Effect of the Outer Pipe on Reducing Direct Coupling of the Thin Borehole Radar Probe in Thick Water-Filled Borehole
Abstract
1. Introduction
2. The Loop-Array Type Directional Borehole Radar Surrounded by the Outer Pipe
3. Analysis of a Direct Wave with the Point Source
3.1. Formulation
3.2. Observing the Impact of the Outer Tube on the Direct Wave
4. Numerical Investigation with the Antennas
4.1. Direct Wave from the Transmitting to the Receiving Antennas
4.2. Consideration of Antenna Efficiency
5. Numerical Simulation of the Borehole Radar, Demonstrating the Effect of the Outer Pipe
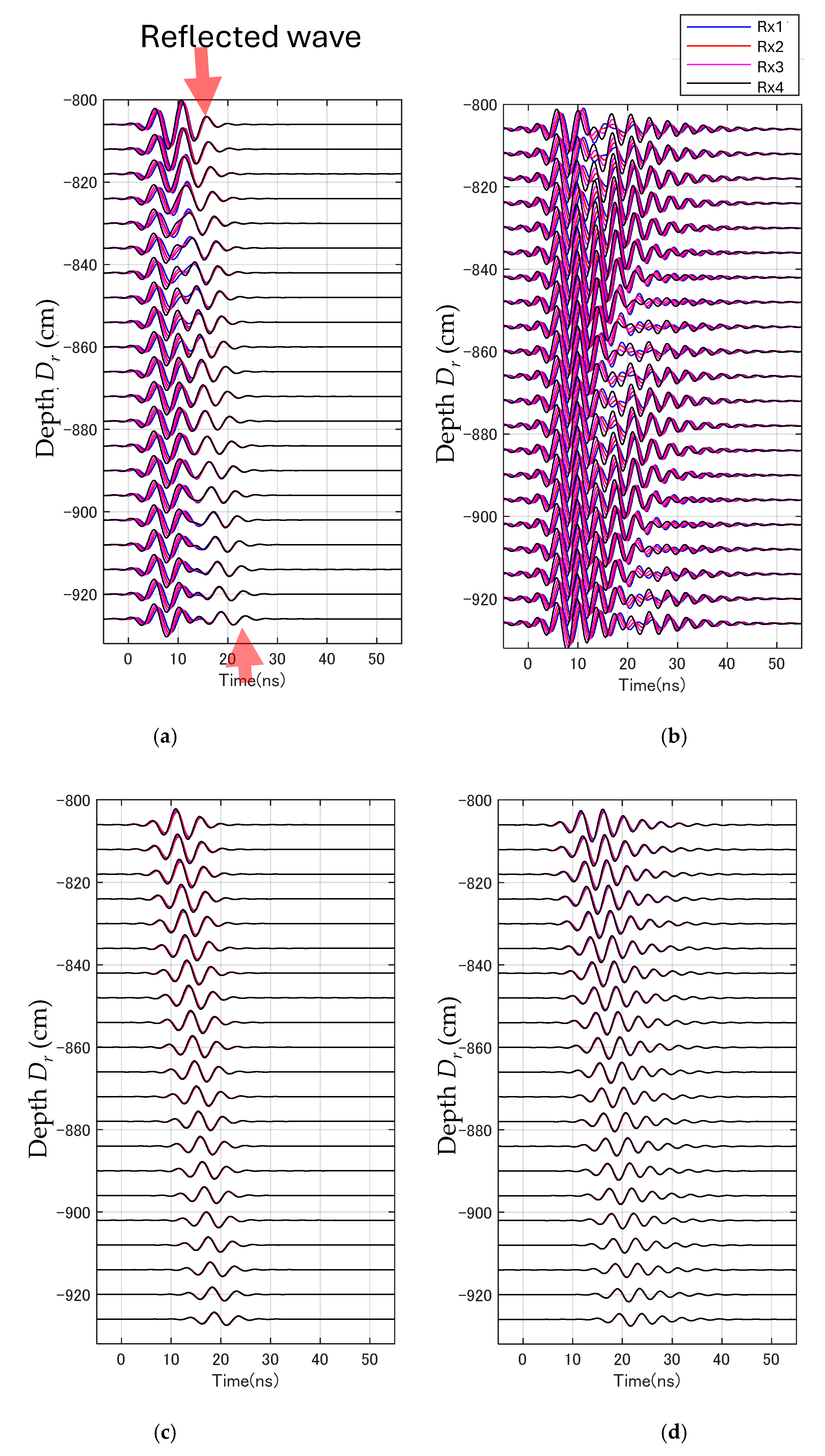
6. Field Experiments with the Borehole Radar with the Outer Pipe
6.1. Making the Outer Pipe
6.2. Field Experiments
7. Conclusions
Author Contributions
Funding
Data Availability Statement
Acknowledgments
Conflicts of Interest
Appendix A. The Point Source Fields in a Cylindrically Layered Medium
References
- Fujiyama, T.; Kaku, K. Current status of the geological disposal programme and an overview of the safety case at the pre-siting stage in Japan. Rock Mech. Bull. 2023, 2, 100062. [Google Scholar] [CrossRef]
- Tóth, E.; Hrabovszki, E.; Schubert, F.; Tóth, T.M. Discrete fracture network (DFN) modelling of a high-level radioactive waste repository host rock and the effects on its hydrogeological behaviour. J. Struct. Geol. 2022, 156, 104556. [Google Scholar] [CrossRef]
- Zhao, Q.; Liu, S.; Yuan, W.; Lu, Q.; Tian, S.; Ni, J. Fracture System Assess in Beishan Grottos, Chongqing, China Based on Multiple Geophysical Data. IEEE Access 2024, 12, 117665–117677. [Google Scholar] [CrossRef]
- Wang, Y.; Chen, J.; Jia, D. Three-Dimensional Mineral Potential Mapping for Reducing Multiplicity and Uncertainty: Kaerqueka Polymetallic Deposit, QingHai Province, China. Nat. Resour. Res. 2020, 29, 365–393. [Google Scholar] [CrossRef]
- Daniels, D.J. Ground Penetrating Radar, 2nd ed.; IET: London, UK, 2004. [Google Scholar]
- Liu, S.; Sato, M. Electromagnetic logging technique based on borehole radar. IEEE Trans. Geosci. Remote Sens. 2002, 40, 2083–2092. [Google Scholar] [CrossRef]
- Kulich, J.; Bleibinhaus, F. Fault Detection with Crosshole and Reflection Geo-Radar for Underground Mine Safety. Geosciences 2020, 10, 456. [Google Scholar] [CrossRef]
- Fullagar, P.K.; Livelybrooks, D.W.; Zhang, P.; Calvert, A.J.; Wu, Y. Radio tomography and borehole radar delineation of the McConnell nickel sulfide deposit, Sudbury, Ontario, Canada. Geophysics 2000, 65, 1920–1930. [Google Scholar] [CrossRef]
- Liu, S.; Wu, J.; Zhou, J.; Zeng, Z. Numerical Simulations of Borehole Radar Detection for Metal Ore. IEEE Geosci. Remote Sens. Lett. 2011, 8, 308–312. [Google Scholar] [CrossRef]
