Next Article in Journal
Atmospheric Turbulence Intensity Image Acquisition Method Based on Convolutional Neural Network
Next Article in Special Issue
Direction-of-Arrival Estimation Based on Variational Bayesian Inference Under Model Errors
Previous Article in Journal
Effect of the Outer Pipe on Reducing Direct Coupling of the Thin Borehole Radar Probe in Thick Water-Filled Borehole
Previous Article in Special Issue
Deterministic Sea Wave Reconstruction and Prediction Based on Coherent S-Band Radar Using Condition Number Regularized Least Squares
 
 
Font Type:
Arial Georgia Verdana
Font Size:
Aa Aa Aa
Line Spacing:
Column Width:
Background:
Article

Prediction of Full-Frequency Deep-Sea Noise Based on Sea Surface Wind Speed and Real-Time Noise Data

1
Key Laboratory of Underwater Acoustic Environment, Chinese Academy of Sciences, No. 21 North 4th Ring Road, Haidian District, Beijing 100084, China
2
Institute of Acoustics, Chinese Academy of Sciences, 21 North 4th Ring Road, Haidian District, Beijing 100084, China
3
University of Chinese Academy of Sciences, 1 Yanqihu East Rd, Huairou District, Beijing 101408, China
4
China State Shipbuilding Corporation Systems Engineering Research Institute, 1st Fengxian East Road, Haidian District, Beijing 100094, China
*
Author to whom correspondence should be addressed.
Remote Sens. 2025, 17(1), 101; https://doi.org/10.3390/rs17010101
Submission received: 1 November 2024 / Revised: 17 December 2024 / Accepted: 26 December 2024 / Published: 30 December 2024

Abstract

The prediction of ocean ambient noise is crucial for protecting the marine ecosystem and ensuring communication and navigation safety, especially under extreme weather conditions such as typhoons and strong winds. Ocean ambient noise is primarily caused by ship activities, wind waves, and other factors, and its complexity makes it a significant challenge to effectively utilize limited data to observe future changes in noise energy. To address this issue, we have designed a multi-modal linear model based on a “decomposition-prediction-modal trend fusion-total fusion” framework. This model simultaneously decomposes wind speed data and ocean ambient noise data into trend and residual components, enabling the wind speed information to effectively extract key trend features of ocean ambient noise. Compared to polynomial fitting methods, single-modal models, and LSTM multi-modal models, the average error of the relative sound pressure level was reduced by 1.3 dB, 0.5 dB, and 0.3 dB, respectively. Our approach demonstrates significant improvements in predicting future trends and detailed fittings of the data.

1. Introduction

The prediction of ocean ambient noise typically refers to using observed data to forecast future changes in ocean ambient noise [1]. Accurately understanding the future changes in ocean ambient noise is of great significance to underwater acoustic detection [2], underwater acoustic communication [3], marine biodiversity conservation [4], and other related fields. Traditional prediction of ocean ambient noise relies on the inversion of sea surface wind speed since the sea surface wind speed has a significant impact on ocean ambient noise in the frequency range of 500–20 kHz [5]. However, there is low correlation between low-frequency noise and wind speed, making it difficult to accurately invert low-frequency noise through sea surface wind speed. In addition, traditional methods are easily affected by data noise, and the fitting effect of data is poor when the data time interval is large.
To address these issues, it is necessary to explore new methods and technologies to predict full-frequency noise in the marine environment. In recent years, some research institutions and scholars have used meteorological and oceanographic observation data, numerical simulation methods, and machine learning algorithms to improve the accuracy of ocean ambient noise prediction [6]. These methods can take into account the influence of factors, such as wind speed, marine environment, and human activities, to accurately predict the future changes in ocean ambient noise. By improving the prediction methods for ocean ambient noise, it is possible to enhance the understanding and assessment of ocean ambient noise, providing support for the safety and efficiency of maritime activities, and providing decision-making basis for the development and protection of marine resources. In addition, the new prediction methods can also provide more accurate data and information for ocean scientific research and the planning of marine engineering projects [7].
In traditional prediction methods [8], often only a single variable and time are taken into account. However, time is often an explanatory factor rather than a causal factor. Time is just a superficial factor that happens to occur at a certain moment. Predictive data often need to consider other influencing factors. Therefore, multi-modal input can effectively capture more causal factors, and modeling multi-modal input can simultaneously include both causal and superficial factors.
The rapid development of deep learning has provided new insights for marine acoustics research. Some researchers have improved residual shrinkage networks for spatiotemporal wind speed prediction [9], while others have employed deep neural networks for hourly sea surface temperature forecasting [10]. Additionally, some scholars have proposed ML-based models for wind speed prediction [11], all of which provide us with new insights.
In this paper, we propose a LTSF-Linear mm (multi-modal long time series forecasting linear) model based on a decomposition-prediction-modal trend fusion-total fusion architecture. Compared to LTSF-Linear sm (single-modal long time series forecasting linear) models, LSTM-sm (single-modal) models, and LSTM-mm (multi-modal) models, our model achieves significant improvements in predictive performance. We decompose wind speed data and ocean ambient noise data into trend components and residual components, and then input these decomposed data into the linear model to obtain prediction results. This approach effectively utilizes the trend information provided by wind speed data and the noise energy information reflected by noise data, thereby enhancing the predictive capability of the model.

