cap wetness and the normalized difference moisture index in detecting forest disturbances. Remote Sens. Environ. 2005, 94, 364–372. [Google Scholar] [CrossRef]
- Liang, S. Narrowband to broadband conversions of land surface albedo I. Remote Sens. Environ. 2001, 76, 213–238. [Google Scholar] [CrossRef]
- Liang, S.; Shuey, C.J.; Russ, A.L.; Fang, H.; Chen, M.; Walthall, C.L.; Daughtry, C.S.; Hunt, R. Narrowband to broadband conversions of land surface albedo: II. Validation. Remote Sens. Environ. 2003, 84, 25–41. [Google Scholar] [CrossRef]
- Tasumi, M.; Allen, R.G.; Trezza, R. At-Surface Reflectance and Albedo from Satellite for Operational Calculation of Land Surface Energy Balance. Int. J. Hydrogen Energy 2008, 13, 51–63. [Google Scholar] [CrossRef]
- Olmedo, G.F.; Ortega-Farías, S.; de la Fuente-Sáiz, D.; Fonseca-Luego, D.; Fuentes-Peñailillo, F. water: Tools and Functions to Estimate Actual Evapotranspiration Using Land Surface Energy Balance Models in R. R J. 2016, 8, 352–369. [Google Scholar] [CrossRef]
- Bowen, I. The Ratio of Heat Losses by Conduction and by Evaporation from any Water Surface. Phys. Rev. 1926, 27, 779–787. [Google Scholar] [CrossRef]
- Suleiman, A.; Crago, R. Hourly and Daytime Evapotranspiration from Grassland Using Radiometric Surface Temperatures. Agron. J. 2004, 96, 384–390. [Google Scholar] [CrossRef]
- Brom, J. SEBCS for QGIS—Module for Calculation of Energy Balance Features and Vegetation Water Stress Indices; University of South Bohemia: České Budějovice, Czech Republic, 2021. [Google Scholar]
- Bastiaanssen, W.; Menenti, M.; Feddes, R.; Holtslag, A. A remote sensing surface energy balance algorithm for land (SEBAL). 1. Formulation. J. Hydrol. 1998, 212–213, 198–212. [Google Scholar] [CrossRef]
- Searle, S.R.; Speed, F.M.; Milliken, G.A. Population Marginal Means in the Linear Model: An Alternative to Least Squares Means. Am. Stat. 1980, 34, 216–221. [Google Scholar] [CrossRef]
- Kenward, M.G.; Roger, J.H. An improved approximation to the precision of fixed effects from restricted maximum likelihood. Comput. Stat. Data Anal. 2009, 53, 2583–2595. [Google Scholar] [CrossRef]
- Brom, J.; Nedbal, V.; Procházka, J.; Pecharová, E. Changes in vegetation cover, moisture properties and surface temperature of a brown coal dump from 1984 to 2009 using satellite data analysis. Ecol. Eng. 2012, 43, 45–52. [Google Scholar] [CrossRef]
- R Core Team. R: A Language and Environment for Statistical Computing; R Foundation for Statistical Computing: Vienna, Austria, 2024. [Google Scholar]
- Bates, D.; Mächler, M.; Bolker, B.; Walker, S. Fitting Linear Mixed-Effects Models Using lme4. J. Stat. Softw. 2015, 67, 1–48. [Google Scholar] [CrossRef]
- Lenth, R.V. Emmeans: Estimated Marginal Means, aka Least-Squares Means, 2024. R Package Version 1.10.5. Available online: https://rvlenth.github.io/emmeans/ (accessed on 24 September 2024).
- Fox, J.; Weisberg, S. An R Companion to Applied Regression, 3rd ed.; Sage: Thousand Oaks, CA, USA, 2019. [Google Scholar]
- Klug, H.; Gottsmann, F.; Heredia, M. Transboundary landscape structure to determine the environmental situation of traditional land-use activities in Austria and Czech Republic. In Proceedings of the 10th International Conference on Information & Communication Technologies (ICT) in Urban Planning and Spatial Development and Impacts of ICT on Physical Space, Vienna, Austria, 22–25 February 2005; pp. 201–206. [Google Scholar]
- EUROSTAT. Farms and farmlands in the European Union—Statistics. In Statistics Explained; EUROSTAT: Luxembourg, 2022; pp. 1–9. [Google Scholar]
- Ministry of Agriculture of the Czech Republic. Facts and Data. Available online: https://mze.gov.cz/public/portal/mze/en/about-ministry/facts-and-data (accessed on 24 September 2024).
