Black-Grass Monitoring Using Hyperspectral Image Data Is Limited by Between-Site Variability
Abstract
1. Introduction
2. Materials and Methods
2.1. Weed Density Data
2.2. Remote Sensing Data
2.3. Pre-Processing
2.4. Analysis
2.5. Ensemble Learning
2.6. Assessing Performance
3. Results
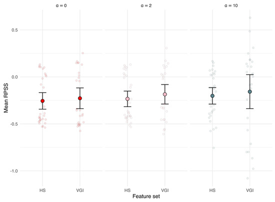
3.1. Within-Field vs. Out-of-Field Classification
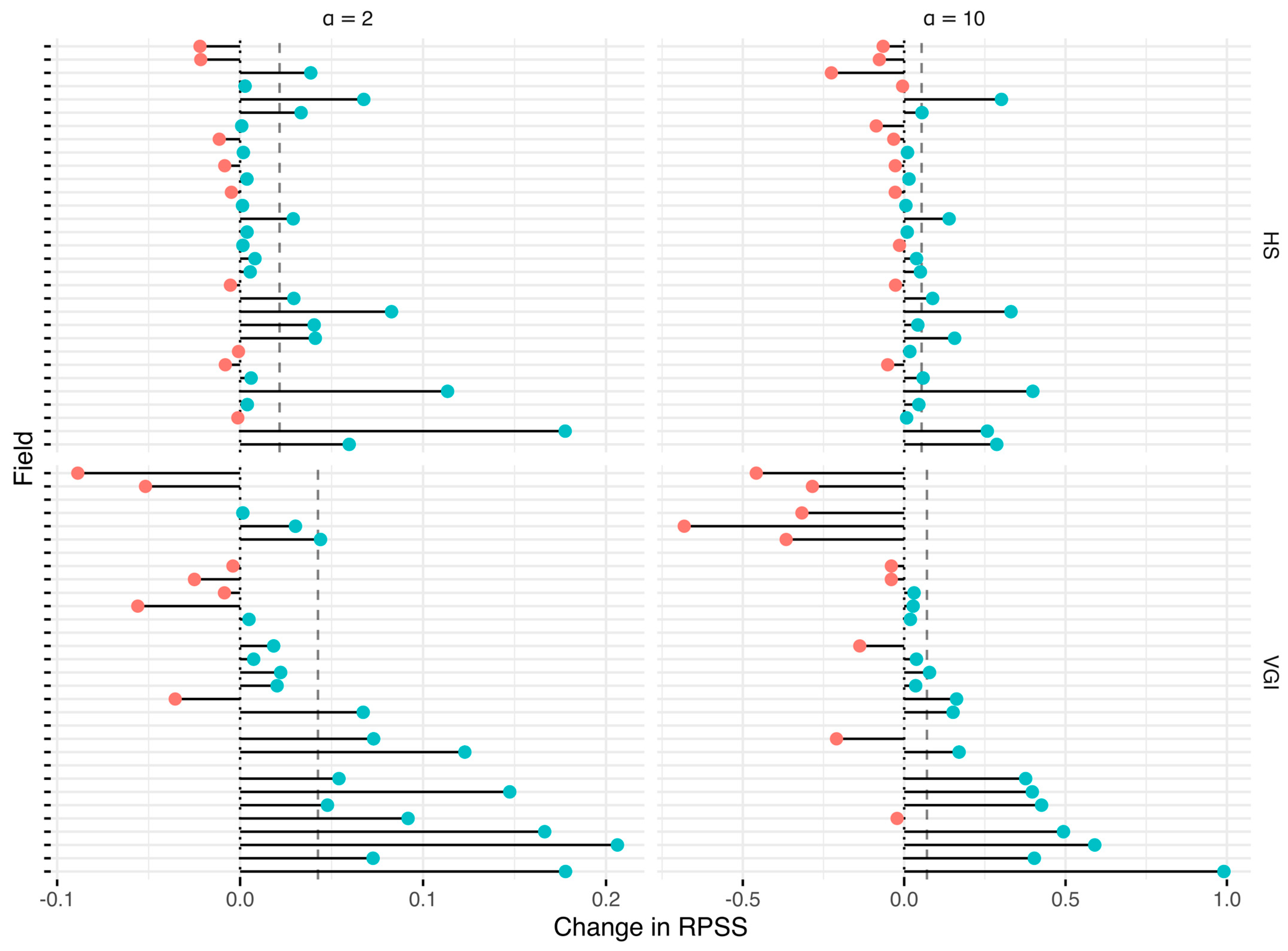
3.2. Ensemble Weighting
4. Discussion
4.1. Ensemble Classification Using Hyperspectral Data
4.2. Improving Performance-Quantification of a Spectral Signature
4.3. Improving Out-of-Field Performance Features and Algorithms
5. Conclusions
Supplementary Materials
Author Contributions
Funding
Data Availability Statement
Acknowledgments
Conflicts of Interest
References
- Lutman, P.J.W.; Moss, S.R.; Cook, S.; Welham, S.J. A review of the effects of crop agronomy on the management of Alopecurus myosuroides. Weed Res. 2013, 53, 299–313. [Google Scholar] [CrossRef]
- Goodsell, R.M.; Childs, D.Z.; Spencer, M.; Coutts, S.; Vergnon, R.; Swinfield, T.; Queenborough, S.A.; Freckleton, R.P. Developing hierarchical density-structured models to study the national-scale dynamics of an arable weed. Ecol. Monogr. 2021, 91, e01449. [Google Scholar] [CrossRef]
- Goodsell, R.M.; Comont, D.; Hicks, H.; Lambert, J.; Hull, R.; Crook, L.; Fraccaro, P.; Reusch, K.; Freckleton, R.P.; Childs, D.Z. Quantifying the impacts of management and herbicide resistance on regional plant population dynamics in the face of missing data. J. Appl. Ecol. 2024, 61, 1109–1126. [Google Scholar] [CrossRef]
- Buhler, D.D. Weed population responses to weed control practices. Weed Sci. Soc. Am. 1999, 47, 416–422. [Google Scholar] [CrossRef]
- Chauvel, B.; Guillemin, J.P.; Colbach, N.; Gasquez, J. Evaluation of cropping systems for management of herbicide-resistant populations of blackgrass. Crop Prot. 2001, 20, 127–137. [Google Scholar] [CrossRef]
- Daouti, E.; Jonsson, M.; Vico, G.; Menegat, A. Seed predation is key to preventing population growth of the weed Alopecurus myosuroides. J. Appl. Ecol. 2022, 59, 471–482. [Google Scholar] [CrossRef]
- Queenborough, S.A.; Burnet, K.M.; Sutherland, W.J.; Watkinson, A.R.; Freckleton, R.P. From meso- to macroscale population dynamics: A new density-structured approach. Methods Ecol. Evol. 2011, 2, 289–302. [Google Scholar] [CrossRef]
- Tredennick, A.T.; Hooten, M.B.; Aldridge, C.L.; Homer, C.G.; Kleinhesselink, A.R.; Adler, P.B. Forecasting climate change impacts on plant populations over large spatial extents. Ecosphere 2016, 7, e01525. [Google Scholar] [CrossRef]