2. Theoretical Basis

Ocean ambient noise is primarily influenced by the activities of ships and the surface weather conditions. In the frequency range of 5–20 kHz, surface weather conditions, particularly wind speed, are one of the main contributing factors [12]. With changes in surface weather conditions, underwater environmental noise also fluctuates. Considering only the environmental noise generated by wind and waves, the noise source is assumed to be evenly distributed at a depth of 10 m. Therefore, the environmental noise at a receiving point is the summation of all noise sources within the region. In order to analyze the impact of wind and waves on the environmental noise received at different distance ranges from the seabed, the noise source can be approximated as being at a distance of r , a circular source with a width of Δ r , and the area can be approximated as 2 π r Δ r . Based on a propagation distance of 1 km, calculated with the receiving point as the center, the sound field is generated by surface sources within a radius range of r from the receiving point. Figure 1 illustrates how to measure environmental noise.
N = N 1 + N 2 + N 3
In Equation (1), N represents ocean ambient noise, N 1 represents wind-generated noise, N 2 represents ship noise, and N 3 represents other types of noise.
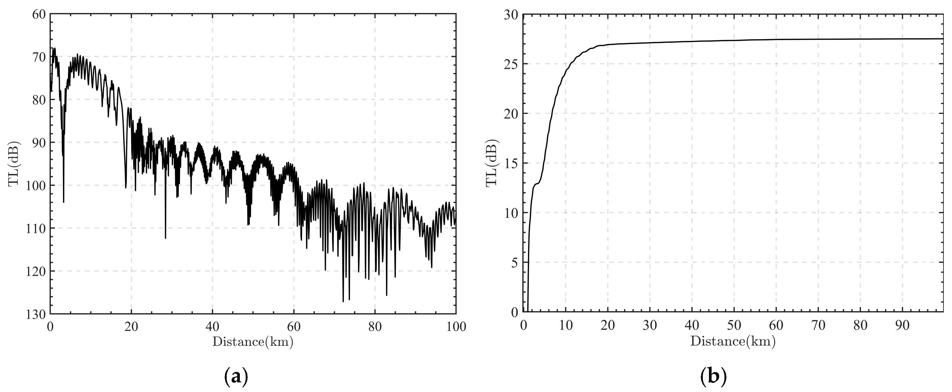
The activity of ships in the frequency range of 20 Hz–1 kHz is the main influencing factor. For the propagation form of point sources, which is the noise of ships on the sea surface. For distributed sources on the sea surface, the noise field received at a depth of 4000 m is mainly determined by noise sources within 100 km. The difference in Transmission loss caused by distributed noise sources within the range of 20 km and 30 km is only 0.19 dB. However, as ships approach and move away, environmental noise also changes over time. The transmission loss with a source depth of 10 m and a receiver depth of 4000 m is shown in Figure 2.
The purpose of predicting ocean environmental noise is to learn orderly patterns from disorderly environmental noise data. However, environmental noise data is only a superficial factor. Other causal factors, such as wind speed data, need to be considered. Ship noise and wind-generated noise are significant components of ocean ambient noise. The average ocean ambient noise over a period is related not only to the wind speed during the same period but also to the observed ocean ambient noise. This paper proposes using a deep learning model to separately extract spatial and temporal features from ocean noise and wind speed data, thereby forming an integrated multi-modal prediction model that achieves a better understanding of the evolution of ocean ambient noise and wind speed. This approach aims to improve the accuracy of the model’s predictions. Figure 3 and Figure 4 illustrate the workflow for single-mode and multi-mode predictions.

2.1. Polynomial Fitting for Predicting Ocean Ambient Noise

Polynomial fitting is a commonly used method for predicting ocean ambient noise. By expanding the polynomial to fit the observed data, polynomial coefficients can be obtained to predict future changes. For all frequency noise, the data of the previous 364 h are fitted by polynomial fitting [13].
y = a 0 + a 1 x + a 2 x 2 + a 3 x 3 + a 4 x 4
In the equation, x represents the surface wind speed, and y represents the relative sound pressure level of ocean ambient noise data. The parameters a 0 , a 1 , a 2 , a 3 , and a 4 are the polynomial parameters to be fitted.

2.2. Prediction of Ocean Ambient Noise Based on LSTM Model

The LSTM model [14] can capture long-term dependencies in sequential data better through its gating mechanism. This mechanism improves sensitivity to temporal information and can learn patterns and features in time series data.

