Short-Term Foredune Dynamics in Response to Invasive Vegetation Control Actions
Abstract
1. Introduction
2. Study Area
3. Materials and Methods
3.1. UAV Surveys
3.2. Wind Data
3.3. Potential Aeolian Transport
3.4. Image Classification and Vegetation Changes
3.5. Morphological Changes and Sediment Budget
4. Results
4.1. DSM Accuracy Assessment
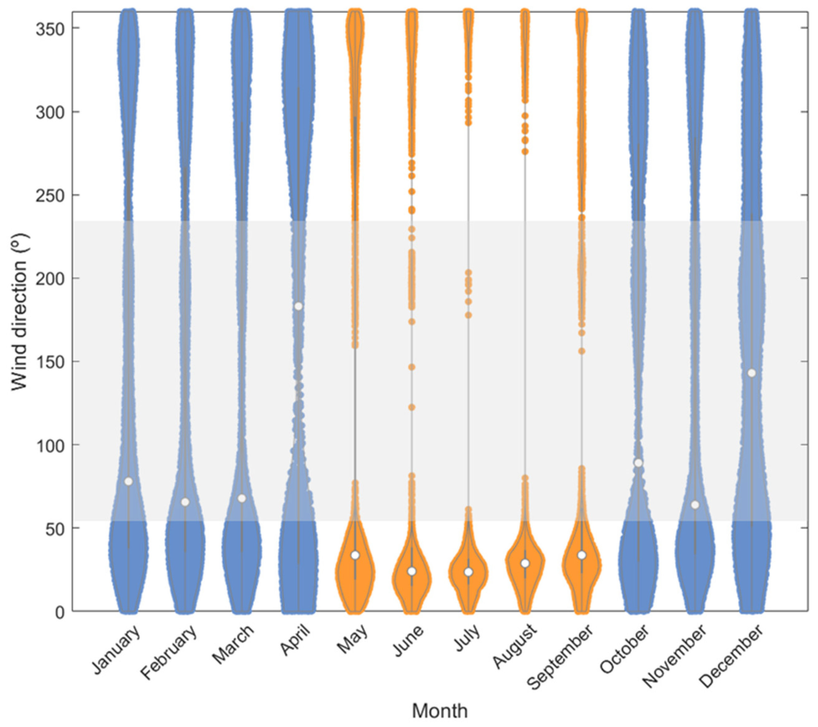
4.2. Wind
4.2.1. Long-Term Wind Regime
4.2.2. Wind Regime for the Study Period
4.2.3. Potential Aeolian Transport
4.3. Vegetation
- From April 2021 to October 2021, there was a decrease in vegetation cover in the SW section of the foredune;
- From October 2021 to May 2022, there was vegetation growth in the same area above; significant removal of invasive vegetation occurred in the NE section of the foredune;
- From May 2022 to October 2022, there was some vegetation growth in the NE foredune section; repeated vegetation removal occurred in the SW foredune section. In the October 2022 orthomosaic, there is an apparent increase in vegetation cover in the central and SW sections of the leeward foredune slope, but this is largely an artifact associated with shaded areas.
- From October 2022 to February 2023, repeated vegetation removal led to a significant decrease in vegetation cover in both the SW and NE foredune sections.
4.4. Morphological Evolution and Sediment Budget
5. Discussion
5.1. Digital Surface Models and Sediment Budget
5.2. Wind Regime and Foredune Sediment Budget
5.3. Wind Regime, Sediment Movement and Vegetation
6. Conclusions
Supplementary Materials
Author Contributions
Funding
Data Availability Statement
Conflicts of Interest
References
- Hesp, P. Foredunes and blowouts: Initiation, geomorphology and dynamics. Geomorphology 2002, 48, 245–268. Available online: https://www.sciencedirect.com/science/article/pii/S0169555X02001848 (accessed on 12 May 2023). [CrossRef]
- Davidson-Arnott, R.; Hesp, P.; Ollerhead, J.; Walker, I.; Bauer, B.; Delgado-Fernandez, I.; Smyth, T. Sediment budget controls on foredune height: Comparing simulation model results with field data. Earth Surf. Process. Landf. 2018, 43, 1798–1810. [Google Scholar] [CrossRef]
- Zhu, X.; Linham, M.M.; Nicholls, R.J. Technologies for Climate Change Adaptation: Coastal Erosion and Flooding; TNA Guidebook Series; Danmarks Tekniske Universitet, Risø Nationallaboratoriet for Bæredygtig Energi: Kongens Lyngby, Denmark, 2010; Available online: https://orbit.dtu.dk/en/publications/technologies-for-climate-change-adaptation-coastal-erosion-and-fl (accessed on 2 June 2023).
