A Technique for SAR Significant Wave Height Retrieval Using Azimuthal Cut-Off Wavelength Based on Machine Learning
Abstract
1. Introduction
2. Datasets
2.1. GF-3 Image
2.2. Auxiliary Data
3. Methodology
3.1. SAR Wave Retrieval Algorithm
3.2. Dependence of Upper Oceanic Dynamics on the Azimuthal Cut-Off Wavelength
3.3. Development of SWH Retrieval Algorithm
4. Results and Discussion
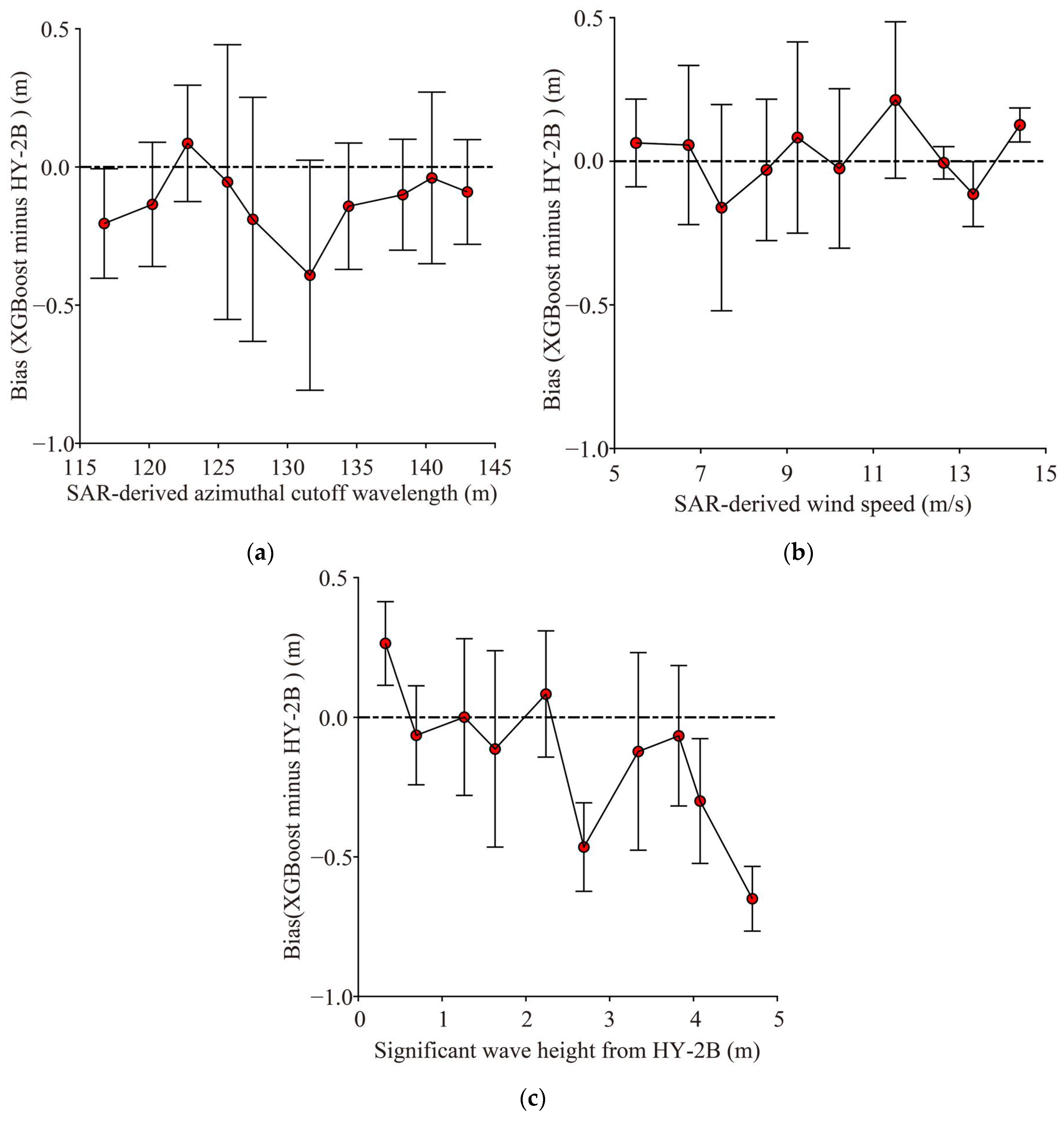
4.1. Validation
4.2. Discussion
5. Conclusions
Author Contributions
Funding
Institutional Review Board Statement
Informed Consent Statement
Data Availability Statement
Acknowledgments
Conflicts of Interest
References
- Wei, M.; Shao, W.Z.; Shen, W.; Hu, Y.Y.; Zhang, Y.; Zuo, J.C. Contribution of surface waves to sea surface temperatures in the Arctic Ocean. J. Ocean Univ. China 2024. [Google Scholar] [CrossRef]
- Shi, J.; Shao, W.Z.; Shi, S.H.; Hu, Y.Y.; Jiang, T.; Zhang, Y.G. Can sea surface waves be simulated by numerical wave models using the fusion data from remote-sensed winds? Remote Sens. 2023, 15, 3825. [Google Scholar] [CrossRef]
- Shao, W.Z.; Jiang, T.; Jiang, X.W.; Zhang, Y.G.; Zhou, W. Evaluation of sea surface winds and waves retrieved from the Chinese HY-2B data. IEEE J. Sel. Top. Appl. Earth Observ. Remote Sens. 2021, 14, 9624–9635. [Google Scholar] [CrossRef]
- Xu, Y.; Liu, J.Q.; Xie, L.L.; Sun, C.R.; Liu, J.P.; Xian, D. China-France Oceanography Satellite (CFOSAT) simultaneously observes the typhoon-induced wind and wave fields. Acta Oceanol. Sin. 2019, 38, 158–161. [Google Scholar] [CrossRef]
- Hao, M.Y.; Shao, W.Z.; Shi, S.H.; Liu, X.; Hu, Y.Y.; Zuo, J.C. Validation of Surface Waves Investigation and Monitoring Data against Simulation by Simulating Waves Nearshore and Wave Retrieval from Gaofen-3 Synthetic Aperture Radar Image. Remote Sens. 2023, 15, 4402. [Google Scholar] [CrossRef]
- Wang, W.L.; Forget, P.; Guan, C.L. Inversion and assessment of swell wave heights from HF radar spectra in the Iroise Sea. Ocean Dyn. 2016, 66, 527–538. [Google Scholar] [CrossRef]
- Shao, W.Z.; Li, X.M.; Lehner, S.; Guan, C.L. Development of polarization ratio model for sea surface wind field retrieval from TerraSAR-X HH polarization data. Int. J. Remote Sens. 2014, 35, 4046–4063. [Google Scholar] [CrossRef]
- Corcione, V.; Grieco, G.; Portabella, M.; Nunziata, F.; Migliaccio, M. A novel azimuth cut-off implementation to retrieve sea surface wind speed from SAR imagery. IEEE Trans. Geosci. Remote Sens. 2019, 57, 3331–3340. [Google Scholar] [CrossRef]
- Hu, Y.Y.; Shao, W.Z.; Shen, W.; Zhou, Y.; Jiang, X.W. Machine learning applied to a dual-polarized Sentinel-1 image for wind retrieval of tropical cyclones. Remote Sens. 2023, 15, 3948. [Google Scholar] [CrossRef]