- Freckleton, R.P.; Hicks, H.L.; Comont, D.; Crook, L.; Hull, R.; Childs, D.Z. Measuring the effectiveness of management interventions at regional scales by integrating ecological monitoring and modelling. Pest Manag. Sci. 2017, 74, 2287–2295. [Google Scholar] [CrossRef] [PubMed]
- Kleinhesselink, A.R.; Adler, P.B. The response of big sagebrush (Artemisia tridentata) to interannual climate variation changes across its range. Ecology 2018, 99, 1139–1149. [Google Scholar] [CrossRef]
- Shriver, R.K.; Andrews, C.M.; Pilliod, D.S.; Arkle, R.S.; Welty, J.L.; Germino, M.J.; Duniway, M.C.; Pyke, D.A.; Bradford, J.B. Adapting management to a changing world: Warm temperatures, dry soil, and interannual variability limit restoration success of a dominant woody shrub in temperate drylands. Glob. Chang. Biol. 2018, 24, 4972–4982. [Google Scholar] [CrossRef] [PubMed]
- Caughlin, T.T.; Damschen, E.I.; Haddad, N.M.; Levey, D.J.; Warneke, C.; Brudvig, L.A. Landscape heterogeneity is key to forecasting outcomes of plant reintroduction. Ecol. Appl. 2019, 29, e01850. [Google Scholar] [CrossRef] [PubMed]
- Damschen, E.I.; Brudvig, L.A.; Burt, M.A.; Fletcher, R.J.; Haddad, N.M.; Levey, D.J.; Orrock, J.L.; Resasco, J.; Tewksbury, J.J. Ongoing accumulation of plant diversity through habitat connectivity in an 18-year experiment. Science 2019, 365, 1478–1480. [Google Scholar] [CrossRef]
- Lambert, J.P.T.; Hicks, H.L.; Childs, D.Z.; Freckleton, R.P. Evaluating the potential of Unmanned Aerial Systems for mapping weeds at field scales: A case study with Alopecurus myosuroides. Weed Res. 2018, 58, 35–45. [Google Scholar] [CrossRef]
- Lambert, J.P.T.; Childs, D.Z.; Freckleton, R.P. Testing the ability of unmanned aerial systems and machine learning to map weeds at subfield scales: A test with the weed Alopecurus myosuroides (Huds). Pest Manag. Sci. 2019, 75, 2283–2294. [Google Scholar] [CrossRef]
- Weiss, M.; Jacob, F.; Duveiller, G. Remote sensing for agricultural applications: A meta-review. Remote Sens. Environ. 2020, 236, 111402. [Google Scholar] [CrossRef]
- Sant, E.D.; Simonds, G.E.; Ramsey, R.D.; Larsen, R.T. Assessment of sagebrush cover using remote sensing at multiple spatial and temporal scales. Ecol. Indic. 2014, 43, 297–305. [Google Scholar] [CrossRef]
- Thorp, K.R.; Tian, L.F. A Review on Remote Sensing of Weeds in Agriculture. Precis. Agric. 2004, 5, 477–508. [Google Scholar] [CrossRef]
- Zhang, C.; Atkinson, P.M.; George, C.; Wen, Z.; Diazgranados, M.; Gerard, F. Identifying and mapping individual plants in a highly diverse high-elevation ecosystem using UAV imagery and deep learning. ISPRS J. Photogramm. Remote Sens. 2020, 169, 280–291. [Google Scholar] [CrossRef]