2.3. Ocean Ambient Noise Based on the LTSF-Linear Model

In time series data, time series data not only contain the correlation information between multiple variables, but also carry a lot of information, such as seasonality, cyclicity, trend, autocorrelation, etc. Given that the collection time of time series data is relatively short and cannot form a complete cycle or season, the method of improving the prediction accuracy can be extended from focusing on the correlation information between multiple variables to capturing the trend information of the time series data while focusing on the correlation information between multiple variables. The so-called trend information is essentially closer to the various derivatives of the sequence. With known several derivatives of the system, the prediction can be performed using the Taylor expansion:
y ( t + h ) y ( t ) + y ( t ) h + 1 2 y ( t ) h 2
Approximately,
y ( t ) y ( t ) y ( t h ) h
y ( t ) y ( t ) y ( t h ) h y ( t ) 2 y ( t h ) + y ( t 2 h ) h 2
Substituting it into Equation (3), we obtain the following:
y ( t + h ) y ( t ) + y ( t ) y ( t h ) h h + 1 2 y ( t ) 2 y ( t h ) + y ( t 2 h ) h 2 h 2                             = 5 2 y ( t ) 2 y ( t h ) + 1 2 y ( t 2 h )
It can be seen that the predicted value is a weighted sum of the historical values of the sequence. In numerical calculations, the differentiation of variables can be approximated as a linear combination of historical values. Therefore, LTSF-Linear [15] enhances the accuracy of single-modal sequence prediction by decomposing the data into trend and residual components, employing a processing framework of decomposition-prediction-fusion. Figure 5 shows the decomposition process. Based on the physical relationship between noise and wind speed, wind speed contributes significantly to the main trend component of noise. Building on this, the single-modal model is extended to a multi-modal prediction framework, utilizing a structure of decomposition-prediction-modal trend fusion-total fusion, which further improves the effectiveness of multi-modal sequence prediction.
LTSF-Linear directly regresses the historical time series to predict the future through a weighted sum operation.
X ^ i = W X i
In the equation, W R T × L is the linear layer along the time axis. X ^ i and X i are the predicted values and input values for the i-th variable. At the same time, the model draws on the decomposition idea of ARIMA, decomposes the original time series data (sea surface wind speed, ocean ambient noise) into trend and residual terms, and, after passing through a fully connected layer, finally sums them up to obtain the prediction results.

3. Experiment Data and Analysis

In the deep sea, sound waves propagate more easily over long distances, and the environmental noise data received from the depths can cover a broader geographic area. Additionally, due to the stable sound speed profile in the deep sea and the relatively low absorption loss of environmental noise during propagation, as shown in Figure 6, the environmental noise data we selected are from deep-sea recordings at significant depths. Below, we will provide a detailed introduction to the data used in this experiment.

3.1. Experiment Introduction

The data analyzed in this study were collected from 1 October to 20 October 2021, and pertain to ocean ambient noise. The measurement site is located in a region of the northern South China Sea at a depth of approximately 4100 m. As shown in Figure 7, the blue line represents the typhoon track. The hydrophone used for measuring ambient noise was anchored and fixed at a depth of about 4000 m, with a sensitivity of −170 dB and a sampling rate of 20 kHz. Wind speed data during the measurement period are shown in Figure 8. During the 20-day period, three strong wind events occurred, with maximum wind speeds exceeding 20 m per second. Specifically, on 11 and 12 October, the area was affected by the periphery of Typhoon “Kompasu” in 2021, with maximum wind speeds exceeding 20 m per second.

3.2. Analysis of Long-Term Fluctuations in Deep-Sea Environmental Noise Data

In order to analyze the long-term variations of environmental noise at different frequencies, a Short-Time Fourier Transform (STFT) analysis was conducted on the relative sound pressure levels in the frequency range of 5–10 kHz. The STFT had a time window length of 10 s, and an energy average was calculated every ten minutes as a sample point. The frequency points for the analysis were calculated according to a one-third-octave frequency band scheme. The calculated frequency points are as follows: 5 Hz, 6.3 Hz, 8 Hz, 10.1 Hz, 12.7 Hz, 16 Hz, 20.2 Hz, 25.4 Hz, 32 Hz, 40.3 Hz, 50.8 Hz, 64 Hz, 80.6 Hz, 101.6 Hz, 128 Hz, 161.3 Hz, 203.2 Hz, 256 Hz, 322.5 Hz, 406.4 Hz, 512 Hz, 645.1 Hz, 812.7 Hz, 1024 Hz, 1290.2 Hz, 1625.5 Hz, 2048 Hz, 2580.3 Hz, 3251 Hz, 4096 Hz, 5160.6 Hz, 6502 Hz, 8192 Hz, and 10,321.3 Hz. The calculated results were then subtracted by the average value of all the data to obtain the relative sound pressure levels of the ocean environmental noise. In this study, the relative sound pressure levels were analyzed to examine the variations of ocean environmental noise.
Figure 9 is a pseudo-color plot of the different frequency components of ocean environment noise level over time. From the figure, it can be observed that the fluctuations in relative sound pressure levels of ocean ambient noise differ between the high-frequency and low-frequency ranges, with a boundary at around 100 Hz. In the frequency range of 10–100 Hz, the relative sound pressure levels of ocean ambient noise experience a significant decrease during the period from the 11th to the 12th of October, which aligns with the influence of the typhoon. In the frequency range of 100 Hz to 10 kHz, the relative sound pressure levels of ocean ambient noise are lower than the average during the periods from the 1st to the 2nd, 6th to the 8th, and 12th to the 13th of October. However, during the 11th and 12th of October, the relative sound pressure levels are notably higher than the average. The variations in ocean ambient noise in the 100 Hz to 10 kHz frequency range correlate with the changes in wind speed in the area.
Figure 10 shows the variation of the relative sound pressure level of ocean ambient noise at frequencies of 40.3 Hz, 64 Hz, 80.6 Hz, 101.6 Hz, 203.2 Hz, 406.4 Hz, 1024 Hz, and 5160.6 Hz over time. Due to the influence of the typhoon, the relative sound pressure levels of environmental noise at a frequency of 64 Hz experienced a maximum decrease of 15 dB during the passage of the typhoon. The relative sound pressure levels of ocean ambient noise at a frequency of 203.2 Hz show no clear overall trend during both high wind events and typhoon events. For the frequency of 5160.6 Hz, these relative sound pressure levels of environmental noise increase with increasing wind speed. During this period, the fluctuations in relative sound pressure levels exceed 20 dB.
Figure 11 illustrates the correlation curve between wind speed and environmental noise energy. We calculated the energy at frequency points in the range of 5–10 kHz with 1/3 octave bands and subsequently computed the correlation coefficients between these frequency points and wind speed. From the figure, it can be observed that in the frequency range of 5–10 Hz, as frequency increases, the correlation between surface wind speed and environmental noise changes from a negative correlation (0.03) to a negative correlation (−0.5). In the frequency range of 10–100 Hz, the correlation remains negative (−0.5) with little variation. In the frequency range of 100 Hz to 1 kHz, as frequency increases, the correlation transitions from a negative value (−0.5) to a positive correlation (0.8). In the frequency range of 1 kHz to 10 kHz, the correlation between surface wind speed and environmental noise remains predominantly positive (0.8) with minimal variation. This phenomenon may be explained by the fact that the low-frequency noise in the 10–100 Hz band is primarily contributed by ship noise. The negative correlation between surface wind speed and environmental noise may indicate that when wind speeds are higher, the number of ships in that area decreases. This change also suggests that low-frequency noise is influenced by the magnitude of surface wind speed, albeit indirectly. Figure 12 shows the normalized comparison of environmental noise at 80, 2031, 1024, and 4096 Hz and wind speed.