- Jiang, T.; Shao, W.Z.; Hu, Y.Y.; Zheng, G.; Shen, W. L-band analysis of the effects of oil slicks on sea wave characteristics. J. Ocean Univ. China 2023, 22, 9–20. [Google Scholar] [CrossRef]
- Stoffelen, A.; Verspeek, J.A.; Vogelzang, J.; Verhoef, A. The CMOD7 geophysical model function for ASCAT and ERS wind retrievals. IEEE J. Sel. Top. Appl. Earth Observ. Remote Sens. 2017, 10, 2123–2134. [Google Scholar] [CrossRef]
- Mouche, A.; Chapron, B. Global C-band Envisat, RADARSAT-2 and Sentinel-1 SAR measurements in copolarization and crosspolarization. J. Geophys. Res. Oceans 2015, 120, 7195–7207. [Google Scholar] [CrossRef]
- Lu, Y.R.; Zhang, B.; William, P.; Mouche, A.; Wang, H. A C-band geophysical model function for determining coastal wind speed using synthetic aperture radar. IEEE J. Sel. Top. Appl. Earth Observ. Remote Sens. 2018, 11, 2417–2428. [Google Scholar] [CrossRef]
- Shao, W.Z.; Nunziata, F.; Zhang, Y.G.; Corcione, V.; Migliaccio, M. Wind speed retrieval from the Gaofen-3 synthetic aperture radar for VV- and HH-polarization using a re-tuned algorithm. Eur. J. Remote Sens. 2021, 54, 1318–1337. [Google Scholar] [CrossRef]
- Grieco, G.; Lin, W.; Migliaccio, M.; Nirchio, F.; Portabella, M. Dependency of the Sentinel-1 azimuth wavelength cut-off on significant wave height and wind speed. Int. J. Remote Sens. 2016, 37, 5086–5104. [Google Scholar] [CrossRef]
- Zhao, X.B.; Shao, W.Z.; Lai, Z.Z.; Jiang, X.W. Retrieval of rain rates for tropical cyclones from Sentinel-1 synthetic aperture radar images. IEEE J. Sel. Top. Appl. Earth Observ. Remote Sens. 2023, 16, 3187–3197. [Google Scholar] [CrossRef]
- Yao, R.; Shao, W.Z.; Jiang, X.W.; Yu, T. Wind speed retrieval from Chinese Gaofen-3 synthetic aperture radar using an analytical approach in the nearshore waters of China’s Seas. Int. J. Remote Sens. 2022, 43, 3028–3048. [Google Scholar] [CrossRef]
- Kudryavtsev, V.; Hauser, G.; Caudal, G.; Chapron, B. A semiempirical model of the normalized radar cross-section of the sea surface 1. Background model. J. Geophys. Res. Oceans 2003, 108, FET 2-1–FET 2-24. [Google Scholar] [CrossRef]
- Zhu, S.; Shao, W.Z.; Marino, A.; Sun, J.; Yuan, X.Z. Semi-empirical algorithm for wind speed retrieval from Gaofen-3 quad-polarization strip mode SAR data. J. Ocean Univ. China 2020, 19, 23–35. [Google Scholar] [CrossRef]
- Gao, Y.; Sun, J.; Zhang, J.; Guan, C.L. Extreme wind speeds retrieval using Sentinel-1 IW mode SAR data. Remote Sens. 2021, 13, 1867. [Google Scholar] [CrossRef]