- Baena, S.; Moat, J.; Whaley, O.; Boyd, D.S. Identifying species from the air: UAVs and the very high resolution challenge for plant conservation. PLoS ONE 2017, 12, e0188714. [Google Scholar] [CrossRef] [PubMed]
- Fraccaro, P.; Butt, J.; Edwards, B.; Freckleton, R.P.; Childs, D.Z.; Reusch, K.; Comont, D. A Deep Learning Application to Map Weed Spatial Extent from Unmanned Aerial Vehicles Imagery. Remote Sens. 2022, 14, 4197. [Google Scholar] [CrossRef]
- Tay, J.Y.L.; Erfmeier, A.; Kalwij, J.M. Reaching new heights: Can drones replace current methods to study plant population dynamics? Plant Ecol. 2018, 219, 1139–1150. [Google Scholar] [CrossRef]
- Martin, M. Cutadapt removes adapter sequences from high-throughput sequencing reads. EMBnet J. 2011, 7, 10–12. [Google Scholar] [CrossRef]
- Rominger, K.; Meyer, S.E. Application of UAV-Based Methodology for Census of an Endangered Plant Species in a Fragile Habitat. Remote Sens. 2019, 11, 719. [Google Scholar] [CrossRef]
- Andrew, M.E.; Ustin, S.L. The role of environmental context in mapping invasive plants with hyperspectral image data. Remote Sens. Environ. 2008, 112, 4301–4317. [Google Scholar] [CrossRef]
- Papp, L.; van Leeuwen, B.; Szilassi, P.; Tobak, Z.; Szatmári, J.; Árvai, M.; Mészáros, J.; Pásztor, L. Monitoring invasive plant species using hyperspectral remote sensing data. Land 2020, 10, 29. [Google Scholar] [CrossRef]
- Basinger, N.T.; Hestir, E.L.; Jennings, K.M.; Monks, D.W.; Everman, W.J.; Jordan, D.L. Detection of Palmer amaranth (Amaranthus palmeri) and large crabgrass (Digitaria sanguinalis) with in situ hyperspectral remote sensing. I. Effects of weed density and soybean presence. Weed Sci. 2022, 70, 198–212. [Google Scholar] [CrossRef]
- Dmitriev, P.A.; Kozlovsky, B.L.; Kupriushkin, D.P.; Dmitrieva, A.A.; Rajput, V.D.; Chokheli, V.A.; Tarik, E.P.; Kapralova, O.A.; Tokhtar, V.K.; Minkina, T.M.; et al. Assessment of Invasive and Weed Species by Hyperspectral Imagery in Agrocenoses Ecosystem. Remote Sens. 2022, 14, 2442. [Google Scholar] [CrossRef]
- Peteinatos, G.G.; Reichel, P.; Karouta, J.; Andújar, D.; Gerhards, R. Weed identification in Maize, sunflower, and potatoes with the aid of convolutional neural networks. Remote Sens. 2020, 12, 4185. [Google Scholar] [CrossRef]
- Lopatin, J.; Dolos, K.; Kattenborn, T.; Fassnacht, F.E. How canopy shadow affects invasive plant species classification in high spatial resolution remote sensing. Remote Sens. Ecol. Conserv. 2019, 5, 302–317. [Google Scholar] [CrossRef]
- Arroyo-Mora, J.P.; Kalacska, M.; Løke, T.; Schläpfer, D.; Coops, N.C.; Lucanus, O.; Leblanc, G. Assessing the impact of illumination on UAV pushbroom hyperspectral imagery collected under various cloud cover conditions. Remote Sens. Environ. 2021, 258, 112396. [Google Scholar] [CrossRef]