4. Comparison of Model Prediction Results

In the process of training the model, the first 70% of the data are divided into the training set, the portion from 70% to 80% as the validation set, and the last 20% as the test set. To this study, MSE (Mean Squared Error) and MAE (Mean Absolute Error) were used to evaluate the model’s performance.
M S E = 1 N i = 1 N ( y i y ^ i ) 2
M A E = 1 N i = 1 N | y i y ^ i |
The following presents the prediction results obtained from different models.
Figure 13 shows the predictions of environmental noise energy from hours 365 to 456 using a polynomial fitting method at frequencies of 80.6 Hz, 203.2 Hz, 1024 Hz, and 4096 Hz.
Figure 14 and Figure 15 show the performance of LSTM-sm (single-modal) model and LSTM-mm (multi-modal) model predictions for noise energy at frequencies of 80.6 Hz, 203.2 Hz, 1024 Hz, and 4096 Hz.
The prediction results show that the LSTM-mm prediction has more detailed presentation than the single-modal prediction and its trend is more consistent with the actual trend.
Figure 16 and Figure 17, respectively, show the LTSF-Linear-sm model prediction effect and LTSF-Linear-mm model prediction effect of noise energy at frequencies of 80.6 Hz, 203.2 Hz, 1024 Hz, and 4096 Hz.
The above results show that the LTSF-Linear-mm model outperforms other models in both trend prediction and detail fitting. This is primarily because environmental noise data are merely a superficial factor, while wind speed serves as a causal factor. The LTSF-Linear-mm model can integrate superficial factors with causal factors, allowing it to extract orderly patterns from seemingly chaotic data. Although the LSTM-mm model also utilizes both types of data simultaneously, it does not effectively decompose the data. In this context, wind speed data only act as a supplement to the ocean ambient noise data, failing to fully leverage the relationship between the two.
A correlation analysis was conducted between the predicted results and the actual data, as shown in Figure 18. As shown in the figure, the polynomial fitting method exhibited poor correlation in predicting the relative sound pressure level of noise compared to the measured data in the frequency range below 200 Hz, indicating its failure in the low-frequency band. In contrast, the other four methods maintained a high correlation between the predicted and measured noise results across the 5 Hz to 10 kHz frequency range, demonstrating the predictive methods’ capability to effectively model the temporal variability of environmental noise. By averaging the correlation coefficients within the 5 Hz to 10 kHz frequency band, the average correlation coefficients for the polynomial fitting, LSTM-sm, LSTM-mm, LTSF-sm, and LTSF-mm methods were found to be 0.31, 0.58, 0.77, 0.65, and 0.89, respectively. This indicates that the LTSF-mm method achieved the highest average correlation coefficient, confirming its effectiveness in predicting environmental noise.
Next, the top 25% of the sample of the maximum relative error point was extracted, and the Mean Squared Error (MSE) between the predicted results and the actual data was calculated to evaluate the model’s detail fitting capability. As shown in Figure 19, below 1024 Hz, the Mean Squared Error (MSE) of the polynomial fitting method is relatively large, indicating its weak capability for detail fitting and suboptimal performance in the mid–low frequency range. However, across the 5 Hz to 10 kHz frequency band, the predicted noise results exhibited a high degree of detail fitting with the measured results, suggesting that this predictive method effectively captures the nuances of the noise data. By averaging the MSE of the top 25% of data for the 5 Hz to 10 kHz frequency range, the average MSEs for the polynomial fitting, LSTM-sm, LSTM-mm, LTSF-sm, and LTSF-mm methods were found to be 9.96, 2.26, 1.90, 1.02, and 0.28, respectively. This indicates that the LTSF-mm model demonstrates exceptional performance in effectively predicting fluctuations in the data, further validating its efficacy in environmental noise prediction.
The reason for this phenomenon lies in the ability of the multi-modal model to leverage the trend information provided by wind speed data, thereby imposing some constraints on the trend prediction of the data itself. For low-frequency ocean ambient noise prediction, the trend changes of the single-modal model are generally similar to polynomial fitting results, primarily because it relies more on the inherent characteristics of the data. In contrast, the multi-modal model can provide a certain degree of trend features, allowing it to learn the trend patterns of the data more effectively when predicting low-frequency ocean ambient noise. This model can effectively extract both the spatial and temporal features of the noise and wind speed data, as well as capture the correlation information between the noise and wind speed data.
Moreover, since the LSTM-mm model does not decompose the data, it can only learn a limited number of trend features. On the other hand, the LTSF-Linear-mm model inputs decomposed wind speed data and ocean ambient noise data into the model, allowing the wind speed information to contribute significant trend features for the prediction of ocean ambient noise. Consequently, this leads to a marked improvement in the performance of the model for predicting ocean ambient noise across all frequency bands. Table 1 shows the predicted results of environmental noise at certain frequencies using the five methods.
In addressing the issue of ocean ambient noise prediction, a comparison of four methods—LSTM-sm, LSTM-mm, LTSF-Linear-sm, and LTSF-Linear-mm—reveals that, relative to the polynomial fitting method, the average errors are reduced by 0.72 dB, 1.07 dB, 0.78 dB, and 1.31 dB, respectively. When wind speed is negatively correlated with the energy of ocean ambient noise, the average errors are reduced by 0.65 dB, 0.91 dB, 0.68 dB, and 1.17 dB, respectively. In cases where the correlation between wind speed and ocean ambient noise energy is low (greater than 0 but less than 0.5), the average errors decrease by 0.48 dB, 0.98 dB, 0.42 dB, and 1.31 dB, respectively. Conversely, in scenarios where the correlation is high (greater than 0.5), the average errors are reduced by 0.81 dB, 1.23 dB, 0.92 dB, and 1.46 dB, respectively. Overall, these methods effectively reduce prediction errors under varying wind speed conditions, with particularly significant improvements observed when the correlation between wind speed and noise energy is high. These results indicate that the implementation of the “decomposition-prediction-modal trend fusion-total fusion” framework enables a more accurate capture of the characteristics and variations of ocean ambient noise. The overall result is shown in Figure 20.
Due to the way our dataset is partitioned, there exists a certain causal relationship between the training and testing data, which may lead to some degree of overfitting in the test results. To further validate our findings, we will use noise data measured in June 2020. The two measurement stations are located 350 km apart, and we will select noise data at four frequencies: 80.6 Hz, 203.2 Hz, 1024 Hz, and 4096 Hz. The verification results are shown in Table 2:
Based on the analysis of Figure 21, Figure 22, Figure 23 and Figure 24, the noise at 80.6 Hz exhibits a low correlation with wind speed; therefore, both LSTM models and the LTSF-Linear-sm model primarily rely on the inherent information from the data, resulting in relatively small prediction errors. In contrast, the LTSF-Linear-mm model considers the joint prediction of wind speed and noise data, leading to comparatively larger prediction errors. For the noise at 203.2 Hz, which is predominantly composed of random noises such as vessel noise and environmental noise, the fluctuations are significant and the trend is not pronounced, resulting in larger prediction errors across all four models. As the correlation between wind speed and noise increases, and the noise is primarily composed of wind-generated noise, the fluctuations begin to stabilize, which contributes to a decrease in prediction errors for the two multi-modal models. These results indicate that multi-modal models can effectively leverage wind speed information to enhance the accuracy of noise predictions. Furthermore, the decomposition architecture of the LTSF-Linear-mm model allows for a deeper understanding of the relationship between wind speed and noise.

5. Discussion

In this study, several key aspects need to be considered. Firstly, the univariate inversion method can only fit the linear relationship between sea surface wind speed and ocean ambient noise. However, the relationship between ocean noise and wind speed is complex and variable, especially at lower noise frequencies, where it is unable to effectively capture the complexity and non-linear characteristics of low-frequency noise, leading to poor model performance under these circumstances. Secondly, although single-modal models can extract information from ocean ambient noise, their prediction accuracy is limited due to excessive reliance on their own data. This characteristic of relying on a single data source makes it difficult for them to achieve optimal predictive performance in the complex, multivariable real ocean environment. While these models can add some details, their ability to capture the comprehensive characteristics of noise is limited due to the scarcity of information sources. In contrast, multi-modal deep learning models exhibit significant advantages in utilizing multi-source data for predictions. They can not only recognize the complex correlations between sea surface wind speed and ambient noise but also integrate intrinsic temporal information for joint predictions. This approach performs excellently in predicting both high-frequency and low-frequency noise. However, the effectiveness of such models largely depends on the breadth and depth of the data, particularly on having data spanning longer periods to capture seasonal variations.
The experiments in this study were constrained by the limited sample size, with only 20 days of observational data. Such short-term data are insufficient to fully exploit the potential of deep learning models, especially for prediction tasks that require capturing seasonal changes. The lack of long-term data restricts the model’s performance in time series predictions, affecting the accuracy and reliability of the forecasts. To overcome these limitations, future work should focus on obtaining data over longer time spans, covering at least a year to better capture seasonal characteristics and trends. Additionally, as the amount of data increases, the cumulative error in long-term predictions by the model is expected to decrease, improving prediction accuracy. Therefore, expanding the dataset and continuously optimizing model algorithms are crucial steps toward achieving precise long-term predictions.