- Hu, Y.Y.; Shao, W.Z.; Jiang, X.W.; Zhou, W.; Zuo, J.C. Improvement of VV-polarization tilt MTF for Gaofen-3 SAR data of a tropical cyclone. Remote Sens. Lett. 2023, 14, 461–468. [Google Scholar] [CrossRef]
- Hasselmann, K.; Hasselmann, S. On the nonlinear mapping of an ocean wave spectrum into a synthetic aperture radar image spectrum. J. Geophys. Res. 1991, 96, 10713–10729. [Google Scholar] [CrossRef]
- Mastenbroek, C.; Valk, C.F.de. A semi-parametric algorithm to retrieve ocean wave spectra from synthetic aperture radar. J. Geophys. Res. 2000, 105, 3497–3516. [Google Scholar] [CrossRef]
- Schulz-Stellenfleth, J.; Lehner, S.; Hoja, D. A parametric scheme for the retrieval of two-dimensional ocean wave spectra from synthetic aperture radar look cross spectra. J. Geophys. Res. 2005, 101, 297–314. [Google Scholar] [CrossRef]
- Shao, W.Z.; Jiang, X.W.; Sun, Z.F.; Hu, Y.Y.; Marino, A.; Zhang, Y.G. Evaluation of wave retrieval for Chinese Gaofen-3 synthetic aperture radar. Geo-Spat. Inf. Sci. 2022, 25, 229–243. [Google Scholar] [CrossRef]
- Zhang, B.; Perrie, W.; He, Y.J. Validation of RADARSAT-2 fully polarimetric SAR measurements of ocean surface waves. J. Geophys. Res. 2010, 115, C06031. [Google Scholar] [CrossRef]
- Shao, W.Z.; Hu, Y.Y.; Jiang, X.W.; Zhang, Y.G. Wave retrieval from quad-polarized Chinese Gaofen-3 SAR image using an improved tilt modulation transfer function. Geo-Spat. Inf. Sci. 2023. [Google Scholar] [CrossRef]
- Li, X.M.; Konig, T.; Schulz-Stellenfleth, J.; Lehner, S. Validation and intercomparison of ocean wave spectra inversion schemes using ASAR wave mode data. Int. J. Remote Sens. 2010, 31, 4969–4993. [Google Scholar] [CrossRef]
- Zhu, S.; Shao, W.Z.; Armando, M.; Shi, J.; Sun, J.; Yuan, X.Z.; Hu, J.C.; Yang, D.K.; Zuo, J.C. Evaluation of Chinese quad-polarization Gaofen-3 SAR wave mode data for significant wave height retrieval. Can. J. Remote Sens. 2018, 44, 588–600. [Google Scholar] [CrossRef]
- Pleskachevsky, A.; Tings, B.; Wiehle, S.; Imber, J.; Jacobsen, S. Multiparametric sea state fields from synthetic aperture radar for maritime situational awareness. Remote Sens. Environ. 2022, 280, 113200. [Google Scholar] [CrossRef]
- Wang, H.; Yang, J.S.; Lin, M.S.; Li, W.W.; Zhu, J.H.; Ren, L.; Cui, L.M. Quad-polarimetric SAR sea state retrieval algorithm from Chinese Gaofen-3 wave mode imagettes via deep learning. Remote Sens. Environ. 2022, 273, 112969. [Google Scholar] [CrossRef]
- Kudryavtsev, V.; Fan, S.; Zhang, B.; Mouche, A.; Chapron, B. On quad-polarized SAR measurements of the ocean surface. IEEE Trans. Geosci. Remote Sens. 2019, 57, 8362–8370. [Google Scholar] [CrossRef]
