A Robust TCPHD Filter for Multi-Sensor Multitarget Tracking Based on a Gaussian–Student’s t-Mixture Model
Abstract
1. Introduction
1.1. Literature Review and Motivation
1.2. Our Contributions
1.3. Organization of the Article
2. Background
2.1. Notation
2.2. Set Integral
2.3. TPHD and TCPHD Filter
2.4. Multi-Sensor Observation Model
3. Proposed GSTM-TCPHD Filters
3.1. GSTM Distribution
3.2. Implementation of GSTM-TCPHD Filter
3.3. VB Approximation for Posterior Probabilities
4. GSTM-TCPHD Filter Implementation under Single Sensor
4.1. Predict Process
4.2. Update Process
5. GSTM-TCPHD Filter Implementation with a Multi-Sensor
5.1. Prediction Process
5.2. Two-Step Greedy Approximation
5.3. Update Process
6. Simulation
| Parameter | Value |
|---|---|
| Degrees of freedom | 10 |
| State noise | 5 m/s2 |
| Measurement of mixing probabilities | 0.7 |
| State mixing probability | 0.7 |
| Measurement of heavy-tailed noise probability | 0.10 |
| State heavy-tailed noise probability | 0.05 |
| Distance error | 15 m |
| Parameter | Value |
|---|---|
| Detection probability | 0.9 |
| Survival probability | 0.98 |
| Clutter | 40 |
| Tracking period | 1 s |
| Pruning threshold | 10 × 10−5 |
| Maximum number of PHDs | 100 |
| Trajectory scanning steps | 5 |
6.1. Single-Sensor Simulation
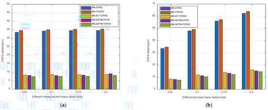
6.2. Multi-Sensor Simulation
7. Conclusions
Author Contributions
Funding
Data Availability Statement
Conflicts of Interest
References
- Li, H.; Zhu, J. Target Tracking Algorithm Based on Meanshift and Kalman Filter. J. Beijing Inst. Technol. 2019, 28, 365–370. [Google Scholar]
- Bar-Shalom, Y.; Willett, P.K.; Tian, X. Tracking and Data Fusion; YBS Publishing: Storrs, CT, USA, 2011. [Google Scholar]
- Mahler, R.P.S. Advances in Statistical Multisource-Multitarget Information Fusion; Artech House: New York, NY, USA, 2014. [Google Scholar]
- Vo, B.T.; Vo, B.N.; Cantoni, A. The cardinality balanced multi-target multi-Bernoulli filter and its implementations. IEEE Trans. Signal Process. 2008, 57, 409–423. [Google Scholar]
- Park, W.J.; Park, C.G. Distributed GM-CPHD Filter Based on Generalized Inverse Covariance Intersection. IEEE Access 2021, 9, 94078–94086. [Google Scholar] [CrossRef]
- García-Fernández, Á.F.; Svensson, L.; Morelande, M.R. Multiple target tracking based on sets of trajectories. IEEE Trans. Aerosp. Electron. Syst. 2019, 56, 1685–1707. [Google Scholar] [CrossRef]
- Wei, S.; Zhang, B.; Yi, W. Trajectory PHD and CPHD Filters With Unknown Detection Profile. IEEE Trans. Veh. Technol. 2022, 8, 8042–8058. [Google Scholar] [CrossRef]
- Hou, L.; Lian, F.; Tan, S.; Xu, C.; de Abreu, G.T.F. Robust Generalized Labeled Multi-Bernoulli Filter for Multitarget Tracking With Unknown Non-Stationary Heavy-Tailed Measurement Noise. IEEE Access 2021, 9, 94438–94453. [Google Scholar] [CrossRef]
- Saha, S. Noise Robust Online Inference for Linear Dynamic Systems. arXiv 2015, arXiv:1504.05723. [Google Scholar]
- Agamennoni, G.; Nieto, J.I.; Nebot, E.M. Approximate Inference in State-Space Models With Heavy-Tailed Noise. IEEE Trans. Signal Process. 2012, 60, 5024–5037. [Google Scholar] [CrossRef]