6. Conclusions

This paper constructs a long-term time series prediction linear model based on the “decomposition-prediction-modal trend fusion-total fusion” framework by analyzing the physical relationship between wind speed and ocean ambient noise. The feasibility of the model is verified by comparing five models: linear fitting method, LSTM-sm model, LSTM-mm model, LTSF-Linear-sm model, and LTSF-Linear-mm model. The main findings of this paper are as follows:
(1)
Marine noise is primarily composed of vessel noise, wind-generated noise, and other types of noise. As frequency increases, the correlation between wind speed and ocean ambient noise also increases. For predicting the energy of marine environmental noise, traditional methods such as polynomial fitting can only capture the linear relationship between wind speed and ocean ambient noise. Single-modal deep learning methods, by only utilizing the ocean ambient noise data, only learn superficial factors.
(2)
Multi-modal deep learning, while learning from ocean ambient noise data, can also leverage the causal relationship between wind speed and ocean ambient noise. The LSTM-mm method does not decompose the data when learning the relationship between the two, which limits the patterns it can learn from the data. The LTSF-Linear-mm model decomposes the data into trend and residual components simultaneously, which helps impose certain constraints on the changes in ocean ambient noise. As a result, both low-frequency and high-frequency ocean ambient noise predictions see significant improvements.
There are still shortcomings in addressing the prediction of ocean ambient noise. Due to difficulties in data acquisition, we only obtained ocean ambient noise data for 20 days, which led to a loss of seasonal information during data decomposition. We will revisit this issue once we obtain seasonal data in the future. In a subsequent experiment, the trained model was applied to analyze different frequency noise data. The LTSF-Linear-mm model, based on the “decomposition-prediction-modal trend fusion-total fusion” framework, effectively learns the interplay between wind speed and ocean ambient noise. The results for high-frequency noise prediction are particularly reliable. Additionally, the approach of utilizing multi-modal data decomposition can be applied in other areas, allowing for the simultaneous use of superficial factors of the data and causal factors that cause data changes, thereby enhancing the accuracy of algorithms, which will be a focus of our future research.

Author Contributions

Conceptualization, B.Y. and W.W.; methodology, B.Y.; validation, B.Y.; formal analysis, Z.W.; investigation, W.W.; resources, G.S., L.L. and W.W.; data curation, Z.W.; writing—original draft preparation, B.Y.; writing—review and editing, W.W.; project administration, L.M.; funding acquisition, W.W. and G.S. All authors have read and agreed to the published version of the manuscript.

Funding

This project is funded by the National Natural Science Foundation of China (Grant No. 12204506) and the National Natural Science Foundation of China (Grant No. 12474445).

Data Availability Statement

The datasets presented in this article are not readily available because [the data are part of an ongoing study or due to technical/time limitations].

Conflicts of Interest

The authors declare no conflicts of interest.