- Zhao, X.B.; Shao, W.Z.; Hao, M.Y.; Jiang, X.W. Novel approach to wind retrieval from Sentinel-1 SAR in tropical cyclones. Can. J. Remote Sens. 2023, 49, 2254839. [Google Scholar] [CrossRef]
- Johannessen, J.A.; Chapron, B.; Collard, F.; Kudryavtsev, V.; Mouche, A.; Akimov, D.; Dagestad, K. Direct ocean surface velocity measurements from space: Improved quantitative interpretation of Envisat ASAR observations. Geophys. Res. Lett. 2008, 35, L22608. [Google Scholar] [CrossRef]
- Hansen, M.W.; Collard, F.; Dagestad, K.F.; Johannessen, J.A.; Chapron, B. Retrieval of sea surface range velocities from Envisat ASAR Doppler centroid measurements. IEEE Trans. Geosci. Remote Sens. 2011, 49, 3582–3592. [Google Scholar] [CrossRef]
- Wang, L.H.; Zhou, Y.X.; Ge, J.Z.; Johannessen, J.A.; Shen, F. Mapping sea surface velocities in the Changjiang coastal zone with advanced synthetic aperture radar. Acta Oceanol. Sin. 2014, 33, 141–149. [Google Scholar] [CrossRef]
- Stopa, J.E.; Ardhuin, F.; Chapron, B.; Collard, F. Estimating wave orbital velocity through the azimuth cut-off from space-borne satellites. J. Geophys. Res. 2015, 120, 761–7634. [Google Scholar] [CrossRef]
- Hao, M.Y.; Shao, W.Z.; Yao, R.; Zhang, Y.G.; Jiang, X.W. Improvement of quad-polarized velocity bunching modulation transfer function by C-band Gaofen-3 SAR. Remote Sens. Lett. 2023, 14, 968–978. [Google Scholar] [CrossRef]
- Robertson, R.; Padman, L.; Levine, M.D. A correction to the baroclinic pressure gradient Term in the Princeton Ocean Model. J. Atmos. Ocean. Technol. 2001, 18, 1068–1075. [Google Scholar] [CrossRef]
- Hu, Y.Y.; Shao, W.Z.; Li, J.; Zhang, C.L.; Cheng, L.Q.; Ji, Q.Y. Short-term variations in water temperature of the Antarctic surface layer. J. Mar. Sci. Eng. 2022, 10, 287. [Google Scholar] [CrossRef]
- Yang, Z.H.; Shao, W.Z.; Ding, Y.; Shi, J.; Ji, Q.Y. Wave simulation by the SWAN model and FVCOM considering the sea-water level around the Zhoushan Islands. J. Mar. Sci. Eng. 2020, 8, 783. [Google Scholar] [CrossRef]
- Chassignet, E.P.; Smith, L.T.; Halliwell, G.R.; Bleck, R. North Atlantic simulations with the HYbrid Coordinate Ocean Model (HYCOM): Impact of the vertical coordinate choice, reference pressure, and thermobaricity. J. Phys. Oceanogr. 2003, 3, 2504–2526. [Google Scholar] [CrossRef]
- Sun, J.; Guan, C.L. Parameterized first-guess spectrum method for retrieving directional spectrum of swell-dominated waves and huge waves from SAR images. Chin. J. Oceanol. Limnol. 2006, 24, 12–20. [Google Scholar]
- Elfouhaily, T.; Chapron, B.; Katsaros, K. A unified directional spectrum for long and short wind-driven waves. J. Geophys. Res. Atmos. 1997, 102, 15781. [Google Scholar] [CrossRef]