- Sato, M.; Tanimoto, T. A shielded loop array antenna for a directional borehole radar. In Proceedings of the Fourth International Conference GPR, Geological Survey of Finland, Rovaniemi, Finland, 8–13 June 1992; Special Paper 16. pp. 323–327. [Google Scholar]
- Wang, W.; Liu, S.; Shen, X.; Zheng, W. Analysis of the Borehole Effect in Borehole Radar Detection. Sensors 2020, 20, 5812. [Google Scholar] [CrossRef]
- Ni, J.; Liu, S.; Han, X.; Lu, Q.; Tian, S.; Zhao, Q. 3-D Directional Borehole Radar Imaging Based on Echo Separation. IEEE Trans. Geosci. Remote Sens. 2024, 62, 5912612. [Google Scholar] [CrossRef]
- Ebihara, S.; Toyozawa, K.; Hasegawa, T.; Tsujikawa, Y.; Koyama, K. Influence of a Horizontally Polarized Wave Incidence on DOA Estimation by a Dipole Array Antenna in a Borehole. IEEE Trans. Geosci. Remote Sens. 2024, 62, 1000116. [Google Scholar] [CrossRef]
- Ebihara, S.; Matsumoto, M. Loop Array Antenna in a Borehole for Directivity to a Horizontally Polarized Wave. IEEE Trans. Geosci. Remote Sens. 2022, 60, 2005310. [Google Scholar] [CrossRef]
- Wang, L.; Bao, X.; Liu, C.; Yan, W.; Jiang, B.; Wang, Y.; Si, L.; Schreurs, D.; Shi, Z.; Zhang, A. Highly Compact Time-Domain Borehole Radar with Time-Varying Gain Equivalent Sampling. IEEE Trans. Microw. Theory Technol. 2024, 72, 6107–6119. [Google Scholar] [CrossRef]
- Ebihara, S.; Sasakura, A.; Takemoto, T. HE11 mode effect on direct wave in single-hole borehole radar. IEEE Trans. Geosci. Remote Sens. 2011, 49, 854–867. [Google Scholar] [CrossRef]
- Cho, J.; Jung, J.; Kim, S.; Kim, S. Suppression of Borehole-Guided Waves Supported by the Connection Cable of a Single-Borehole Monostatic Pulse Radar. IEEE Trans. Geosci. Remote Sens. 2014, 51, 3431–3438. [Google Scholar] [CrossRef]
- Ebihara, S.; Yamamoto, T. Resonance analysis of a circular dipole array antenna in cylindrically layered media for directional borehole radar. IEEE Trans. Geosci. Remote Sens. 2006, 44, 22–31. [Google Scholar] [CrossRef]
- Irving, J.D.; Knoll, M.D.; Knight, R.J. Improving crosshole radar velocity tomograms: A new approach to incorporating high-angle travel time data. Geophysics 2007, 72, J31–J41. [Google Scholar] [CrossRef]
- Ebihara, S.; Kotani, S.; Fujiwara, K.; Kimura, Y.; Shimomura, T.; Uchimura, R. Consideration of Oblique Incidence in 3-D Imaging of a Planar Interface with a Circular Dipole Array in an Air-Filled Borehole. IEEE J. Sel. Top. Appl. Earth Obs. Remote Sens. 2020, 13, 3711–3722. [Google Scholar] [CrossRef]
- Wang, B.; Huang, Z.; Xing, L.; Lao, L.; Wei, Z.; Ge, X. Quantitative Analysis of Guided Wave in Dielectric Logging Through Numerical Simulation. IEEE Geosci. Remote Sens. Lett. 2022, 19, 8001905. [Google Scholar] [CrossRef]
- Huo, J.; Zhou, B.; Mason, I.M.; Zhao, Q. An Application of Reflected Guided Borehole Radar Waves to Detection of Subhorizontal Structures. IEEE Trans. Geosci. Remote Sens. 2021, 59, 7201–7210. [Google Scholar] [CrossRef]