- Hilgendorf, Z.; Walker, I.J.; Pickart, A.J.; Turner, C.M. Dynamic restoration and the impact of native versus invasive vegetation on coastal foredune morphodynamics, Lanphere Dunes, California, USA. Earth Surf. Process. Landf. 2022, 47, 3083–3099. [Google Scholar] [CrossRef]
- Temmerman, S.; Meire, P.; Bouma, T.J.; Herman, P.M.J.; Ysebaert, T.; de Vriend, H.J. Ecosystem-based coastal defence in the face of global change. Nature 2013, 504, 79–83. [Google Scholar] [CrossRef] [PubMed]
- Jackson, D.W.T.; Costas, S.; González-Villanueva, R.; Cooper, A. A global ‘greening’ of coastal dunes: An integrated consequence of climate change? Glob. Planet. Change 2019, 182, 103026. [Google Scholar] [CrossRef]
- Fabbri, S.; Grottoli, E.; Armaroli, C.; Ciavola, P. Using high-spatial resolution UAV-derived data to evaluate vegetation and geomorphological changes on a dune field involved in a restoration endeavour. Remote Sens. 2021, 13, 1987. [Google Scholar] [CrossRef]
- Murray, N.J.; Phinn, S.R.; DeWitt, M.; Ferrari, R.; Johnston, R.; Lyons, M.B.; Clinton, N.; Thau, D.; Fuller, R.A. The global distribution and trajectory of tidal flats. Nature 2019, 565, 222–225. [Google Scholar] [CrossRef] [PubMed]
- Martínez, M.L.; Hesp, P.A.; Gallego-Fernández, J.B. Coastal Dune Restoration: Trends and Perspectives. In Restoration of Coastal Dunes; Martínez, M., Gallego-Fernández, J., Hesp, P., Eds.; Springer Series on Environmental Management; Springer: Berlin/Heidelberg, Germany, 2013. [Google Scholar] [CrossRef]
- Thomas, Z.A.; Turney, C.S.M.; Palmer, J.G.; Lloydd, S.; Klaricich, J.N.L.; Hogg, A. Extending the observational record to provide new insights into invasive alien species in a coastal dune environment of New Zealand. App. Geogr. 2018, 98, 100–109. [Google Scholar] [CrossRef]
- Šilc, U.; Stešević, D.; Rozman, A.; Caković, D.; Küzmič, F. Alien species and the impact on sand dunes along the NE Adriatic coast. In Impacts of Invasive Species on Coastal Environments; Makowski, C., Finkl, C., Eds.; Springer, Coastal Research Library: Berlin/Heidelberg, Germany, 2019; Volume 29, pp. 113–143. Available online: https://link.springer.com/chapter/10.1007/978-3-319-91382-7_4 (accessed on 24 November 2022).