- Motohka, T.; Nasahara, K.N.; Oguma, H.; Tsuchida, S. Applicability of Green-Red Vegetation Index for Remote Sensing of Vegetation Phenology. Remote Sens. 2010, 2, 2369. [Google Scholar] [CrossRef]
- Paz-Kagan, T.; Silver, M.; Panov, N.; Karnieli, A. Multispectral Approach for Identifying Invasive Plant Species Based on Flowering Phenology Characteristics. Remote Sens. 2019, 11, 953. [Google Scholar] [CrossRef]
- Meyer, H.; Reudenbach, C.; Wöllauer, S.; Nauss, T. Importance of spatial predictor variable selection in machine learning applications—Moving from data reproduction to spatial prediction. Ecol. Model. 2019, 411, 108815. [Google Scholar] [CrossRef]
- Shahbazi, M.; Théau, J.; Ménard, P. Recent applications of unmanned aerial imagery in natural resource management. GIScience Remote Sens. 2014, 51, 339–365. [Google Scholar] [CrossRef]
- Huang, Y.; Reddy, K.N.; Fletcher, R.S.; Pennington, D. UAV Low-Altitude Remote Sensing for Precision Weed Management. In Weed Technology; Cambridge University Press: Cambridge UK, 2018; pp. 2–6. [Google Scholar] [CrossRef]
- Sulaiman, N.; Che’ya, N.N.; Mohd Roslim, M.H.; Juraimi, A.S.; Mohd Noor, N.; Fazlil Ilahi, W.F. The Application of Hyperspectral Remote Sensing Imagery (HRSI) for Weed Detection Analysis in Rice Fields: A Review. Appl. Sci. 2022, 12, 2570. [Google Scholar] [CrossRef]
- Fricker, G.A.; Ventura, J.D.; Wolf, J.A.; North, M.P.; Davis, F.W.; Franklin, J. A convolutional neural network classifier identifies tree species in mixed-conifer forest from hyperspectral imagery. Remote Sens. 2022, 11, 2326. [Google Scholar] [CrossRef]
- Underwood, E.; Ustin, S.; DiPietro, D. Mapping nonnative plants using hyperspectral imagery. Remote Sens. Environ. 2003, 86, 150–161. [Google Scholar] [CrossRef]
- Thomas, L.-F.; Änäkkälä, M.; Lajunen, A. Weakly Supervised Perennial Weed Detection in a Barley Field. Remote Sens. 2023, 15, 2877. [Google Scholar] [CrossRef]
- Feng, C.; Zhang, W.; Deng, H.; Dong, L.; Zhang, H.; Tang, L.; Zheng, Y.; Zhao, Z. A Combination of OBIA and Random Forest Based on Visible UAV Remote Sensing for Accurately Extracted Information about Weeds in Areas with Different Weed Densities in Farmland. Remote Sens. 2023, 15, 4696. [Google Scholar] [CrossRef]
- Guo, Z.; Cai, D.; Zhou, Y.; Xu, T.; Yu, F. Identifying rice field weeds from unmanned aerial vehicle remote sensing imagery using deep learning. Plant Methods 2024, 20, 105. [Google Scholar] [CrossRef]