References

  1. Wenz, G. Acoustic ambient noise in the ocean: Spectra and sources. J. Acoust. Soc. Am. 1962, 34, 1936–1956. [Google Scholar] [CrossRef]
  2. Liu, G.; Zhang, X.; Ning, D.; Chen, Y.; Wang, H.; Cai, B. A non-contacting leak fault diagnosis method for subsea Christmas tree valve based on deep neural network with skip connections. Ocean Eng. 2023, 267, 113. [Google Scholar] [CrossRef]
  3. Iruthayanathan, N.; Srinivasan, V.K.; Rajendran, V.; Palanimurugan, R. Mitigating ambient noise and multi-path propagation in underwater communication using the DSTTD-OFDM system. Comput. Electr. Eng. 2016, 53, 409–417. [Google Scholar] [CrossRef]
  4. Lemos, L.S.; Haxel, J.H.; Olsen, A.; Burnett, J.D.; Smith, A.; Chandler, T.E.; Nieukirk, S.L.; Larson, S.E.; Hunt, K.E.; Torres, L.G. Effects of vessel traffic and ocean noise on gray whale stress hormones. Sci. Rep. 2022, 12, 18580. [Google Scholar] [CrossRef] [PubMed]
  5. Chunxia, M.; Dan, S.; Feng, C.; Xuegang, Z.; Jing, H.; Jin, B. Statistical characteristic of spectrum for ambient noise at high frequencies in shallow water. In Proceedings of the 2017 IEEE International Conference on Signal Processing, Communications and Computing (ICSPCC), Xiamen, China, 22–25 October 2017. [Google Scholar]
  6. Najeem, S.; Sanjana, M.C.; Latha, G.; Durai, P.E. Wind induced ambient noise modelling and comparison with field measurements in Arabian Sea. Appl. Acoust. 2015, 89, 101–106. [Google Scholar] [CrossRef]
  7. Lippert, S.; Nijhof, M.J.J.; Lippert, T.; Wilkes, D.; Gavrilov, A.N.; Heitmann, K.; Ruhnau, M.; von Estorff, O.; Schafke, A.; Schäfer, I.; et al. COMPILE—A Generic Benchmark Case for Predictions of Marine Pile-Driving Noise. IEEE J. Ocean. Eng. 2016, 41, 1061–1071. [Google Scholar] [CrossRef]
  8. Yu, L.; Wu, S.; Hong, W. Measurement of marine environmental noise and inversion based on Piggott spectrum. Adv. Civ. Eng. Environ. Eng. 2023, 2, 180–185. [Google Scholar]
  9. Liang, X.; Hu, F.; Li, X.; Zhang, L.; Cao, H.; Li, H. Spatio-Temporal Wind Speed Prediction Based on Improved Residual Shrinkage Network. Sustainability 2023, 15, 5871. [Google Scholar] [CrossRef]
  10. Farhangi, F.; Sadeghi-Niaraki, A.; Safari Bazargani, J.; Razavi-Termeh, S.V.; Hussain, D.; Choi, S.-M. Time-Series Hourly Sea Surface Temperature Prediction Using Deep Neural Network Models. J. Mar. Sci. Eng. 2023, 11, 1136. [Google Scholar] [CrossRef]
  11. Feng, H.; Jin, Y.; Laima, S.; Han, F.; Xu, W.; Liu, Z. A ML-Based Wind Speed Prediction Model with Truncated Real-Time Decomposition and Multi-Resolution Data. Appl. Sci. 2022, 12, 9610. [Google Scholar] [CrossRef]
  12. Asolkar, P.; Das, A.; Gajre, S.; Joshi, Y. Comprehensive correlation of ocean ambient noise with sea surface parameters. Ocean Eng. 2017, 138, 170–178. [Google Scholar] [CrossRef]
  13. Nelson, L.S. Polynomial Interpolation. J. Qual. Technol. 1991, 23, 259–262. [Google Scholar] [CrossRef]
  14. Gers, F.A.; Schmidhuber, J.; Cummins, F. Learning to Forget: Continual Prediction with LSTM. Neural Comput. 2000, 12, 2451–2471. [Google Scholar] [CrossRef] [PubMed]
  15. Zeng, A.; Chen, M.; Zhang, L.; Xu, Q. Are Transformers Effective for Time Series Forecasting? In Proceedings of the AAAI Conference on Artificial Intelligence, Online, 22 February–1 March 2022. [Google Scholar]
Figure 1. The schematic diagram of environmental noise measurement.
Figure 1. The schematic diagram of environmental noise measurement.
Remotesensing 17 00101 g001
Figure 2. Numerical calculation of Transmission loss, source depth 10 m, receiver depth 4000 m. (a) Point source Transmission loss; (b) distributed source Transmission loss.
Figure 2. Numerical calculation of Transmission loss, source depth 10 m, receiver depth 4000 m. (a) Point source Transmission loss; (b) distributed source Transmission loss.
Remotesensing 17 00101 g002
Figure 3. Single-modal Prediction Workflow.
Figure 3. Single-modal Prediction Workflow.
Remotesensing 17 00101 g003
Figure 4. Multi-modal prediction workflow.
Figure 4. Multi-modal prediction workflow.
Remotesensing 17 00101 g004
Figure 5. Decomposition idea of LTSF-Linear.
Figure 5. Decomposition idea of LTSF-Linear.
Remotesensing 17 00101 g005
Figure 6. Pseudo-color map of measured sound speed profile and surface source (depth 10 m, frequency 100 Hz) Transmission loss in deep sea.
Figure 6. Pseudo-color map of measured sound speed profile and surface source (depth 10 m, frequency 100 Hz) Transmission loss in deep sea.
Remotesensing 17 00101 g006