- Pickart, A.J. Ammophila invasion ecology and dune restoration on the west coast of north America. Diversity 2021, 13, 629. [Google Scholar] [CrossRef]
- Ruessink, B.G.; Arens, S.M.; Kuipers, M.; Donker, J.J.A. Coastal dune dynamics in response to excavated foredune notches. Aeol. Res. 2018, 31, 3–17. [Google Scholar] [CrossRef]
- Jackson, N.L.; Nordstrom, K.F.; Feagin, R.A.; Smith, W.K. Coastal geomorphology and restoration. Geomorphology 2013, 199, 1–7. [Google Scholar] [CrossRef]
- Delgado-Fernandez, I.; Davidson-Arnott, R.G.D.; Hesp, P.A. Is ‘re-mobilisation’ nature restoration or nature destruction? A commentary. J. Coast. Conserv. 2019, 23, 1093–1103. [Google Scholar] [CrossRef]
- Psuty, N.P.; Silveira, T.M. Restoration of Coastal Foredunes, a Geomorphological Perspective: Examples from New York and from New Jersey, USA. In Restoration of Coastal Dunes; Martínez, M.L., Gallego-Fernández, J.B., Hesp, P.A., Eds.; Springer: Berlin/Heidelberg, Germany, 2013; pp. 33–47. [Google Scholar] [CrossRef]
- Darke, I.B.; Walker, I.J.; Hesp, P.A. Beach–dune sediment budgets and dune morphodynamics following coastal dune restoration, Wickaninnish Dunes, Canada. Earth Surf. Process. Landf. 2016, 41, 1370–1385. [Google Scholar] [CrossRef]
- Caster, J.; Sankey, J.B.; Sankey, T.T.; Kasprak, A.; Bowker, M.A.; Joyal, T. Do topographic changes tell us about variability in aeolian sediment transport and dune mobility? Analysis of monthly to decadal surface changes in a partially vegetated and biocrust covered dune field. Geomorphology 2024, 447, 109021. [Google Scholar] [CrossRef]
- Silva, A.N.; Taborda, R.; Andrade, C.; Ribeiro, M. The future of insular beaches: Insights from a past-to-future sediment budget approach. Sci. Total Environ. 2019, 676, 692–705. [Google Scholar] [CrossRef] [PubMed]
- AEMET-IM. Climate Atlas of the Archipelagos of the Canary Islands, Madeira and the Azores. 2012. Available online: https://www.ipma.pt/export/sites/ipma/bin/docs/publicacoes/atlas.clima.ilhas.iberico.2011.pdf (accessed on 20 March 2021).
- Andrade, C.; Freitas, M.C.; Taborda, R.; Prada, S. Project: Plano de Urbanização para a Frente de Mar, Campo de Baixo/Ponta da Calheta, Porto Santo, Relatório 1a Fase, Caracterização e Diagnóstico. Anexo 1—Geologia, Geomorfologia Costeira, Dinâmica Costeira, Hidrogeologia; Unpublished Technical Report; Faculdade de Ciências da Universidade de Lisboa/Universidade da Madeira/Bruno Soares–Arquitectos, Lda.: Lisboa, Portugal, 2008; Available online: https://docplayer.com.br/77116599-Plano-de-urbanizacao-da-frente-mar-campo-de-baixo-ponta-da-calheta-porto-santo-1a-fase-caracterizacao-e-diagnostico.html (accessed on 10 September 2023). (In Portuguese)
- Silva, J.B. Areia de Praia da ilha de Porto Santo, Geologia, Génese, Dinâmica e Propriedades Medicinais. Ph.D. Thesis, Universidade de Aveiro, Aveiro, Portugal, 2002. (In Portuguese). [Google Scholar]
- Andrade, C.; Taborda, R.; Ribeiro, M.; Silva, A.N. Estudo da Dinâmica Sedimentar da Praia de Porto Santo; Unpublished Technical Report; Fundação da Faculdade de Ciências da Universidade de Lisboa/Governo Regional da Madeira: Lisboa, Portugal, 2017. (In Portuguese) [Google Scholar]
- Fernandes, F.; Medeiros, C.; Martins, A.; Freitas, S.; Abreu, F. Atualização da Cobertura Ecológica da Área de Intervenção do Projeto; LIFE Dunas Project (LIFE19 CCA/PT/001178) Unpublished Technical Report; Região Autónoma da Madeira Portugal, 2023. Available online: https://lifedunas.madeira.gov.pt/index.php/resultados/relatorios (accessed on 20 December 2023)(In Portuguese, abstract in English).