- Shao, W.Z.; Zhang, Z.; Li, X.F.; Li, H. Ocean wave parameters retrieval from Sentinel-1 SAR imagery. Remote Sens. 2016, 8, 707. [Google Scholar] [CrossRef]
- Hwang, P.A. Fetch and duration-limited nature of surface wave growth inside tropical cyclones: With applications to air-sea exchange and remote sensing. J. Phys. Oceanogr. 2016, 46, 41–56. [Google Scholar] [CrossRef]
- Shao, W.Z.; Zhu, S.; Zhang, X.P.; Gou, S.P.; Zhao, L.B. Intelligent wind retrieval from Chinese Gaofen-3 SAR imagery in quad-polarization. J. Atmos. Ocean. Technol. 2019, 36, 2121–2137. [Google Scholar] [CrossRef]
- Song, T.R.; Yan, Q.S.; Fan, C.Q.; Meng, J.M.; Wu, Y.Q.; Zhang, J. Significant wave height retrieval using XGBoost from polarimetric Gaofen-3 SAR and feature importance analysis. Remote Sens. 2023, 15, 149. [Google Scholar] [CrossRef]














| Hyperparameter | Value |
|---|---|
| max_depth | 50 |
| n_estimators | 300 |
| Gamma | 0.1 |
| Subsample | 0.9 |
| min_child_weights | 3 |
| reg_lambda | 1 |
| reg_alpha | 0.001 |
| Gamma | 0.1 |
Disclaimer/Publisher’s Note: The statements, opinions and data contained in all publications are solely those of the individual author(s) and contributor(s) and not of MDPI and/or the editor(s). MDPI and/or the editor(s) disclaim responsibility for any injury to people or property resulting from any ideas, methods, instructions or products referred to in the content. |
© 2024 by the authors. Licensee MDPI, Basel, Switzerland. This article is an open access article distributed under the terms and conditions of the Creative Commons Attribution (CC BY) license (https://creativecommons.org/licenses/by/4.0/).
Share and Cite
Leng, S.; Hao, M.; Shao, W.; Marino, A.; Jiang, X. A Technique for SAR Significant Wave Height Retrieval Using Azimuthal Cut-Off Wavelength Based on Machine Learning. Remote Sens. 2024, 16, 1644. https://doi.org/10.3390/rs16091644
Leng S, Hao M, Shao W, Marino A, Jiang X. A Technique for SAR Significant Wave Height Retrieval Using Azimuthal Cut-Off Wavelength Based on Machine Learning. Remote Sensing. 2024; 16(9):1644. https://doi.org/10.3390/rs16091644
Chicago/Turabian StyleLeng, Shaijie, Mengyu Hao, Weizeng Shao, Armando Marino, and Xingwei Jiang. 2024. "A Technique for SAR Significant Wave Height Retrieval Using Azimuthal Cut-Off Wavelength Based on Machine Learning" Remote Sensing 16, no. 9: 1644. https://doi.org/10.3390/rs16091644
APA StyleLeng, S., Hao, M., Shao, W., Marino, A., & Jiang, X. (2024). A Technique for SAR Significant Wave Height Retrieval Using Azimuthal Cut-Off Wavelength Based on Machine Learning. Remote Sensing, 16(9), 1644. https://doi.org/10.3390/rs16091644