- Peyr, S. Farm Structure Survey 2020: Agricultural and Forestry Holdings Increased in Size; Press Release: 12.853-151/22; Statistics: Vienna, Austria, 2022; pp. 1–2. [Google Scholar]
- Al-Amin, A.K.M.A.; Lowenberg-DeBoer, J.; Franklin, K.; Behrendt, K. Economics of field size and shape for autonomous crop machines. Precis. Agric. 2023, 24, 1738–1765. [Google Scholar] [CrossRef] [PubMed]
- Brunotte, J.; Fröba, N. Schlaggestaltung—Kostensenkend und Bodenschonend; Number 460 in KTBL-Schrift; KTBL, Kuratorium für Technik und Bauwesen in der Landwirtschaft: Darmstadt, Germany, 2007. [Google Scholar]
- Schai-Braun, S.C.; Ruf, T.; Klansek, E.; Arnold, W.; Hackländer, K. Positive effects of set-asides on European hare (Lepus europaeus) populations: Leverets benefit from an enhanced survival rate. Biol. Conserv. 2020, 244, 108518. [Google Scholar] [CrossRef]
- Smith, R.K.; Vaughan Jennings, N.; Harris, S. A quantitative analysis of the abundance and demography of European hares Lepus europaeus in relation to habitat type, intensity of agriculture and climate. Mammal Rev. 2005, 35, 1–24. [Google Scholar] [CrossRef]
- Reif, J.; Gamero, A.; Hološková, A.; Aunins, A.; Chodkiewicz, T.; Hristov, I.; Kurlavičius, P.; Leivits, M.; Szép, T.; Voříšek, P. Accelerated farmland bird population declines in European countries after their recent EU accession. Sci. Total Environ. 2024, 946, 174281. [Google Scholar] [CrossRef] [PubMed]
- Šálek, M.; Kalinová, K.; Daňková, R.; Grill, S.; Żmihorski, M. Reduced diversity of farmland birds in homogenized agricultural landscape: A cross-border comparison over the former Iron Curtain. Agric. Ecosyst. Environ. 2021, 321, 107628. [Google Scholar] [CrossRef]
- Ševčík, R.; Krivopalova, A.; Cukor, J. Přímý vliv struktury zemědělské krajiny na výměru domovských okrsků zajíce polního: Předběžné výsledky z České republiky. Zprávy Lesnického Výzkumu 2023, 68, 159–167. [Google Scholar] [CrossRef]
- Ripl, W.; Eiseltová, M. Sustainable land management by restoration of short water cycles and prevention of irreversible matter losses from topsoils. Plant Soil Environ. 2009, 55, 404–410. [Google Scholar] [CrossRef]
- Hesslerová, P.; Pokorný, J.; Brom, J.; Rejšková-Procházková, A. Daily dynamics of radiation surface temperature of different land cover types in a temperate cultural landscape: Consequences for the local climate. Ecol. Eng. 2013, 54, 145–154. [Google Scholar] [CrossRef]
- Makarieva, A.M.; Gorshkov, V.G.; Li, B.L. Conservation of water cycle on land via restoration of natural closed-canopy forests: Implications for regional landscape planning. Ecol. Res. 2006, 21, 897–906. [Google Scholar] [CrossRef]
- Wang, Q.; Guo, J. Rainfall interception loss as a function of leaf area index and rainfall by soybean. Theor. Appl. Climatol. 2024, 155, 289–297. [Google Scholar] [CrossRef]
- Procházka, J.; Brom, J.; Št’astný, J.; Pecharová, E. The impact of vegetation cover on temperature and humidity properties in the reclaimed area of a brown coal dump. Int. J. Min. Reclam. Environ. 2011, 25, 350–366. [Google Scholar] [CrossRef]
- Brom, J.; Pokorný, J. Temperature and humidity characteristics of two willow stands, a peaty meadow and a drained pasture and their impact on landscape functioning. Boreal Environ. Res. 2009, 14, 389–403. [Google Scholar]
- STATISTICS AUSTRIA. Arable Land, Permanent Grassland. Available online: https://www.statistik.at/en/statistics/agriculture-and-forestry/crop-production-and-farming/arable-land-permanent-grassland (accessed on 24 September 2024).
- Czech Statistical Office. Agriculture. Available online: https://csu.gov.cz/agriculture (accessed on 24 September 2024).