Figure 7. Environmental noise monitoring stations and the path of Typhoon “Kompasu”.
Figure 7. Environmental noise monitoring stations and the path of Typhoon “Kompasu”.
Remotesensing 17 00101 g007
Figure 8. Wind speed data for the experimental area from 1 October to 20 October 2021.
Figure 8. Wind speed data for the experimental area from 1 October to 20 October 2021.
Remotesensing 17 00101 g008
Figure 9. Pseudo-color plot of relative sound pressure level of different frequency components of ocean ambient noise varying with time.
Figure 9. Pseudo-color plot of relative sound pressure level of different frequency components of ocean ambient noise varying with time.
Remotesensing 17 00101 g009
Figure 10. Changes in relative sound pressure level of ocean ambient noise October 1 to 20.
Figure 10. Changes in relative sound pressure level of ocean ambient noise October 1 to 20.
Remotesensing 17 00101 g010
Figure 11. Correlation coefficient curve between ocean ambient noise level and wind speed.
Figure 11. Correlation coefficient curve between ocean ambient noise level and wind speed.
Remotesensing 17 00101 g011
Figure 12. The normalized comparison of environmental noise and wind speed at frequencies of 80, 203, 1024, and 4096 Hz.
Figure 12. The normalized comparison of environmental noise and wind speed at frequencies of 80, 203, 1024, and 4096 Hz.
Remotesensing 17 00101 g012
Figure 13. Polynomial interpolation noise prediction results.
Figure 13. Polynomial interpolation noise prediction results.
Remotesensing 17 00101 g013aRemotesensing 17 00101 g013b
Figure 14. LSTM-sm model prediction performance.
Figure 14. LSTM-sm model prediction performance.
Remotesensing 17 00101 g014
Figure 15. LSTM-mm model prediction performance.
Figure 15. LSTM-mm model prediction performance.
Remotesensing 17 00101 g015aRemotesensing 17 00101 g015b
Figure 16. LTSF-Linear-sm model prediction effect.
Figure 16. LTSF-Linear-sm model prediction effect.
Remotesensing 17 00101 g016
Figure 17. LTSF-Linear-mm model prediction effect.
Figure 17. LTSF-Linear-mm model prediction effect.
Remotesensing 17 00101 g017
Figure 18. Correlation results between actual values and predicted values.
Figure 18. Correlation results between actual values and predicted values.
Remotesensing 17 00101 g018
Figure 19. MSE results for actual values and predicted values of the top 25% of data.
Figure 19. MSE results for actual values and predicted values of the top 25% of data.
Remotesensing 17 00101 g019
Figure 20. Comprehensive comparison graph for MSE, MAE.
Figure 20. Comprehensive comparison graph for MSE, MAE.
Remotesensing 17 00101 g020
Figure 21. LSTM-sm model prediction performance (second test).
Figure 21. LSTM-sm model prediction performance (second test).
Remotesensing 17 00101 g021
Figure 22. LSTM-mm model prediction performance (second test).
Figure 22. LSTM-mm model prediction performance (second test).
Remotesensing 17 00101 g022
Figure 23. LTSF-Linear-sm model prediction effect (second test).
Figure 23. LTSF-Linear-sm model prediction effect (second test).
Remotesensing 17 00101 g023
Figure 24. LTSF-Linear-mm model prediction effect (second test).
Figure 24. LTSF-Linear-mm model prediction effect (second test).
Remotesensing 17 00101 g024
Table 1. Comparison table of MSE and MAE for partial frequency noise.
Table 1. Comparison table of MSE and MAE for partial frequency noise.
Polynomial
Fitting
LSTM
Single-Modal
LSTM
Multi-Modal
LTSF-Linear
Single-Modal
LTSF-Linear
Multi-Modal
MetricMSEMAEMSEMAEMSEMAEMSEMAEMSEMAE
80.6 Hz10.012.384.531.582.981.214.371.471.190.79
203.2 Hz8.912.125.681.563.011.135.521.651.040.75
1024 Hz7.602.123.681.311.690.812.261.110.560.53
4096 Hz7.302.122.781.141.780.861.820.971.060.82
Table 2. Comparison table of MSE and MAE for certain test frequency noise.
Table 2. Comparison table of MSE and MAE for certain test frequency noise.
Correlation
Coefficient
LSTM
Single-Modal
LSTM
Multi-Modal
LTSF-Linear
Single-Modal
LTSF-Linear
Multi-Modal
Metric MSEMAEMSEMAEMSEMAEMSEMAE
80.6 Hz0.131.911.041.350.81.520.962.331.17
203.2 Hz0.136.521.675.071.376.921.815.881.76
1024 Hz0.638.371.884.331.357.672.213.571.45
4096 Hz0.6912.362.296.261.6711.852.842.561.18
Disclaimer/Publisher’s Note: The statements, opinions and data contained in all publications are solely those of the individual author(s) and contributor(s) and not of MDPI and/or the editor(s). MDPI and/or the editor(s) disclaim responsibility for any injury to people or property resulting from any ideas, methods, instructions or products referred to in the content.