- Engler, R.; Waser, L.T.; Zimmermann, N.E.; Schaub, M.; Berdos, S.; Ginzler, C.; Psomas, A. Combining ensemble modeling and remote sensing for mapping individual tree species at high spatial resolution. For. Ecol. Manag. 2013, 310, 64–73. [Google Scholar] [CrossRef]
- Feng, L.; Zhang, Z.; Ma, Y.; Du, Q.; Williams, P.; Drewry, J.; Luck, B. Alfalfa yield prediction using UAV-based hyperspectral imagery and ensemble learning. Remote Sens. 2020, 12, 2028. [Google Scholar] [CrossRef]
- Freckleton, R.P.; Sutherland, W.J.; Watkinson, A.R.; Queenborough, S.A. Density-structured models for plant population dynamics. Am. Nat. 2011, 177, 1–17. [Google Scholar] [CrossRef]
- Varah, A.; Ahodo, K.; Coutts, S.R.; Hicks, H.L.; Comont, D.; Crook, L.; Hull, R.; Neve, P.; Childs, D.Z.; Freckleton, R.P.; et al. The costs of human-induced evolution in an agricultural system. Nat. Sustain. 2020, 3, 63–71. [Google Scholar] [CrossRef] [PubMed]
- Hicks, H.L.; Comont, D.; Coutts, S.R.; Crook, L.; Hull, R.; Norris, K.; Neve, P.; Childs, D.Z.; Freckleton, R.P. The factors driving evolved herbicide resistance at a national scale. Nat. Ecol. Evol. 2018, 2, 529–536. [Google Scholar] [CrossRef]
- Varah, A.; Ahodo, K.; Childs, D.Z.; Comont, D.; Crook, L.; Freckleton, R.P.; Goodsell, R.; Hicks, H.L.; Hull, R.; Neve, P.; et al. Acting pre-emptively reduces the long-term costs of managing herbicide resistance. Sci. Rep. 2024, 14, 6201. [Google Scholar] [CrossRef] [PubMed]
- SimActive. Correlator 3D, an Ultra-Rapid Solution for the Generation of Geospatial Data. 2018. [Google Scholar]
- Schläpfer, D.; Schaepman, M.; Itten, K.I. PARGE: Parametric geocoding based on GCP-calibrated auxiliary data. In Imaging Spectrometry IV; SPIE: Bellingham, WA, USA, 1998; pp. 334–344. [Google Scholar]
- Gitelson, A.A.; Merzlyak, M.N.; Chivkunova, O.B. Optical properties and nondestructive estimation of anthocyanin content in plant leaves. Photochem. Photobiol. 2001, 74, 38–45. [Google Scholar] [CrossRef] [PubMed]
- Gitelson, A.A.; Zur, Y.; Chivkunova, O.B.; Merzlyak, M.N. Assessing carotenoid content in plant leaves with reflectance spectroscopy. Photochem. Photobiol. 2002, 75, 272–281. [Google Scholar] [CrossRef] [PubMed]
- Gitelson, A.; Merzlyak, M.N. Quantitative estimation of chlorophyll-a using reflectance spectra: Experiments with autumn chestnut and maple leaves. J. Photochem. Photobiol. B 1994, 22, 247–252. [Google Scholar] [CrossRef]
- Qi, J.; Chehbouni, A.; Kerr, Y.; Sorooshian, S. A modified soil adjusted vegetation index. Remote Sens. Environ. 1994, 48, 119–126. [Google Scholar] [CrossRef]
- Rouse, J.W.; Haas, R.H.; Schell, J.A.; Deering, D.W. Monitoring Vegetation Systems in the Great Plains with ERTS. 1974. Available online: https://ntrs.nasa.gov/citations/19740022614 (accessed on 23 September 2024).