- Mahfouf, J.F.; Richard, E.; Mascart, P. The Influence of Soil and Vegetation on the Development of Mesoscale Circulations. J. Clim. Appl. Meteorol. 1987, 26, 1483–1495. [Google Scholar] [CrossRef]
- McPherson, R.A. A review of vegetation-atmosphere interactions and their influences on mesoscale phenomena. Prog. Phys. Geogr. 2007, 31, 261–285. [Google Scholar] [CrossRef]
- Piao, S.; Friedlingstein, P.; Ciais, P.; de Noblet-Ducoudre, N.; Labat, D.; Zaehle, S. Changes in climate and land use have a larger direct impact than rising CO2 on global river runoff trends. Proc. Natl. Acad. Sci. USA 2007, 104, 15242–15247. [Google Scholar] [CrossRef] [PubMed]
- Makarieva, A.M.; Gorshkov, V.G. The Biotic Pump: Condensation, atmospheric dynamics and climate. Int. J. Water 2010, 5, 365. [Google Scholar] [CrossRef]
- Scheffer, M.; Holmgren, M.; Brovkin, V.; Claussen, M. Synergy between small- and large-scale feedbacks of vegetation on the water cycle. Glob. Chang. Biol. 2005, 11, 1003–1012. [Google Scholar] [CrossRef]
- Weaver, C.P.; Avissar, R. Atmospheric Disturbances Caused by Human Modification of the Landscape. Bull. Am. Meteorol. Soc. 2001, 82, 269–281. [Google Scholar] [CrossRef]
- Pielke, R.A.; Adegoke, J.; Beltrán-Przekurat, A.; Hiemstra, C.A.; Lin, J.; Nair, U.S.; Niyogi, D.; Nobis, T.E. An overview of regional land-use and land-cover impacts on rainfall. Tellus B 2007, 59, 587–601. [Google Scholar] [CrossRef]
- Groisman, P.Y.; Knight, R.W.; Karl, T.R. Changes in Intense Precipitation over the Central United States. J. Hydrometeorol. 2012, 13, 47–66. [Google Scholar] [CrossRef]
- Procházka, J.; Brom, J.; Pechar, L.; Štíchová, J.; Pokorný, J. Changes in concentrations of dissolved solids in precipitation and discharged water from drained pasture, natural wetland and spruce forest during 1999–2006 in Šumava Mountains, Czech Republic. In Wastewater Treatment, Plant Dynamics and Management in Constructed and Natural Wetlands; Vymazal, J., Ed.; Springer: Dordrecht, The Netherlands, 2008; pp. 39–51. [Google Scholar]
- Menzel, A.; Sparks, T. Temperature and plant development: Phenology and seasonality. In Plant Growth and Climate Change; Morison, J.I.L., Morecroft, M.D., Eds.; Biological Sciences Series (Oxford, England); Blackwell Publishing: Oxford, UK; Ames, IA, USA, 2006; pp. 70–95. [Google Scholar]
- Jackson, R.B.; Randerson, J.T.; Canadell, J.G.; Anderson, R.G.; Avissar, R.; Baldocchi, D.D.; Bonan, G.B.; Caldeira, K.; Diffenbaugh, N.S.; Field, C.B.; et al. Protecting climate with forests. Environ. Res. Lett. 2008, 3, 044006. [Google Scholar] [CrossRef]
- Zahradníček, P.; Brázdil, R.; Štěpánek, P.; Trnka, M. Reflections of global warming in trends of temperature characteristics in the Czech Republic, 1961–2019. Int. J. Climatol. 2021, 41, 1211–1229. [Google Scholar] [CrossRef]
- Mužíková, B.; Vlček, V.; Středa, T. Tendencies of climatic extremes occurrence in different Moravian regions and landscape types. Acta Univ. Agric. Silvic. Mendel. Brun. 2011, 59, 169–178. [Google Scholar] [CrossRef]
- Potop, V.; Türkott, L.; Kožnarová, V.; Možný, M. Drought episodes in the Czech Republic and their potential effects in agriculture. Theor. Appl. Climatol. 2010, 99, 373–388. [Google Scholar] [CrossRef][Green Version]
- Brázdil, R.; Trnka, M.; Dobrovolný, P.; Chromá, K.; Hlavinka, P.; Žalud, Z. Variability of droughts in the Czech Republic, 1881–2006. Theor. Appl. Climatol. 2009, 97, 297–315. [Google Scholar] [CrossRef]
- Kiprotich, P.; Wei, X.; Zhang, Z.; Ngigi, T.; Qiu, F.; Wang, L. Assessing the Impact of Land Use and Climate Change on Surface Runoff Response Using Gridded Observations and SWAT+. Hydrology 2021, 8, 48. [Google Scholar] [CrossRef]
- Marland, G. The climatic impacts of land surface change and carbon management, and the implications for climate-change mitigation policy. Clim. Policy 2003, 3, 149–157. [Google Scholar] [CrossRef]
Disclaimer/Publisher’s Note: The statements, opinions and data contained in all publications are solely those of the individual author(s) and contributor(s) and not of MDPI and/or the editor(s). MDPI and/or the editor(s) disclaim responsibility for any injury to people or property resulting from any ideas, methods, instructions or products referred to in the content. |
© 2024 by the authors. Licensee MDPI, Basel, Switzerland. This article is an open access article distributed under the terms and conditions of the Creative Commons Attribution (CC BY) license (https://creativecommons.org/licenses/by/4.0/).