- Freitas, S.; Martins, A.; Medeiros, C.; Abreu, F.; Fernandes, F. Plano Operacional para Restauração de Habitats; LIFE Dunas Project (LIFE19 CCA/PT/001178) Unpublished Technical Report; Região Autónoma da Madeira Portugal, 2023. Available online: https://lifedunas.madeira.gov.pt/index.php/resultados/relatorios (accessed on 20 December 2023)(In Portuguese, abstract in English).
- Marchante, H.; Morais, M.; Freitas, H.; Marchante, E. Guia Prático para a Identificação de Plantas Invasoras em Portugal; Imprensa da Universidade de Coimbra: Coimbra, Portugal, 2014. [Google Scholar] [CrossRef]
- Abreu, F. Relatório de Progresso, Projeto LIFE Dunas (LIFE19 CCA/PT/001178); Unpublished Technical Report; LIFE Dunas: Madeira, Portugal, 2022; (In Portuguese, abstract in English). [Google Scholar]
- Jardim, R.; Sequeira, M.; Capelo, J.; Aguiar, C.; Costa, J.C.; Espírito Santo, M.D.; Lousã, M. Notas do herbário da Estação Florestal Nacional, XXXVI: The vegetation of Madeira: IV—Coastal Vegetation of Porto Santo Island (Archipelago of Madeira). Silva Lusit. 2003, 11, 116–120. [Google Scholar]
- Abreu, D.A.; Abreu, C.; Jardim, R.; Araúlo, R.; Abreu, U. Project: Plano de Urbanização para a Frente de Mar, Campo de Baixo/Ponta da Calheta, Porto Santo. Relatório 1a Fase, Caracterização e Diagnóstico. Anexo 7—Ecologia—Fauna e Flora Terrestres e Marinha; Unpublished Technical Report; GaiaWare/Bruno Soares—Arquitectos, Lda.: Lisboa, Portugal, 2008. (In Portuguese) [Google Scholar]
- Mancini, F.; Dubbini, M.; Gattelli, M.; Stecchi, F.; Fabbri, S.; Gabbianelli, G. Using unmanned aerial vehicles (UAV) for high-resolution reconstruction of topography: The structure from motion approach on coastal environments. Remote Sens. 2013, 5, 6880–6898. [Google Scholar] [CrossRef]
- Gonçalves, J.A.; Henriques, R. UAV photogrammetry for topographic monitoring of coastal areas. J. Photogram Remote Sens. 2015, 104, 101–111. [Google Scholar] [CrossRef]
- Casella, E.; Rovere, A.; Pedroncini, A.; Stark, C.P.; Casella, M.; Ferrari, M.; Firpo, M. Drones as tools for monitoring beach topography changes in the Ligurian Sea (NW Mediterranean). Geo-Mar. Lett. 2016, 36, 151–163. [Google Scholar] [CrossRef]
- Long, N.; Millescamps, B.; Pouget, F.; Dumon, A.; Lachaussee, N.; Bertin, X. Accuracy assessment of coastal topography derived from UAV images. The International Archives of the Photogrammetry. Remote Sens. Spat. Inf. Sci. 2016, 41, 1127–1134. [Google Scholar] [CrossRef]
- Taddia, Y.; Corbau, C.; Zambello, E.; Russo, V.; Simeoni, U.; Russo, P.; Pellegrinelli, A. UAVs to assess the evolution of embryo dunes. International Archives of the Photogrammetry. Remote Sens. Spat. Inf. Sci. 2017, 42, 363–369. [Google Scholar] [CrossRef]
- Bastos, A.P.; Lira, C.P.; Calvão, J.; Catalão, J.; Andrade, C.; Pereira, A.J.; Taborda, R.; Rato, D.; Pinho, P.; Correia, O. UAV derived information applied to the study of slow-changing morphology in dune systems. J. Coast. Res. 2018, 85, 226–230. [Google Scholar] [CrossRef]
- Hilgendorf, Z.; Marvin, M.C.; Turner, C.M.; Walker, I.J. Assessing geomorphic change in restored coastal dune ecosystems using a multi-platform aerial approach. Remote Sens. 2021, 13, 354. [Google Scholar] [CrossRef]
- Ullman, S. The interpretation of structure from motion. Proc. R. Soc. Lond. B 1979, 203, 405–426. Available online: https://royalsocietypublishing.org/ (accessed on 17 December 2022). [PubMed]
- Eltner, A.; Kaiser, A.; Castillo, C.; Rock, G.; Neugirg, F.; Abellán, A. Image-based surface reconstruction in geomorphometry-merits, limits and developments. Earth Surf. Dyn. 2016, 4, 359–389. [Google Scholar] [CrossRef]
- Hersbach, H.; Dee, D. Reanalysis Is in Production. Available online: https://www.ecmwf.int/en/newsletter/147/news/era5-reanalysis-production (accessed on 2 August 2022).