- Gamon, J.A.; Peñuelas, J.; Field, C.B. A narrow-waveband spectral index that tracks diurnal changes in photosynthetic efficiency. Remote Sens. Environ. 1992, 41, 35–44. [Google Scholar] [CrossRef]
- Curran, P.; Windham, W.; Golz, H. Exploring the relationship between reflectance red edge and chlorophyll concentration in slash pine leaves. Tree Physiol. 1995, 15, 203–206. [Google Scholar] [CrossRef]
- Penuelas, J.; Baret, F.; Filella, I. Semi-Empirical Indices to Assess Carotenoids/Chlorophyll-a Ratio from Leaf Spectral Reflectance. Photosynthetica 1995, 31, 221–230. [Google Scholar]
- Haboudane, D.; Miller, J.R.; Pattey, E.; Zarco-Tejada, P.J.; Strachan, I.B. Hyperspectral vegetation indices and novel algorithms for predicting green LAI of crop canopies: Modeling and validation in the context of precision agriculture. Remote Sens. Environ. 2004, 90, 337–352. [Google Scholar] [CrossRef]
- Rondeaux, G.; Steven, M.; Baret, F. Optimization of soil-adjusted vegetation indices. Remote Sens. Environ. 1996, 55, 95–107. [Google Scholar] [CrossRef]
- Broge, N.H.; Leblanc, E. Comparing prediction power and stability of broadband and hyperspectral vegetation indices for estimation of green leaf area index and canopy chlorophyll density. Remote Sens. Environ. 2001, 76, 156–172. [Google Scholar] [CrossRef]
- Vogelmann, J.E.; Rock, B.N.; Moss, D.M. Red edge spectral measurements from sugar maple leaves. Int. J. Remote Sens. 1993, 14, 1563–1575. [Google Scholar] [CrossRef]
- Penuelas, J.; Pinol, J.; Ogaya, R.; Filella, I. Estimation of plant water concentration by the reflectance Water Index WI (R900/R970). Int. J. Remote Sens. 1997, 18, 2869–2875. [Google Scholar] [CrossRef]
- Merzlyak, M.N.; Gitelson, A.A.; Chivkunova, O.B.; Rakitin, V.Y. Non-destructive optical detection of pigment changes during leaf senescence and fruit ripening. Physiol. Plant. 1999, 106, 135–141. [Google Scholar] [CrossRef]
- Cloutis, E.; Connery, D.; Major, D.; Dover, F. Airborne multi-spectral monitoring of agricultural crop status: Effect of time of year, crop type and crop condition parameter. Int. J. Remote Sens. 1996, 17, 2579–2601. [Google Scholar] [CrossRef]
- Gitelson, A.A.; Stark, R.; Grits, U.; Rundquist, D.; Kaufman, Y.; Derry, D. Vegetation and soil lines in visible spectral space: A concept and technique for remote estimation of vegetation fraction. Int. J. Remote Sens. 2002, 23, 2537–2562. [Google Scholar] [CrossRef]
- Breiman, L. Random Forests. Mach. Learn. 2001, 45, 5–32. [Google Scholar] [CrossRef]
- Wright, M.N.; Ziegler, A. Ranger: A fast implementation of random forests for high dimensional data in C++ and R. J. Stat. Softw. 2017, 77, 1–17. [Google Scholar] [CrossRef]
- Gilad-Bachrach, R.; Navot, A.; Tishby, N. Margin based feature selection—Theory and algorithms. In Twenty-First International Conference on Machine Learning—ICML ’04; ACM Press: Banff, AB, Canada, 2004; p. 43. [Google Scholar] [CrossRef]
- Weigel, A.P.; Liniger, M.A.; Appenzeller, C. The Discrete Brier and Ranked Probability Skill Scores. Mon. Weather. Rev. 2007, 135, 118–124. [Google Scholar] [CrossRef]
- Cox, J.; Li, X.; Fox, C.; Coutts, S. Black-grass (Alopecurus myosuroides) in cereal multispectral detection by UAV. Weed Sci. 2023, 71, 444–452. [Google Scholar] [CrossRef]
- Ahodo, K.; Oglethorpe, D.; Hicks, H.L.; Freckleton, R.P. Estimating the farm-level economic costs of spring cropping to manage Alopecurus myosuroides (black-grass) in UK agriculture. J. Agric. Sci. 2019, 157, 318–332. [Google Scholar] [CrossRef]
- Ollinger, S.V. Sources of variability in canopy reflectance and the convergent properties of plants. New Phytol. 2010, 189, 375–394. [Google Scholar] [CrossRef] [PubMed]