- Mao, L.; Zhou, B. Simulation and Analysis of Conductively Guided Borehole Radar Wave. IEEE Trans. Geosci. Remote Sens. 2017, 55, 2646–2657. [Google Scholar] [CrossRef]
- Tronicke, J.; Holliger, K. Effects of gas- and water-filled boreholes on the amplitudes of crosshole georadar data as inferred from experimental evidence. Geophysics 2004, 69, 1255–1260. [Google Scholar] [CrossRef]
- Ebihara, S.; Hashimoto, Y. MoM Analysis of Dipole Antennas in Crosshole Borehole Radar and Field Experiments. IEEE Trans. Geosci. Remote Sens. 2007, 45, 2435–2450. [Google Scholar] [CrossRef]
- Ebihara, S.; Masui, R.; Koyama, K.; Tsujikawa, Y.; Nishida, Y. Adding the outer pipe to a thin borehole radar probe in a thick water-filled borehole in rock to reduce direct coupling. J. Phys. Conf. Ser. 2024, 2887, 012049. [Google Scholar] [CrossRef]
- Miwa, T.; Sato, M.; Niitsuma, H. Enhancement of reflected waves in single-hole polarimetric borehole radar measurement. IEEE Trans. Antennas Propag. 2000, 48, 1430–1437. [Google Scholar] [CrossRef]
- Collin, R.E.; Chang, H. Field Theory of Guided Waves. Phys. Today 1961, 14, 50–51. [Google Scholar] [CrossRef]
- Snyder, A.W.; Love, J.D. Optical Waveguide Theory; Springer: Boston, MA, USA, 1983. [Google Scholar]
- Chew, W.C. Waves and Fields in Inhomogeneous Media; IEEE Press: New York, NY, USA, 1995. [Google Scholar]
- Hollender, F.; Tillard, S. Modeling ground-penetrating radar wave propagation and reflection with the Jonscher parameterization. Geophysics 1998, 63, 1933–1942. [Google Scholar] [CrossRef]
- Jonscher, A. The ‘universal’ dielectric response. Nature 1977, 267, 673–679. [Google Scholar] [CrossRef]
- Chew, W. The singularities of a Fourier-type integral in a multicylindrical layer problem. IEEE Trans. Antennas Propag. 1983, 31, 653–655. [Google Scholar] [CrossRef]
- Ebihara, S.; Inoue, Y. Analysis of Eccentered Dipole Antenna for Borehole Radar. IEEE Trans. Geosci. Remote Sens. 2009, 47, 1073–1088. [Google Scholar] [CrossRef]
- Harrington, R.F. Field Computation by Moment Methods; Wiley: New York, NY, USA, 1993. [Google Scholar]
- Ebihara, S.; Kimura, Y.; Shimomura, T.; Uchimura, R.; Choshi, H. Coaxial-Fed Circular Dipole Array Antenna with Ferrite Loading for Thin Directional Borehole Radar Sonde. IEEE Trans. Geosci. Remote Sens. 2015, 53, 1842–1854. [Google Scholar] [CrossRef]
- Balanis, C.A. Antenna Theory, 3rd ed.; John Wiley & Sons, Inc.: Hoboken, NJ, USA, 2005. [Google Scholar]
- Mason, I.M.; Bray, A.J.; Sindle, T.G.; Simmat, C.M.; Cloete, J.H. The Effect of Conduction on VHF Radar Images Shot in Water-Filled Boreholes. IEEE Geosci. Remote Sens. Lett. 2008, 5, 304–307. [Google Scholar] [CrossRef]