Share and Cite

MDPI and ACS Style

Yuan, B.; Lu, L.; Wang, Z.; Song, G.; Ma, L.; Wang, W. Prediction of Full-Frequency Deep-Sea Noise Based on Sea Surface Wind Speed and Real-Time Noise Data. Remote Sens. 2025, 17, 101. https://doi.org/10.3390/rs17010101

AMA Style

Yuan B, Lu L, Wang Z, Song G, Ma L, Wang W. Prediction of Full-Frequency Deep-Sea Noise Based on Sea Surface Wind Speed and Real-Time Noise Data. Remote Sensing. 2025; 17(1):101. https://doi.org/10.3390/rs17010101

Chicago/Turabian Style

Yuan, Bo, Licheng Lu, Zhenzhu Wang, Guoli Song, Li Ma, and Wenbo Wang. 2025. "Prediction of Full-Frequency Deep-Sea Noise Based on Sea Surface Wind Speed and Real-Time Noise Data" Remote Sensing 17, no. 1: 101. https://doi.org/10.3390/rs17010101

APA Style

Yuan, B., Lu, L., Wang, Z., Song, G., Ma, L., & Wang, W. (2025). Prediction of Full-Frequency Deep-Sea Noise Based on Sea Surface Wind Speed and Real-Time Noise Data. Remote Sensing, 17(1), 101. https://doi.org/10.3390/rs17010101

Note that from the first issue of 2016, this journal uses article numbers instead of page numbers. See further details here.

Article Metrics

Back to TopTop