- Shi, H.; Jiang, J.; Jacquemoud, S.; Xiao, Z.; Ma, M. Estimating leaf mass per area with leaf radiative transfer model. Remote Sens. Environ. 2023, 286, 113444. [Google Scholar] [CrossRef]
- Jiang, J.; Comar, A.; Weiss, M.; Baret, F. FASPECT: A model of leaf optical properties accounting for the differences between upper and lower faces. Remote Sens. Environ. 2021, 253, 112205. [Google Scholar] [CrossRef]
- Feret, J.-B.; François, C.; Asner, G.P.; Gitelson, A.A.; Martin, R.E.; Bidel, L.P.R.; Ustin, S.L.; Le Maire, G.; Jacquemoud, S. PROSPECT-4 and 5: Advances in the leaf optical properties model separating photosynthetic pigments. Remote Sens. Environ. 2008, 112, 3030–3043. [Google Scholar] [CrossRef]
- Féret, J.-B.; Gitelson, A.A.; Noble, S.D.; Jacquemoud, S. PROSPECT-D: Towards modeling leaf optical properties through a complete lifecycle. Remote Sens. Environ. 2017, 193, 204–215. [Google Scholar] [CrossRef]
- Féret, J.-B.; Berger, K.; de Boissieu, F.; Malenovský, Z. PROSPECT-PRO for estimating content of nitrogen-containing leaf proteins and other carbon-based constituents. Remote Sens. Environ. 2021, 252, 112173. [Google Scholar] [CrossRef]
- SJacquemoud; Baret, F. PROSPECT: A model of leaf optical properties spectra. Remote Sens. Environ. 1990, 34, 75–91. [Google Scholar] [CrossRef]
- Xiang, S.; Jin, Z.; Li, J.; Yu, F.; Xu, T. RPIOSL: Construction of the radiation transfer model for rice leaves. Plant Methods 2024, 20, 1. [Google Scholar] [CrossRef]
- Müllerová, J.; Brundu, G.; Große-Stoltenberg, A.; Kattenborn, T.; Richardson, D.M. Pattern to process, research to practice: Remote sensing of plant invasions. Biol. Invasions 2023, 25, 3651–3676. [Google Scholar] [CrossRef]
- Singh, P.; Pandey, P.C.; Petropoulos, G.P.; Pavlides, A.; Srivastava, P.K.; Koutsias, N.; Deng, K.A.K.; Bao, Y. 8—Hyperspectral remote sensing in precision agriculture: Present status, challenges, and future trends. In Hyperspectral Remote Sensing; Pandey, P.C., Srivastava, P.K., Balzter, H., Bhattacharya, B., Petropoulos, G.P., Eds.; In Earth Observation; Elsevier: Amsterdam, The Netherlands, 2020; pp. 121–146. [Google Scholar] [CrossRef]
- Simpson, M.D.; Akbari, V.; Marino, A.; Prabhu, G.N.; Bhowmik, D.; Rupavatharam, S.; Datta, A.; Kleczkowski, A.; Sujeetha, J.A.R.P.; Anantrao, G.G.; et al. Detecting Water Hyacinth Infestation in Kuttanad, India, Using Dual-Pol Sentinel-1 SAR Imagery. Remote Sens. 2022, 14, 2845. [Google Scholar] [CrossRef]
- Matongera, T.N.; Mutanga, O.; Dube, T.; Sibanda, M. Detection and mapping the spatial distribution of bracken fern weeds using the Landsat 8 OLI new generation sensor. Int. J. Appl. Earth Obs. Geoinform. 2017, 57, 93–103. [Google Scholar] [CrossRef]
- Tiwari, M.; Gupta, P.K.; Tiwari, N.; Chitale, S. Potential of temporal satellite data analysis for detection of weed infestation in rice crop. Egypt. J. Remote Sens. Space Sci. 2024, 27, 734–742. [Google Scholar] [CrossRef]
- Rew, L.J.; Cousens, R.D. Spatial distribution of weeds in arable crops: Are current sampling and analytical methods appropriate? Weed Res. 2001, 41, 1–18. [Google Scholar] [CrossRef]
- Rasti, P.; Ahmad, A.; Samiei, S.; Belin, E.; Rousseau, D. Supervised image classification by scattering transform with application toweed detection in culture crops of high density. Remote Sens. 2019, 11, 249. [Google Scholar] [CrossRef]
- Qamar, F.; Dobler, G. Atmospheric correction of vegetation reflectance with simulation-trained deep learning for ground-based hyperspectral remote sensing. Plant Methods 2023, 19, 74. [Google Scholar] [CrossRef] [PubMed]