- Fischer, B.E.; LaHaie, I.J. On the Definition of Return Loss. IEEE Antennas Propag. Mag. 2013, 55, 172–174. [Google Scholar] [CrossRef]
- Bird, T.S. Definition and Misuse of Return Loss. IEEE Antennas Propag. Mag. 2009, 51, 166–1670. [Google Scholar] [CrossRef]
- Balanis, C.A. Balanis’ Advanced Engineering Electromagnetics; Wiley: New York, NY, USA, 1989. [Google Scholar]
- Ebihara, S.; Kawai, H.; Wada, K. Estimating the 3D position and inclination of a planar interface with a directional borehole radar. Near Surf. Geophys. 2013, 11, 185–196. [Google Scholar] [CrossRef]


















| Layer Number i | Radius ai | With the Outer Tube | Without the Outer Tube | |
|---|---|---|---|---|
| 1 | 2.35 cm | Air: ε1 = ε0 | ||
| 2 | 2.85 cm | FRP: ε2 = 5ε0 | ||
| 3 | 4.5 cm | Plastic: ε3 = 3ε0 | Water: ε3 = ε4 | |
| 4 | 5 cm | Water: ε4 is given by (5) in [16] with α = 0.09, τ0 = 9.4 × 10−12 s, ε∞ = 1.8ε0, εlow = 81ε0, σdc = 0. For example, ε4 = 80.9ε0 + i0.0041/ω at 100 MHz. | ||
| 5 | Rock: ε5 is given by (6) in [16], with σdc = 5 × 10−3 S/m, χr = 1.7, n = 0.61, ε∞ = 8.7ε0 and ωr = 2π × 100 MHz. Also see [31,32]. For example, ε5 = 10.4ε0 + i0.012/ω at 100 MHz. | |||
Disclaimer/Publisher’s Note: The statements, opinions and data contained in all publications are solely those of the individual author(s) and contributor(s) and not of MDPI and/or the editor(s). MDPI and/or the editor(s) disclaim responsibility for any injury to people or property resulting from any ideas, methods, instructions or products referred to in the content. |
© 2024 by the authors. Licensee MDPI, Basel, Switzerland. This article is an open access article distributed under the terms and conditions of the Creative Commons Attribution (CC BY) license (https://creativecommons.org/licenses/by/4.0/).
Share and Cite
Ebihara, S.; Masui, R.; Koyama, K.; Tsujikawa, Y.; Nishida, Y. Effect of the Outer Pipe on Reducing Direct Coupling of the Thin Borehole Radar Probe in Thick Water-Filled Borehole. Remote Sens. 2025, 17, 100. https://doi.org/10.3390/rs17010100
Ebihara S, Masui R, Koyama K, Tsujikawa Y, Nishida Y. Effect of the Outer Pipe on Reducing Direct Coupling of the Thin Borehole Radar Probe in Thick Water-Filled Borehole. Remote Sensing. 2025; 17(1):100. https://doi.org/10.3390/rs17010100
Chicago/Turabian StyleEbihara, Satoshi, Raiki Masui, Koki Koyama, Yuki Tsujikawa, and Yuto Nishida. 2025. "Effect of the Outer Pipe on Reducing Direct Coupling of the Thin Borehole Radar Probe in Thick Water-Filled Borehole" Remote Sensing 17, no. 1: 100. https://doi.org/10.3390/rs17010100
APA StyleEbihara, S., Masui, R., Koyama, K., Tsujikawa, Y., & Nishida, Y. (2025). Effect of the Outer Pipe on Reducing Direct Coupling of the Thin Borehole Radar Probe in Thick Water-Filled Borehole. Remote Sensing, 17(1), 100. https://doi.org/10.3390/rs17010100