- Bagnold, R. The Physics of Blown Sand and Desert Dunes, 1st ed.; Chapman and Hall: London, UK, 1941. [Google Scholar]
- Van Rijn, L. Aeolian Transport over a Flat Sediment Surface. Available online: https://www.leovanrijn-sediment.com/papers/Aeoliansandtransport2018.pdf (accessed on 2 March 2018).
- Faelga, R.A.; Cantelli, L.; Silvestri, S.; Giambastiani, B.M.S. Dune belt restoration effectiveness assessed by UAV topographic surveys (northern Adriatic coast, Italy). Biogeosciences 2023, 20, 4841–4855. [Google Scholar] [CrossRef]
- Bauer, B.O.; Davidson-Arnott, R.G.D.; Hesp, P.A.; Namikas, S.L.; Ollerhead, J.; Walker, I.J. Aeolian sediment transport on a beach: Surface moisture, wind fetch, and mean transport. Geomorphology 2009, 105, 106–116. [Google Scholar] [CrossRef]
- Delgado-Fernandez, I. A review of the application of the fetch effect to modelling sand supply to coastal foredunes. Aeol. Res. 2010, 2, 61–70. [Google Scholar] [CrossRef]









| Campaign | (m) | (m) | (m) | N | UAV Survey Area (m2) |
|---|---|---|---|---|---|
| October 2020 | 0.077 | 0.032 | 0.083 | 27 | 133,000 |
| April 2021 | 0.031 | 0.004 | 0.031 | 27 | 160,000 |
| October 2021 | 0.027 | 0.006 | 0.028 | 26 | 112,000 |
| May 2022 | 0.031 | 0.008 | 0.032 | 37 | 155,000 |
| October 2022 | 0.015 | 0.006 | 0.016 | 28 | 123,000 |
| February 2023 | 0.008 | 0.002 | 0.008 | 22 | 145,000 |
| Campaign | (m) | (m) | (m) | N |
|---|---|---|---|---|
| October 2020 | 0.06 | 0.01 | 0.09 | 398 |
| April 2021 | 0.08 | 0.05 | 0.10 | 306 |
| October 2021 | 0.05 | 0.05 | 0.09 | 316 |
| May 2022 | 0.05 | 0.05 | 0.08 | 299 |
| October 2022 | 0.05 | 0.06 | 0.08 | 717 |
| February 2023 | 0.05 | 0.06 | 0.08 | 305 |
| All data | 0.06 | 0.05 | 0.08 | 2341 |
| Geomorphological Unit | (m) | (m) | (m) | N |
|---|---|---|---|---|
| Deflation basin | 0.04 | 0.04 | 0.07 | 979 |
| Foredune | 0.07 | 0.06 | 0.11 | 849 |
| Interdune | 0.04 | 0.03 | 0.07 | 116 |
| Nebka | 0.03 | 0.01 | 0.05 | 48 |
| Rocky outcrop | 0.04 | 0.01 | 0.05 | 228 |
| Second dune | 0.06 | 0.04 | 0.08 | 121 |
| Bare sand (all units) | 0.007 | 0.04 | 0.07 | 1672 |
| Statistics | ERA5 Wind Data Per Time Interval | |||||
|---|---|---|---|---|---|---|
| April 2020–October 2020 | October 2020–April 2021 | April 2021–October 2021 | October 2021–May 2022 | May 2022–October 2022 | October 2022–February 2023 | |
| N | 4392 | 4224 | 4368 | 5232 | 3672 | 3264 |
| (m/s) | 6.2 | 6.2 | 6.2 | 7.0 | 6.0 | 6.1 |
| (m/s) | 6.5 | 5.9 | 6.5 | 6.9 | 6.3 | 6.1 |
| Umax (m/s) | 14.4 | 17.8 | 12.4 | 18.1 | 11.5 | 15.1 |
| (m/s) | 8.4 | 8.5 | 8.5 | 9.4 | 8.2 | 8.5 |
| (°) | 10.4 | 19.5 | 7.6 | 33.3 | 4.7 | 18.4 |