- Xie, X.; Zhao, W.; Yin, G. TAVIs: Topographically Adjusted Vegetation Index for a Reliable Proxy of Gross Primary Productivity in Mountain Ecosystems. IEEE Trans. Geosci. Remote Sens. 2024, 62, 1–12. [Google Scholar] [CrossRef]
- Jenerowicz, A.; Wierzbicki, D.; Kedzierski, M. Radiometric Correction with Topography Influence of Multispectral Imagery Obtained from Unmanned Aerial Vehicles. Remote Sens. 2023, 15, 2059. [Google Scholar] [CrossRef]
- Borowiec, M.L.; Dikow, R.B.; Frandsen, P.B.; McKeeken, A.; Valentini, G.; White, A.E. Deep learning as a tool for ecology and evolution. Methods Ecol. Evol. 2022, 13, 1640–1660. [Google Scholar] [CrossRef]
- Vincent, P.; Larochelle, H.; Lajoie, I.; Bengio, Y.; Manzagol, P.A.; Bottou, L. Stacked Denoising Autoencoders: Learning Useful Representations in a Deep Network with a Local Denoising Criterion. J. Mach. Learn. Res. 2010, 11, 3371–3408. [Google Scholar]
- Rowe, B.; Eichinski, P.; Zhang, J.; Roe, P. Acoustic auto-encoders for biodiversity assessment. Ecol. Inform. 2021, 62, 101237. [Google Scholar] [CrossRef]







| Name | Formula | Reference |
|---|---|---|
| Anthocyanin reflectance index 2 | [51] | |
| Carotenoid reflectance index 1 | [52] | |
| Modified red edge NDVI | [53] | |
| Modified soil adjusted vegetation index | [54] | |
| Normalised difference vegetation index | [55] | |
| Photochemical reflectance index | [56] | |
| Red edge position index | [57] | |
| Red–green ratio | ||
| Structure insensitive pigment index 1 | [58] | |
| Transformed chlorophyll absorption reflectance index | [59] | |
| Optimised soil adjusted vegetation index | ) | [60] |
| Triangular vegetation index | [61] | |
| Vogelmann Red edge 1 | [62] | |
| Water band index | [63] | |
| Plant biochemical index | ||
| Plant senescence reflectance index | [64] | |
| Red edge area 2 | [65] | |
| Visible atmospherically resistant index | [66] |
Disclaimer/Publisher’s Note: The statements, opinions and data contained in all publications are solely those of the individual author(s) and contributor(s) and not of MDPI and/or the editor(s). MDPI and/or the editor(s) disclaim responsibility for any injury to people or property resulting from any ideas, methods, instructions or products referred to in the content. |
© 2024 by the authors. Licensee MDPI, Basel, Switzerland. This article is an open access article distributed under the terms and conditions of the Creative Commons Attribution (CC BY) license (https://creativecommons.org/licenses/by/4.0/).
Share and Cite
Goodsell, R.M.; Coutts, S.; Oxford, W.; Hicks, H.; Comont, D.; Freckleton, R.P.; Childs, D.Z. Black-Grass Monitoring Using Hyperspectral Image Data Is Limited by Between-Site Variability. Remote Sens. 2024, 16, 4749. https://doi.org/10.3390/rs16244749
Goodsell RM, Coutts S, Oxford W, Hicks H, Comont D, Freckleton RP, Childs DZ. Black-Grass Monitoring Using Hyperspectral Image Data Is Limited by Between-Site Variability. Remote Sensing. 2024; 16(24):4749. https://doi.org/10.3390/rs16244749
Chicago/Turabian StyleGoodsell, Robert M., Shaun Coutts, William Oxford, Helen Hicks, David Comont, Robert P. Freckleton, and Dylan Z. Childs. 2024. "Black-Grass Monitoring Using Hyperspectral Image Data Is Limited by Between-Site Variability" Remote Sensing 16, no. 24: 4749. https://doi.org/10.3390/rs16244749
APA StyleGoodsell, R. M., Coutts, S., Oxford, W., Hicks, H., Comont, D., Freckleton, R. P., & Childs, D. Z. (2024). Black-Grass Monitoring Using Hyperspectral Image Data Is Limited by Between-Site Variability. Remote Sensing, 16(24), 4749. https://doi.org/10.3390/rs16244749