- Lee, C.S.; Cho, H.C.; Jung, B.Y.; Ra, W.S. Adaptive Sequential Gaussian Sum Approximation for High-Resolution Radar Target Tracking with Non-Gaussian Multi-Detection. In Proceedings of the 2022 22nd International Conference on Control, Automation and Systems (ICCAS), Jeju, Republic of Korea, 27 November–1 December 2022; pp. 1654–1659. [Google Scholar]
- García-Fernández, Á.F.; Ralph, J.; Horridge, P.; Maskell, S. A Gaussian Filtering Method for Multitarget Tracking With Nonlinear/Non-Gaussian Measurements. IEEE Trans. Aerosp. Electron. Syst. 2021, 57, 3539–3548. [Google Scholar] [CrossRef]
- Gordon, N. A hybrid bootstrap filter for target tracking in clutter. IEEE Trans. Aerosp. Electron. Syst. 1997, 33, 353–358. [Google Scholar] [CrossRef]
- Kitagawa, G. Monte Carlo filter and smoother for non-Gaussian nonlinear state space models. J. Comput. Graph. Stat. 1996, 5, 1–25. [Google Scholar]
- Loxam, J.; Drummond, T. Student-t mixture filter for robust, real-time visual tracking. In Computer Vision–ECCV 2008: 10th European Conference on Computer Vision, Marseille, France, October 12–18, 2008, Proceedings, Part III 10; Springer: Berlin/Heidelberg, Germany, 2008; pp. 372–385. [Google Scholar]
- Tao, Y.; Yau, S.S.T. Outlier-Robust Iterative Extended Kalman Filtering. IEEE Signal Process. Lett. 2023, 30, 743–747. [Google Scholar] [CrossRef]
- Chen, B.; Principe, J.C. Maximum correntropy estimation is a smoothed MAP estimation. IEEE Signal Process. Lett. 2012, 19, 491–494. [Google Scholar] [CrossRef]
- Yang, Y.; Luo, Y.; Qi, A.; Shi, G.; Miao, M.; Fan, J.; Ma, J.; Qi, Y. Huber Kalman Filter for Wi-Fi Based Vehicle Driver’s Respiration Detection. IEEE Trans. Veh. Technol. 2022, 71, 8933–8943. [Google Scholar] [CrossRef]
- Tollkühn, A.; Particke, F.; Thielecke, J. Gaussian state estimation with non-gaussian measurement noise. In 2018 Sensor Data Fusion: Trends, Solutions, Applications (SDF); IEEE: Bonn, Germany, 2018; pp. 1–5. [Google Scholar]
- Huang, Y.; Zhang, Y.; Li, N.; Chambers, J. A robust Gaussian approximate filter for nonlinear systems with heavy tailed measurement noises. In Proceedings of the IEEE International Conference on Acoustics, Speech and Signal Processing (ICASSP), Shanghai, China, 20–25 March 2016; pp. 4209–4213. [Google Scholar]
- Liu, Z.; Chen, S.; Wu, H.; He, R.; Hao, L. A Student’s t mixture probability hypothesis density filter for multi-target tracking with outliers. Sensors 2018, 18, 1095. [Google Scholar] [CrossRef] [PubMed]
- Liu, Z.; Chen, S.; Wu, H.; Chen, K. Robust student’s t mixture probability hypothesis density filter for multi-target tracking with heavy-tailed noises. IEEE Access 2018, 6, 39208–39219. [Google Scholar] [CrossRef]
- Yang, J.; Ge, H. Adaptive probability hypothesis density filter based on variational Bayesian approximation for multi-target tracking. IET Radar Sonar Navig. 2013, 7, 959–967. [Google Scholar] [CrossRef]
- Yang, J.L.; Ge, H.W. An improved multi-target tracking algorithm based on CB-MeMBer filter and variational Bayesian approximation. Signal Process. 2013, 93, 2510–2515. [Google Scholar] [CrossRef]
- Li, W.; Jia, Y.; Du, J.; Zhang, J. PHD filter for multi-target tracking by variational Bayesian approximation. In Proceedings of the 52nd IEEE Conference on Decision and Control, Firenze, Italy, 10–13 December 2013; pp. 7815–7820. [Google Scholar]