| Time Period | Octant | Total Potential Aeolian Transport (m3) | Time Normalized Potential Aeolian Transport (m3/month) | % Total |
|---|---|---|---|---|
| October 2020–April 2021 (N = 4224) | NE | 43 | 7 | 1 |
| E | 1178 | 201 | 31 | |
| SE | 619 | 106 | 16 | |
| S | 1538 | 262 | 40 | |
| SW | 427 | 73 | 11 | |
| Total | 3805 | 649 | 100 | |
| October 2021–October 2021 (N = 4368) | NE | 27 | 4 | 72 |
| E | 0 | 0 | 0 | |
| SE | 0 | 0 | 0 | |
| S | 4 | 1 | 11 | |
| SW | 6 | 1 | 17 | |
| Total | 38 | 6 | 100 | |
| October 2021–May 2022 (N = 5232) | NE | 321 | 44 | 5 |
| E | 1377 | 190 | 21 | |
| SE | 3337 | 459 | 51 | |
| S | 1134 | 156 | 17 | |
| SW | 392 | 54 | 6 | |
| Total | 6561 | 903 | 100 | |
| May 2022–October 2022 (N = 3672) | NE | 30 | 6 | 38 |
| E | 0 | 0 | 0 | |
| SE | 0 | 0 | 0 | |
| S | 22 | 4 | 28 | |
| SW | 27 | 5 | 34 | |
| Total | 79 | 15 | 100 | |
| October 2022–February 2023 (N = 3264) | NE | 135 | 30 | 10 |
| E | 228 | 50 | 18 | |
| SE | 89 | 20 | 7 | |
| S | 497 | 110 | 38 | |
| SW | 350 | 77 | 27 | |
| Total | 1299 | 287 | 100 |
Disclaimer/Publisher’s Note: The statements, opinions and data contained in all publications are solely those of the individual author(s) and contributor(s) and not of MDPI and/or the editor(s). MDPI and/or the editor(s) disclaim responsibility for any injury to people or property resulting from any ideas, methods, instructions or products referred to in the content. |
© 2024 by the authors. Licensee MDPI, Basel, Switzerland. This article is an open access article distributed under the terms and conditions of the Creative Commons Attribution (CC BY) license (https://creativecommons.org/licenses/by/4.0/).
Share and Cite
Bastos, A.P.; Taborda, R.; Andrade, C.; Ponte Lira, C.; Nobre Silva, A. Short-Term Foredune Dynamics in Response to Invasive Vegetation Control Actions. Remote Sens. 2024, 16, 1487. https://doi.org/10.3390/rs16091487
Bastos AP, Taborda R, Andrade C, Ponte Lira C, Nobre Silva A. Short-Term Foredune Dynamics in Response to Invasive Vegetation Control Actions. Remote Sensing. 2024; 16(9):1487. https://doi.org/10.3390/rs16091487
Chicago/Turabian StyleBastos, Ana Pestana, Rui Taborda, César Andrade, Cristina Ponte Lira, and Ana Nobre Silva. 2024. "Short-Term Foredune Dynamics in Response to Invasive Vegetation Control Actions" Remote Sensing 16, no. 9: 1487. https://doi.org/10.3390/rs16091487
APA StyleBastos, A. P., Taborda, R., Andrade, C., Ponte Lira, C., & Nobre Silva, A. (2024). Short-Term Foredune Dynamics in Response to Invasive Vegetation Control Actions. Remote Sensing, 16(9), 1487. https://doi.org/10.3390/rs16091487