- Yi, W.; Li, S.; Wang, B. Computationally Efficient Distributed Multi-sensor Fusion with Multi-Bernoulli Filter. IEEE Trans. Signal Process. 2020, 68, 241–256. [Google Scholar] [CrossRef]
- Mahler, R.P.S. Multitarget Bayes filtering via first-order multitarget moments. IEEE Trans. Aerosp. Electron. Syst. 2003, 39, 1152–1178. [Google Scholar] [CrossRef]
- Nannuru, S.; Coates, M.; Rabbat, M.; Blouin, S. General solution and approximate implementation of the multisensor multitarget CPHD filter. In Proceedings of the 2015 IEEE International Conference on Acoustics, Speech and Signal Processing (ICASSP), South Brisbane, QLD, Australia, 19–24 April 2015; pp. 4055–4059. [Google Scholar]
- Mahler, R. Approximate multisensor CPHD and PHD filters. In Proceedings of the 2010 13th International Conference on Information Fusion, Edinburgh, UK, 26–29 July 2010; pp. 1–8. [Google Scholar]
- Sun, J.; Dai, B.; Zhang, Y. MS-LMB Filter for Stealthy Target Tracking Based on Greedy Measurement Partitioning Mechanism. Trans. Beijing Inst. Technol. 2022, 42, 1290–1298. [Google Scholar]
- Huang, Y.; Zhang, Y.; Zhao, Y.; Chambers, J.A. A Novel Robust Gaussian–Student’s t Mixture Distribution Based Kalman Filter. IEEE Trans. Signal Process. 2019, 67, 3606–3620. [Google Scholar] [CrossRef]
- Ji, S.; Zhang, Z.; Ying, S.; Wang, L.; Zhao, X.; Gao, Y. Kullback–Leibler Divergence Metric Learning. IEEE Trans. Cybern. 2022, 4, 2047–2058. [Google Scholar] [CrossRef] [PubMed]
- Nannuru, S.; Blouin, S.; Coates, M.; Rabbat, M. Multisensor CPHD filter. IEEE Trans. Aerosp. Electron. Syst. 2016, 52, 1834–1854. [Google Scholar] [CrossRef]
- Vo, B.N.; Ma, W.K. The Gaussian mixture probability hypothesis density filter. IEEE Trans. Signal Process. 2006, 54, 4091–4104. [Google Scholar] [CrossRef]
- García-Fernández, Á.F.; Svensson, L. Trajectory PHD and CPHD filters. IEEE Trans. Signal Process. 2019, 67, 5702–5714. [Google Scholar] [CrossRef]
- Vo, B.T.; Vo, B.N.; Hoseinnezhad, R.; Mahler, R.P.S. Robust Multi-Bernoulli Filtering. IEEE J. Sel. Top. Signal Process. 2013, 7, 399–409. [Google Scholar] [CrossRef]
- Roth, M.; Özkan, E.; Gustafsson, F. A Student’s t filter for heavy tailed process and measurement noise. In Proceedings of the 2013 IEEE International Conference on Acoustics, Speech and Signal Processing, Vancouver, BC, Canada, 26–31 May 2013; pp. 5770–5774. [Google Scholar]
- Kotz, S.; Nadarajah, S. Multivariate T-Distributions and Their Applications; Cambridge University Press: Cambridge, UK, 2004. [Google Scholar]
- Youn, W.; Huang, Y.; Myung, H. Outlier-Robust Student’s-t-Based IMM-VB Localization for Manned Aircraft Using TDOA Measurements. IEEE/ASME Trans. Mechatron. 2020, 25, 1646–1658. [Google Scholar] [CrossRef]
- Huang, Y.; Zhang, Y.; Wu, Z.; Li, N.; Chambers, J. A novel adaptive Kalman filter with inaccurate process and measurement noise covariance matrices. IEEE Trans. Autom. Control. 2018, 63, 594–601. [Google Scholar] [CrossRef]
- Yi, W.; Li, G.; Battistelli, G. Distributed Multi-Sensor Fusion of PHD Filters With Different Sensor Fields of View. IEEE Trans. Signal Process. 2020, 68, 5204–5218. [Google Scholar] [CrossRef]
- Liu, S.; Shen-tu, H.; Chen, H.; Peng, D.; Shi, Y. Asynchronous Multi-Sensor Fusion Multi-Target Tracking Method. In Proceedings of the 2018 IEEE 14th International Conference on Control and Automation (ICCA), Anchorage, AK, USA, 12–15 June 2018; pp. 459–463. [Google Scholar]
- Li, T.; Wang, X.; Liang, Y.; Pan, Q. On Arithmetic Average Fusion and Its Application for Distributed Multi-Bernoulli Multitarget Tracking. IEEE Trans. Signal Process. 2020, 68, 2883–2896. [Google Scholar] [CrossRef]
- Movassagh, S.; Fatehi, A.; Sedigh, A.K.; Shariati, A. Kalman Filter Fusion With Smoothing for a Process With Continuous-Time Integrated Sensor. IEEE Sens. J. 2023, 23, 7279–7287. [Google Scholar] [CrossRef]
- Clark, D.E. Multi-Sensor Network Information for Linear-Gaussian Multi-Target Tracking Systems. IEEE Trans. Signal Process. 2021, 69, 4312–4325. [Google Scholar] [CrossRef]






















| Filter | OSPA for MS | OSPA for SS | Time for MS | Time for SS |
|---|---|---|---|---|
| CPHD | 3.68 | 11.84 | 2.27 s | 0.68 s |
| TCPHD | 4.03 | 12.42 | 4.37 s | 0.29 s |
| ST-TCPHD | 4.19 | 23.50 | 119.18 s | 17.70 s |
| GSTM-TCPHD | 3.88 | 28.89 | 27.81 s | 24.11 s |
| Filter | OSPA for MS | OSPA for SS | Time for MS | Time for SS |
|---|---|---|---|---|
| CPHD | 4.08 | 17.49 | 2.74 s | 0.79 s |
| TCPHD | 4.35 | 18.71 | 5.15 s | 0.28 s |
| ST-TCPHD | 4.21 | 25.54 | 152.07 s | 12.15 s |
| GSTM-TCPHD | 3.92 | 17.54 | 48.88 s | 34.61 s |
| Filter | OSPA for MS | OSPA for SS | Time for MS | Time for SS |
|---|---|---|---|---|
| CPHD | 34.71 | 51.77 | 2.74 s | 0.65 s |
| TCPHD | 35.55 | 55.47 | 5.15 s | 0.19 s |
| ST-TCPHD | 7.76 | 54.18 | 221.07 s | 14.09 s |
| GSTM-TCPHD | 6.75 | 32.52 | 48.66 s | 41.91 s |
Disclaimer/Publisher’s Note: The statements, opinions and data contained in all publications are solely those of the individual author(s) and contributor(s) and not of MDPI and/or the editor(s). MDPI and/or the editor(s) disclaim responsibility for any injury to people or property resulting from any ideas, methods, instructions or products referred to in the content. |
© 2024 by the authors. Licensee MDPI, Basel, Switzerland. This article is an open access article distributed under the terms and conditions of the Creative Commons Attribution (CC BY) license (https://creativecommons.org/licenses/by/4.0/).
Share and Cite
Wei, S.; Lin, Y.; Wang, J.; Zeng, Y.; Qu, F.; Zhou, X.; Lu, Z. A Robust TCPHD Filter for Multi-Sensor Multitarget Tracking Based on a Gaussian–Student’s t-Mixture Model. Remote Sens. 2024, 16, 506. https://doi.org/10.3390/rs16030506
Wei S, Lin Y, Wang J, Zeng Y, Qu F, Zhou X, Lu Z. A Robust TCPHD Filter for Multi-Sensor Multitarget Tracking Based on a Gaussian–Student’s t-Mixture Model. Remote Sensing. 2024; 16(3):506. https://doi.org/10.3390/rs16030506
Chicago/Turabian StyleWei, Shaoming, Yingbin Lin, Jun Wang, Yajun Zeng, Fangrui Qu, Xuan Zhou, and Zhuotong Lu. 2024. "A Robust TCPHD Filter for Multi-Sensor Multitarget Tracking Based on a Gaussian–Student’s t-Mixture Model" Remote Sensing 16, no. 3: 506. https://doi.org/10.3390/rs16030506
APA StyleWei, S., Lin, Y., Wang, J., Zeng, Y., Qu, F., Zhou, X., & Lu, Z. (2024). A Robust TCPHD Filter for Multi-Sensor Multitarget Tracking Based on a Gaussian–Student’s t-Mixture Model. Remote Sensing, 16(3), 506. https://doi.org/10.3390/rs16030506

